Abstract
Wastewater contains dyes originating from textile industries, and above a certain concentration, they can become dangerous due to their high toxicity. Divalent and trivalent metal coagulants, usually aluminum- or iron-based, have been studied worldwide. However, tetravalent coagulants, such as tin chloride, have not yet been extensively studied for application in wastewater treatment. Therefore, in this study, three types of coagulants were examined: SnCl4, Cs, and a hybrid composite (CS@Sn) in two different mass ratios, abbreviated hereafter as CS@Sn5% and CS@Sn50%. The formation of the suggested CS@Sn hybrid coagulants was confirmed by applying SEM, XRD, and FTIR techniques. The results showed that the optimum conditions for RB5 removal was the addition of 20 mg Sn/L SnCl4 (97.8%) and 50 mg Sn/L of CS@Sn50% (64.8%) at pH 3.0. In addition, SnCl4 was found to be an effective coagulant for all the examined anionic dyes, but it was not as effective for cationic dyes. Moreover, the coagulants were then tested in two mixed-dye solutions, both anionic dyes (RB5/RR120) and anionic/cationic (RB5/MV), resulting in a synergistic effect in the first one and a competitive effect in the secon. Finally, the proposed coagulants were successfully tested on real wastewater samples from an untreated textile dyeing industry. Therefore, the coagulants presented in this work for the removal of several dyes are also capable of being used for wastewater treatment.
Keywords:
tin; chitosan; coagulation; reactive black 5; reactive red 120; tartrazine; methylene blue; methylene violet 1. Introduction
Wastewater-containing dyes, which often originate from textile and food industries, produce various pollutants [1]. Above a specific concentration, dyes become hazardous due to their high toxicity, are non-biodegradable, and are potentially carcinogenic, which threatens both human health and the environment [2]. Dyes are mainly classified as non-ionic, anionic, and cationic, with the latter being the most toxic [3]. On the other hand, azo dyes (anionic), whose members have one or more azo chromophore groups (-N=N-) in their molecular structure, represent 65% of all those dyes used in industry, due to their high solubility and stabilization in water, as well as their low cost [4].
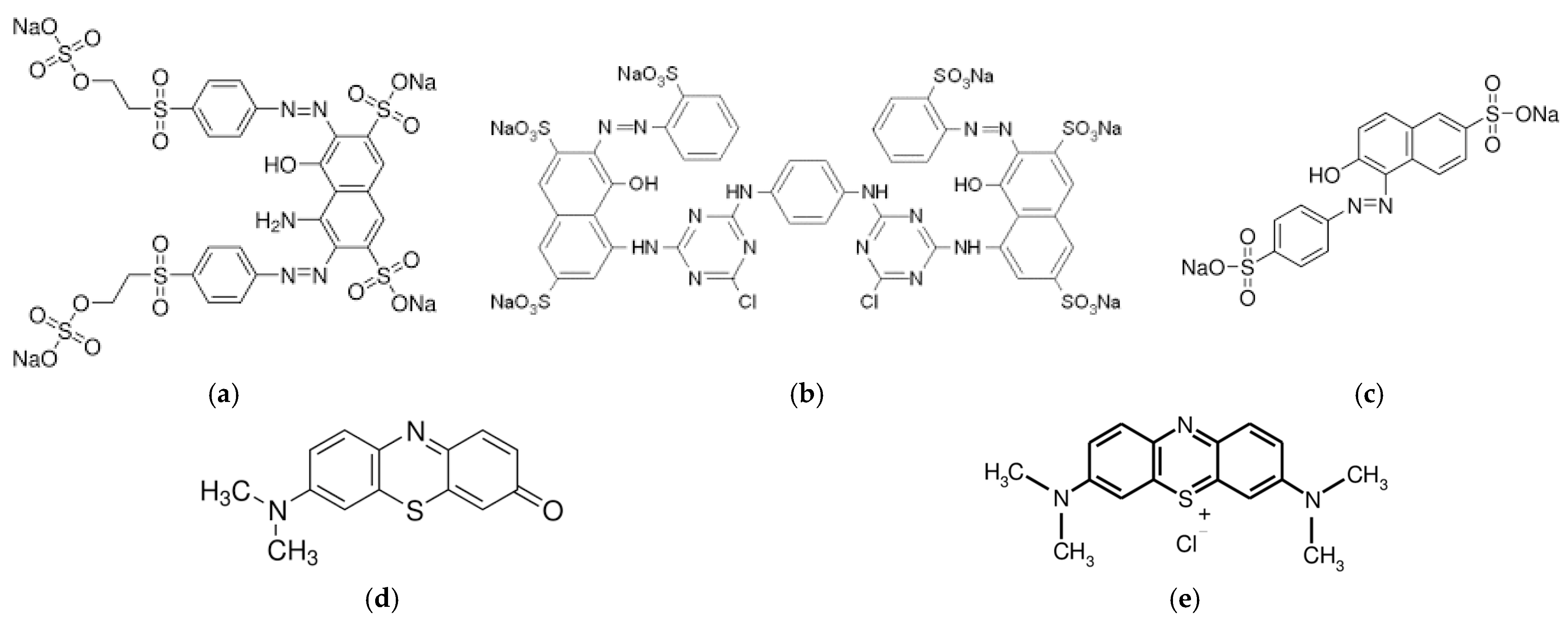
The present study focuses on the removal of five different dyes from wastewater by coagulation. The three anionic dyes are Reactive Black 5 (RB5), Reactive Red 120 (RR120), and Tartrazine Yellow (Y5), and the two cationic ones are Methylene Violet (MV) and Methylene Blue (MB). Reactive Black 5 (RB5) dye, also known as Remazol Black-GR, is a bis(azo) compound featuring two aryldiazenyl moieties positioned at the 2 and 7 locations of a multi-substituted naphthalene. According to the International Union of Pure and Applied Chemistry (IUPAC), its chemical name is tetrasodium-4-amino-5-hydroxy-3,6-bis[[4-(2-sulfonatooxyethylsulfonyl)phenyl]diazenyl]naphthalene-2,7-disulfonate [5]. It is a well-known organic dye, and its structure is shown in Figure 1a [6], with a molecular weight of 991.8 g/mol and the molecular formula C26H21N5Na4O19S6 [7]. Moreover, Reactive Red 120 (RR120) is classified as a reactive dye due to its characteristic structure and properties. As seen in Figure 1b, the RR120 dye has two azo groups, -N=N-, which makes it a dis-azo dye. In addition, yellow tartrazine (Acid Yellow 23, FD & C Yellow 5, E102), with the molecular formula C16H9N4Na3O9S2 and a molecular weight of 534.4, is an anionic dye derived from coal tar dyeing, which the IUPAC calls trisodium;5-oxo-1-(4-sulfonatophenyl)-4-[(4- sulfonatophenyl)diazenyl]-4H-pyrazole-3-carboxylate (Figure 1c). Tartrazine (Y5) is a synthetic azo dye used as an additive by many industries, especially in the production of food, pharmaceuticals, and cosmetics [8].
Figure 1.
Chemical structure of (a) RB5; (b) RR120; (c) Y5; (d) MV; and (e) MB dyes.
On the other hand, regarding the cationic dyes, Methyl Violet (MV) and Methylene Blue (MB) are used extensively and currently belong to the most widespread and dangerous coloring substances [9]. Hence, Methyl Violet, or 4-[[4-(dimethylamino)phenyl]-(4-methyliminocyclohexa-2,5-dien-1-ylidene)methyl]-N,N-dimethylaniline;hydrochloride, with a molecular formula of C24H28ClN3 and structure presented in Figure 1d, belongs to the triphenylmethane group of synthetic dyes. Because of their positive charge, they easily bond with negatively charged materials, making them useful in dyeing textiles, biological staining, inks, paints, and even as antimicrobial agents in medicine [3]. Furthermore, Methylene Blue (MB) is a basic aromatic heterocyclic dye with a molecular weight of 319.85 g/mol [10]. It is a well-known cationic thiazine dye with the molecular formula C16H18N3ClS. MB is highly soluble in water, forming a stable aqueous solution at room temperature [11]. It belongs to the polymethine dye category and contains an amino autochrome unit, making it a positively charged compound. According to the IUPAC, its chemical name is 3,7-bis(dimethylamino) phenothiazine chloride tetramethylthionine chloride, with a color index (CI) of 52015. The molecular structure of MB is shown in Figure 1e [12].
Various treatment methods have been applied for the removal of dyes, each offering distinct advantages and limitations. Hence, biological treatment demonstrates potential for metal removal; however, the technology is still under development [13]. Photocatalysis is characterized by a high degradation rate but poses health concerns due to exposure to carcinogenic UV light [14]. Membrane technology provides high processing efficiency and requires minimal space, though its application is hindered by membrane fouling [15], which reduces the flow of liquid through the membrane by causing buildup and blocking the pores. Ultrasonication is both compact and environmentally friendly, yet it demands high energy input [16]. Adsorption is widely recognized for its simplicity, cost-effectiveness, and efficacy in removing organic pollutants, although it necessitates frequent regeneration of the adsorbent [17]. Several adsorbents have been used for dye removal, among them activated carbons or biochar [18]. However, adsorbents are not always low in cost, and it is also not always known whether the disposal pathway of the adsorbents after processing will be safe or sustainable [19]. Among these techniques, coagulation/flocculation emerges as a particularly promising solution. It offers a straightforward process and is well suited for pollutant removal and water reclamation [20]. Coagulation has been used for years to remove dyes from wastewater as a pre-treatment because it is a very inexpensive method and in some cases the coagulant can be recycled after the process [21]. It only takes a few minutes for the solution to be stirred, and then the solution is left to set, so it is not as time consuming as other processes. While it may require higher doses and generate considerable sludge, its operational simplicity and effectiveness in aggregating dye particles underscore its potential as an efficient and practical method for dye removal [22].
Natural coagulants such as chitosan (Cs) have demonstrated exceptional efficiency due to their chemical and mechanical stability, offering an eco-friendly and economical alternative to conventional chemical coagulants [23]. In addition, divalent and trivalent metal-based coagulants, such as aluminum- or iron-based options, were the primary focus of earlier research on dye removal. For instance, ferric chloride (FeCl3), aluminum chloride (AlCl3), and magnesium chloride (MgCl2) were selected as coagulants in several studies [24,25,26,27,28] to test their potential for removing direct dyes from water or wastewater samples. Nevertheless, tetravalent coagulants such as tin chloride (SnCl4) have not yet been extensively studied for application in wastewater treatment [29]. Therefore, the novelty of this work lies in the use of SnCl4 for the first time for the removal of dyes from single or binary systems, as well as for the treatment of real wastewater samples from the textile industry. In particular, the background for the choice of the proposed coagulants lies in the fact that this high positive charge of tetravalent tin could destabilize the negative charge of anionic dyes through coagulation, leading to interactions and possible binding [29]. On the other hand, chitosan can destabilize the positive charge of cationic dyes through electrostatic interactions, especially in acidic solutions where the amino groups of chitosan are protonated [23]. This interaction can lead to the neutralization or even reversal of the positive charge of the dye, causing aggregation or precipitation of the dye molecules. Therefore, the proposed hybrid composite (CS@Sn) is a potentially good choice for the simultaneous removal of anionic and cationic dyes, both in binary dye systems and in real wastewater.
Moreover, in this study, three types of coagulants were examined: SnCl4, Cs, and a hybrid composite (CS@Sn) synthesized in two different mass ratios, i.e., mSn/mCs = 1/20 and 1/2, abbreviated hereafter as CS@Sn5% and CS@Sn50%, respectively. The synthesis of the hybrid materials proposed in this study aimed to enhance the coagulation efficiency by integrating the natural polymeric properties of CS with the metallic functionality of SnCl4. Each coagulant was prepared under controlled laboratory conditions, ensuring consistency and reproducibility across experimental runs and was fully characterized by applying SEM, XRD, and FTIR techniques.
2. Materials and Methods
2.1. Materials
Reactive Black 5 (RB5) (purity of ≥50%) and Tartrazine Yellow (Y5) (purity of ≥85%) were both supplied from Kahafix (KYKE HELLAS S.A., Thessaloniki, Greece), and Reactive Red 120 (RR120) (purity of ≥90%) was supplied from Sigma-Aldrich-Merck KGaA (Darmstadt, Germany). The two cationic ones, Methylene Violet (MV) (purity of ≥65%) and Methylene Blue (MB) (purity of ≥95%), were also supplied from Sigma-Aldrich-Merck KGaA (Darmstadt, Germany) and were used as model dye pollutants (Figure 1). Stock dye aqueous solutions of 1000 mg/L were prepared by dissolving 1 g of dye in distilled water. For the synthesis of the coagulants, chitosan (CS) (310–375 kDa, DDA 75%) and SnCl4 were provided by Sigma-Aldrich-Merck KGaA. Additionally, acetic acid (≥99%) was purchased from Fisher Chemicals (Hampton, NH, USA), and NaOH (≥97.0% ACS NaOH pellets) was purchased from Sigma-Aldrich-Merck KGaA, and both were used during the synthesis. To adjust the pH, even diluted solutions of 37% HCl from Panreac, AppliChem (Barcelona, Spain) or NaOH (as mentioned above) were used.
2.2. Synthesis of Coagulants
In this study, three coagulants were examined: tin chloride (SnCl4), chitosan (CS), and a hybrid composite (CS@Sn) synthesized through the combination of the two. The synthesis of the hybrid material aimed to enhance coagulation efficiency by integrating the natural polymeric properties of CS with the metallic functionality of SnCl4. Each coagulant was prepared under controlled laboratory conditions, ensuring consistency and reproducibility across experimental runs. In Table 1 are presented the properties of laboratory-prepared coagulants. It is worth noting that the pH of all applied coagulants is acidic. Considering that SnCl4 has an extremely low pH (pH = 1.00), it is observed that as its hybrid material increases, the pH value decreases correspondingly.
Table 1.
Properties of coagulants.
2.2.1. Preparation of SnCl4 Solution
The SnCl4 solution was prepared by diluting 1.31 g (Mr = 260.52 g/mol) in deionized H2O in a 50 mL volumetric flask, to achieve 0.1 M solution regarding Sn.
2.2.2. Preparation of Cs Solution
The CS solution was synthesized following the suggested procedure described below, based on the literature [30]. In a 100 mL beaker, 98 mL of distilled water was added. Afterwards, 1 g CS was added under vigorous stirring for 10 min. After that, 2 mL of acetic acid (2% v/v) was added dropwise to prevent the CS from coagulating. Vigorous stirring continued for 30–45 min until the CS was fully dissolved. Then, 1 mL of 0.5 M NaOH was added, and the solution was stirred for 1 h.
2.2.3. Preparation of Hybrid Cs@Sn Coagulants
The CS@Sn hybrid coagulants (Figure 2) were synthesized with the aim of enhancing the coagulation properties of its individual components. To further investigate the effect of its composition on performance and to determine the optimal ratio for SnCl4 incorporation, the coagulant was prepared in two different mass ratios, i.e., mSn/mCs = 1/20 and 1/2, abbreviated hereafter as CS@Sn5% and CS@Sn50%, respectively. The experimental procedure followed for both derivatives is proposed in this study and was essentially the same, with minor differences in the quantities of reagents used. Therefore, for the synthesis of CS@Sn5%, 0.11 g of SnCl4 was weighed and diluted in a 100 mL volumetric flask using 98 mL of deionized water under agitation. Similarly, 2.61 g of SnCl4 was used for the CS@Sn50%. Stirring continued until the complete dissolution of the salt. Subsequently, 2.20 g of chitosan was added to the first solution, while 5.22 g of chitosan was added to the second, both under continuous and vigorous stirring. To facilitate the synthesis and prevent chitosan gelation, after 10 min, 2 mL of acetic acid (2% v/v) was gradually added to the first solution (Sn5%) and 3 mL to the second (Sn50%). Vigorous stirring was maintained for 30 to 45 min to ensure complete dissolution of the chitosan. In the final stage, NaOH was added as a cross-linking agent. The required amount for each solution was calculated based on the desired [Sn]/[OH] molar ratio, i.e., 1:1. The process was completed after 1 h of vigorous stirring.
Figure 2.
Schematic presentation of the synthesis procedure of CS@Sn hybrid coagulants.
2.3. Coagulation Performance
2.3.1. Jar Tests
To evaluate the coagulation performance of all prepared coagulants, a jar test apparatus (Aqualytic, VELP Scientifica Srl, Usmate Velate, MB, Italy) equipped with four paddles was used, employing 1-L glass beakers. A total volume of 250 mL of a 20 mg/L dye solution was transferred to the 1-L beakers, and the pH was adjusted to the desired value (3.0, 7.0, and 9.0) when the effect of pH was examined, or kept constant in the optimum value for the examination of other factors, i.e., effect of dosage, effect of initial concentration, mixed dye solutions, and real wastewater treatment. The conditions used in the jar-test runs are shown in Table 2. Briefly, initially, the solutions were stirred rapidly at 200 rpm for 1 min, followed by slow stirring at 50 rpm for 15 min, and then the suspension was rested for 45 min without any stirring to allow the sedimentation of produced flocs.
Table 2.
Coagulation experimental conditions (Jar Tests).
2.3.2. Analytical Determinations
After sedimentation, water samples were collected from the supernatant of each beaker approximately 5 cm below the surface and filtered through a 0.45 μm nylon filter. Βoth the initial and the final concentrations of each dye were determined by corresponding absorbance to the reference curve obtained by a UV–vis spectrophotometer (WTW Spectroflex 6100, Weilheim, Germany) at λmax values of 603 nm for RB5, 515 nm for RR120, 473 nm for Y5, 579 nm for MV, and 665 nm for MB [31].
2.3.3. Dye Removal (R (%))
The percentage removal (R (%)) of each dye was calculated from the equation below (Equation (1)):
where C0 symbolizes the initial dye concentration (mg/L), and Cf symbolizes the final dye concentration after the experiment (mg/L).
2.4. Characterization of Coagulants
Surface morphology of the proposed coagulants was examined by scanning electron microscopy/energy dispersive spectroscopy (SEM/EDS) (JEOL JSM-6390 LV, Tokyo, Japan). Fourier transform infrared spectroscopy (FTIR) (PerkinElmer, New York, NY, USA) was used for the analysis of functional groups, and X-ray diffraction (XRD) using a Rigaku MiniFlex II diffractometer (Tokyo, Japan) with a Bruker D8 FOCUS (Billerica, MA, USA) for detailed phase analysis was performed for structural crystallinity determination.
3. Results and Discussion
3.1. Effect of pH
Initially, the effect of pH on the coagulation performance of all examined coagulants was studied for the removal of RB5. As depicted on Figure 3, the highest RB5 removal was achieved at pH 3.0, when CS@Sn50% was used, reaching 49.3% by adding 10 mg/L of each coagulant, regarding Sn concentration, followed by SnCl4 (40.3%), and for this reason, these two coagulants were selected for further experiments. Moreover, as pH increases, removal efficiency decreases for all coagulants with a slight rise in the pH value around 9.0 that never reaches the levels observed at acidic pH. Furthermore, the effectiveness of CS@Sn50% and SnCl4 in removing RB5 at the optimum pH of 3.0 is most evident. What is also revealed is that the 1:2 ratio of chitosan and tin (i.e., CS@Sn50%) enhanced the effectiveness of SnCl4, while the lower tin content in the other material (ratio 1:20 for CS@Sn5%) showed almost the same removal rate as the application of pure chitosan, indicating 16.3% and 15.6%, respectively.
Figure 3.
Comparison of coagulants for the removal of RB5 dye at various pH values, C0 = 20 mg/L, dosage 10 mg Sn/L, 293 K.
Moreover, as it is shown in Figure 4, the point of zero charge (pHpzc) of the optimum CS@Sn50% coagulant was measured by applying the pH drift method [32] and found to be 3.95. Therefore, at pH < pHpzc, the surface is positively charged, and at pH > pHpzc, the surface becomes negative. Since pH < pHpzc, the coagulant surface is positively charged and attracts the negatively charged dye.
Figure 4.
pHpzc of CS@Sn50% coagulant.
RB5 is a reactive dye with sulphonate (R-SO3−) groups, and for this reason, the following reaction takes place:
RB5–SO3Na → RB5–SO3− + Na+
Therefore, the negatively charged molecules of dye can be attracted by the positively charged CS@Sn50% coagulant, according to the proposed mechanism illustrated in Figure 5. As can be assumed, SnCl4 probably binds amino groups of chitosan, and two different concepts may occur, depending on the pH, the coagulant, and the type of dye molecule. The first one is that there might be an exchange of chloride ions with negatively charged dye ions, resulting in an increase in dye removal [27]. On the other hand, the protonated amino groups on the surface of chitosan [23,33], as well as the positive (tetravalent) charge of tin, enhance the binding and attraction of the dye molecule through electrostatic attractions, aiming to destabilize their charge in the first phase of the coagulation process (rapid mixing).
Figure 5.
Proposed mechanism of RB5 removal by CS@Sn50% coagulant.
3.2. Effect of Dosage
The dosage of the coagulant is considered one of the most critical parameters and has a significant impact on the effectiveness of the coagulation process. Therefore, the dosage of coagulants varied between 10 and 100 mg/L, and the experiments were conducted at the optimum pH of 3.0. As shown in Figure 6, after 20 mg/L of coagulants, SnCl4 becomes more effective than CS@Sn50%, reaching 100% removal by adding 25 mg/L, while with CS@Sn50%, it reaches 84.7% by adding 100 mg/L. Therefore, a relative reduction in the rate of effectiveness of CS@Sn50% is observed, while the efficiency increased up to a certain point and then declined to a lower value or became constant. Similar phenomena were also observed in the literature [34,35,36]. The nature of the curve also suggests the possible existence of a stoichiometric relationship between the dye and the coagulant. The amount of tin ions in the coagulant determines the degree of destabilization of the dye. As the dose of coagulant changes the number of flocs formed and their tendency to settle, the dye removal efficiency decreased with increasing coagulant amounts above a certain optimum dose [37]. Consequently, for the following experiments, the dose of 20 mg Sn/L for SnCl4 (97.8%) and 50 mg Sn/L for CS@Sn50% (64.8%) were chosen.
Figure 6.
Effect of dosage on RB5 removal in optimum conditions; C0 = 20 mg/L, pH 3.0 ± 0.1, dose = 20 mg Sn/L for SnCl4 and 50 mg Sn/L for CS@Sn50%.
3.3. Effect of Initial Dye Concentration
In coagulation processes for dye removal, initial dye concentration significantly impacts removal efficiency. Generally, higher initial dye concentrations lead to lower removal efficiency, requiring more coagulant to achieve the same level of removal. However, there can be a point where increasing the dye concentration doesn’t significantly reduce the amount of dye removed per unit of coagulant. As the dye concentration increases, the number of dye molecules in the solution also increases. While the coagulation process effectively removes dye, the higher initial concentration means that more dye molecules need to be removed, potentially leading to a slower removal rate or less complete removal at a given coagulant dosage. To achieve similar removal efficiency at higher dye concentrations, more coagulant is often needed. This is because the coagulant’s capacity to neutralize the charge and aggregate the dye particles is limited, and higher concentrations may saturate the coagulation process. Therefore, in this study, the effect of initial RB5 dye concentration on process performance was studied at optimum conditions (pH = 3.0 and 20 mg/L for SnCl4 and 50 mg/L for CS@Sn50%), and four initial concentrations (25, 50, 100, and 150 mg/L) of dye were chosen [38]. The results in Figure 7 show that with the increase of initial dye concentrations from 20 mg/L to 150 mg/L, the dye removal efficiency reduced for both materials from 97.78 to 9.89% regarding SnCl4 and from 64.82% to 2.29, regarding CS@Sn50%.
Figure 7.
Effect of initial RB5 dye concentration in optimum conditions; C0 = 20 mg/L, pH 3.0 ± 0.1, dose = 20 mg Sn/L for SnCl4 and 50 mg Sn/L for CS@Sn50%.
3.4. Effect of Ionic Strength
Increasing the ionic strength of a solution, which refers to the concentration of dissolved ions, can have a complex effect on dye removal, depending on the specific dye and the coagulant used. In some cases, higher ionic strength can enhance dye removal, while in others, it can hinder it [39]. This is important because real dye wastewater may contain additional contaminants, including various salts such as NaCl, Na2CO3, and NaNO3. These salts may prevent the destabilization of dyes by interacting with the active sites of the coagulants and thus preventing destabilization. Therefore, it is important to study the effect of salt concentration on the effectiveness of the newly synthesized materials. Therefore, in this study, the effect of ionic strength was evaluated by preparing the dye solution at different concentrations of NaNO3 salt (0.1, 0.3, and 0.5 M) and a constant dye concentration of 20 mg/L. The experiment was carried out at an optimum pH of 3.0, using 20 mg/L for optimum SnCl4 and 50 mg/L for CS@Sn50%. According to the illustrated results in Figure 8, a temporary increase in efficiency is observed for RB5 removal (%) when CS@Sn50% is used, but with further increase in NaNO3 concentration, a decrease was noticed, probably due to less available coagulant surface area in the presence of higher salt [40]. This observed phenomenon is evident in the case of the CS@Sn50% material, as at low salt concentrations the solubility of chitosan can increase (a phenomenon known as “salting-in”), but at higher concentrations it can lead to reduced solubility due to “salting-out” phenomena. This change in solubility can affect the effectiveness of chitosan in applications such as dye removal, where its ability to interact with dyes depends on its solubility [41]. In the case of SnCl4, reduction of efficiency is observed even at low concentrations of the salts.
Figure 8.
Effect of ionic strength on the removal of RB5 dye in optimum conditions; C0 = 20 mg/L, pH 3.0 ± 0.1, dose = 20 mg Sn/L for optimum SnCl4 and 50 mg Sn/L for CS@Sn50%.
3.5. Single Dye Solutions
After the full evaluation of the coagulants in the removal of the RB5 dye, their effectiveness was tested on other anionic dyes, such as RR120 and Y5, as well as in the case of cationic dyes, such as MV and MB. Thus, experiments were conducted to investigate the prospect of SnCl4 and CS@Sn50% for the effective removal of RB5, RR120, Y5, MV, and MB dyes (Figure 9) using 20 mg/L for optimum SnCl4 and 50 mg/L for CS@Sn50% at an initial dye concentration of 20 mg/L. As it turns out, SnCl4 is an effective coagulant for all the three anionic dyes regardless of pH value, removing them almost completely, but it was not as effective for cationic dyes, as shown in Figure 9a. In contrast, Cs@Sn50% (Figure 9b) was more effective on MV dye than SnCl4, exhibiting 28% removal by Cs@Sn50%, compared to 14% at the optimum pH of 3.0, probably due to the addition of NH- and -OH groups of chitosan. Regarding the anionic dyes, Cs@Sn50% seems to be more effective in Y5 removal (82%), followed by RB5 (65%) and finally RR120 (26%). In Figure 9c, this comparison between SnCl4 and CS@Sn50% is shown at pH 3.0.
Figure 9.
Comparison of optimal coagulants (a) SnCl4 and (b) CS@Sn50% for the removal of RB5, RR120, Y5, MV, and MB dyes at various pH values; C0 = 20 mg Sn/L, dosage = 20 mg Sn/L for optimum SnCl4 and 50 mg/L for CS@Sn50% at 293 K; (c) RB5, RR120, Y5, MV, and MB removal at optimum pH 3.0 ± 0.1.
3.6. Mixed-Dye Solutions
The coagulants were then tested for their effectiveness in mixed-dye solutions, one consisting of two anionic dyes (RB5/RR120) and the other of one anionic and one cationic (RB5/MV). As shown in Figure 10a,b, respectively, the presence of RR120 enhanced the effectiveness of Cs@Sn50% in removing RB5 (synergistic effect) from 64% to 80%, while for SnCl4 there was a slight decrease from 98 to 88%. Regarding RR120, it is also remarkable that by using the Cs@Sn50% coagulant, the efficiency increased from 26% to 49% in the presence of RB5. Therefore, the presence of two anion dyes in the same mixture promotes the affectability of the proposed coagulants. These effects arise from the shared negative charge of the dyes, which can lead to increased interaction with positively charged coagulation agents [42]. In addition, a qualitative comparison of this anionic dye system before and after coagulation/flocculation is shown in Figure 10c. As can be seen, the flocs settle and form agglomerates at the bottom of the beaker. The supernatant, which is subsequently filtered in the next stage, is observed to have a quite transparent color. The results show that SnCl4 has a good performance in flocculating reactive dye systems.
Figure 10.
Comparison of the optimal coagulants in mixed-dye solutions (a) RB5/RR120 and (b) RB5/MV; pH 3.0 ± 0.1, dose = 50 mg Sn/L, C0 = 10 mg/L of each dye. (c) RB5/RR120 mixture before coagulation and after sedimentation.
On the other hand, in the case of the other binary-dye combination, i.e., anion/cationic mixture, a competitive effect was determined, for both coagulants, resulting in a decrease in their respective percentages from 98% to 1% for RB5 on SnCl4 and from 65 to 0.5% on Cs@Sn50%, and for MV from 14 to 0.5% and from 28 to 1%, respectively), a phenomenon found also in the literature [43,44]. Moreover, this may be assigned to the fact that the cationic dye can also screen the anionic dye’s charge, making it less susceptible to coagulation [45]. Therefore, cationic dyes can neutralize the negative charge of the anionic dye. reducing the electrostatic attraction between the anionic dye and the positively charged coagulant, hindering coagulation [45,46].
3.7. Real Wastewater Samples
Finally, the coagulants presented in this study, i.e., SnCl4, CS@Sn5% and CS@Sn50%, were tested on real wastewater samples from a local textile dyeing industry (Langadas, Thessaloniki, Greece), before any treatment in the unit, by adding 50 mg/L of each coagulant, with no pH adjustment. As it is well known, the textile industry generates a large amount of wastewater with varied composition that need to be treated. As it turns out (Figure 11a), upon application of all applied materials, the characteristic peak of the waste at around 597 nm disappears after coagulation, especially with the addition of SnCl4. As illustrated in Figure 11b, the flocs formed by the addition of 50 mg/L SnCl4 are well-formed at the bottom of the beaker and the supernatant is decolorized and clear, indicating this effective removal. Therefore, it follows that the coagulants presented in this work for the removal of several dyes are also capable of being used for wastewater treatment, as an additional field of application.
Figure 11.
(a) Comparison of the optimal coagulants in real textile dyeing wastewater; dose = 50 mg Sn/L, (b) flocs formation by the addition of SnCl4.
3.8. Characterization of the Coagulants
According to Figure 12a,b, SEM analysis revealed significant morphological differences between SnCl4 and CS@Sn50%, respectively. Initially, the surface of SnCl4 (Figure 12a) exhibited flake-like particles and crystalline formations. On the other hand, in CS@Sn50% (Figure 12b), the surface appeared smoother, and the flake-like particles were mostly absent, thus indicating the modification in its structure by the addition of chitosan [47]. In addition, EDS analysis, along with SEM, of both coagulants is conducted, and the results are presented in Figure 12b,c for SnCl4 and CS@Sn50%, respectively. As shown, mainly the Sn (Tin 10.36%), Cl (Chlorine 2.19%), and O (Oxygen 86.16%) elements were recorded on the surface of SnCl4 (Figure 12b). Furthermore, Sn (Tin 2.83%), Cl (Chlorine 3.32%), O (Oxygen 69.59%), but also N (Nitrogen 1.42%) and C (Carbon 22.79%) are observed on the surface of CS@Sn50% (Figure 12c), confirming the homogeneous distribution of chitosan, because of the existence of N and C on the surface.

Figure 12.
SEM images of (a) SnCl4 and (b) CS@Sn50%; EDS analysis of (c) SnCl4 and (d) CS@Sn50%; (e) XRD pattern along with ICDD card No. 01–077-0447 [48] (f) FTIR spectra.
Moreover, the XRD patterns of both SnCl4 and CS@Sn50% are illustrated in Figure 12e. The SnCl4 pattern (black line) shows distinct diffraction peaks at various 2-Theta (°), such as at approximately 26.5° (110), 35.3° (101), and 52° (211). These peaks correspond to specific crystallographic planes within the SnCl4 structure (ICDD card No. 01–077-0447 [48]), indicating its ordered arrangement of atoms, and it is also found in the literature [49]. Figure 12e also presents the XRD pattern of CS@Sn50% (red line), which is a composite material containing Sn and CS. The shifts and appearance of new peaks at approximately 5.3°, 10.1°, 20.1°, 33.5°, 45.5°, and 56.2° in the CS@Sn50% pattern, compared to pure SnCl4, indicate changes in the crystalline structure due to the incorporation of other components, i.e., chitosan. In addition, the characteristic peaks of CS at 10.1° [50] and 20.1° [51] appear only in the pattern of composite material.
Finally, the FTIR spectra of both SnCl4 and CS@Sn50% show some variations in the observed peaks, indicative of chitosan modification. Specifically, as shown in Figure 12f, in the spectra of CS@Sn50% (red line), the peaks in the 3600–3100 cm−1 region correspond to both asymmetric and symmetric N-H stretching, as well as O-H groups, and overlapping peaks may appear. Specifically, around 3325 cm−1, the peak could be attributed to stretching vibrations of –NH2 and –OH groups [52], along with the H–O–H bending vibrations around 1620 cm−1. These shifts in peak positions or the appearance of new peaks in the CS@Sn50% spectrum, compared to the individual SnCl4 spectra (black line), could indicate chemical interactions or bonds between chitosan and the tin component. The combined presence of peaks from both SnCl4 and CS in the region of approximately 1600–1000 cm−1 confirms the successful formation of the CS@Sn50% composite. Furthermore, the characteristic peaks for Sn-Cl and Sn-OH bonds [53] in the provided FTIR spectrum of SnCl4 are observed in the region below 1000 cm−1, specifically at approximately 600 cm−1 [54]. The spectrum for CS@Sn50% shows a significant reduction or absence of these distinct peaks compared to the SnCl4 spectrum, indicating the successful incorporation or reaction of SnCl4 into the CS matrix, leading to a change in the Sn-Cl bond. Thus, a peak at 808 cm−1 now appears in the spectrum of CS@Sn50%, which is related to the Sn-N stretching vibration [55]. Furthermore, the band between 1700 and 1000 cm−1 of the CS@Sn50% composite is attributed to the carbonyl stretching vibration (amide-I) at 1635 cm−1, the N–H stretching vibration (amide-II) at 1579 cm−1, the C–N stretching vibration (amide-III) at 1470 cm−1, and the C–O–C and 1164 cm−1 spectra of chitosan [50,55]. From the obtained FTIR spectra of both Sn-based coagulants, the characteristic peak of Sn–O–Sn stretching [53] is found around 730–740 cm−1.
3.9. Comparison with Literature
The present work focuses on the coagulation–flocculation of Reactive Black 5 (RB5) dye using various coagulants and evaluating their efficiencies, and in a second step, it also examines the effectiveness of these materials in the removal of other dyes. Therefore, Table 3 provides a comparison between several coagulants found in recent literature with the optimum SnCl4 and CS@Sn50% presented in this study. Different coagulants, including Fe2(SO4)3, FeCl3•6H2O, AlCl3, Al2SO4·5H2O (alum), MgCl2, and chitosan, were tested for their ability to remove several dyes. The first conclusion that emerged was that the proposed compound SnCl4 (as coagulant), and especially the hybrid synthesized CS@Sn50%, were not found in the literature to have already been applied to dye removal, thus reinforcing and confirming the innovation of this study.
Table 3.
Comparison with literature.
Regarding the information presented in Table 3, another advantage of SnCl4 is that for the complete removal of anionic dyes, only 20 mg/L is required as a dose, while in the case of most materials, the doses are much higher, from 4 to 10 times as much. Therefore, the materials presented in this study can be considered competitive with existing ones and constitute a new proposal to the research community.
4. Conclusions
In this study, tetravalent coagulants such as tin chloride (SnCl4), which have not yet been extensively studied for application in wastewater treatment, were used for the first time in single or binary systems, as well as for the treatment of real textile wastewater. Three types of coagulants were examined: SnCl4, Cs, and a hybrid composite (CS@Sn) in two different mass ratios, i.e., CS@Sn5% and CS@Sn50%. In addition, the structure and morphology of the prepared coagulants were studied in detail by applying SEM, XRD, and FTIR characterization techniques, which confirmed the formation of the suggested CS@Sn hybrid coagulants. The results showed that SnCl4 (20 mg Sn/L) and CS@Sn50% (50 mg Sn/L) were the most effective coagulants for RB5 removal, providing 97.8% and 64.8% removal, respectively, at pH 3.0. In addition, SnCl4 was found to be an effective coagulant for all the other examined anionic dyes (RB5, RR120, Y5), but it was not effective for cationic dyes (MB and MV). In addition, the coagulants were then tested in two mixed-dye solutions consisting of one of the two anionic dyes (RB5/RR120) and following with one anionic and one cationic (RB5/MV). A synergistic effect emerged in the first mixture and a competitive effect in the second one. Finally, SnCl4, CS@Sn5%, and CS@Sn50% were tested on real wastewater samples from an untreated textile dyeing industry, by adding 50 mg/L of each coagulant with no pH adjustment. Therefore, as concluded, the coagulants presented in this work for the removal of several dyes are also capable of being used for wastewater treatment as an additional field of application. In conclusion, it appears that the coagulants synthesized and proposed in this study are effective for the removal of dyes and constitute the basis for further research and investigation.
Author Contributions
Conceptualization, A.K.T.; methodology, A.G., P.C., E.A., S.F., S.K., G.Z.K., and A.K.T.; software, G.Z.K. and A.K.T.; validation, G.Z.K. and A.K.T.; formal analysis, A.G., P.C., E.A., S.F., S.K., G.Z.K., and A.K.T.; investigation, A.G., P.C., E.A., S.F., S.K., G.Z.K., and A.K.T.; resources, G.Z.K. and A.K.T.; data curation, A.G., P.C., E.A., S.F., S.K., G.Z.K., and A.K.T.; writing—original draft preparation, A.G., P.C., E.A., S.F., S.K., G.Z.K., and A.K.T.; writing—review and editing, A.G., P.C., E.A., S.F., S.K., G.Z.K., and A.K.T.; visualization, A.K.T., G.Z.K., and A.K.T.; supervision, G.Z.K. and A.K.T. All authors have read and agreed to the published version of the manuscript.
Funding
This research received no external funding.
Data Availability Statement
All data analyzed during this study are included in this published article.
Conflicts of Interest
The authors declare no conflicts of interest.
References
- Alsukaibi, A.K.D. Various Approaches for the Detoxification of Toxic Dyes in Wastewater. Processes 2022, 10, 1968. [Google Scholar] [CrossRef]
- Lellis, B.; Fávaro-Polonio, C.Z.; Pamphile, J.A.; Polonio, J.C. Effects of Textile Dyes on Health and the Environment and Bioremediation Potential of Living Organisms. Biotechnol. Res. Innov. 2019, 3, 275–290. [Google Scholar] [CrossRef]
- Sadiku, M.; Selimi, T.; Berisha, A.; Maloku, A.; Mehmeti, V.; Thaçi, V.; Hasani, N. Removal of Methyl Violet from Aqueous Solution by Adsorption onto Halloysite Nanoclay: Experiment and Theory. Toxics 2022, 10, 445. [Google Scholar] [CrossRef]
- Micheletti, D.H.; da Silva Andrade, J.G.; Porto, C.E.; Alves, B.H.M.; de Carvalho, F.R.; Sakai, O.A.; Batistela, V.R. A Review of Adsorbents for Removal of Yellow Tartrazine Dye from Water and Wastewater. Bioresour. Technol. Rep. 2023, 24, 101598. [Google Scholar] [CrossRef]
- Marhalim, M.A.A.; Mohtar, S.S.; Mohammed, A.M.; Aziz, F.; Sokri, M.N.M.; Salleh, W.N.W.; Yusof, N.; Jaafar, J.; Ismail, A.F.; Aziz, M.; et al. Enhanced Performance of Lanthanum Orthoferrite/Chitosan Nanocomposites for Adsorptive Photocatalytic Removal of Reactive Black. Korean J. Chem. Eng. 2021, 38, 1648–1659. [Google Scholar] [CrossRef]
- El Bouraie, M.; El Din, W.S. Biodegradation of Reactive Black 5 by Aeromonas Hydrophila Strain Isolated from Dye-Contaminated Textile Wastewater. Sustain. Environ. Res. 2016, 26, 209–216. [Google Scholar] [CrossRef]
- Wong, C.P.P.; Lai, C.W.; Lee, K.M.; Abd Hamid, S.B. Advanced Chemical Reduction of Reduced Graphene Oxide and Its Photocatalytic Activity in Degrading Reactive Black. Materials 2015, 8, 7118–7128. [Google Scholar] [CrossRef]
- Soran, M.L.; Bocșa, M.; Pintea, S.; Stegarescu, A.; Lung, I.; Opriş, O. Commercially Biochar Applied for Tartrazine Removal from Aqueous Solutions. Appl. Sci. 2024, 14, 53. [Google Scholar] [CrossRef]
- Alsuhybani, M.; Aleid, M.; Alzidan, R.; Bin Bander, K.; Alrehaili, A. High Removal of Methylene Blue and Methyl Violet Dyes from Aqueous Solutions Using Efficient Biomaterial Byproduct. Heliyon 2024, 10, e36731. [Google Scholar] [CrossRef]
- Amode, J.O.; Santos, J.H.; Alam, Z.M.; Mirza, A.H.; Mei, C.C. Adsorption of Methylene Blue from Aqueous Solution Using Untreated and Treated (Metroxylon Spp.) Waste Adsorbent: Equilibrium and Kinetics Studies. Int. J. Ind. Chem. 2016, 7, 333–345. [Google Scholar] [CrossRef]
- Sabar, S.; Abdul Aziz, H.; Yusof, N.H.; Subramaniam, S.; Foo, K.Y.; Wilson, L.D.; Lee, H.K. Preparation of Sulfonated Chitosan for Enhanced Adsorption of Methylene Blue from Aqueous Solution. React. Funct. Polym. 2020, 151, 104584. [Google Scholar] [CrossRef]
- Zhang, J.; Zhang, Y.; Lei, Y.; Pan, C. Photocatalytic and Degradation Mechanisms of Anatase TiO2: A HRTEM Study. Catal. Sci. Technol. 2011, 1, 273–278. [Google Scholar] [CrossRef]
- Ahmaruzzaman, M. Role of Fly Ash in the Removal of Organic Pollutants from Wastewater. Energy Fuels 2009, 23, 1494–1511. [Google Scholar] [CrossRef]
- Cheng, Y.W.; Khan, M.R.; Ng, K.H.; Wongsakulphasatch, S.; Cheng, C.K. Harnessing Renewable Hydrogen-Rich Syngas from Valorization of Palm Oil Mill Effluent (POME) Using Steam Reforming Technique. Renew. Energy 2019, 138, 1114–1126. [Google Scholar] [CrossRef]
- Zhang, F.; Gao, S.; Zhu, Y.; Jin, J. Alkaline-Induced Superhydrophilic/Underwater Superoleophobic Polyacrylonitrile Membranes with Ultralow Oil-Adhesion for High-Efficient Oil/Water Separation. J. Memb. Sci. 2016, 513, 67–73. [Google Scholar] [CrossRef]
- Budiman, P.M.; Wu, T.Y. Ultrasonication Pre-Treatment of Combined Effluents from Palm Oil, Pulp and Paper Mills for Improving Photofermentative Biohydrogen Production. Energy Convers. Manag. 2016, 119, 142–150. [Google Scholar] [CrossRef]
- Ariffin, N.; Mustafa, M.; Bakri, A.; Remy, M.; Mohd, R.; Zaino, A.; Murshed, M.F.; Faris, M.A. Review on Adsorption of Heavy Metal in Wastewater by Using Geopolymer. MATEC Web Conf. 2017, 97, 8. [Google Scholar] [CrossRef]
- Jabar, J.M.; Adebayo, M.A.; Taleat, T.A.A.; Yılmaz, M.; Rangabhashiyam, S. Ipoma Batatas (Sweet Potato) Leaf and Leaf-Based Biochar as Potential Adsorbents for Procion Orange MX-2R Removal from Aqueous Solution. J. Anal. Appl. Pyrolysis 2025, 185, 106876. [Google Scholar] [CrossRef]
- Katheresan, V.; Kansedo, J.; Lau, S.Y. Efficiency of Various Recent Wastewater Dye Removal Methods: A Review. J. Environ. Chem. Eng. 2018, 6, 4676–4697. [Google Scholar] [CrossRef]
- Ang, W.L.; Mohammad, A.W. State of the Art and Sustainability of Natural Coagulants in Water and Wastewater Treatment. J. Clean. Prod. 2020, 262, 121267. [Google Scholar] [CrossRef]
- Li, H.; Liu, S.; Zhao, J.; Feng, N. Removal of Reactive Dyes from Wastewater Assisted with Kaolin Clay by Magnesium Hydroxide Coagulation Process. Colloids Surf. A Physicochem. Eng. Asp. 2016, 494, 222–227. [Google Scholar] [CrossRef]
- Sukmana, H.; Bellahsen, N.; Pantoja, F.; Hodur, C. Adsorption and Coagulation in Wastewater Treatment—Review. Prog. Agric. Eng. Sci. 2021, 17, 49–68. [Google Scholar] [CrossRef]
- Guibal, E.; Roussy, J. Coagulation and Flocculation of Dye-Containing Solutions Using a Biopolymer (Chitosan). React. Funct. Polym. 2007, 67, 33–42. [Google Scholar] [CrossRef]
- Mcyotto, F.; Wei, Q.; Macharia, D.K.; Huang, M.; Shen, C.; Chow, C.W.K. Effect of Dye Structure on Color Removal Efficiency by Coagulation. Chem. Eng. J. 2021, 405, 126674. [Google Scholar] [CrossRef]
- Albahnasawi, A. Removal of Reactive Red 141 and Disperse Red 13 Dyes from Aqueous Solutions Using Different Coagulants: An Optimization and Comparison Study. Düzce Üniv. Bilim Teknol. Derg. 2023, 11, 1269–1281. [Google Scholar] [CrossRef]
- Jalal, G.; Abbas, N.; Deeba, F.; Butt, T.; Jilal, S.; Sarfraz, S. Efficient Removal of Dyes in Textile Effluents Using Aluminum-Based Coagulant. Chem. Int. 2021, 7, 197–207. [Google Scholar]
- Wei, Q.; Zhang, Y.; Zhang, K.; Mwasiagi, J.I.; Zhao, X.; Chow, C.W.K.; Tang, R. Removal of Direct Dyes by Coagulation: Adaptability and Mechanism Related to the Molecular Structure. Korean J. Chem. Eng. 2022, 39, 1850–1862. [Google Scholar] [CrossRef]
- Bouyakoub, A.Z.; Lartiges, B.S.; Ouhib, R.; Kacha, S.; El Samrani, A.G.; Ghanbaja, J.; Barres, O. MnCl2 and MgCl2 for the Removal of Reactive Dye Levafix Brilliant Blue EBRA from Synthetic Textile Wastewaters: An Adsorption/Aggregation Mechanism. J. Hazard. Mater. 2011, 187, 264–273. [Google Scholar] [CrossRef]
- Ramli, S.F.; Aziz, H.A. Potential Use of Tin Tetrachloride and Polyacrylamide as a Coagulant-Coagulant Aid in the Treatment of Highly Coloured and Turbid Matured Landfill Leachate. Process Saf. Environ. Prot. 2023, 170, 971–982. [Google Scholar] [CrossRef]
- Dago-Serry, Y.; Maroulas, K.N.; Tolkou, A.K.; AbdelAll, N.; Alodhayb, A.N.; Khouqeer, G.A.; Kyzas, G.Z. Composite Super-Adsorbents of Chitosan/Activated Carbon for the Removal of Nonsteroidal Anti-Inflammatory Drug from Wastewaters. J. Mol. Struct. 2024, 1298, 137044. [Google Scholar] [CrossRef]
- American Public Health Association. APHA Standard Methods for the Examination of Water and Wastewater; American Public Health Association: Washington, DC, USA, 1981. [Google Scholar]
- Kosmulski, M. The PH Dependent Surface Charging and Points of Zero Charge. X. Update. Adv. Colloid Interface Sci. 2023, 319, 102973. [Google Scholar] [CrossRef] [PubMed]
- Kouzoutzoglou-Efremidou, A.A.; Tolkou, A.K.; Maroulas, K.N.; Kosheleva, R.I.; Katsoyiannis, I.A.; Kyzas, G.Z. Interfacial Adsorption Interactions of Dyes and Chitosan/Activated Carbon@Curcumin Derivatives in Single-Component and Binary Solutions. Langmuir 2025, 41, 3603–3622. [Google Scholar] [CrossRef] [PubMed]
- Sadri, S.; Alavi, M.R.; Arami, M. Decolorization of an Acidic Dye from Synthetic Wastewater by Sludge of Water Treatment Plant. Iran. J. Environ. Health Sci. Eng. 2010, 7, 437–442. [Google Scholar]
- Li, W.; Wang, J.; Xin, H.; Li, T.; Duan, J.; Mulcahy, D. Determination of Cost-Effective Optimum Coagulant Dosage for Removal of Disinfection by-Product Precursors in Water Treatment Based on the Theory of Elasticity. J. Water Process Eng. 2022, 47, 102782. [Google Scholar] [CrossRef]
- Saini, R.; Kumar, P.; Hira, S.K.; Manna, P.P. Evaluation of Carbofuran-Mediated Toxicity against Human Lymphocytes and Red Blood Cells in Simulated Wastewater Degraded by Coagulation–Flocculation. Environ. Sci. Pollut. Res. 2017, 24, 15315–15324. [Google Scholar] [CrossRef]
- Lee, J.W.; Choi, S.P.; Thiruvenkatachari, R.; Shim, W.G.; Moon, H. Evaluation of the Performance of Adsorption and Coagulation Processes for the Maximum Removal of Reactive Dyes. Dye. Pigment. 2006, 69, 196–203. [Google Scholar] [CrossRef]
- Dalvand, A.; Ehrampoush, M.H.; Ghaneian, M.T.; Mokhtari, M.; Ebrahimi, A.A.; Ahmadi, R.M.; Mahvi, A.H. Application of Chemical Coagulation Process for Direct Dye Removal from Textile Wastewater. J. Environ. Health Sustain. Dev. 2017, 2, 333–339. [Google Scholar]
- Al-Degs, Y.S.; El-Barghouthi, M.I.; El-Sheikh, A.H.; Walker, G.M. Effect of Solution PH, Ionic Strength, and Temperature on Adsorption Behavior of Reactive Dyes on Activated Carbon. Dye. Pigment. 2008, 77, 16–23. [Google Scholar] [CrossRef]
- Aguedach, A.; Brosillon, S.; Morvan, J.; Lhadi, E.K. Influence of Ionic Strength in the Adsorption and during Photocatalysis of Reactive Black 5 Azo Dye on TiO2 Coated on Non Woven Paper with SiO2 as a Binder. J. Hazard. Mater. 2008, 150, 250–256. [Google Scholar] [CrossRef]
- LeHoux, J.G.; Dupuis, G. Recovery of Chitosan from Aqueous Acidic Solutions by Salting-out: Part Use of Inorganic Salts. Carbohydr. Polym. 2007, 68, 295–304. [Google Scholar] [CrossRef]
- Yu, J.X.; Cai, X.L.; Feng, L.Y.; Xiong, W.L.; Zhu, J.; Xu, Y.L.; Zhang, Y.F.; Chi, R.A. Synergistic and Competitive Adsorption of Cationic and Anionic Dyes on Polymer Modified Yeast Prepared at Room Temperature. J. Taiwan Inst. Chem. Eng. 2015, 57, 98–103. [Google Scholar] [CrossRef]
- Shirazi, E.K.; Metzger, J.W.; Fischer, K.; Hassani, A.H. Simultaneous Removal of a Cationic and an Anionic Textile Dye from Water by a Mixed Sorbent of Vermicompost and Persian Charred Dolomite. Chemosphere 2019, 234, 618–629. [Google Scholar] [CrossRef] [PubMed]
- Tolkou, A.K.; Tsoutsa, E.K.; Kyzas, G.Z.; Katsoyiannis, I.A. Sustainable Use of Low-Cost Adsorbents Prepared from Waste Fruit Peels for the Removal of Selected Reactive and Basic Dyes Found in Wastewaters. Environ. Sci. Pollut. Res. 2024, 31, 14662–14689. [Google Scholar] [CrossRef]
- Kumari, B.; Chauhan, S.; Kumar, K.; Singh, S.; Chauhan, G.S. Simultaneous Removal of Cationic and Anionic Dyes from a Complex Mixture Using a Novel Composite Hydrogel Based on Pine Needles, Chitosan, and Gelatin. Int. J. Biol. Macromol. 2025, 307, 141447. [Google Scholar] [CrossRef] [PubMed]
- Tolkou, A.K.; Tsoutsa, E.K.; Katsoyiannis, I.A.; Kyzas, G.Z. Simultaneous Removal of Anionic and Cationic Dyes on Quaternary Mixtures by Adsorption onto Banana, Orange and Pomegranate Peels. Colloids Surf. A Physicochem. Eng. Asp. 2024, 685, 133176. [Google Scholar] [CrossRef]
- de Souza, R.F.B.; Silvestrin, G.; Soares, E.P.; Fasioli, B.; Urano, d.C.E.F.; Genezini, F.A.; da Silva, P.S.C.; Neto, A.O.; Andrade, D.A. Structural Evolution in Tin Chloride through Neutron Irradiation: Toward Indium-Doped Tin. ACS Omega 2025, 10, 20701–20704. [Google Scholar] [CrossRef]
- Nadjia, L.; Abdelkader, E.; Mohamed, T. Investigation of Microstructural, Optical, and Photocatalytic Properties of Sol–Gel Synthesized Pristine SnO2 Nanoscale Particles. Appl. Phys. A Mater. Sci. Process. 2025, 131, 224. [Google Scholar] [CrossRef]
- Wang, J.; Liu, S.; Cao, X.; Wang, Z.; Guo, Y.; Li, X.; Liu, C.; Jiang, W.; Wang, H.; Wang, N.; et al. One-Pot Synthesis and Gas Sensitivity of SnO2 Nanoparticles Prepared Using Two Sn Salts of SnCl4·5H2O and SnCl2·2H2O. Appl. Phys. A Mater. Sci. Process. 2020, 126, 44. [Google Scholar] [CrossRef]
- Zhihui, J.; Chun, Y.; Fangnan, Z.; Xiaolian, C.; Yuhi, L.; Huiping, X. One-Step Reinforcement and Deacidification of Paper. Coatings 2020, 10, 1226. [Google Scholar] [CrossRef]
- Thamilarasan, V.; Sethuraman, V.; Gopinath, K.; Balalakshmi, C.; Govindarajan, M.; Mothana, R.A.; Siddiqui, N.A.; Khaled, J.M.; Benelli, G. Single Step Fabrication of Chitosan Nanocrystals Using Penaeus Semisulcatus: Potential as New Insecticides, Antimicrobials and Plant Growth Promoters. J. Clust. Sci. 2018, 29, 375–384. [Google Scholar] [CrossRef]
- Lustriane, C.; Dwivany, F.M.; Suendo, V.; Reza, M. Effect of Chitosan and Chitosan-Nanoparticles on Post Harvest Quality of Banana Fruits. J. Plant Biotechnol. 2018, 45, 36–44. [Google Scholar] [CrossRef]
- Limwanich, W.; Phetsuk, S.; Dumklang, M.; Cheechana, N.; Meepowpan, P.; Punyodom, W. Development of the Effective Tin(II)-Macroinitiators from the Ring-Opening Polymerization of Cyclic Esters for Utilizing in the Production of the Ultra-High Molecular Weight Polyester. Polym. Bull. 2024, 82, 1085–1105. [Google Scholar] [CrossRef]
- Trujillo, S.A.; Peña-Solórzano, D.; Bejarano, O.R.; Ochoa-Puentes, C. Tin(Ii) Chloride Dihydrate/Choline Chloride Deep Eutectic Solvent: Redox Properties in the Fast Synthesis of: N -Arylacetamides and Indolo(Pyrrolo)[1,2- a] Quinoxalines. RSC Adv. 2020, 10, 40552–40561. [Google Scholar] [CrossRef] [PubMed]
- Manoj, K.P.; Elangovan, N.; Sowrirajan, S.; Chandrasekar, S.; Arumugam, N.; Almansour, A.I.; Altaf, M.; Mahalingam, S.M. Crystal Structure, Hirshfeld Analysis and Computational Study on Tin (IV) Complex: Insights from Synthesis, Spectroscopic, Anticancer Activity and Molecular Docking Studies. J. Mol. Struct. 2024, 1301, 137276. [Google Scholar] [CrossRef]
- Szyguła, A.; Guibal, E.; Ruiz, M.; Sastre, A.M. The Removal of Sulphonated Azo-Dyes by Coagulation with Chitosan. Colloids Surf. A Physicochem. Eng. Asp. 2008, 330, 219–226. [Google Scholar] [CrossRef]
- Tlaiaa, Y.S.; Naser, Z.A.R.; Ali, A.H. Comparison between Coagulation and Electrocoagulation Processes for the Removal of Reactive Black Dye RB-5 and Cod Reduction. Desalin. Water Treat. 2020, 195, 154–161. [Google Scholar] [CrossRef]
- Assadi, A.; Soudavari, A.; Mohammadian, M. Comparison of Electrocoagulation and Chemical Coagulation Processes in Removing Reactive Red 196 from Aqueous Solution. J. Hum. Environ. Health Promot. 2016, 1, 172–182. [Google Scholar] [CrossRef]
- Rudra Paul, S.; Singh, N.H.; Debnath, A. Quick and Enhanced Separation of Eosin Yellow Dye from Aqueous Solution by FeCl3 Interaction: Thermodynamic Study and Treatment Cost Analysis. Int. J. Environ. Anal. Chem. 2022, 2874–2894. [Google Scholar] [CrossRef]
- Kim, T.H.; Park, C.; Yang, J.; Kim, S. Comparison of Disperse and Reactive Dye Removals by Chemical Coagulation and Fenton Oxidation. J. Hazard. Mater. 2004, 112, 95–103. [Google Scholar] [CrossRef]
- Patel, H.; Vashi, R.T. Removal of Congo Red Dye from Its Aqueous Solution Using Natural Coagulants. J. Saudi Chem. Soc. 2012, 16, 131–136. [Google Scholar] [CrossRef]
- Goudjil, S.; Guergazi, S.; Ghernaout, D.; Temim, D.; Masmoudi, T. Brilliant Green and Methyl Violet 2B Dyes Removal Using Aluminium Sulfate (AS) in Single and Binary Systems. Desalin. Water Treat. 2024, 319, 100539. [Google Scholar] [CrossRef]
- Benalia, A.; Derbal, K.; Baatache, O.; Lehchili, C.; Khalfaoui, A.; Pizzi, A. Removal of Dyes from Water Using Aluminum-Based Water Treatment Sludge as a Low-Cost Coagulant: Use of Response Surface Methodology. Water 2024, 16, 1400. [Google Scholar] [CrossRef]
Disclaimer/Publisher’s Note: The statements, opinions and data contained in all publications are solely those of the individual author(s) and contributor(s) and not of MDPI and/or the editor(s). MDPI and/or the editor(s) disclaim responsibility for any injury to people or property resulting from any ideas, methods, instructions or products referred to in the content. |
© 2025 by the authors. Licensee MDPI, Basel, Switzerland. This article is an open access article distributed under the terms and conditions of the Creative Commons Attribution (CC BY) license (https://creativecommons.org/licenses/by/4.0/).












