Hydrolysis Assessment of Orange Peel and Brewer’s Spent Grain for Bioethanol Production
Abstract
1. Introduction
2. Materials and Methods
2.1. Sample Collection and Preparation
2.2. Design of Experiments for Hydrolysis
2.3. Response Surface Modeling
2.4. Orange Peel and Brewer’s Spent Grain Fermentation
2.5. Kinetic Modeling of Bioethanol Production and Parameter Estimation
2.6. Projection of the Potential Bioethanol Production
3. Results and Discussion
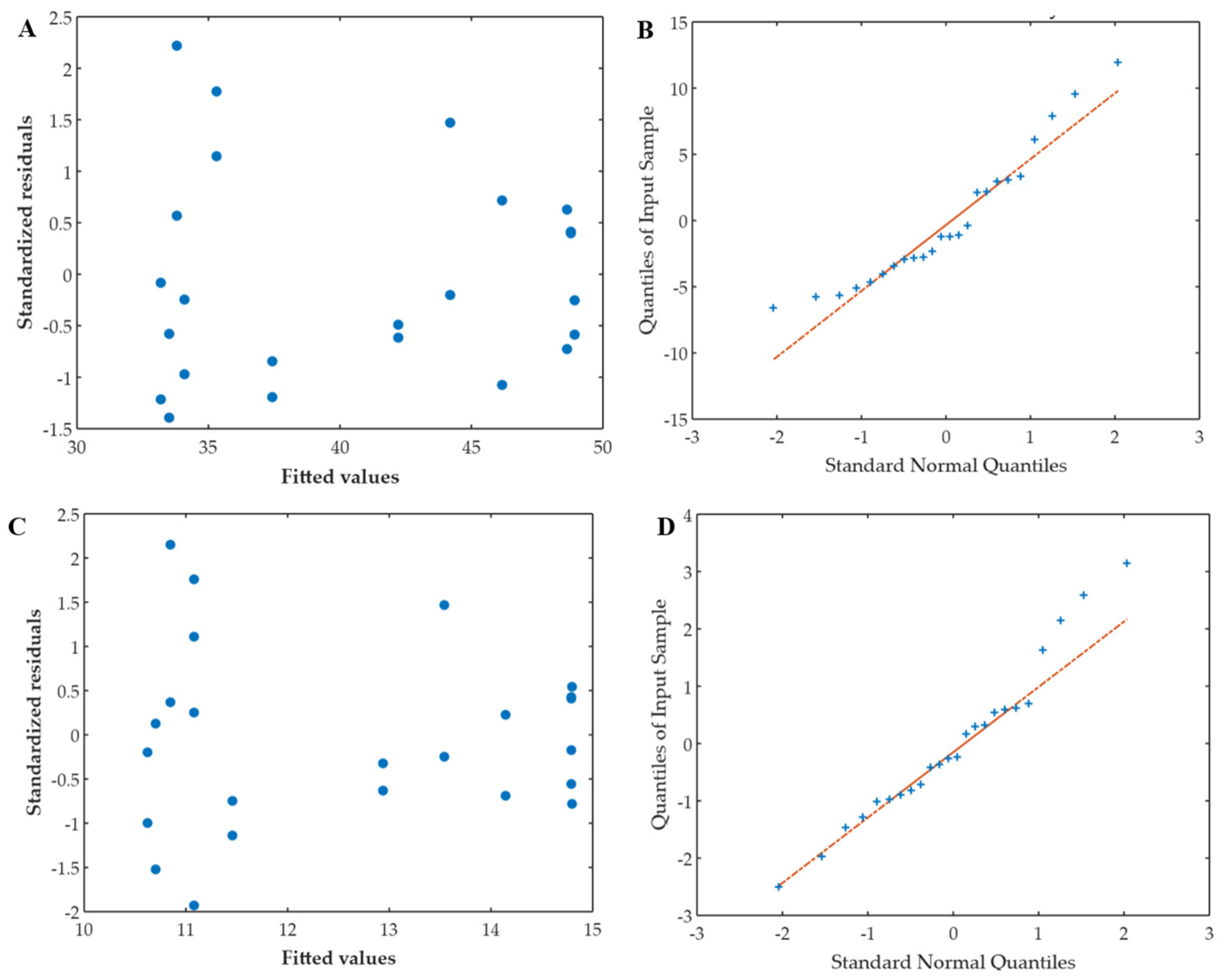
3.1. Factorial Design Results for Glucose and Xylose by Hydrolysis
3.2. Glucose and Xylose Concentration Production Comparative
3.3. Bioethanol Production
3.4. Bioethanol from OP and BSG Projection
4. Conclusions
Author Contributions
Funding
Data Availability Statement
Acknowledgments
Conflicts of Interest
References
- Hoang, T.-D.; Nghiem, N. Recent Developments and Current Status of Commercial Production of Fuel Ethanol. Fermentation 2021, 7, 314. [Google Scholar] [CrossRef]
- Yelle, D.J.; Serwańska, K. Bioethanol Production from Lignocellulosic Biomass—Challenges and Solutions. Molecules 2022, 27, 8717. [Google Scholar] [CrossRef]
- Ulep, R.A.; Madigal, J.P.T.; Suarez, T.C.E.; Ramos, K.M.D.; Cariaga, J.F.; Agrupis, S.C. “Nipahol”: A Locally Formulated Sanitizer/Disinfectant from Nipa Bioethanol for Possible Use Against COVID-19. Agro Bali Agric. J. 2021, 5, 30–41. [Google Scholar] [CrossRef]
- U.S. Department of Agriculture (USDA). Global Orange Production Will Total 48.8 Million Tons in the 2023–2024 Season. Citrus Committee. 2024. Available online: https://www.tridge.com/news/usda-world-orange-production-will-total-488-millio (accessed on 8 December 2024).
- Secretaría de Agricultura y Desarrollo Rural de México. Detrás de la naranja. Gobierno de México. 2024. Available online: https://www.gob.mx/agricultura/articulos/detras-de-la-naranja?idiom=es (accessed on 8 December 2024).
- Castro, L.A.d.; Lizi, J.M.; Chagas, E.G.L.d.; Carvalho, R.A.d.; Vanin, F.M. From Orange Juice By-Product in the Food Industry to a Functional Ingredient: Application in the Circular Economy. Foods 2020, 9, 593. [Google Scholar] [CrossRef]
- Munir, H.; Yaqoob, S.; Awan, K.A.; Imtiaz, A.; Naveed, H.; Ahmad, N.; Naeem, M.; Sultan, W.; Ma, Y. Unveiling the Chemistry of Citrus Peel: Insights into Nutraceutical Potential and Therapeutic Applications. Foods 2024, 13, 1681. [Google Scholar] [CrossRef]
- Zeko-Pivač, A.; Tišma, M.; Žnidaršič-Plazl, P.; Kulisic, B.; Sakellaris, G.; Hao, J.; Planinić, M. The Potential of Brewer’s Spent Grain in the Circular Bioeconomy: State of the Art and Future Perspectives. Front. Bioeng. Biotechnol. 2022, 10, 870744. [Google Scholar] [CrossRef]
- Moreno Camarena, A. Caracterización Fisicoquímica e Hidrólisis del Bagazo Cervecero para la Obtención de Azúcares Reductores. Master’s Thesis, Universidad Autónoma de Baja California, Mexicali, México, 2017. Available online: https://repositorioinstitucional.uabc.mx/handle/20.500.12930/1891 (accessed on 8 December 2024).
- Devnani, B.; Moran, G.C.; Grossmann, L. Extraction, Composition, Functionality, and Utilization of Brewer’s Spent Grain Protein in Food Formulations. Foods 2023, 12, 1543. [Google Scholar] [CrossRef]
- Marcus, A.; Fox, G. Fungal Biovalorization of a Brewing Industry Byproduct, Brewer’s Spent Grain: A Review. Foods 2021, 10, 2159. [Google Scholar] [CrossRef]
- Assandri, D.; Bianco, A.; Pampuro, N.; Cavallo, E.; Zara, G.; Bardi, L.; Coronas, R.; Budroni, M. Enhancing Fertilizer Effect of Bioprocessed Brewers’ Spent Grain by Microbial Consortium Addition. Agronomy 2023, 13, 2654. [Google Scholar] [CrossRef]
- Jagiełło, K.; Uchańska, O.; Trusek, A. Brewer’s Spent Grains—Valuable Beer Industry By-Product. Biomolecules 2020, 10, 1669. [Google Scholar] [CrossRef]
- Tardiolo, G.; Nicolò, M.S.; Drago, C.; Genovese, C.; Fava, G.; Gugliandolo, C.; D’Antona, N. Orange Peel Waste as Feedstock for the Production of Glycerol-Free Biodiesel by the Microalgae Nannochloropsis oculata. Molecules 2023, 28, 6846. [Google Scholar] [CrossRef]
- Zurita Cabrales, T. Centro de Estudios para el Desarrollo Rural Sustentable y la Soberanía Alimentaria (CEDRSSA) Cámara de Diputados LXV Legislatura. Palacio Legislativo de San Lázaro. Consideraciones generales para la producción y utilización del bioetanol en México. SIIBA-CONADESUCA 2023. Available online: https://portales.diputados.gob.mx/CEDRSSA/publicaciones/detalles/7c9e4b14-60f9-4213-bdbc-13113cb0e1da (accessed on 3 April 2025).
- Kumar, P.; Barrett, D.M.; Delwiche, M.J.; Stroeve, P. Methods for Pretreatment of Lignocellulosic Biomass for Efficient Hydrolysis and Biofuel Production. Ind. Eng. Chem. Res. 2009, 48, 3713–3729. [Google Scholar] [CrossRef]
- Ayala, J.R.; Montero, G.; Coronado, M.A.; García, C.; Curiel-Alvarez, M.A.; León, J.A.; Sagaste, C.A.; Montes, D.G. Characterization of Orange Peel Waste and Valorization to Obtain Reducing Sugars. Molecules 2021, 26, 1348. [Google Scholar] [CrossRef]
- Xavier, A.M.R.B.; Beltrán, S.; Sanz, M.T. Subcritical Water as Pretreatment Technique for Bioethanol Production from Brewer’s Spent Grain Within a Biorefinery Concept. Polymers 2022, 14, 5218. [Google Scholar] [CrossRef]
- Bai, F.W.; Anderson, W.A.; Moo-Young, M. Ethanol fermentation technologies from sugar and starch feedstocks. Biotechnol. Adv. 2008, 26, 89–105. [Google Scholar] [CrossRef]
- Rogers, P.L.; Jeon, Y.J.; Lee, K.J.; Lawford, H.G. Zymomonas mobilis for fuel ethanol and higher value products. Adv. Biochem. Eng. Biotechnol. 2007, 108, 263–288. [Google Scholar] [CrossRef]
- Wu, Y.; Shen, X.; Yuan, Q.; Yan, Y. Metabolic Engineering Strategies for Co-Utilization of Carbon Sources in Microbes. Bioengineering 2016, 3, 10. [Google Scholar] [CrossRef]
- Chen, C.Y.; Hsu, C.L.; Chang, T.C.; Jang, H.D. Enhancement of the Efficiency of Bioethanol Production by Saccharomyces cerevisiae via Gradually Batch-Wise and Fed-Batch Increasing the Glucose Concentration. Fermentation 2018, 4, 45. [Google Scholar] [CrossRef]
- Sganzerla, W.G.; Buller, L.S.; Mussatto, S.I.; Forster-Carneiro, T. Techno-economic assessment of bioenergy and fertilizer production by anaerobic digestion of brewer’s spent grains in a biorefinery concept. J. Clean. Prod. 2021, 297, 126600. [Google Scholar] [CrossRef]
- Paz, A.; Outeiriño, D.; Guerra, N.P.; Domínguez, J.M. Enzymatic hydrolysis of brewer’s spent grain to obtain fermentable sugars. Bioresour. Technol. 2019, 275, 402–409. [Google Scholar] [CrossRef]
- Gomes, J.; Batra, J.; Chopda, V.R.; Kathiresan, P.; Rathore, A.S. Monitoring and control of bioethanol production from lignocellulosic biomass. In Waste Biorefinery: Potential and Perspectives; Elsevier: Amsterdam, The Netherlands, 2018; pp. 727–749. [Google Scholar] [CrossRef]
- Galindo-Segura, L.A.; Pérez-Vázquez, A.; Ramírez-Martínez, A.; López-Romero, G.; Gómez-Merino, F.C. Managing Orange Bagasse in the Central Area of Veracruz State. Terra Latinoam. 2023, 41, e1673. [Google Scholar] [CrossRef]
- Armenta, E.E.; Coronado, M.A.; Ayala, J.R.; León, J.A.; Montes, D. Essential Oil Extraction for All: A Flexible and Modular System for Citrus Biomass Waste. BioResources 2023, 18, 4977–4993. [Google Scholar] [CrossRef]
- Mtashobya, L.A.; Mgeni, S.T.; Emmanuel, J.K. Bioethanol Production from Concentration Fruit Wastes Juice Using Bakery Yeast. Mater. Renew. Sustain. Energy 2025, 14, 6. [Google Scholar] [CrossRef]
- Deshavath, N.N.; Mukherjee, G.; Goud, V.V.; Veeranki, V.D.; Sastri, C.V. Pitfalls in the 3,5-dinitrosalicylic acid (DNS) assay for the reducing sugars: Interference of furfural and 5-hydroxymethylfurfural. Int. J. Biol. Macromol. 2020, 156, 180–185. [Google Scholar] [CrossRef]
- Kaur, A.; Verma, A.; Prakash, R. Enhancing the Ethanol Fermentation Performance of Food and Fruit Waste Using Mild Acid Hydrolysis in Slurry Mode. Waste Biomass Valorization 2025, 16, 749–759. [Google Scholar] [CrossRef]
- Tsouko, E.; Maina, S.; Ladakis, D.; Kookos, I.K.; Koutinas, A. Integrated biorefinery development for the extraction of value-added components and bacterial cellulose production from orange peel waste streams. Renew. Energy 2020, 160, 944–954. [Google Scholar] [CrossRef]
- Corona Vázquez, B.; Roa-Morales, G.; Natividad, R.; Balderas-Hernández, P.; Saucedo-Luna, J. Thermal Hydrolysis of Orange Peel and its Fermentation with Alginate Beads to Produce Ethanol. BioResources 2017, 12, 2955–2964. [Google Scholar] [CrossRef][Green Version]
- Patsalou, M.; Menikea, K.K.; Nikolaou, C.; Tsoukos, P.; Koutinas, A.; Koutinas, M. A Citrus Peel Waste Biorefinery for Ethanol and Methane Production. Molecules 2019, 24, 2451. [Google Scholar] [CrossRef]
- Oberoi, H.S.; Vadlani, P.V.; Madl, R.L. Production of Ethanol from Orange Peels: Fermentation Studies and Two-Stage Hydrolysis Using Optimized Parameters through Experimental Design. J. Agric. Food Chem. 2010, 58, 3422–3429. [Google Scholar] [CrossRef] [PubMed]
- Kasaeian, A.; Fereidooni, L.; Ahmadbeigi, A.; Kahedi, S.; Shavali Koohshoori, M.; Ghafarian, S.; Tajmousavilangerudi, A.; Salaripoor, H. Review on Bioethanol Production from Fruit Peels. Waste Biomass Valorization 2025. [Google Scholar] [CrossRef]
- Kowsalya, R.; Prabhu, N.; Rajamehala, M.; Singh, M.V.P.; Karthikadevi, S. Statistical Optimization of Cellulase Production and Its Efficacy in Hesperidin Extraction from Orange Peel and Bioethanol Production from Rice Straw by Simultaneous Saccharification and Fermentation. Res. J. Biotechnol. 2022, 17, 20–31. [Google Scholar]
- Plugatar, Y.; Johnson, J.B.; Timofeev, R.; Korzin, V.; Kazak, A.; Nekhaychuk, D.; Borisova, E.; Rotanov, G. Prediction of Ethanol Content and Total Extract Using Densimetry and Refractometry. Beverages 2023, 9, 31. [Google Scholar] [CrossRef]
- Pavlečić, M.; Novak, M.; Trontel, A.; Marđetko, N.; Grubišić, M.; Didak Ljubas, B.; Petravić Tominac, V.; Čož Rakovac, R.; Šantek, B. Mathematical Modelling of Bioethanol Production from Raw Sugar Beet Cossettes in a Horizontal Rotating Tubular Bioreactor. Fermentation 2022, 8, 13. [Google Scholar] [CrossRef]
- Nunes, L.J.R.; Silva, S. Optimization of the Residual Biomass Supply Chain: Process Characterization and Cost Analysis. Logistics 2023, 7, 48. [Google Scholar] [CrossRef]
- Cui, J.; Tan, J.; Deng, T.; Cui, X.; Zhu, Y.; Li, Y. Conversion of carbohydrates to furfural via selective cleavage of the carbon–carbon bond: The cooperative effects of zeolite and solvent. Green Chem. 2016, 18, 1619–1624. [Google Scholar] [CrossRef]
- Verma, S.K.; Shastri, Y. Economic Optimization of Acid Pretreatment: Structural Changes and Impact on Enzymatic Hydrolysis. Ind. Crops Prod. 2020, 146, 112236. [Google Scholar] [CrossRef]
- Vinotha, T.; Umamaheswari, N.; Pandiyan, J.; Al-Ghanim, K.A.; Nicoletti, M.; Govindarajan, M. Biofuel Production from Mango and Orange Peel and Tapioca Shells by Fermentation Using Consortium of Bacteria: Agricultural and Food Waste Valorization. Fermentation 2023, 9, 678. [Google Scholar] [CrossRef]
- Liguori, R.; Soccol, C.R.; Vandenberghe, L.P.S.; Woiciechowski, A.L.; Faraco, V. Second Generation Ethanol Production from Brewers’ Spent Grain. Energies 2015, 8, 2575–2586. [Google Scholar] [CrossRef]
- Lisci, S.; Tronci, S.; Grosso, M.; Hajrizaj, R.; Sibono, L.; Karring, H.; Gerganov, A.; Maschietti, M.; Errico, M. Valorizing Brewer’s Spent Grain: A Sequential Pathway of Supercritical Extraction, Hydrolysis, and Fermentation. Chem. Eng. Sci. 2024, 285, 119620. [Google Scholar] [CrossRef]
- Pereira, B.S.; de Freitas, C.; Masarin, F.; Brienzo, M. Xylooligosaccharides from Industrial Fruit and Restaurant Waste Produced by Liquid Hot Water Treatment. BioEnergy Res. 2023, 16, 843–855. [Google Scholar] [CrossRef]
- López-Linares, J.C.; Romero-García, J.M.; Robles, E.; Esteban, J.; Fermoso, J.; Castro, E. Brewer’s Spent Grain as a Source of Renewable Fuel through Optimized Dilute Acid Pretreatment. Renew. Energy 2020, 146, 1971–1983. [Google Scholar] [CrossRef]
- Mussatto, S.I.; Roberto, I.C. Chemical Characterization and Liberation of Pentose Sugars from Brewer’s Spent Grain. J. Chem. Technol. Biotechnol. 2006, 81, 268–274. [Google Scholar] [CrossRef]
- Bedő, S.; Rozbach, M.; Nagy, L.; Fehér, A.; Fehér, C. Optimised Fractionation of Brewer’s Spent Grain for a Biorefinery Producing Sugars, Oligosaccharides, and Bioethanol. Processes 2021, 9, 366. [Google Scholar] [CrossRef]
- Cortés Ortiz, W.G.; Ibla Gordillo, J.F.; Calderón Velásquez, L.M.; Herrera Bueno, A.F. Cuantificación de azúcares reductores en las cáscaras de naranja y banano. Rev. Tecnol. 2020, 12, 72–76. [Google Scholar] [CrossRef][Green Version]
- Kuo, C.-H.; Huang, C.-Y.; Shieh, C.-J.; Wang, H.-M.D.; Tseng, C.-Y. Hydrolysis of Orange Peel with Cellulase and Pectinase to Produce Bacterial Cellulose using Gluconacetobacter xylinus. Waste Biomass Valorization 2019, 10, 85–93. [Google Scholar] [CrossRef]
- Treichel, H.; de Oliveira, D.; Mazutti, M.A.; Di Luccio, M.; de Oliveira, J.V. Applications of Brewer’s Spent Grain Hemicelluloses in Biorefineries: Extraction and Value-Added Product Obtention. Catalysts 2023, 13, 755. [Google Scholar] [CrossRef]
- Vičević, R.; Božinović, M.; Zekić, N.; Novak, M.; Grgić, D.K.; Šalić, A.; Zelić, B. Development of a Two-Stage Bioprocess for the Production of Bioethanol from the Acid Hydrolysate of Brewer’s Spent Grain. Energies 2024, 17, 3975. [Google Scholar] [CrossRef]
- Lewallen, L.; Loebeck, A.; Neighbors, D.; Wen, X.; Hoffman, R. The Effect Temperature Has on the Production of Carbon Dioxide in Saccharomyces cerevisiae. J. Introd. Biol. Investig. 2021, 14, 2. Available online: https://undergradsciencejournals.okstate.edu/index.php/jibi/article/view/13104 (accessed on 19 March 2024).
- Sarkar, R.; Nain, L.; Dutta, A.; Kundu, A.; Saha, S. Unraveling the Utilization Feasibility of Citrus Peel Solid Distillation Waste as Potential Source for Antioxidant as well as Bioethanol. Biomass Convers. Biorefin. 2024, 14, 27379–27391. [Google Scholar] [CrossRef]
- Koutinas, M.; Dourou, M.; Kookos, I.K.; Vlysidis, A.; Kopsahelis, N.; Papanikolaou, S. Life Cycle Assessment of a Novel Bioethanol Fermentation Process Using Pichia kudriavzevii. Lett. Appl. Microbiol. 2015, 62, 75–83. [Google Scholar] [CrossRef]
- Santi, G.; Crognale, S.; D’Annibale, A.; Petruccioli, M.; Ruzzi, M.; Valentini, R.; Moresi, M. Orange Peel Pretreatment in a Novel Lab-Scale Direct Steam-Injection Apparatus for Ethanol Production. Biomass Bioenergy 2014, 61, 146–156. [Google Scholar] [CrossRef]
- Tadesse, H.M.; Atnafu, T.; Kassahun, E.; Tessema, I.; Abewaa, M.; Tibebu, S. Optimization of Bioethanol Production from a Brewers’ Spent Grain and Sugarcane Molasses Mixture Utilizing Saccharomyces cerevisiae. Biomass Convers. Biorefin. 2025. [Google Scholar] [CrossRef]
- WEG. FS Bioenergia es Pionera en la Producción de Etanol de Maíz en Brasil. WEG. 2018. Available online: https://www.weg.net/institutional/NA/es/news/productos-y-soluciones/fs-bioenergia-es-pionera-en-la-produccion-de-etanol-de-maiz-en-brasil (accessed on 16 March 2024).
- Biofuels Working Group (GTB) of ARIAE. Statistical Benchmarking of Biofuels in Ibero-America 2023: Base Year 2022; Ibero-American Association of Energy Regulatory Entities (ARIAE): Madrid, Spain, 2024. [Google Scholar]








| Concentration H2SO4 (%) | Temperature (°C) | Time (h) | Glucose (g/L) | Xylose (g/L) | ||||||
|---|---|---|---|---|---|---|---|---|---|---|
| Replicate 1 | Replicate 2 | Mean Glucose (g/L) | S.D. | Replicate 1 | Replicate 2 | Mean Xylose (g/L) | S.D. | |||
| 0 | 100 | 1 | 29.5 | 32.94 | 31.22 | 2.43 | 9.33 | 10.37 | 9.85 | 0.73 |
| 2 | 31.81 | 33.45 | 32.63 | 1.16 | 9.99 | 10.49 | 10.24 | 0.35 | ||
| 125 | 1 | 39.34 | 39.94 | 39.64 | 0.42 | 12.13 | 12.53 | 12.33 | 0.28 | |
| 2 | 45.23 | 51.63 | 48.43 | 4.52 | 13.79 | 15.51 | 14.65 | 1.21 | ||
| 0.5 | 100 | 1 | 36.88 | 45.76 | 41.32 | 6.28 | 11.4 | 14 | 12.7 | 1.84 |
| 2 | 41.49 | 44.89 | 43.19 | 2.41 | 12.72 | 13.66 | 13.19 | 0.67 | ||
| 125 | 1 | 43.16 | 52.14 | 47.65 | 6.35 | 13.18 | 15.7 | 14.44 | 1.78 | |
| 2 | 50.96 | 51.02 | 50.99 | 0.04 | 15.4 | 15.42 | 15.41 | 0.02 | ||
| 1 | 100 | 1 | 26.95 | 30.79 | 28.87 | 2.71 | 8.59 | 11.41 | 10 | 1.99 |
| 2 | 27.46 | 32.82 | 30.14 | 3.79 | 8.74 | 10.86 | 9.8 | 1.5 | ||
| 125 | 1 | 41.12 | 49.58 | 45.35 | 5.98 | 13.26 | 14.44 | 13.85 | 0.83 | |
| 2 | 46.16 | 47.72 | 46.94 | 1.11 | 14.08 | 14.56 | 14.32 | 0.34 | ||
| Source | Glucose | Xylose | ||||||||
|---|---|---|---|---|---|---|---|---|---|---|
| Sum of Squares | df | Mean Square | F-Value | p-Value | Sum of Squares | df | Mean Square | F-Value | p-Value | |
| Concentration (A) | 331.68 | 2 | 165.84 | 6.48 | 0.01 | 22.71 | 2 | 11.35 | 4.69 | 0.03 |
| Temperature (B) | 855.1 | 1 | 855.1 | 33.41 | <0.00 | 61.43 | 1 | 61.4 | 25.37 | <0.00 |
| Time (C) | 55.61 | 1 | 55.61 | 2.17 | 0.16 | 3.30 | 1 | 3.3 | 1.37 | 0.27 |
| AB | 91.74 | 2 | 45.87 | 1.79 | 0.21 | 5.04 | 2 | 2.52 | 1.04 | 0.38 |
| AC | 14.11 | 2 | 7.05 | 0.28 | 0.76 | 1.48 | 2 | 0.74 | 0.31 | 0.74 |
| BC | 13.98 | 1 | 13.98 | 0.55 | 0.47 | 1.58 | 1 | 1.57 | 0.65 | 0.43 |
| ABC | 14.38 | 2 | 7.19 | 0.28 | 0.76 | 0.61 | 2 | 0.3 | 0.13 | 0.88 |
| Error | 307.17 | 12 | 25.6 | - | - | 29.06 | 12 | 2.42 | - | - |
| Total | 1683.74 | 23 | - | - | - | 125.25 | 23 | - | - | - |
| Concentration H2SO4 (%) | Temperature (°C) | Glucose (g/L) | Xylose (g/L) | ||||||
|---|---|---|---|---|---|---|---|---|---|
| Replicate 1 | Replicate 2 | Mean Glucose (g/L) | S.D. | Replicate 1 | Replicate 2 | Mean Xylose (g/L) | S.D. | ||
| 1 | 200 | 15.6 | 16.2 | 15.9 | 0.42 | 5.1 | 5.52 | 5.31 | 0.3 |
| 2.5 | 23.7 | 23.98 | 23.84 | 0.2 | 9.15 | 11.21 | 10.18 | 1.46 | |
| 5 | 19.85 | 21.95 | 20.9 | 1.48 | 9.85 | 11.89 | 10.87 | 1.44 | |
| 1 | 160 | 15.66 | 17.67 | 16.67 | 1.42 | 5.37 | 7.37 | 6.37 | 1.42 |
| 2.5 | 22.9 | 27.1 | 25 | 2.97 | 10.21 | 14.22 | 12.22 | 2.84 | |
| 5 | 20.87 | 22.88 | 21.88 | 1.42 | 12.04 | 14.05 | 13.04 | 1.42 | |
| 1 | 130 | 12.85 | 16.95 | 14.9 | 2.9 | 5.17 | 5.98 | 5.58 | 0.57 |
| 2.5 | 18.9 | 25.1 | 22 | 4.38 | 10.38 | 11 | 10.69 | 0.44 | |
| 5 | 17.95 | 20.05 | 19 | 1.48 | 11.71 | 11.12 | 11.41 | 0.42 | |
| Source | Glucose | Xylose | ||||||||
|---|---|---|---|---|---|---|---|---|---|---|
| Sum of Squares | DF | Mean Square | F-Value | p-Value | Sum of Squares | DF | Mean Square | F-Value | p-Value | |
| Concentration (A) | 115.96 | 2 | 57.98 | 189.25 | <0.00 | 130.47 | 2 | 65.23 | 337.24 | <0.00 |
| Temperature (B) | 20.80 | 2 | 10.4 | 33.96 | <0.00 | 9.96 | 2 | 4.98 | 25.76 | <0.00 |
| AB | 1.42 | 4 | 0.36 | 1.18 | 0.37 | 0.77 | 4 | 0.19 | 0.99 | 0.45 |
| Error | 2.76 | 9 | 0.31 | - | - | 1.74 | 9 | 0.19 | - | - |
| Total | 141.00 | 17 | - | - | - | 142.94 | 17 | - | - | - |
| Biomass Source | Analysis | Value | Other Studies | References |
|---|---|---|---|---|
| Orange Peel | Glucose | 50.99 g/L | 1.69–79.29 g/L | [41,42,43,44] |
| Xylose | 15.41 g/L | 2.30–97.14 g/L | [45] | |
| Brewer Spent Grain | Glucose | 25.08 g/L | 0.31–75 g/L | [46] |
| Xylose | 13.00 g/L | 1.22–17.3 g/L | [47,48] |
Disclaimer/Publisher’s Note: The statements, opinions and data contained in all publications are solely those of the individual author(s) and contributor(s) and not of MDPI and/or the editor(s). MDPI and/or the editor(s) disclaim responsibility for any injury to people or property resulting from any ideas, methods, instructions or products referred to in the content. |
© 2025 by the authors. Licensee MDPI, Basel, Switzerland. This article is an open access article distributed under the terms and conditions of the Creative Commons Attribution (CC BY) license (https://creativecommons.org/licenses/by/4.0/).
Share and Cite
Armenta, J.M.; Armenta, E.E.; Ayala, J.R.; Coronado, M.A.; Montes, D.G.; Quintana, L. Hydrolysis Assessment of Orange Peel and Brewer’s Spent Grain for Bioethanol Production. Processes 2025, 13, 1974. https://doi.org/10.3390/pr13071974
Armenta JM, Armenta EE, Ayala JR, Coronado MA, Montes DG, Quintana L. Hydrolysis Assessment of Orange Peel and Brewer’s Spent Grain for Bioethanol Production. Processes. 2025; 13(7):1974. https://doi.org/10.3390/pr13071974
Chicago/Turabian StyleArmenta, Jesús M., Edson E. Armenta, José R. Ayala, Marcos A. Coronado, Daniela G. Montes, and Lisandra Quintana. 2025. "Hydrolysis Assessment of Orange Peel and Brewer’s Spent Grain for Bioethanol Production" Processes 13, no. 7: 1974. https://doi.org/10.3390/pr13071974
APA StyleArmenta, J. M., Armenta, E. E., Ayala, J. R., Coronado, M. A., Montes, D. G., & Quintana, L. (2025). Hydrolysis Assessment of Orange Peel and Brewer’s Spent Grain for Bioethanol Production. Processes, 13(7), 1974. https://doi.org/10.3390/pr13071974

