Abstract
The sol–gel synthesis of titanium dioxide (TiO2) nanostructures is investigated in the present work in order to optimize synthesis parameters and enhance the optical properties and cost-effectiveness of the obtained materials. TiO2 is widely used in photocatalysis, photovoltaics, and environmental applications due to its high stability, tunable band gap, and strong light absorption. The sol–gel method offers a scalable, cost-effective route for producing nanostructured TiO2, although the precise control over particle morphology remains challenging. For this reason, in the present work, a statistical design of experiments (DOE) approach is employed to systematically refine reaction conditions through the manipulation of precursor concentrations, solvent ratios, and reaction volume. The experimental results obtained indicate that acetic acid is a key catalyst and stabilizing agent, significantly improving nucleation control and particle formation. Moreover, it is also shown that solvent dilution, particularly with acetic acid, leads to the formation of TiO2 nanorods with enhanced optical properties. Additionally, scanning electron micrographs revealed that controlled synthesis conditions can reduce the particle size distribution and improve structural uniformity. Moreover, X-ray diffraction analyses confirmed the formation of a pure anatase crystalline phase, while ultraviolet–visible spectroscopy analyses indicated the existence of an optimal band gap for photocatalytic applications. Finally, the cost analysis showed that acetic acid-assisted synthesis can reduce production costs and simultaneously maintain high optical properties. Therefore, the present study highlights that proper manipulation and control of reaction conditions during sol–gel syntheses can allow the manufacture of high-performance TiO2 nanomaterials for advanced technological applications, also providing a foundation for the development of cost-effective materials.
1. Introduction
Titanium dioxide (TiO2) has received substantial interest in recent years due to its versatile applications in fields such as photovoltaics, photocatalysis, and environmental remediation. As a semiconductor with a significant band gap (3.2 eV for anatase), TiO2 exhibits remarkable photocatalytic and optical properties, especially in its anatase phase, which is highly desirable for catalytic reactions under UV light (λ ≤ 387 nm for anatase) because TiO2 generates electron–hole pairs (e−/h+) that drive surface redox reactions [1,2,3]. In addition, modifying the TiO2 surface and decreasing the size of TiO2 to the nanoscale can reduce the lattice parameters to change the geometric and electronic structure of the TiO2 due to the modification in the distance between atoms in the crystalline lattice. With the increase in surface energy, the surface bonds weaken, favoring the exit of the oxygen atom to form oxygen vacancies [4].
Numerous synthesis methods, including hydrothermal processing, chemical vapor deposition, and electrochemical approaches, have been explored to produce TiO2 with controlled size, morphology, and crystalline phase [5,6]. The hydrothermal method requires high temperature, long synthesis time, and an autoclave reactor to produce TiO2 nanotubes and nanowires with 15 and 70 nm widths and microns in length at 150 or 200 °C for 24 h, respectively [7,8]. The electrochemical method requires harmful fluoride-containing electrolytes (NaF/NH4F/ethylene glycol) to anodize titanium (Ti) foil under applied voltages (20–60 V), where fluoride ions etch Ti to form soluble [TiF6]2− complexes, while simultaneous oxidation generates TiO2. By adjusting parameters such as voltage, electrolyte composition, and anodization time, nanowire morphology with 1–50 µm length and 20–200 nm diameter can be obtained [9,10].
In contrast, the sol–gel method requires titanium alkoxide, water, and acid to catalyze the hydrolysis and condensation reactions at room temperature for 1 h to produce TiO2 nanowires with 70 nm width and microns in length. Despite these advancements, achieving precise control over particle characteristics remains a challenging, often demanding combination with alternative methodologies to balance efficiency, cost, and material quality [11,12,13].
In this scenario, the sol–gel method has emerged as a promising route for synthesizing nanostructured TiO2 due to its unique advantages. This approach facilitates control over particle size, composition, and structural characteristics, enabling the production of very pure materials with uniform morphology [14]. Moreover, sol–gel processing is advantageous for its cost-effectiveness and scalability, as it operates at relatively low temperatures and requires a straightforward setup, making its use feasible for both laboratory and industrial scales [2,11]. Particularly, the versatility of the sol–gel method, combined with the easy manipulation of reaction conditions, offers a pathway to tailor TiO2 structures with specific functionalities suited to distinct applications.
Nevertheless, successful sol–gel synthesis depends on careful control of reaction parameters. In particular, the selection of precursors, solvents, and catalysts critically affects the resulting material properties. For example, titanium isopropoxide (TTIP) is a common precursor in TiO2 synthesis, although it poses operational challenges due to its tendency to precipitate when exposed to high water contents. Therefore, managing water levels within the reaction environment is essential to avoid uncontrolled TTIP precipitation, which can lead to products with irregular particle sizes and morphologies [15,16,17]. The solvent selection also plays an important role, and isopropanol and acetic acid are used often in this process. However, acetic acid is commonly employed to stabilize TTIP and regulate hydrolysis and condensation reactions, thereby promoting consistent particle formation [15,17].
In order to replicate and refine a previously reported methodology for the production of TiO2 nanorods, the sol–gel synthesis of TiO2 is investigated in the present work. With the help of a statistical design of experiments (DOE), reaction parameters are systematically manipulated to optimize some product properties and overcome issues related to the generation of broad particle size distributions and uncontrolled particle morphologies. The proposed design variables included TTIP concentrations, solvent volumes, and reaction times to achieve the reproducible manufacture of TiO2 nanorods with desirable optical and structural characteristics. The proposed DOE protocol can also be used to produce high-quality TiO2 materials that can be suitable for different advanced applications.
2. Materials and Methods
2.1. Materials and Instrumentation
Analytical grade titanium (IV) oxide (TiO2, 98%, Neon), nanostructured titanium (IV) oxide (TiO2, 99.9%, Sigma-Aldrich, São Paulo, Brazil), titanium (IV) isopropoxide (Ti[OCH(CH3)2]4, 97%, Sigma-Aldrich, São Paulo, Brazil), isopropyl alcohol ((CH3)2CHOH, 99.5%, Isofar, São Paulo, Brazil), acetic acid (CH3COOH, 99.7%, Vetec, São Paulo, Brazil), hydrochloric acid (HCl, 37%, Vetec, São Paulo, Brazil), and nitric acid (HNO3, 70%, Vetec, São Paulo, Brazil) were used as received. All glassware was cleaned with aqua regia (HCl:HNO3 = 3:1) before the synthesis process to prevent contamination.
Scanning electron micrographs (SEMs) were obtained with a Tescan VEGA 3 LMU microscope (Tescan, Brno, Czech Republic) operated at 30 kV and a Thermo Scientific Quattro S microscope (ThermoFisher, Waltham, MA, USA) operated at 30 kV. Samples were prepared by drop-casting an aqueous suspension of the analyzed nanostructures over a silicon wafer, followed by drying at ambient conditions. The particle size distributions were analyzed with the help of the obtained SEM images, as processed with ImageJ 1.54 software (National Institutes of Health, Bethesda, MD, USA).
Thermogravimetric (TGA) measurements were carried out using a TA Discovery TGA55 equipment (TA Instruments, New Castle, DE, USA) in the temperature range of 25–1000 °C with a heating rate of 5 °C min−1 under synthetic air flow.
X-ray diffraction (XRD) analyses were performed in a Rigaku Miniflex X-Ray diffractometer (Rigaku, Tokyo, Japan), using Cu K-alpha radiation (λ = 1.5418 Å). The diffraction patterns were obtained in the 2θ range of 20 to 90°, with a scanning angular speed of 0.05° min−1. The diffractograms were analyzed with the aid of crystallographic files from the JCPDS database (Joint Committee on Powder Diffraction Standards) of the JADE 5 software (International Centre for Diffraction Data (ICDD®), Newtown Square, PA, USA).
Ultraviolet–visible (UV–Vis) spectra were obtained from aqueous suspensions containing the nanostructures and were analyzed in a ThermoFisher Scientific Multiskan GO UV/Vis µPlate spectrophotometer (ThermoFisher, Waltham, MA, USA). In the standardized procedure, 50 mg of the nanostructures were added to a Falcon tube with 50 mL of Milli-Q water and submitted to a sonication bath for 15 min. Then, 50 µL was poured onto a quartz plate and analyzed. The raw spectra were evaluated in an Excel spreadsheet (Microsoft, Redmond, WA, USA) by subtracting the water spectra to adjust the baseline. Band gap energy was obtained from UV–Vis spectra via the Tauc plot method described in Equation (1), where h is the Planck constant, ν is the photon’s frequency, Eg is the band gap energy, α is the absorption coefficient, the γ factor is the electron transition (γ = 1/2 for the direct transition band gap), and B is a constant [18]. The cross-section area of UV–Vis spectra was calculated from the integration of the UV–Vis extinction spectrum expressed in arbitrary units multiplied by wavelength (a.u. nm), to represent a quantitative measure of a material’s total light absorption capacity across the measured wavelength range from 300 to 800 nm.
2.2. Synthesis of TiO2 Nanostructures
TiO2 nanostructures were synthesized using the well-known sol–gel method, according to the DOE presented in Table 1. Initially, the specified amount of titanium (IV) isopropoxide was added to half of the isopropyl alcohol volume and stirred for 10 min at room temperature. Then, acetic acid was added to the mixture when the reaction medium self-warmed up due to the exothermal reaction between acetic acid and isopropanol to produce isopropyl acetate and water (Scheme 1A). Then, the reaction medium was allowed to return to room temperature. After 20 min, the second half of the isopropanol volume was added to the mixture and stirred for 40 min at room temperature. Next, the gel formed through hydrolysis of titanium (IV) isopropoxide (Scheme 1B), condensation reaction (Scheme 1C), and polycondensation reaction (Scheme 1D) was placed in an oven at 100 °C for 3 h. Finally, the solid obtained after drying was annealed at 450 °C for 2 h with a heat ratio of 1 °C min−1.
Table 1.
Design of experiments for the sol–gel method.
Scheme 1.
Schematic representation of the reaction steps during the synthesis of TiO2 nanostructures via the sol-gel method, including esterification (A), hydrolysis (B), condensation (C), and polycondensation (D).
2.3. Statistical Analyses
The proposed DOE was based on two half-factorial experimental designs (23-1) with triplicates at the central point to investigate the effects of three variables (amounts of titanium (IV) isopropoxide, isopropyl alcohol, and acetic acid) at two scales (30 mL and 15 mL). Moreover, three experiments were performed in the presence of additional amounts of solvents to investigate the effect of dilution at the central point in the 30 mL scale. Table 1 shows the proposed experiments and the respective variable values. The DOE results were analyzed with the help of the STATISTICA 7 software (StatSoft, Tulsa, OK, USA).
2.4. Cost Analyses
The synthesis cost is calculated as the sum of the values corresponding to the price of the quantity of each reagent (i) used in the experiment divided by the theoretical TiO2 mass obtained in the experiment, depicted in Equation (2). Reactant prices were obtained from Sigma-Aldrich (São Paulo, Brazil) in November 2024, being equal to 107.87 USD L−1 for TTIP, 56.74 USD L−1 for acetic acid, 19.48 USD L−1 for isopropanol, and 19.24 USD L−1 for acetone. The mass of TiO2 () was calculated as the theoretical yield (assuming 100 % conversion and one mol of TTIP is equal to one mol of TiO2) to eliminate variability introduced by experimental factors such as material adhesion to glassware.
3. Results and Discussion
It is important to emphasize that the present study was initiated with the selection of a promising method for the synthesis of TiO2 nanomaterials. Several well-established techniques are available for the preparation of nanostructured TiO2, including hydrothermal synthesis, chemical vapor deposition (CVD), and electrochemical methods [11,15,16,19]. Among these routes, the sol–gel method emerged as one of the most promising due to its remarkable versatility and efficiency. This method involves the transition of a suspension (Sol) into a solid gel phase, allowing precise control over the chemical composition and structural and optical properties of the final TiO2 nanomaterials, allowing the production of very pure materials with uniform particle size distributions and morphology. Moreover, the sol–gel process can be performed at relatively low temperatures and using a relatively simple experimental apparatus so that lower production costs can also be expected [19,20]. These advantages, which combine the capability to produce high-quality TiO2 nanomaterials, cost-effectiveness, and scalability, support the selection of the sol–gel method in the present study.
A total of 57 papers were reviewed from the literature to establish the state of the art for the sol–gel method, as summarized in Table S1 of the Supplementary Materials [21,22,23,24,25,26,27,28,29,30,31,32,33,34,35,36,37,38,39,40,41,42,43,44,45,46,47,48,49,50,51,52,53]. It was then observed that a wide variety of reactants, including surfactants, polymers, oxygenated molecules, and alkaline compounds, have already been used in the sol–gel method. However, Reyes et al. synthesized TiO2 nanowires using only TTIP, isopropanol, and acetic acid in a 1:4:4 molar ratio [38], which was set as the standard for the present work due to the very simple experimental protocol proposed by these authors.
The sol–gel synthesis of TiO2 involves hydrolysis and condensation reactions as a typical sol–gel process, as illustrated in Scheme 1. The first step is the hydrolysis of TTIP in the presence of water (H2O), which can be catalyzed by acids, for example. In this step, the alkoxide groups (-OCH(CH3)2) are replaced by hydroxyl groups (-OH), leading to the formation of a titanium tetra hydroxide (Ti(OH)4) (Equation (3)) [20,54].
Ti[OCH(CH3)2]4 + 4H2O → Ti(OH)4 + 4HOCH(CH3)2
Then, condensation reactions also take place, where the hydroxyl groups react with each other, releasing water and forming Ti-O-Ti bonds, which leads to the formation of a TiO2 network (Equation (4)).
Ti(OH)4 → TiO2 + 2H2O
However, an important aspect concerning the titanium precursor must be considered in the sol–gel synthesis of TiO2: it is well-known that TTIP exhibits a tendency to precipitate instantaneously upon contact with water. This immediate precipitation of TTIP into TiO2 severely limits the control of the final properties of the resulting TiO2 structures [55,56]. Therefore, it is imperative to ensure that the water content in the reaction mixture is kept low. To achieve this, a well-established alternative is the use of water-free solvents, such as isopropyl alcohol and acetic acid. These solvents help to moderate hydrolysis and condensation reactions, thereby providing better control over the formation and properties of the TiO2 structures [19,57]. Isopropyl alcohol acts as a solvent that can dissolve TTIP, and acetic acid acts as a chelating agent, stabilizing the precursor solution and preventing rapid precipitation. This careful control of the reaction environment is crucial for obtaining TiO2 with desirable structural and functional properties.
Thus, the overall sol–gel process for synthesizing TiO2 using TTIP, isopropanol, and acetic acid involves these hydrolysis and condensation reactions, facilitated by the solvent (isopropanol) and catalyst (acetic acid) [19,56]. Particularly, acetic acid reacts with TTIP to form titanium acetate species (Equation (5)), which then hydrolyze (Equation (6)) and condense (Equation (7)) forming TiO2:
Ti[OCH(CH3)2]4 + CH3COOH → Ti(OCH(CH3)2)3(CH3COO) + HOCH(CH3)2
Ti(OCH(CH3)2)3(CH3COO) + 3H2O → Ti(OH)(CH3COO)3 + 3HOCH(CH3)2
Ti(OH)(CH3COO)3 → TiO2 + 3CH3COOH + H2O
Before running the syntheses, to mitigate the premature precipitation of TTIP, the water contents of all reactants were quantified through Karl Fischer titration, which is probably the best-known and most widely used titration method for water determination [58,59]. More specifically, Karl Fischer titration is a classic analytical method used to quantify the water content in various substances, particularly in liquid solutions. This technique is widely applied due to its accuracy, sensitivity, and versatility. Chemically, the quantitative determination of water is achieved through its complete reaction with iodine (I2) and sulfur dioxide (SO2) in the presence of methanol (CH3OH) as the solvent and pyridine (C5H5N) as the base that facilitates the reaction [58]. Herein, the overall chemical reaction in Karl Fischer titration can be summarized as follows (Equation (8)):
H2O + I2 + SO2 + CH3OH + 3C5H5N → 2C5H5N⋅HI + C5H5N⋅H + HSO4CH3−
Table 2 presents the water contents of reactants as provided by the manufacturers (labels) and measured through Karl Fischer titration analyses. As one can observe, the actual water contents of isopropanol and acetic acid were smaller than indicated by the providers, confirming the feasibility of synthesizing TiO2 nanomaterials through the sol–gel method using these reactants.
Table 2.
Water contents of employed reactants.
After confirming that the reactants used in the reaction trials contained small amounts of water to prevent premature precipitation of TTIP, an experiment was performed under the standard conditions reported by Rodríguez-Reyes and Dorantes-Rosales, with the stoichiometric ratio of 1:4:4 for TTIP, isopropanol, and acetic acid, respectively [38]. During the process, a notable transition from an initially transparent solution to an opaque white suspension and subsequently to a gel state was observed [60]. Initially, a colorless solution of TTIP and isopropanol was formed [56]. Upon the addition of acetic acid, the mixture turned white and opaque, with increased viscosity, indicating the onset of gelation [19]. This transition is attributed to the esterification reaction between isopropanol and acetic acid, producing water and isopropyl acetate (Equation (9) and Scheme 1).
CH3CH(OH)CH3 + CH3COOH → CH3COOCH(CH3)2 + H2O
One must observe that the gradual and controlled release of water within the reaction medium is strategically significant, as it facilitates the regulated precipitation of TiO2, which is crucial for controlling properties such as particle size distribution and morphology. After this step, chelated TTIP undergoes hydrolysis, followed by condensation of Ti(OH)4, which further undergoes polycondensation with neighboring Ti(OH)4 units, resulting in the formation of a three-dimensional network corresponding to a fluidic white opaque gel [60]. Following the removal of water and solvents, the obtained gel is converted into a white xerogel, which is dried and calcined to obtain TiO2 as the final product.
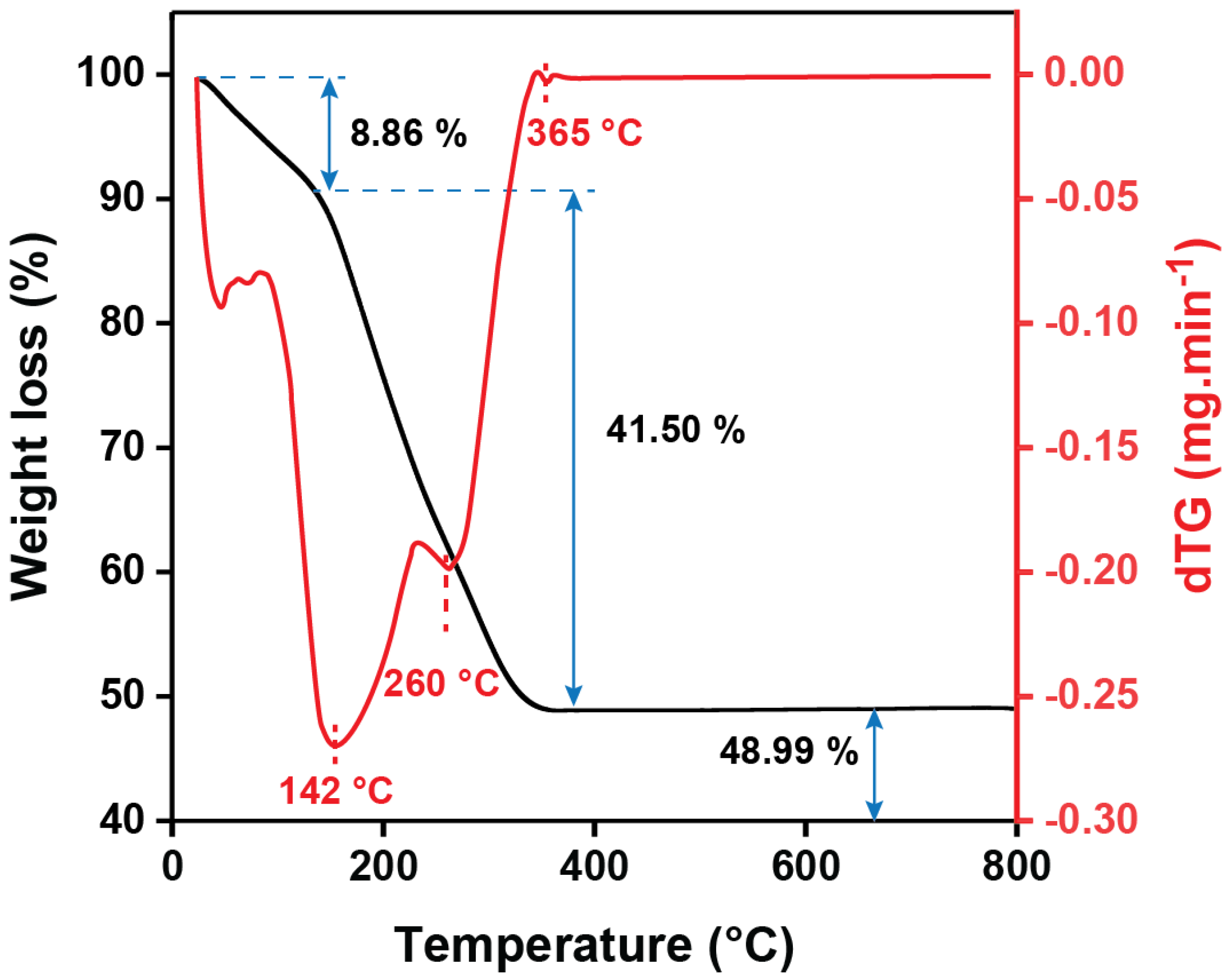
The calcination temperature was determined through thermogravimetric analysis (Figure 1), which indicated a weight loss event below 100 °C (which can be attributed to loss of free water and/or solvent removal) and other two weight loss events at 142 and 260 °C, which can be associated with the loss of adsorbed water and light organic compounds, respectively. After heating, a total weight loss of ~50% was observed, without additional weight loss events above 400 °C, which might be associated with the decomposition of organic matter present in the synthesis. Thus, the calcination temperature of 450 °C, with a heating rate of 5 °C min−1, was specified to prevent morphological destruction, as also described in the literature [38,55].
Figure 1.
TGA thermogram of the TiO2 material synthesized at the reference condition [21].
Figure 2 displays characterization data of the TiO2 material synthesized at the reference condition, including the SEM micrograph (Figure 2A), particle size distribution (Figure 2B), XRD profile (Figure 2C), and UV–Vis spectrum with an inset Tauc plot (Figure 2D). The SEM micrograph (Figure 2A) indicates that the obtained TiO2 particles exhibited irregular morphology, resulting in irregular particles that did not present the desired nanorod morphology. Moreover, the particles presented a broad size distribution with an average size of 4.0 ± 3.2 μm, as illustrated in Figure 2B. Figure 2C displays the XRD pattern of the obtained TiO2 particles and the diffraction pattern of the anatase phase for comparison (JCPDS 21-1272). Interestingly, the TiO2 sample showed only peaks corresponding to the anatase phase, indicating that the TiO2 synthesis resulted in a crystalline monophasic material. This can be attributed to the use of acetic acid as a modifier, which allows precise control over the condensation and polycondensation stages of the sol–gel process, leading to the crystallization of TiO2 in the anatase phase [19,54]. Additionally, no peaks from other components were detected, indicating the effectiveness of the purification process in removing synthesis-related impurities. The formation of the TiO2 material synthesized at the standard condition was also monitored by UV–Vis spectroscopy, as shown in Figure 2D. The obtained material exhibited a strong extinction band in the range of ~250 to ~400 nm, corresponding to a band gap of approximately 3.2 eV [60,61], which translates to a wavelength of approximately 387.5 nm, characteristic of the anatase phase, reinforcing the proposed interpretation of the XRD results. The Tauc plot derived from UV–Vis data (Figure 2D) yielded an optical band gap of 3.8 eV, higher than the theoretical 3.2 eV value for anatase TiO2. The 0.6 eV discrepancy can arise from scattering artifacts from the irregular morphology and size distribution, or intermediate trap states introduced by defects in the sol–gel-derived material [62].
Figure 2.
SEM micrograph (A), particle size distribution (B), XRD diffractogram (C), and UV–Vis spectrum (D) of the TiO2 material synthesized at the standard condition [38].
After synthesizing the TiO2 material at the conditions outlined in the referenced article, it was observed that the desired formation of nanorods was not achieved. Instead, the resulting TiO2 particles were irregular, exhibited only the anatase phase, and displayed a UV–Vis absorption profile with a strong extinction band between 250 and 400 nm, which is significant for optical applications. However, the observed lack of control over particle morphology, the broad size distribution, and the characteristic micro-sized dimensions emphasized the need to optimize the sol–gel process conditions to achieve the desired TiO2 properties. It must be pointed out that the reproduction of previously established syntheses often poses reproducibility challenges due to unavoidable variations in experimental conditions, precursor quality, and subtle differences in procedural execution [19,56,60].
To address the proposed task, a DOE approach was employed with the primary objectives of (i) minimizing the size distribution of TiO2 nanostructures, (ii) maximizing the yield of TiO2 nanorods per batch, (iii) enhancing the optical properties of TiO2 nanostructures, and (iv) reducing synthesis costs. These objectives guided the pursued optimization efforts, providing a systematic approach to improve the synthesis and application of TiO2 nanomaterials by exploring and optimizing several synthesis variables.
Table S1 of the Supplementary Materials highlights 57 papers that utilize the sol–gel method for the manufacture of TiO2 nanostructures, establishing the scope of the present study and setting parameters for reactants, proportions, reaction temperatures, and reaction times. Based on these references, key variables were identified for the proposed sol–gel procedure: the amounts of TTIP, isopropanol, and acetic acid. These reactants were then varied by ±50% mol, with TTIP ranging from 0.5 to 1.5 mol, and isopropanol and acetic acid adjusted proportionally from 2.0 to 6.0 mol, according to Table 1, using the reference condition as the central point.
Figure 3 presents the SEM micrographs of all TiO2 structures obtained after calcination, with central point samples prepared at the scale of 30 mL. The molar ratios among the reactants are noted at the bottom left of each SEM micrograph. Initially, the gelation time for all experiments was approximately equal to 60 min after the addition of acetic acid. The samples displayed a broad range of morphologies and sizes, as shown in Table 3, with particle sizes ranging from 118 nm to 3.8 μm. Notably, some experiments yielded isolated nanorods, as shown in Figure 3G–I. Additionally, Figure 3B shows that sample S4 produced nanorods with an average width of 157 nm and nanospheres.
Figure 3.
SEM micrographs of the TiO2 materials obtained at a 30 mL scale for samples S1 (A), S3 (B,I), S6 (C), S4 (D), S2 (E,H), S5 (F), and S7 (G).
Table 3.
Morphologies, average particle sizes, cross-section areas of UV–Vis spectra, and costs per gram of TiO2 particles prepared in the proposed experimental plan.
Due to the broad particle size distributions and varied morphologies, the optical properties of the samples prepared at the scale of 30 mL depicted in the UV–Vis spectra of Figure 4 also varied considerably. The integrated area under the UV–Vis extinction spectrum, expressed in arbitrary units multiplied by wavelength (a.u.·nm), serves as a semiquantitative metric to evaluate the overall light absorption capacity across the measured wavelength range (Table 3). This parameter offers a more comprehensive assessment of optical properties than band gap analysis alone, as it incorporates absorption intensity over the entire spectral region. However, while this integrated area provides a useful comparative index for optical behavior, it does not account for electronic transitions or photon flux effects. A greater integrated area corresponds to stronger overall light absorption, which directly relates to increased generation of electron–hole pairs and, consequently, enhanced photocatalytic activity. Among the tested samples, those exhibiting higher values demonstrate superior potential for photocatalytic applications due to their improved light-harvesting efficiency. Sample S3, which exhibited rod-like morphology with an average width of 157 nm, showed the best optical properties in the ~30 mL scale. In contrast, samples with undefined morphology and larger particle sizes exhibited poorer optical properties, with quantitative values that were smaller than one-fifth of the values reported for sample S3.
Figure 4.
XRD profile (A), UV–Vis spectra (B), and band gap values (C) of the TiO2 materials obtained at the scale of 30 mL.
The XRD diffractograms (Figure 4A) confirm the exclusive presence of anatase-phase TiO2 in all samples (S1–S7), demonstrating successful monophasic synthesis with high purity. No peaks corresponding to impurities or other TiO2 polymorphs (e.g., rutile or brookite) were detected. Crystallite sizes, determined using the Scherrer equation, range from 6.5 nm (S3) to 11.5 nm (S5), with most samples clustered between 6.5 and 7.2 nm. As expected, while larger particle sizes correlate with smaller crystallites (as seen in most samples), sample S5 exhibits the smaller particle size (118 nm) and the larger crystallite size (11.5 nm).
Figure 4B shows the Tauc plot to obtain the band gap energy (Table 3) from UV–Vis spectra [18]. The Tauc plots reveal significant variations in the band gap energies of the synthesized TiO2 nanoparticles, reflecting differences in their electronic structure and crystallinity. For the 30 mL samples, the band gaps range from 1.8 eV (S3) to 3.7 eV (S2), suggesting substantial modifications in particle size, phase composition, or defect states. The low band gap of S3 (1.8 eV) could indicate the presence of oxygen vacancies, Ti3+ states, or amorphous regions that introduce mid-gap energy levels, reducing the optical band gap. In contrast, samples S2 (3.7 eV) and S6 (3.6 eV) exhibit values close to anatase TiO2 (~3.2 eV), implying higher crystallinity, and fewer defects. The repeated band gap of 3.2 eV for S4 and S5 suggests consistent synthesis conditions yielding phase-pure anatase, while S1 and S7 (2.4 eV) might represent rutile–anatase mixtures or surface-modified nanoparticles with enhanced visible-light absorption.
Figure 5 presents the SEM micrographs of TiO2 structures obtained at the central point experiments prepared at the scale of 15 mL. Reducing the reaction volume from 30 mL to 15 mL can improve the mass and heat transfer conditions, leading to enhanced conditions for more homogeneous particle nucleation and growth. Additionally, the improved homogenization at 15 mL can ensure a more uniform reactant distribution and mixing, minimizing the importance of concentration gradients and the formation of irregular or polydisperse nanoparticles. Enhanced control over the synthesis environment can allow anisotropic growth, facilitating the formation of rod-shaped nanoparticles rather than the larger, less controlled structures observed at the scale of 30 mL. Figure 6A,B depicts a high-resolution SEM micrograph of sample S7 at 15 mL, in which the TiO2 nanorods show a rod shape formed by the self-assembled nanoparticle with ~10 nm.
Figure 5.
SEM micrographs of the TiO2 materials obtained at the scale of 15 mL to sample S1 (A), S3 (B), S6 (C,H), S4 (D), S2 (E), S5 (F), and S7 (G,I).
Figure 6.
High-resolution SEM micrographs of experiments S7 (A,B) and S9 (C,D).
Figure 7 presents the XRD diffractograms and UV–Vis spectra of the obtained TiO2 structures at the scale of 15 mL. Figure 7A shows peaks that correspond exclusively to the anatase phase, indicating that TiO2 synthesis resulted in a crystalline monophasic material. The absence of peaks related to other components suggests the effective purification and removal of synthesis-related impurities. Figure 7B shows extinction peaks in the UV region (~250 to ~400 nm), as expected for TiO2 with a band gap of 3.2 eV. Notably, some samples, such as S2 and S3, displayed two distinct extinction peaks: the primary peak in the UV region is attributed to the intrinsic band gap absorption of anatase TiO2, while the secondary peak suggests the presence of different electronic states within the band gap [63,64,65].
Figure 7.
XRD profile (A), UV–Vis spectra (B), and band gap values (C) of the TiO2 materials obtained at the scale of 15 mL.
Figure 7C depicts the band gap obtained from the Tauc plot analysis of the 15 mL TiO2 samples, revealing intriguing relationships between nanoparticle morphology, particle size, and optical properties. Rod-shaped particles (S1 and S7) exhibit significantly different band gaps (3.7 eV and 3.9 eV, respectively) despite similar crystalline sizes (11.4 nm and 12.6 nm), suggesting that particle shape strongly influences electronic structure. The plate-like morphologies (S3 and S6) show intermediate band gaps (3.2 eV and 3.6 eV) that correlate with their larger crystalline sizes (15.4 nm and 21.9 nm), indicating that well-developed crystalline domains may moderate band gap energies. Notably, undefined morphology samples (S2, S4, and S5) display the widest variation in band gaps (3.1, 4.0, and 3.9 eV) resulting from a combination of large particle size (101, 183, and 695 nm) and intermediate crystalline size (12, 12, and 15.0 nm, respectively), which may create unique quantum confinement effects or interfacial strain.
Analyzing the correlation between volume, morphology, and optical properties reveals that the 30 mL samples generally exhibit lower band gaps (1.8–3.7 eV) compared to their 15 mL counterparts (3.1–4.0 eV), suggesting that higher volume promotes the formation of defect states that reduce the optical band gap. The 30 mL samples show a remarkable outlier in S3 (157 nm particles) with an exceptionally low band gap of 1.8 eV and the highest absorption cross-section (26.3 a.u. nm) among all samples, which is likely due to significant oxygen vacancies or Ti3+ states introduced during synthesis. In contrast, the 15 mL samples demonstrate more controlled growth, with rod-shaped particles (S1 and S7) showing well-defined optical properties and higher absorption cross-sections (86.1 and 23.4 a.u. nm, respectively), indicating that reduced solvent volume favors the development of morphologically uniform structures with enhanced light harvesting capabilities.
Due to the broad particle size distributions observed for the obtained TiO2 structures, the central point experiment was diluted with solvent to reduce the number of nucleation sites, thereby allowing more controlled growth. Three solvents were used: acetone, acetic acid, and isopropanol. Diluting the synthetic medium with a suitable solvent can allow TiO2 structures to be formed more uniformly, leading to better-controlled particle size distribution and morphology. Figure 8 presents SEM micrographs, XRD diffractograms, and UV–Vis spectra of experiments performed with dilution with acetone (Sample S8), acetic acid (Sample S9), and isopropanol (Sample S10).
Figure 8.
SEM micrographs of TiO2 materials obtained in experiments performed with dilution of acetone (A), acetic acid (B), and isopropanol (C), and respective XRD diffractograms (D) UV–Vis spectra (E) and Tauc plot (F).
Figure 8A shows experiment S8, where the central point of the proposed DOE was diluted with 30 mL of acetone, yielding large TiO2 microparticles with an average size of 120 μm and smaller particles, indicating the wide particle size distribution of the obtained material. Therefore, the addition of acetone is not beneficial for the proposed sol–gel method, as the ketone group reacts with TTIP, quickly precipitating as Ti(OOCR)4 [66].
Afterward, 30 mL of isopropanol or 30 mL of acetic acid was also used to dilute the central point experiment. The SEM micrographs in Figure 8 display results for acetic acid (Figure 8B) and isopropanol (Figure 8C) dilutions. Sample S9, diluted with acetic acid, underwent gelation 15 min after isopropanol was added to the acetic solution (no further acetic acid was added). The TiO2 structures exhibited rod morphology with a width of 109.6 ± 27.7 nm and length of 462.5 nm in a hierarchical structure formed by smaller nanorods of 25.3 nm in width. Figure 6C,D depicts a high-magnification micrograph of sample S9 that depicts a rod morphology, which suggests effective nucleation, with the acidic medium catalyzing the reaction, nucleation, and growth. Sample S9 yielded smaller particles with elongated morphologies, as also shown in Figure 3B and Figure 5B. This can be attributed to (i) acetic acid acting as a catalyst in the sol–gel reaction and (ii) its role as a capping agent [67].
The catalytic effect of acids on sol–gel reactions is well-known, influencing hydrolysis and condensation rates. Inorganic acids like HNO3 and HCl accelerate hydrolysis, outpacing condensation [19,20]. In contrast, organic acids such as acetic acid delay both hydrolysis and condensation, due to chelating properties that form stable intermediates [68,69,70,71,72,73,74]. This delayed reaction is advantageous for nanoparticle synthesis, allowing the controlled precipitation for regulated size and morphology. Parra et al. [69] suggested that using acetic acid as a modifier enables precise control over condensation and oligomerization, favoring anatase-phase crystallization. When acetic acid proportions are low, control over condensation is lost, potentially leading to amorphous particle agglomeration.
Under mild acidic conditions, acetic acid forms a stable Ti(OCOCH3)(OiPr)2 complex, where acetic and isopropyl groups hinder the availability of -OH, -OH2, or -O(iPr) groups for hydrolysis and condensation. In stronger acidic conditions, precursor hydrolysis proceeds further, forming dimers and linear chains along the crystalline plane. Acid-catalyzed oxolation minimizes titanium atom interactions, influencing final morphology and crystalline structure [68,69,72]. Excess acetic acid can steer condensation towards linear chain formation, promoting 1D morphologies [68,69,72]. In contrast, Sample S10, diluted with isopropanol, experienced gelation over 60 min, resulting in non-uniform, micrometer-sized particles. The low proportion of acetic acid reduced control over the condensation reaction, leading to an amorphous mass of agglomerated particles [68,69,71,72].
The XRD diffractograms (Figure 8D) confirm the exclusive presence of anatase-phase TiO2 in all samples (S8–S10), indicating successful monophasic crystalline synthesis. The absence of additional peaks suggests high purity, likely due to effective purification. The crystallite size varies significantly among the samples, with S9 (acetic acid) exhibiting the smallest crystallites (10.68 nm), while S10 (isopropanol) has larger crystallites (14.35 nm). The undefined morphology of S8 (acetone) correlates with its lack of reported crystallite size, possibly due to poor crystallinity or amorphous contributions. The differences in crystallite size may arise from solvent-dependent nucleation and growth kinetics during synthesis, with acetic acid favoring smaller, more uniform crystallites, whereas isopropanol leads to slightly larger ones.
The UV–Vis spectra (Figure 8E) show characteristic anatase absorption in the 250–400 nm range, with variations in extinction intensity reflecting differences in particle size and morphology. The cross-section area, representing the integrated absorption being a comparative index of TiO2 material, varies notably: S9 (acetic acid) has the highest value (82.2 a.u. nm), suggesting strong light absorption, likely due to its well-defined rod-like morphology and optimal crystallinity. In contrast, S10 (isopropanol) exhibits a lower cross-section (9.9 a.u. nm), possibly due to larger, less surface-active particles. S8 (acetone) shows minimal absorption (1.8 a.u. nm), which is consistent with its undefined structure and large particle size.
The Tauc plot (Figure 8F) reveals band gap variations: S9 (acetic acid) has the widest band gap (3.1 eV), close to bulk anatase (~3.2 eV), while S10 (isopropanol) shows a reduced band gap (2.9 eV), potentially due to quantum confinement effects or defect states. S8 (acetone) exhibits an unusually high band gap (4.4 eV), possibly indicating amorphous or highly disordered TiO2, which can widen the gap via localized electronic states. The band gap trends align with crystallite size and morphology, where smaller crystallites (S9) retain near-bulk properties, whereas larger or disordered structures (S8, S10) exhibit shifts due to size and structural effects.
The benchmark TiO2 materials reported in the literature demonstrate optimized band positions (CB: −0.5 to −0.3 V, VB: +2.7 to +2.9 V), which surpass those of many sol–gel-derived samples (S1, S3, and S7 at 30 mL). For example, the rod-shaped S1 (3.7 eV band gap) and S7 (3.9 eV) synthesized with 15 mL exhibit more negative conduction band positions than P25 TiO2 (3.2 eV), indicating greater potential for hydrogen evolution. However, their relatively large band gaps restrict photocatalytic activity to UV light, unlike the visible-light-active S3 (1.8 eV) and S10 (2.9 eV, isopropanol-derived). The acetic acid-synthesized S9 (3.1 eV) closely matches the band structure of anatase TiO2 (VB: +2.8 V), making it suitable for conventional photocatalytic applications, though it lacks the improved charge separation observed in phase junction materials.
Figure 6 depicts a high-resolution SEM micrograph of sample S7 at 15 mL and S9 with acetic acid as solvent. In the micrographs, it is possible to observe that the TiO2 nanorods with ~130 nm (S7) and ~110 nm (S9) width and 600 nm length were formed by the self-assembled nanoparticle with ~10 nm.
Table 3 also presents the synthesis costs per gram of produced TiO2. The cost per gram ranged from 0.49 to 1.31 USD g−1, including diluted experiments. Samples synthesized under standard conditions (S1, S4, S7) with balanced concentrations (0,0,0) exhibit moderate costs (0.68 USD g−1) and reasonable performance, with S7 (rods, 52 nm) standing out due to its defined morphology and UV–Vis absorption (23.4 a.u. nm). In contrast, extreme concentration variations (S2: 1,−1,−1; S5: 1,1,1) lead to undefined morphologies and inconsistent optical properties, despite cost differences (0.49–0.79 USD g−1).
Samples S8–S10, synthesized with additional solvents (acetone, acetic acid, or isopropanol), demonstrate how solvent selection influences both cost and material properties. Acetone (S8) produces oversized particles (5627 nm) with poor performance despite its moderate cost (0.95 USD g−1), while isopropanol (S10) generates undefined aggregates at the highest cost (1.31 USD g−1). In contrast, acetic acid (S9) forms well-defined rods with superior light absorption (82.2 a.u. nm) and a low band gap (3.1 eV), justifying its slightly higher price (0.89 USD g−1). Notably, while S7 (standard conditions) requires a 1 h reaction time, S9 can be synthesized in just 15 min. This means four batches of S9 can be produced at the same time as one batch of S7, effectively reducing its cost to 0.22 USD g−1 h−1, making S9 the most cost-efficient option.
To further investigate the sol–gel synthesis of TiO2 nanoparticles, statistical analyses, including correlation matrix and principal component analysis (PCA), were performed to assess the influence of isopropanol and acetic acid on nanoparticle formation. Table 4 presents the correlation matrices for syntheses conducted at 30 mL and 15 mL. For the 30 mL synthesis, acetic acid exhibited a relevant inverse correlation with particle size, indicating that lower acetic acid concentrations resulted in larger nanoparticles. The trend is supported by Figure 3 and Table 3, where higher acetic acid concentrations lead to smaller particles with a tendency to more uniform and unidirectional morphology. Conversely, higher isopropanol concentrations tended to produce larger particles. The correlation matrix for the 15 mL synthesis revealed a stronger dependence on isopropanol, with a direct proportionality to particle size, which is consistent with the trends observed in the 30 mL synthesis. These findings suggest that both reagents influence particle size.
Table 4.
Correlation matrix to synthesis at 30 and 15 mL.
Principal component analysis (PCA) and its corresponding eigenvalues (Table 5 and Table 6) provide valuable insights into TiO2 nanoparticle synthesis through axis transformation and variable separation into distinct factors with quantified relevance. The 30 mL synthesis demonstrates a significant inverse correlation with particle size, while the 15 mL synthesis shows isopropanol as the dominant factor affecting particle size. Notably, negative loadings for both isopropanol concentration and particle size indicate that reduced isopropanol levels correspond to smaller particles. In both volume conditions, PCA reveals one primary factor explaining approximately 45% of the total synthesis variance, with the remaining 55% attributable to variable fluctuations and minor factors, demonstrating that the results align well with the correlation matrix analysis.
Table 5.
PCA table to synthesize at 30 and 15 mL.
Table 6.
Eigenvalue from PCA to synthesis at 30 and 15 mL.
The insights from statistical analyses align with the observations in Figure 7B,C, which compare TiO2 syntheses with additional 30 mL aliquots of isopropanol and acetic acid, respectively. The micrographs reveal distinct morphological differences: the isopropanol-modified synthesis yielded larger particles (573 nm) with irregular morphology, while the acetic acid-modified synthesis produced smaller nanoparticles with uniform, unidirectional morphology. This contrast highlights acetic acid’s dual role in TiO2 synthesis—acting both as a catalyst for the sol–gel reaction and as a capping agent through its carboxylic acid functional group [75,76,77].
4. Conclusions
The present study highlighted the potential and limitations of the sol–gel method for synthesizing TiO2 nanomaterials, specifically focusing on the challenges of obtaining well-defined nanorods. While the sol–gel process offers advantages such as cost-effectiveness, scalability, and the ability to control structural and optical properties, achieving consistent particle morphology and size distribution remains challenging. The initial synthesis attempts, based on established protocols, did not yield the expected nanorod morphology. Instead, a broader particle size distribution with irregular morphologies was observed, showing the high sensitivity of the sol–gel process to variations in experimental conditions. To address these challenges, a systematic design of experiments (DOE) approach was employed, which identified key parameters that can affect the quality and consistency of the resulting TiO2 structures. The optimization of titanium isopropoxide, isopropanol, and acetic acid ratios, along with controlled solvent dilution, proved essential in improving the reproducibility of the synthesis process and minimizing particle agglomeration. Notably, acetic acid was found to play a dual role, acting as a catalyst and a capping agent, thereby enhancing the stability of TiO2 nanostructures and promoting the formation of elongated morphologies. Despite these advancements, the synthesis of TiO2 nanorods with precise dimensional control remains a challenging endeavor, demanding further experimental exploration of reaction dynamics and precursor interactions. Statistical analyses employed correlation matrix and principal component analysis (PCA) to depict the relevance of acetic acid producing smaller particles, while isopropanol produces higher particle size. In this context, the present study provides valuable insights into the sol–gel synthesis of TiO2, highlighting both the strengths and limitations of this method.
Future work should explore alternative catalysts or hybrid approaches to further refine particle morphology and enable scalable production of TiO2 nanomaterials with consistent properties. Research efforts should focus on doping strategies to reduce the band gap while preserving nanorod morphology, thereby enhancing visible-light activity. Additionally, coupling TiO2 nanorods with plasmonic nanoparticles (Au or Ag) could improve charge transfer efficiency and stability, facilitating applications in solar-driven photocatalytic pollutant degradation or hydrogen production.
Supplementary Materials
The following supporting information can be downloaded at: https://www.mdpi.com/article/10.3390/pr13071988/s1, Table S1. Summary of literature on sol-gel synthesis of TiO2 nanostructures: precursors, solvents, reaction conditions, and morphological characteristics.
Author Contributions
F.A.e.S.: Conceptualization, Writing—Original Draft Preparation, Review, Editing, Visualization, and Project Administration; T.A.d.A.: Data Curation; J.C.P.: Validation, Visualization, and Writing—Review; A.R.S.: Validation, Visualization, and Writing—Review; T.S.R.: Conceptualization, Validation, Formal Analysis, Supervision, Project Administration, Resources, and Funding Acquisition. All authors have read and agreed to the published version of the manuscript.
Funding
This research was funded by Fundação de Amparo à Pesquisa do Estado do Rio de Janeiro (FAPERJ) grant number E-26/201.431/2021 and E-26/211.612/2019; to the Conselho Nacional de Desenvolvimento Científico e Tecnológico—CNPq grant number 317288/2021-0; and to the Coordenação de Aperfeiçoamento de Pessoal de Nível Superior—Brasil (CAPES)—Finance Code 001 grant number 88887.645934/2021-00.
Data Availability Statement
The data supporting the findings of this study are available from the corresponding author upon reasonable request. All relevant experimental details, characterization data, and catalytic performance results are provided within the manuscript and in the Supplementary Materials.
Acknowledgments
The authors also thank Numpex bio-Laboratory at UFRJ for the SEM analyses and CENTRO NACIONAL DE BIOLOGIA ESTRUTURAL E BIOIMAGEM (CENABIO) for FEG-SEM analysis.
Conflicts of Interest
The authors declare no conflicts of interest.
References
- Khan, H.; Shah, M.U.H. Modification Strategies of TiO2 Based Photocatalysts for Enhanced Visible Light Activity and Energy Storage Ability: A Review. J. Environ. Chem. Eng. 2023, 11, 111532. [Google Scholar] [CrossRef]
- Armaković, S.J.; Savanović, M.M.; Armaković, S. Titanium Dioxide as the Most Used Photocatalyst for Water Purification: An Overview. Catalysts 2022, 13, 26. [Google Scholar] [CrossRef]
- e Silva, F.A.; Rodrigues, T.S. Recent Advances in the Use of Controlled Nanocatalysts in Methane Conversion Reactions. Methane 2024, 3, 359–379. [Google Scholar] [CrossRef]
- Aschauer, U.; Pfenninger, R.; Selbach, S.M.; Grande, T.; Spaldin, N.A. Strain-Controlled Oxygen Vacancy Formation and Ordering in CaMnO3/Mn. Phys. Rev. B 2013, 88, 054111. [Google Scholar] [CrossRef]
- Ren, G.; Ren, Q.; Ren, Z.; Chen, P.; Yue, M.; Sun, N.; Gao, J.; Wu, J.; Fu, Y.; Ma, J. Laser Solid-Phase Synthesis of TiO2 Anatase/Rutile Homojunctions for Efficient Photocatalytic Hydrogen Evolution. Opt. Express 2025, 33, 13682. [Google Scholar] [CrossRef]
- Gagliardi, S.; Rondino, F.; Paoletti, C.; Falconieri, M. On the Morphology of Nanostructured TiO2 for Energy Applications: The Shape of the Ubiquitous Nanomaterial. Nanomaterials 2022, 12, 2608. [Google Scholar] [CrossRef]
- Mutsak Ahmed, R.; Hasan, I. A Review on Properties and Applications of TiO2 and Associated Nanocomposite Materials. Mater. Today Proc. 2023, 81, 1073–1078. [Google Scholar] [CrossRef]
- Gupta, T.; Samriti; Cho, J.; Prakash, J. Hydrothermal Synthesis of TiO2 Nanorods: Formation Chemistry, Growth Mechanism, and Tailoring of Surface Properties for Photocatalytic Activities. Mater. Today Chem. 2021, 20, 100428. [Google Scholar] [CrossRef]
- Puga, M.L.; Venturini, J.; ten Caten, C.S.; Bergmann, C.P. Influencing Parameters in the Electrochemical Anodization of TiO2 Nanotubes: Systematic Review and Meta-Analysis. Ceram. Int. 2022, 48, 19513–19526. [Google Scholar] [CrossRef]
- Zakir, O.; Ait-Karra, A.; Idouhli, R.; Khadiri, M.; Dikici, B.; Aityoub, A.; Abouelfida, A.; Outzourhit, A. A Review on TiO2 Nanotubes: Synthesis Strategies, Modifications, and Applications. J. Solid State Electrochem. 2023, 27, 2289–2307. [Google Scholar] [CrossRef]
- Hsu, C.-Y.; Mahmoud, Z.H.; Abdullaev, S.; Ali, F.K.; Ali Naeem, Y.; Mzahim Mizher, R.; Morad Karim, M.; Abdulwahid, A.S.; Ahmadi, Z.; Habibzadeh, S.; et al. Nano Titanium Oxide (Nano-TiO2): A Review of Synthesis Methods, Properties, and Applications. Case Stud. Chem. Environ. Eng. 2024, 9, 100626. [Google Scholar] [CrossRef]
- Gatou, M.-A.; Syrrakou, A.; Lagopati, N.; Pavlatou, E.A. Photocatalytic TiO2-Based Nanostructures as a Promising Material for Diverse Environmental Applications: A Review. Reactions 2024, 5, 135–194. [Google Scholar] [CrossRef]
- e Silva, F.; Salim, V.; Rodrigues, T. Controlled Nickel Nanoparticles: A Review on How Parameters of Synthesis Can Modulate Their Features and Properties. AppliedChem 2024, 4, 86–106. [Google Scholar] [CrossRef]
- da Silva, M.V.; Fajardo, H.V.; Rodrigues, T.S.; e Silva, F.A.; Bergamaschi, V.S.; Dias, A.; Siqueira, K.P.F. Synthesis of NiMoO4 Ceramics by Proteic Sol-Gel Method and Investigation of Their Catalytic Properties in Hydrogen Production. Mater. Chem. Phys. 2021, 262, 124301. [Google Scholar] [CrossRef]
- Zadehnazari, A. Chemical Synthesis Strategies for Metal Oxide Nanoparticles: A Comprehensive Review. Inorg. Nano-Met. Chem. 2025, 55, 734–773. [Google Scholar] [CrossRef]
- Qamar, O.A.; Jamil, F.; Hussain, M.; Bae, S.; Inayat, A.; Shah, N.S.; Waris, A.; Akhter, P.; Kwon, E.E.; Park, Y.-K. Advances in Synthesis of TiO2 Nanoparticles and Their Application to Biodiesel Production: A Review. Chem. Eng. J. 2023, 460, 141734. [Google Scholar] [CrossRef]
- Rodrigues, T.S.; e Silva, F.A.; Candido, E.G.; da Silva, A.G.M.; Geonmonond, R.D.S.; Camargo, P.H.C.; Linardi, M.; Fonseca, F.C. Ethanol Steam Reforming: Understanding Changes in the Activity and Stability of Rh/MxOy Catalysts as Function of the Support. J. Mater. Sci. 2019, 54, 11400–11416. [Google Scholar] [CrossRef]
- Makuła, P.; Pacia, M.; Macyk, W. How To Correctly Determine the Band Gap Energy of Modified Semiconductor Photocatalysts Based on UV–Vis Spectra. J. Phys. Chem. Lett. 2018, 9, 6814–6817. [Google Scholar] [CrossRef]
- Farooq, N.; Kallem, P.; ur Rehman, Z.; Imran Khan, M.; Kumar Gupta, R.; Tahseen, T.; Mushtaq, Z.; Ejaz, N.; Shanableh, A. Recent Trends of Titania (TiO2) Based Materials: A Review on Synthetic Approaches and Potential Applications. J. King Saud. Univ. Sci. 2024, 36, 103210. [Google Scholar] [CrossRef]
- Sopan Mahato, S.; Mahata, D.; Panda, S.; Mahata, S. Perspective Chapter: Sol-Gel Science and Technology in Context of Nano-Materials—Recent Advances; IntechOpen: London, UK, 2023. [Google Scholar]
- Liu, H.; Ma, L.; Zhao, J.; Liu, J.; Yan, J.; Ruan, J.; Hong, F. Biochemical Toxicity of Nano-Anatase TiO2 Particles in Mice. Biol. Trace Elem. Res. 2009, 129, 170–180. [Google Scholar] [CrossRef]
- Yang, P.; Lu, C.; Hua, N.; Du, Y. Titanium Dioxide Nanoparticles Co-Doped with Fe3+ and Eu3+ Ions for Photocatalysis. Mater. Lett. 2002, 57, 794–801. [Google Scholar] [CrossRef]
- Ranjitha, A.; Muthukumarasamy, N.; Thambidurai, M.; Velauthapillai, D. Enhanced Photovoltaic Performance of Quantum Dot Sensitized Solar Cells with Ag-Doped TiO2 Nanocrystalline Thin Films. J. Mater. Sci. Mater. Electron. 2014, 25, 2724–2729. [Google Scholar] [CrossRef]
- Kőrösi, L.; Dékány, I. Preparation and Investigation of Structural and Photocatalytic Properties of Phosphate Modified Titanium Dioxide. Colloids Surf. A Physicochem. Eng. Asp. 2006, 280, 146–154. [Google Scholar] [CrossRef]
- Adachi, M.; Murata, Y.; Takao, J.; Jiu, J.; Sakamoto, M.; Wang, F. Highly Efficient Dye-Sensitized Solar Cells with a Titania Thin-Film Electrode Composed of a Network Structure of Single-Crystal-like TiO2 Nanowires Made by the “Oriented Attachment” Mechanism. J. Am. Chem. Soc. 2004, 126, 14943–14949. [Google Scholar] [CrossRef] [PubMed]
- Cot, F.; Larbot, A.; Nabias, G.; Cot, L. Preparation and Characterization of Colloidal Solution Derived Crystallized Titania Powder. J. Eur. Ceram. Soc. 1998, 18, 2175–2181. [Google Scholar] [CrossRef]
- Rani, M.; Abbas, S.J.; Tripathi, S.K. Influence of Annealing Temperature and Organic Dyes as Sensitizers on Sol–Gel Derived TiO2 Films. Mater. Sci. Eng. B 2014, 187, 75–82. [Google Scholar] [CrossRef]
- Jia, H.; Zheng, Z.; Zhao, H.; Zhang, L.; Zou, Z. Nonaqueous Sol–Gel Synthesis and Growth Mechanism of Single Crystalline TiO2 Nanorods with High Photocatalytic Activity. Mater. Res. Bull. 2009, 44, 1312–1316. [Google Scholar] [CrossRef]
- Joo, J.; Kwon, S.G.; Yu, T.; Cho, M.; Lee, J.; Yoon, J.; Hyeon, T. Large-Scale Synthesis of TiO2 Nanorods via Nonhydrolytic Sol−Gel Ester Elimination Reaction and Their Application to Photocatalytic Inactivation of E. coli. J. Phys. Chem. B 2005, 109, 15297–15302. [Google Scholar] [CrossRef]
- Jun, Y.; Casula, M.F.; Sim, J.-H.; Kim, S.Y.; Cheon, J.; Alivisatos, A.P. Surfactant-Assisted Elimination of a High Energy Facet as a Means of Controlling the Shapes of TiO2 Nanocrystals. J. Am. Chem. Soc. 2003, 125, 15981–15985. [Google Scholar] [CrossRef]
- Su, C.; Hong, B.-Y.; Tseng, C.-M. Sol–Gel Preparation and Photocatalysis of Titanium Dioxide. Catal. Today 2004, 96, 119–126. [Google Scholar] [CrossRef]
- Joo, J.B.; Zhang, Q.; Dahl, M.; Lee, I.; Goebl, J.; Zaera, F.; Yin, Y. Control of the Nanoscale Crystallinity in Mesoporous TiO2 Shells for Enhanced Photocatalytic Activity. Energy Environ. Sci. 2012, 5, 6321–6327. [Google Scholar] [CrossRef]
- Eid, M.R.; Al-Hossainy, A.F. Synthesis, DFT Calculations, and Heat Transfer Performance Large-Surface TiO2: Ethylene Glycol Nanofluid and Coolant Applications. Eur. Phys. J. Plus 2020, 135, 596. [Google Scholar] [CrossRef]
- Barringer, E.A.; Bowen, H.K. High-Purity, Monodisperse TiO2 Powders by Hydrolysis of Titanium Tetraethoxide. 1. Synthesis and Physical Properties. Langmuir 1985, 1, 414–420. [Google Scholar] [CrossRef]
- Look, J.L.; Zukoski, C.F. Alkoxide-Derived Titania Particles: Use of Electrolytes to Control Size and Agglomeration Levels. J. Am. Ceram. Soc. 1992, 75, 1587–1595. [Google Scholar] [CrossRef]
- Chen, S.; Fan, X.; Zhang, C.; Wei, A.; Chen, W. Synthesis of Hierarchical and Flower-like TiO2 Nanowire Microspheres as Bio-compatible Cell Carriers. Mater. Sci. Eng. C 2021, 126, 112118. [Google Scholar] [CrossRef]
- Gundiah, G.; Mukhopadhyay, S.; Tumkurkar, U.G.; Govindaraj, A.; Maitra, U.; Rao, C.N.R. Hydrogel Route to Nanotubes of Metal Oxides and Sulfates. J. Mater. Chem. 2003, 13, 2118. [Google Scholar] [CrossRef]
- Rodríguez-Reyes, M.; Dorantes-Rosales, H.J. A Simple Route to Obtain TiO2 Nanowires by the Sol–Gel Method. J. Solgel Sci. Technol. 2011, 59, 658–661. [Google Scholar] [CrossRef]
- Farheen; Fouad, H.; Ansari, S.G.; Khan, A.A.; Ansari, Z.A. Europium Doped TiO2: An Efficient Photoanode Material for Dye Sen-sitized Solar Cell. J. Mater. Sci. Mater. Electron. 2017, 28, 6873–6879. [Google Scholar] [CrossRef]
- Farhadian Azizi, K.; Bagheri-Mohagheghi, M.-M. Transition from Anatase to Rutile Phase in Titanium Dioxide (TiO2) Nanoparticles Synthesized by Complexing Sol–Gel Process: Effect of Kind of Complexing Agent and Calcinating Temperature. J. Solgel Sci. Technol. 2013, 65, 329–335. [Google Scholar] [CrossRef]
- Pan, J.H.; Wang, X.Z.; Huang, Q.; Shen, C.; Koh, Z.Y.; Wang, Q.; Engel, A.; Bahnemann, D.W. Large-Scale Synthesis of Urchin-like Mesoporous TiO2 Hollow Spheres by Targeted Etching and Their Photoelectrochemical Properties. Adv. Funct. Mater. 2014, 24, 95–104. [Google Scholar] [CrossRef]
- Liu, Z.; Guo, B.; Hong, L.; Jiang, H. Preparation and Characterization of Cerium Oxide Doped TiO2 Nanoparticles. J. Phys. Chem. Solids 2005, 66, 161–167. [Google Scholar] [CrossRef]
- Wang, C.-C.; Ying, J.Y. Sol−Gel Synthesis and Hydrothermal Processing of Anatase and Rutile Titania Nanocrystals. Chem. Mater. 1999, 11, 3113–3120. [Google Scholar] [CrossRef]
- Pavasupree, S.; Suzuki, Y.; Pivsa-Art, S.; Yoshikawa, S. Synthesis and Characterization of Nanoporous, Nanorods, Nanowires Metal Oxides. Sci. Technol. Adv. Mater. 2005, 6, 224–229. [Google Scholar] [CrossRef]
- Xu, Y.; Zeng, Z. The Preparation, Characterization, and Photocatalytic Activities of Ce-TiO2/SiO2. J. Mol. Catal. A Chem. 2008, 279, 77–81. [Google Scholar] [CrossRef]
- Chauhan, R.; Kumar, A.; Chaudhary, R.P. Structural and Optical Characterization of Ag-Doped TiO2 Nanoparticles Prepared by a Sol–Gel Method. Res. Chem. Intermed. 2012, 38, 1443–1453. [Google Scholar] [CrossRef]
- Chauhan, R.; Kumar, A.; Chaudhary, R.P. Structural and Photocatalytic Studies of Mn Doped TiO2 Nanoparticles. Spectrochim. Acta A Mol. Biomol. Spectrosc. 2012, 98, 256–264. [Google Scholar] [CrossRef] [PubMed]
- Tseng, Y.-H.; Kuo, C.-S.; Huang, C.-H.; Li, Y.-Y.; Chou, P.-W.; Cheng, C.-L.; Wong, M.-S. Visible-Light-Responsive Nano-TiO2 with Mixed Crystal Lattice and Its Photocatalytic Activity. Nanotechnology 2006, 17, 2490–2497. [Google Scholar] [CrossRef]
- Dubey, R.S. Temperature-Dependent Phase Transformation of TiO2 Nanoparticles Synthesized by Sol-Gel Method. Mater. Lett. 2018, 215, 312–317. [Google Scholar] [CrossRef]
- Yang, J.; Mei, S.; Ferreira, J.M.F. In Situ Preparation of Weakly Flocculated Aqueous Anatase Suspensions by a Hydrothermal Technique. J. Colloid. Interface Sci. 2003, 260, 82–88. [Google Scholar] [CrossRef]
- Zhao, D.; Yu, Y.; Long, H.; Cao, Y. Improved Photocatalytic Activity of Self-Assemble TiO2 Nanobelts with Au Nanoparticles. Appl. Surf. Sci. 2014, 315, 247–251. [Google Scholar] [CrossRef]
- Yu, J.; Zhou, M.; Cheng, B.; Zhao, X. Preparation, Characterization and Photocatalytic Activity of in Situ N,S-Codoped TiO2 Powders. J. Mol. Catal. A Chem. 2006, 246, 176–184. [Google Scholar] [CrossRef]
- Li, B.; Wang, X.; Yan, M.; Li, L. Preparation and Characterization of Nano-TiO2 Powder. Mater. Chem. Phys. 2003, 78, 184–188. [Google Scholar] [CrossRef]
- Chang, C.; Rad, S.; Gan, L.; Li, Z.; Dai, J.; Shahab, A. Review of the Sol–Gel Method in Preparing Nano TiO2 for Advanced Oxi-dation Process. Nanotechnol. Rev. 2023, 12, 20230150. [Google Scholar] [CrossRef]
- De, A.; Kim, M.S.; Adhikari, A.; Patel, R.; Kundu, S. Sol–Gel-Derived Nanostructured Electrocatalysts for Oxygen Evolution Reaction: A Review. J. Mater. Chem. A Mater. 2024, 12, 19720–19756. [Google Scholar] [CrossRef]
- 5Rajaram, P.; Jeice, A.R.; Jayakumar, K. Review of Green Synthesized TiO2 Nanoparticles for Diverse Applications. Surf. Interfaces 2023, 39, 102912. [Google Scholar] [CrossRef]
- e Silva, F.A.; Batista, A.M.; Pacheco, H.P.; Salim, V.M.M.; Rodrigues, T.S. How the Incorporation Synthesis Method of the Active Phase Affects the Catalytic Behavior: Ni/CeO2 Nanowires towards Ethanol Steam Reforming. Emergent Mater. 2024, 7, 2469–2493. [Google Scholar] [CrossRef]
- Rivera-Quintero, P.; Patience, G.S.; Patience, N.A.; Boffito, D.C.; Banquy, X.; Schieppati, D. Experimental Methods in Chemical Engineering: Karl Fischer Titration. Can. J. Chem. Eng. 2024, 102, 2980–2997. [Google Scholar] [CrossRef]
- Popescu, G.; Radulov, I.; Iordănescu, O.A.; Orboi, M.D.; Rădulescu, L.; Drugă, M.; Bujancă, G.S.; David, I.; Hădărugă, D.I.; (Banciu), C.A.L.; et al. Karl Fischer Water Titration—Principal Component Analysis Approach on Bread Products. Appl. Sci. 2020, 10, 6518. [Google Scholar] [CrossRef]
- Mohadesi, M.; Sanavi Fard, M.; Shokri, A. The Application of Modified Nano-TiO2 Photocatalyst for Wastewater Treatment: A Review. Int J Environ Anal. Chem. 2024, 104, 2571–2592. [Google Scholar] [CrossRef]
- Barcelos, D.A.; Gonçalves, M.C. Daylight Photoactive TiO2 Sol-Gel Nanoparticles: Sustainable Environmental Contribution. Materials 2023, 16, 2731. [Google Scholar] [CrossRef]
- Karmaoui, M.; Jorge, A.B.; McMillan, P.F.; Aliev, A.E.; Pullar, R.C.; Labrincha, J.A.; Tobaldi, D.M. One-Step Synthesis, Structure, and Band Gap Properties of SnO2 Nanoparticles Made by a Low Temperature Nonaqueous Sol–Gel Technique. ACS Omega 2018, 3, 13227–13238. [Google Scholar] [CrossRef] [PubMed]
- Hong, S.M.; Lee, S.; Jung, H.J.; Yu, Y.; Shin, J.H.; Kwon, K.-Y.; Choi, M.Y. Simple Preparation of Anatase TiO2 Nanoparticles via Pulsed Laser Ablation in Liquid. Bull. Korean Chem. Soc. 2013, 34, 279–282. [Google Scholar] [CrossRef]
- Jafarkhani, P.; Dadras, S.; Torkamany, M.J.; Sabbaghzadeh, J. Synthesis of Nanocrystalline Titania in Pure Water by Pulsed Nd:YAG Laser. Appl. Surf. Sci. 2010, 256, 3817–3821. [Google Scholar] [CrossRef]
- Barreca, F.; Acacia, N.; Barletta, E.; Spadaro, D.; Currò, G.; Neri, F. Small Size TiO2 Nanoparticles Prepared by Laser Ablation in Water. Appl. Surf. Sci. 2010, 256, 6408–6412. [Google Scholar] [CrossRef]
- Spiridonova, J.; Katerski, A.; Danilson, M.; Krichevskaya, M.; Krunks, M.; Oja Acik, I. Effect of the Titanium Isopropox-ide:Acetylacetone Molar Ratio on the Photocatalytic Activity of TiO2 Thin Films. Molecules 2019, 24, 4326. [Google Scholar] [CrossRef]
- Ong, W.-J.; Tan, L.-L.; Chai, S.-P.; Yong, S.-T.; Mohamed, A.R. Highly Reactive {001} Facets of TiO2-Based Composites: Synthesis, Formation Mechanism and Characterization. Nanoscale 2014, 6, 1946. [Google Scholar] [CrossRef]
- Kignelman, G.; Thielemans, W. Synergistic Effects of Acetic Acid and Nitric Acid in Water-Based Sol–Gel Synthesis of Crystalline TiO2 Nanoparticles at 25 °C. J. Mater. Sci. 2021, 56, 16877–16886. [Google Scholar] [CrossRef]
- Parra, R.; Góes, M.S.; Castro, M.S.; Longo, E.; Bueno, P.R.; Varela, J.A. Reaction Pathway to the Synthesis of Anatase via the Chemical Modification of Titanium Isopropoxide with Acetic Acid. Chem. Mater. 2008, 20, 143–150. [Google Scholar] [CrossRef]
- Djaoued, Y.; Badilescu, S.; Ashrit, P.V.; Bersani, D.; Lottici, P.P.; Robichaud, J. Study of Anatase to Rutile Phase Transition in Nanocrystalline Titania Films. J. Solgel Sci. Technol. 2002, 24, 255–264. [Google Scholar] [CrossRef]
- Behnajady, M.A.; Eskandarloo, H.; Modirshahla, N.; Shokri, M. Sol-Gel Low-Temperature Synthesis of Stable Anatase-Type TiO2 Nanoparticles Under Different Conditions and Its Photocatalytic Activity. Photochem. Photobiol. 2011, 87, 1002–1008. [Google Scholar] [CrossRef]
- Kignelman, G.; Thielemans, W. Meta-Analysis of TiO2 Nanoparticle Synthesis Strategies to Assess the Impact of Key Reaction Pa-rameters on Their Crystallinity. J. Mater. Sci. 2021, 56, 5975–5994. [Google Scholar] [CrossRef]
- Ismagilov, Z.R.; Tsikoza, L.T.; Shikina, N.V.; Zarytova, V.F.; Zinoviev, V.V.; Zagrebelnyi, S.N. Synthesis and Stabilization of Nano-Sized Titanium Dioxide. Russ. Chem. Rev. 2009, 78, 873–885. [Google Scholar] [CrossRef]
- Ye, J.; Liu, W.; Cai, J.; Chen, S.; Zhao, X.; Zhou, H.; Qi, L. Nanoporous Anatase TiO2 Mesocrystals: Additive-Free Synthesis, Re-markable Crystalline-Phase Stability, and Improved Lithium Insertion Behavior. J. Am. Chem. Soc. 2011, 133, 933–940. [Google Scholar] [CrossRef]
- Andrade-Guel, M.; Díaz-Jiménez, L.; Cortés-Hernández, D.; Cabello-Alvarado, C.; Ávila-Orta, C.; Bartolo-Pérez, P.; Gamero-Melo, P. Microwave Assisted Sol–Gel Synthesis of Titanium Dioxide Using Hydrochloric and Acetic Acid as Catalysts. Boletín De La Soc. Española De Cerámica Y Vidr. 2019, 58, 171–177. [Google Scholar] [CrossRef]
- Leyva-Porras, C.; Toxqui-Teran, A.; Vega-Becerra, O.; Miki-Yoshida, M.; Rojas-Villalobos, M.; García-Guaderrama, M.; Agui-lar-Martínez, J.A. Low-Temperature Synthesis and Characterization of Anatase TiO2 Nanoparticles by an Acid Assisted Sol–Gel Method. J. Alloys Compd. 2015, 647, 627–636. [Google Scholar] [CrossRef]
- Siwińska-Stefańska, K.; Zdarta, J.; Paukszta, D.; Jesionowski, T. The Influence of Addition of a Catalyst and Chelating Agent on the Properties of Titanium Dioxide Synthesized via the Sol–Gel Method. J. Solgel Sci. Technol. 2015, 75, 264–278. [Google Scholar] [CrossRef]
Disclaimer/Publisher’s Note: The statements, opinions and data contained in all publications are solely those of the individual author(s) and contributor(s) and not of MDPI and/or the editor(s). MDPI and/or the editor(s) disclaim responsibility for any injury to people or property resulting from any ideas, methods, instructions or products referred to in the content. |
© 2025 by the authors. Licensee MDPI, Basel, Switzerland. This article is an open access article distributed under the terms and conditions of the Creative Commons Attribution (CC BY) license (https://creativecommons.org/licenses/by/4.0/).








