Abstract
Enzymes and biosurfactants, often referred to as “green chemicals,” play pivotal roles in enhancing the washing performance of bio-based detergents—a growing trend driven by environmentally conscious consumers. However, the widespread adoption of such bio-based detergents faces challenges, including high costs, limited efficiency, and the need for ongoing innovations. Bacillus species have long been universally acknowledged and exploited for industrial applications, and Bacillus spp. are largely differentiated from other microorganisms for their enzymatic applications, particularly in detergent production. Recent developments in bio-surfactant production by Bacillus sp. support the adoption of green detergents, and these bacterial biosurfactants are a promising source for detergent manufacturing. This article provides an overview of the current understanding of promising Bacillus species and their potential to advance and accelerate the production of bio-based detergents.
1. Introduction
Detergents have become an indispensable commodity in modern society, driven by factors such as population growth, increased urbanization, and industrialization, particularly in the wake of the COVID-19 pandemic. However, the growth of the detergent market risks increased adverse environmental impact through the use of non-biodegradable detergents, due to the bioaccumulation of synthetic surfactants, low biodegradability, and higher solid content, putting greater pressure on ecosystems [1].
Detergents have changed significantly over history, with incremental improvements to their ingredients for various reasons, yet surfactants remain the central component [2,3]. Traditional detergents, derived from soaps produced by saponifying fats or oils with lye (sodium or potassium), were the first natural and eco-friendly surfactants used for fabric washing [4,5,6]. These soaps remained the sole detergent source until 1916. During World War I, the scarcity of fats, combined with the petrochemical boom in World War II, accelerated the shift to synthetic surfactants [4]. The advantages of synthetic surfactants, such as their easy availability, low cost, and expanded application areas, have made them increasingly popular. However, synthetic surfactants mainly derived from petroleum have been the primary culprit behind environmental concerns, from petrochemical processing to the discharge of washing wastewater [1,7,8]. This has raised public awareness about the acute toxicity of detergents and their harmful effects on freshwater organisms, among other negative environmental impacts. A 2009 survey revealed that 40–64% of consumers across Germany, France, the UK, and the USA preferred clean and green detergents [9]. This consumer pressure and changes to environmental laws have become the key drivers behind modern detergent innovations [10].
To meet growing consumer demand and comply with environmental regulations, detergent companies have adopted various approaches. Some focus on sourcing renewable ingredients, while others prioritize reducing environmental impact through compact packaging, lower wash temperatures, and minimal water consumption. Consumer response to the former has been positive; a survey found that around 75% of respondents expressed concern about detergent ingredients, favoring biodegradable options to reduce chemical and water pollution [9]. Enzymes, once considered minor additives, have gained increasing significance in recent years, cementing their role in sustainable detergent formulations [9]. While bio-based surfactants have garnered consumer support for their ecological benefits and diverse substrate availability, the market is still in its early stages, facing challenges such as technical limitations, higher costs compared to synthetic alternatives, and a shortage of skilled labor [11]. Enzymes and biosurfactants are key to bio-based laundry detergents, offering benefits like superior cleaning at lower temperatures, reduced energy use, and decreased fossil fuel dependence [9]. However, high enzyme production costs limit their availability to mature markets like Europe, the USA, and Japan [12]. As a result, consumers are demanding more affordable, higher-performance products [10,13].
Compared to plant- and animal-based sources, microbes have garnered significant attention in the enzyme and biosurfactant industries due to their scalability and cost-effectiveness [14]. Microbial production offers advantages such as rapid growth, high yields, controlled fermentation, production efficiency, scalability, raw material availability, and genetic engineering [15]. Despite these benefits, there is still room for improvement. To further lower costs, studies have explored the valorization of agro-industrial organic waste as low-cost substrates, as they represent 30–50% of the end product value [16,17]. Coproducing enzymes in a single fermentation batch using microorganisms, while optimizing enzyme proportions, offers a cost-effective solution to improve production efficiency [18]. Genetic manipulation enables the creation of microbial enzymes with enhanced properties [19], which could contribute to the invention of the next generation of smart bio-based detergents. Much research provides evidence that Bacillus species, in particular, offer significant potential, as they can meet both performance and cost demands, paving the way for more sustainable and effective detergent formulations [20,21].
The genus Bacillus has also become the dominant microbial group used in recent microbial-based cleaning products. These products, which incorporate live microbial strains as active ingredients, are increasingly adopted across various countries and regulated under legal frameworks in regions such as Europe, the United States, and Canada. Notably, several Bacillus species, including B. subtilis, B. megaterium, and B. pumilus, have been officially approved for use in cleaning formulations and evaluated for safety under Canada’s Canadian Environmental Protection Act, 1999 (CEPA 1999). These strains are also classified as Risk Group 1 by the U.S. Centers for Disease Control and Prevention (CDC), indicating a low risk to human health and the environment, and many hold GRAS (Generally Recognized as Safe) status by the U.S. Food and Drug Administration (FDA). Regulatory acceptance of microbial levels up to 104 CFU/m3, which may be released during product application, has further supported their commercialization. As a result, Bacillus-based strains have been successfully incorporated into a wide variety of cleaning products—including hard surface cleaners, odor control formulations, degreasers, and septic system treatments—offering environmentally friendly alternatives to conventional chemical-based solutions [22,23].
However, while Bacillus species themselves are well-accepted, the use of genetically modified microorganisms (GMMs) as live agents in microbial cleaning products remains highly restricted. Barriers such as regulatory complexity, consumer skepticism, and the prohibitive costs and lengthy timelines associated with GMM approval have limited their commercial deployment in direct-use cleaning formulations. Nonetheless, using GMMs in upstream fermentation processes strictly for metabolite production has emerged as a viable and legally permissible approach. Provided the final product is free of viable GM cells and residual recombinant DNA and meets established safety, purity, and labeling standards, GMM-derived enzymes and biosurfactants can be incorporated into detergent formulations. This strategy enables the harnessing of cutting-edge bioengineering while maintaining regulatory compliance and consumer safety, thus supporting the development of next-generation, high-performance cleaning products [23,24].
While the existing literature addresses the industrial applications of Bacillus sp., this review delves deeper into their specific role in the detergent industry. Focusing on Bacillus species, it explores their potential in producing enzymes and biosurfactants tailored for bio-based detergent formulations.
2. Biosurfactants of Bacillus Species in Detergents
Biosurfactants are surface-active compounds that have microbial origins, such as bacteria and yeast. According to chemical structures, there are different types of microbial biosurfactants produced by a wide range of microorganisms, but the most popular compounds are glycolipids [25,26], followed by lipopeptides and phospholipids [27]. Lipopeptides are one of the most interesting and potent classes of biosurfactants produced chiefly by Bacillus sp. and Pseudomonas sp. [28,29]. Biosurfactants are superior to their synthetic counterparts in numerous areas, such as higher biodegradation, lower toxicity, biocompatibility, and extremophilic tolerance (pH, temperature, and salt concentration), as well as a reduced carbon footprint relative to that of synthetic surfactants [26,28].
Detergents represent the largest application segment for both synthetic surfactants and biosurfactants [21], as surfactants constitute 15–40% of modern detergent formulations, serving as their most crucial component [4,28,30,31]. In 2022, the global value of surfactants was worth US dollars (USD) 41.9 billion and is expected to rise to USD 60.0 billion in 2030 (https://www.vantagemarketresearch.com/industry-report/surfactants-market-1671, accessed on 12 March 2025), with household detergents accounting for 46% of total consumption (https://www.spglobal.com/commodityinsights/en/ci/research-analysis/global-surfactants-industry.html, accessed on 12 March 2025). In contrast to the mature synthetic surfactant market, the global biosurfactants market is still in its developmental stage, as the first biosurfactants were only discovered between 1948 and 1949, during research on the production of antibiotics and hemolysin by bacteria [21]. In 2023, the biosurfactant market was estimated at USD 4.4 billion and is expected to reach USD 4.7 billion in 2024 and USD 6.71 billion by 2032 (https://www.fortunebusinessinsights.com/biosurfactants-market-102761, accessed on 12 March 2025). Despite facing intense cost competition with synthetic surfactants, the exploitation and commercial competition of biosurfactants in detergents are forecasted to increase, fueled by environmental concern and higher quality [21,28].
Linear alkylbenzene sulphonates (LASs) are among the most widely used synthetic anionic surfactants, primarily employed in household detergents such as laundry powders and liquids, dishwashing products, and all-purpose cleaners. Commercial LAS products are complex mixtures, typically containing homologues with alkyl chains ranging from C10 to C14. In 2005, LAS consumption in European detergent applications covered by the Human and Environmental Risk Assessment (HERA) reached approximately 350 kt, representing over 80% of the total LAS usage in Europe, estimated at 430 kt. After use and disposal, LAS can enter the environment through direct discharge or via sewage treatment plant effluents [32]. Although LAS is considered readily biodegradable, its high volume of use can result in bioaccumulation, posing ecological risks. In contrast, biosurfactants offer a sustainable alternative due to their superior environmental profiles. They are biodegradable, exhibit low toxicity, and maintain functionality under extreme conditions such as low temperatures, high salinity, and extreme pH. Furthermore, biosurfactants typically possess significantly lower critical micelle concentrations (CMCs), often 10 to 40 times lower than those of synthetic surfactants [33], allowing them to reduce surface tension at much lower concentrations. These properties make them promising substitutes for synthetic surfactants in detergent formulations [34,35].
In detergents, biosurfactants can mimic traditional surfactants but with higher efficiency [34]. Alongside essential surface-active properties such as lowering surface tension and forming stable emulsions—key characteristics shared with conventional surfactants [35]—biosurfactants exhibit a significantly lower critical micelle concentration (CMC, the minimum concentration required for micelle formation). In general, biosurfactants exhibit CMC values 10 to 40 times lower than those of synthetic surfactants [33], meaning they require significantly lower concentrations to achieve the same surface tension reduction.
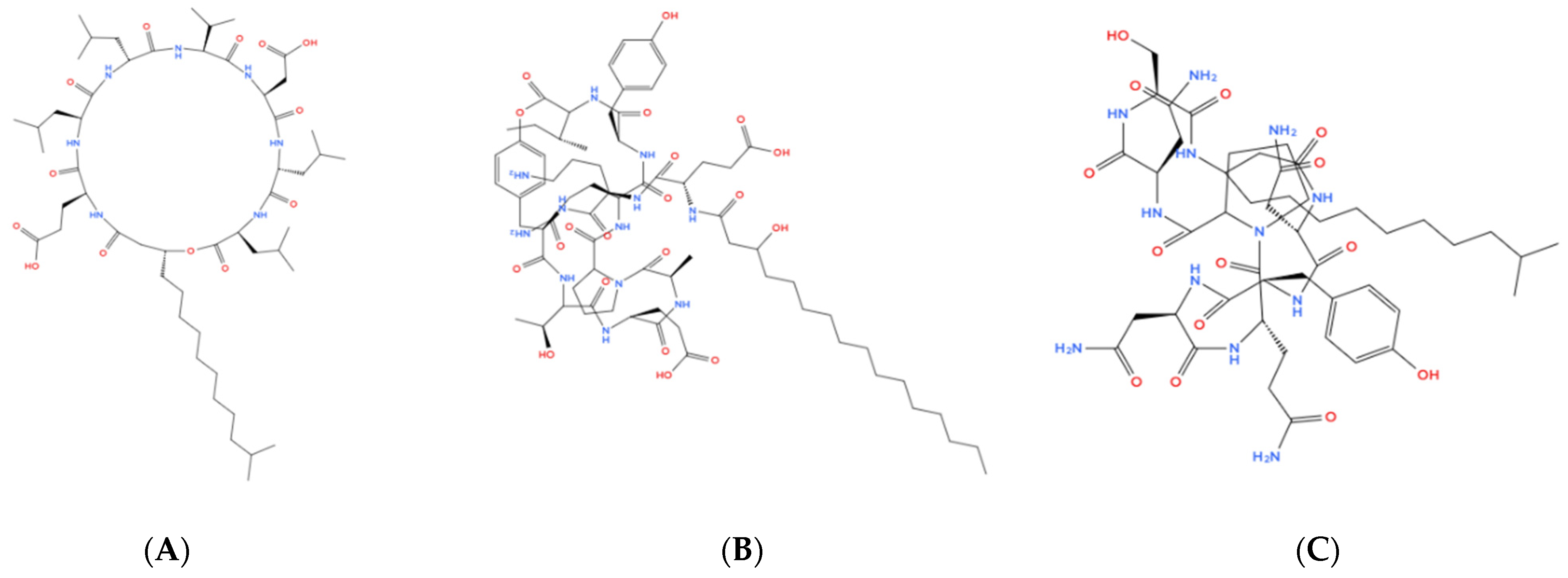
Among the three major lipopeptide biosurfactants produced by Bacillus strains, surfactin, fengycin, and iturin are the most widely studied. However, fengycin and iturin have higher CMC values due to their rigid cyclic peptide rings (Figure 1), which hinder micelle formation. Fengycin forms micelles at 15–18 mg/L [36] while iturin requires ≥25 mg/L [37,38], indicating weaker self-assembly into micelles compared to surfactin. The superior efficiency of surfactin is attributed to its cyclic structure, formed by a β-hydroxy fatty acid linked to a loop of seven amino acids: L-asparagine (Asn), L-leucine (Leu), glutamic acid (Glu), L-leucine (Leu), L-valine (Val), and two D-leucine residues [28]. These amino acids are connected via a lactone linkage, which is more flexible than the amide bonds found in fengycin and iturin. This structural flexibility makes surfactin highly dynamic, enhancing micelle formation and surface tension reduction efficiency. Combined with its low molecular weight, this property underscores surfactin’s superior emulsifying and solubilizing capabilities for hydrophobic stains [29], making it an ideal ingredient in detergent formulations. Surfactin forms micelles at and above 10 mg/L (Figure 2) [37] and is the most well-known lipopeptide compatible with commercial detergents [34,39]. Even at concentrations below its CMC (7.5–10 mM, depending on buffer conditions), detergent-like permeabilization effects were observed, while complete solubilization and mixed micelle formation occurred at the CMC [38]. Additionally, structural diversity within the surfactin family—with more than 30 known variants—results from differences in amino acid and fatty acid residues. However, identical surfactin molecules are observed depending on their chiral sequence, further influencing their functional properties [29].
Figure 1.
Chemical structure of biosurfactants (A) surfactin, (B) fengycin, and (C) iturin A (https://app.molview.com/).
Figure 2.
Micelles of surfactin.
The surface-active properties of Bacillus biosurfactants as detergent ingredients have been demonstrated through several publications. Bacillus subtilis strain SPB1, for instance, produces a lipopeptide biosurfactant that reduces water surface tension by 34 mN/m and effectively removes hydrophobic stains, such as coffee and turmeric. When combined with a commercial detergent, it improves oil (45%) and tea (65%) removal efficiency, compared to 34% and 58% with the detergent alone [34]. Similarly, thermophilic Bacillus subtilis strains DM-03 and DM-04 produce biosurfactants that remain stable at 80 °C for 60 min across a pH range of 7.0–12.0. While DM-03 primarily secretes iturins and DM-04 is rich in surfactins, leading to different wash performances, the latter showed better emulsification with oils when combined with laundry detergents. However, the overall oil and blood stain removal efficiency of both strains was still lower than that of detergent alone [40].
Simultaneously with biosurfactant secretion, the co-production of stable enzymes by Bacillus species not only facilitates detergent formulations but also improves their economic viability in detergent applications. For example, Bacillus subtilis PF1 simultaneously produces proteases, amylase, and biosurfactants when grown on agro-industrial by-products, with the resulting biosurfactant maintaining stability at alkaline pH (10–11) and temperatures between 30 and 60 °C. More importantly, its combination with hydrolytic enzymes improves stain removal from cotton fabrics, outperforming SDS-based treatments [41]. Similarly, Kavuthodi and Sebastian [42] studied the simultaneous production of pectinase and biosurfactant by B. subtilis BKDS1 using pineapple stem extract in a 1 L fermenter, confirming its potential for scale-up.
Despite its superior performance at low concentrations, surpassing synthetic surfactants like LAS and common biosurfactants such as rhamnolipids and sophorolipids, surfactin’s broader adoption in detergents remains limited, with its use largely confined to high-value sectors such as biomedicine and cosmetics. The major barrier to commercial viability lies in high production costs and low yields from wild-type Bacillus strains (0.1–1 g/L) (Table 1).
Downstream processing, accounting for 60–80% of total cost, is the major economic barrier to biosurfactant production, alongside costly substrates (~50%) [43]. This high cost is influenced by various factors such as the biosurfactant’s solubility, ionic nature, and cellular localization (intracellular, extracellular, or membrane-bound). Liquid–liquid solvent extraction, commonly using organic solvents like chloroform–methanol or ethyl acetate, is widely reported but is environmentally unfriendly and cost-intensive due to the large volumes of solvents required [44]. To address this, environmentally benign alternatives are being explored, including adsorption onto activated carbon or resins, centrifugation, ion exchange chromatography, ultrafiltration, and foam fractionation. These methods enable the recovery of highly pure biosurfactants at a lower cost with reusable materials. Among them, foam fractionation is especially attractive due to its solvent-free nature. This approach enables simultaneous production and recovery of biosurfactants by continuously removing surface-active molecules adsorbed on air bubbles, which can also prevent product accumulation that inhibits biomass growth [28]. Still, the overall production cost of biosurfactants is 10–12 times higher than that of synthetic surfactants [45]. Equipment costs for downstream processing can comprise up to 76% of total capital investment, compared to just 21% for upstream processes, with the remainder being facility-dependent. As no single downstream method is sufficient, multi-step recovery strategies are required to obtain biosurfactants with various purity levels. While crude biosurfactants may suffice for environmental remediation and detergents, high-purity products for industrial applications necessitate more sophisticated separation and purification steps [44].
Additionally, low biosurfactant yields of wild-type Bacillus strains remain a major obstacle to commercializing bio-based detergents, but recent advances in genetic engineering have significantly improved biosurfactant production in Bacillus species. The srfA operon, which encodes the mega-enzyme surfactin synthetase, was revealed as a crucial player in biosurfactant synthesis, significantly enhancing detergent potential [29]. Building on this finding, the srfA gene from Bacillus sp. SK320—originally isolated from endosulfan-contaminated cashew plantation soil—was cloned into E. coli, resulting in substantially higher biosurfactant production compared to the wild-type Bacillus strain [28]. In a separate study, a non-producing strain, Bacillus subtilis 168, was subjected to extensive metabolic engineering. This included the integration of a complete sfp gene, reduction in competing metabolic pathways, enhancement of cellular tolerance to surfactin, increased supply of branched-chain fatty acid precursors, and redirection of acetyl-CoA flux toward surfactin biosynthesis by upregulating srfA transcription. These combined interventions elevated surfactin production to 12.8 g/L [46]. Moreover, genome shuffling applied to Bacillus amyloliquefaciens led to recombinant strains with up to a 15.7-fold increase in surfactin production compared to the wild type [47].
By contrast, rhamnolipids and sophorolipids offer a more practical and balanced profile for detergent use. Both exhibit strong surface activity (CMC ranges of 10–200 mg/L and 40–100 mg/L, respectively), along with high biodegradability and low ecotoxicity. Sophorolipids are particularly advantageous due to their high production yields, often exceeding 200 g/L and reaching over 400 g/L at commercial scale [45]. Their relatively low production cost (approximately USD 3/kg) and favorable properties have facilitated their incorporation into sanitizer and detergent formulations, especially in mild detergents and personal care products. Rhamnolipids, although promising in terms of performance, face significant challenges in large-scale production, particularly excessive foaming during fermentation and regulatory scrutiny, owing to their microbial origin from Pseudomonas aeruginosa, an opportunistic human pathogen [48].
Regardless of these challenges, Bacillus biosurfactants are gaining industrial recognition. A notable example is the French company Lipofabrik SAS (Lesquin, France), which has developed and commercialized lipopeptide-based formulations obtained from B. subtilis fermentation using renewable resources [21]. These advancements indicate a growing trend toward integrating biosurfactants into commercial detergent formulations. Given their exceptional stability, synergy with enzymes, and enhanced cleaning efficacy, Bacillus biosurfactants hold great potential as sustainable alternatives to synthetic surfactants in the detergent industry.
Table 1.
Comparative profile of synthetic and biosurfactants used in detergents.
Table 1.
Comparative profile of synthetic and biosurfactants used in detergents.
| Category | LAS | Rhamnolipids | Sophorolipids | Surfactin | Refs. |
|---|---|---|---|---|---|
| Typical Source | Chemical synthesis | Pseudomonas aeruginosa | Starmerella bombicola | Bacillus subtilis | [35,49] |
| CMC (ppm) | C10–14 433–650 C12LAS~360 C13LAS~150 | 10-200 | 40–100 | ~10–20 | [4,32,35,37] |
| Surface Tension (mN/m) | Commercial BIO-SOFT® S-101 C11.3 ~ 35 | ~30–35 | ~30–40 | ~27 | [35,50] |
| Biodegra-dability | 97–99% (Aerobic) | High | High | High | [28,51,52] |
| Eco-toxicity | EC50 = 3.5 ppm Dunaliella sp. | Low | Low | Low | [28,53] |
| Cost | USD ~2 highly scalable | USD ~223/100 g 90% pure | USD ~3/kg | USD ~22.3/mg ≥ 98% pure | [28,45] |
| Concentration (g/L) | Industrial scale | 39–112 | >200 | 0.1–1 WT Bacillus sp. | [43,49,54,55] |
| Scaling | Fully commercial | Limited commercial | Fully commercial | Pre-commercial | [55,56] |
| Use | Household and industrial detergents | Ecodetergents, bioremediation, cosmetics | Detergents, cosmetics, skincare | Pharma., cosmetics, skincare | [35] |
3. Enzymes from Bacillus Species in Detergents
Since Otto Röhm’s patent in 1913 described the application of enzymes in the detergent industry over a century ago, steady adoption of this technique has progressed [57]. Enzymes are natural catalysts produced by living organisms that are active and stable during the washing processes but are nontoxic in discharge. Thus, they are well-accepted ingredients in a variety of existent detergent types, ranging from powder and liquid household detergents, laundry pre-spotters and stain removers, automatic dishwashing detergents, and industrial and institutional cleaners [58]. As mentioned above, surfactants are able to disperse, solubilize, and remove stains effectively with particular small dirt and liquid fatty soils. However, organic soiling arising from long polymer chains or solid fat can attach strongly to surface textiles. In such cases, the synergistic action between surfactants and enzymes enhances soil removal, enabling more efficient degradation and detachment of these stubborn residues [31]. Most recently, large numbers of alkaline enzymes, such as proteases, lipases, α-amylases, and cellulases, have been introduced in heavy-duty laundry and automatic dishwashing detergents [59]. However, the total enzyme content is low (0.2–2%) in detergent formulations, depending on whether solid or liquid forms of detergents are used; these highly effective multi-enzyme systems can facilitate the transition toward compact detergents, which bring the subsequent significant environmental savings [60].
Enzymes used in detergents must meet specific requirements. They must remain stable and efficient at a wide range of alkaline pH levels and a variety of temperatures (from low temperatures with synthetic fibers to high temperatures with cotton ones) throughout washing processes. Detergents are generally alkaline as most of the difficult-to-remove soils are more easily hydrolysed (saponified), chelated, and dispersed at alkaline pH levels. Moreover, the enzymes must be strictly compatible with the remaining detergent chemicals like surfactants, builders, bleaching agents, and other detergent enzymes, etc. The stability and compatibility of enzymes within a detergent formulation are important in determining the cleaning efficiency of the enzymes [61].
The detergent market is the single biggest consumer of enzymes, with around 25–30% of total industrial enzyme sales by 2014 [61,62]. The global enzyme market was estimated to be worth USD 14.0 billion in 2024, and revenue is projected to be USD 20.3 billion in 2030 [63]. Within this landscape, Bacillus-based products alone accounted for at least USD 18 billion in 2020, considering only the applications discussed in the current context. Notably, B. subtilis, B. amyloliquefaciens, and B. licheniformis are estimated to collectively contribute to around 50% of global industrial enzyme production, underscoring their technical and commercial significance. This dominant market share suggests that enzymes derived from Bacillus species are both high-performing and cost-effective compared to those produced by other microbial genera. Moreover, the consistent submission of over 650 patent documents annually since 2017 highlights ongoing innovation and substantial industrial investment in this genus [64,65].
3.1. Proteases from Bacillus Species
Proteases are the largest enzyme group across the global market and are extremely popular in many industrial sectors, including the food and feed industry, waste management, the leather industry, the chemical industry, the medical field, and the detergent industry [66]. The half-life of peptide bonds at neutral pH and 25 °C is over 100 years, and stubborn protein-based stains can become permanent when subjected to bleaching and drying processes due to oxidation and denaturation. Through proteolysis, proteases can catalyze these peptide stains in milliseconds. Thus, these enzymes serve to remove proteinaceous stains like eggs, milk, grass, blood, human sweat, etc., that strongly adhere to fabrics. Proteases were the first enzymes incorporated into detergents [57,66]. Initially, having been included as an add-on, they progressively became common ingredients in various types of detergents [67].
Although the very first enzymatic detergent proposed by Otto Röhm in 1913 included crude pancreatic proteases, the efficacy of enzymes was not widely recognized until the 1960s, with the advent of microbial proteases extracted from Bacillus spp. [68]. Microbes became the chief protease producers, and Bacillus spp. represented the most important strains for alkaline protease production [18]. In 1960, Novo industry A/S, one of the most well-known enzyme manufacturers, marketed a trade product called BIOTEX related to subtilisin from B. licheniformis [57].
Based on the structure of active sites and proteolytic mechanism, proteases were classified into seven groups: the serine- (EC 3.4.21), cysteine- (EC 3.4.22), aspartic-(EC3.4.23), metallo- (EC 3.4.24), threonine peptidases (EC 3.4.25), glutamic peptidases (currently included in EC 3.4.23) and asparagine peptide lyases (EC 4.3.2). Among those, while metalloproteases become inactive because of the loss of their metal cofactors by chelating agents, and thiol (or cysteine) proteases can be oxidized by the bleaching agents, alkaline serine endopeptidases are the most suitable in detergents because of their high stability in alkaline conditions and resistance to oxidizing chemicals [15,69].
Many studies have looked at the suitability of alkaline proteases produced by Bacillus spp. as detergent ingredients. Bacillus clausii KSM-K16 and Bacillus sp. strain KSM-KP43 were successfully used to produce alkaline proteases in bulk, which were then introduced into laundry cleansers [70]. Nadeem et al. (2013) [71] purified serine proteases produced by mutant B. licheniformis UV-9 to homogeneity and characterized them to elucidate this additive’s precise properties. The serine proteases could also maintain a high level of their relative activity regardless of the addition of common inhibitors, metal ions, surfactants, and oxidants, but were found to be sensitive to PMSF, DFP, and SDS [71]. The essential characteristics of proteases produced by Bacillus licheniformis NH1 have also been investigated. The enzyme suffers little from non-ionic surfactants, like Tween 20 and Triton X-100 [72]. A greater effect was observed with the addition of oxidants and bleaching agents. This study hypothesized that Ca2+ ions help to maintain the enzyme’s structural configuration, thus enabling it to remain stable at high temperatures (over 65 °C) [73]. Recently, Bacillus pumilus MP 27, isolated from marine water, has emerged as a promising candidate. This strain produced a thermophilic protease that is stable over a broad range of temperatures, from 10 to 70 °C, tolerating pH values as high as 11. The enzyme’s stability was measured after adding Triton X-100 as a surfactant, and Tide as a commercial detergent [74]. Protease from Bacillus sp. APR-4 was active at pH 9.0 and tolerant to temperatures up to 80 °C. The enzyme showed high resistance toward bleaching and oxidizing agents (sodium hypochlorite) and commercial detergents (Fena®, Farishta®) [75]. Finally, Bacillus cereus BM1, Bacillus clausii Sm3, and Bacillus licheniformis ALW1 were examined as potential candidates for the detergent industry [76,77]. In the current market, several Bacillus proteases are already being used in detergents, as shown in Table 2.
Table 2.
Commercial protease products used in detergents [78,79].
3.2. α-Amylases from Bacillus Species
With the amylase enzymatic system, α-amylase has gained greater attention than β-amylase and γ-amylase due to its potential applications, especially in industrial sectors, ranging from the food and beverage, fermentation, paper, textile, and pharmaceutical industries [80,81]. The enzyme, α-amylase (1,4-α-d-glucan glucanohydrolase [E.C. 3.2.1.1]), is an extracellular enzyme that breaks down 1,4-α-d-glycosidic starch linkages at random to release short-chain carbohydrates. α-amylase is the second most significant position in the global enzyme market (accounting for 25–33% of the total market value), second only to proteases [82], of which, the global value in 2022 was USD 1.84 billion (https://www.persistencemarketresearch.com/market-research/alpha-amylase-market.asp, accessed on 12 March 2025) preceded by USD 2 billion of proteases (https://www.futuremarketinsights.com/reports/protease-market, accessed on 12 March 2025). In addition to its substantial market share, α-amylase is also highly demanded across industries, particularly in detergents, where it is historically the second most utilized enzyme after serine proteases [83] and is present in about 90% of modern liquid detergents [80,84]. α-amylase converts starchy foods such as spaghetti, pasta, potatoes, gravy, custards, chocolate, etc., into water-soluble products (oligosaccharides and dextrins) for easy removal. Moreover, α-amylase is also responsible for the anti-adhesion of suspended soils [15]. Microbial α-amylase possess characteristics that are well suited to detergents, and both Bacillus species and Aspergillus species are the chief suppliers for alkaline and thermostable α-amylase [80,85].
Several findings have indicated that adding Ca2+ stimulates most bacterial amylases because Ca2+ plays an important role as an essential cofactor for these enzymes [81]. Hence, amylase is generally considered a metalloenzyme. Analysis of α-amylase’s three-dimensional structure reveals that Ca2+ is bonded to two of its three domains and plays a role in maintaining the solid tertiary structure of the enzyme, resulting in stable amylolytic activity [80]. However, the stability of enzymes and the availability of Ca2+ could be threatened when combined with builders as calcium-chelating agents. These chemicals act to soften hard water and enhance the performance of liquid detergents. Therefore, the search for Ca-independent α-amylase to boost the quality of detergent formulations is ongoing [86]. In addition, like other metalloenzymes, amylase is inhibited by the presence of EDTA, which induces a need to find novel amylase-producing strains.
Bacillus α-amylase has been investigated by many authors. Remarkably, the Bacillus subtilis strain AS-S01a was isolated from a soil sample and produced an alkaline α-amylase that does not require Ca2+ for allosteric activation. This purified enzyme was most active at 55 °C and pH 9, and the existing activity remained when treated with EDTA (2 mM) (a chelating agent), 1% Triton X-100, Tween 20, and Tween 80 (non-ionic surfactants). The α-amylase from strain AS-S01a also exhibited 69–100% stability at 30 °C and 37 °C toward commercial detergents, such as Surf excel® and Wheel®, Tide® and Ariel®, Henko®, Fena Ultra®, Safed® and Ujala® [86]. A partially purified α-amylase obtained from Bacillus sp. strain TSCVKK remained stable at the pH range of 6–9.5, and enzymatic hydrolysis was enhanced by mixing 1% soluble starch plus 5 mM CaCl2 at 55 °C, while inhibition was observed by 8 M urea and 5 mM EDTA. Other factors tested, such as SDS (an anionic surfactant), Triton X-100, Tween 20, Tween 40, and Tween 80, had only a slight effect on the original activity [87]. Bacillus cereus strain GA6 was able to synthesize cold-active α-amylase, which was stable at the lower temperature of 4–37 °C, pH ranging from 7 to 11. However, the cold-active amylase was denatured by Fe2+, Zn, CuSO4, and H2O2. Unlike amylase secreted by other strains, which were stimulated by Ca2+, the amylase from Bacillus cereus strain GA6 still showed good quality in the presence of EDTA, as well as Urea and SDS [88]. The enzyme was compatible with commercial detergents (e.g., Tide and Ghari detergents), thus proving its potential application in this field [89].
Numerous commercial Bacillus-derived amylases are used in detergents, namely BAN® (Bacillus amyloliquefaciens), Stainzyme® (mutant Bacillus licheniformis), Duramyl, Maxamyl (Bacillus sp.), and Solvay amylase [15], Termamyl®, and Takaterm (B. licheniformis) [90,91].
3.3. Lipases from Bacillus Species
In terms of general commercial consumption and detergent preparations, lipases (triacylglycerol hydrolases, E.C. 3.1.1.3) are the third most important biocatalysts, after proteases and carbohydrases [92]. Lipases added to household and industrial cleansers digest fatty stains and greasy soils, including butter, margarine, fats, fat-based sauces, salad oils, soups, human sebum, or certain cosmetics [93]. The addition of lipase is beneficial as this innovation can help replace harsh chlorine bleach, and indirectly mitigate environmental pollution from laundry effluents [94]. Lipase acts by attacking ester bonds in triacylglycerols to liberate diacylglycerols, monoacylglycerols, long-chain fatty acids, and glycerol in an aqueous solution at the lipid–water interface. In 1958, Sandra and Denuelle described the catalytic mechanism in kinetics terms as “interfacial activation,” hence, the reaction does not follow Michaelis–Menten kinetics. This unique phenomenon was not found in true esterases (EC 3.1.1.1, carboxyl ester hydrolases), which act on substrates soluble in water [92,95]. Because lipases are members of the alpha/beta-hydrolase fold family, their secondary structure, with a central β-sheet surrounded by α-helices, eclipses the active site by establishing a lid. This causes the enzyme to become inactive in homogeneous aqueous environments until an oil-water interface is introduced. The catalytic center containing the triad Ser-Asp (or Glu)-His has to undergo a conformational rearrangement to allow substrates to access the active site [92].
The vast majority of lipases come from bacteria [96,97,98]. Various brands have successfully launched a number of lipase-based products [93]. The first commercial detergent containing fungal lipases, named Lipolase, was developed in 1988 by Novo Nordisk, and manufacturers have continued to develop upgraded versions using fungi (Humicola lanuginose, Aspergillus oryzae, e.g.). So far, bacterial lipases used in two laundry detergents, Lumafast (Genencor International) and Lipomax (Gist Brocades), were isolated from Pseudomonas mendocina and Pseudomonas glumae, respectively [93]. Despite the fact that Bacillus is not the dominant lipase producer for detergents, its potential has been recognized with great interest, and the ability of an array of Bacillus sp., e.g., Bacillus subtilis JPBW-9, Bacillus licheniformis, Bacillus licheniformis VSG1, Bacillus pumilus SG2, Bacillus flexus XJU-1, to synthesize detergent-compatible lipases has been studied [94,99].
Bacillus lipases possess characteristics that are valued for detergent applications [94]. Mostly, the enzymes’ activity is stable in neutral to slightly alkaline media (pH = 7–9), their optimal temperature is around 45–50 °C, and they tolerate high levels of Ca2+, surfactants, bleaching agents, organic solvents, and proteases. A variety of Bacillus species have been reported to produce alkaliphilic lipases, such as Bacillus subtilis DR8806, Bacillus licheniformis, and Bacillus sp. RSJ-1, Bacillus sp. LBN2 [99]. The lipase from Bacillus methylotrophicus PS3 is thermostable with optimal conditions of 55 °C and pH 7.0. The stability of the enzyme is stimulated by Mg2+, Triton X-100, and organic solvents (particularly methanol) [98]. Bacillus cereus C7 produces lipase, which preserves its activity when in combination with commercial detergents, hydrogen peroxide, sodium hypochlorite, and trypsin [100]. Bacillus sp. DH4, Bacillus sp. RSJ-1 lipases show significant tolerance to surfactants and laundry detergents. B. sphaericus 205y lipase retains high activity with proteolysis [92].
3.4. Cellulases from Bacillus Species
Cellulases belong to the glycoside hydrolase family that hydrolyse β-1,4-glycoside linkages of cellulose polymers. Cellulases are a complex system with three single enzymes: endoglucanases (E.C. 3.2.1.4), exoglucanases (E.C. 3.2.1.91), and β-glucosidase (E.C. 3.2.1.21). While endoglucanases randomly cleave internal bonds in amorphous cellulose to generate new shorter chain ends, exoglucanases cleave the non-reducing and reducing ends of cellulose to produce cellobiose as major products, and β-glucosidase hydrolyzes the cellobiose into glucose [59]. Current detergent preparations usually include a cellulose cocktail. In laundry, they protect color and maintain the fabric’s smoothness [101]. In contrast to other enzymes in detergent formulations, cellulase does not react directly to soils on the fabric’s surfaces. Instead, it reacts with cellulose chains in the amorphous region of the fibers. The effect is not only to remove stains but also to eliminate the microfibrils and fuzzes of well-worn cotton clothing, which gives rise to the fabric of a grayish or dull appearance [102].
Although fungal cellulases have been studied extensively, they are either acid or neutral enzymes and cannot be compatible with the detergent’s alkaline medium. Thus, bacteria have been considered in manufacturing because they are an abundant source of alkaline enzymes [101]. Among microbes, the Bacillus genus is the most promising candidate. Cellulases from Bacillus sp. are usually alkalophilic and generally compatible with other detergent ingredients [16,101]. In 1987, Kao developed the first detergent cellulase produced by Bacillus sp., which demonstrated significantly improved washing performance. Since 1998, Genecor International has marketed an endo-cellulase product named Puradax that is extracted from alkaliphilic Bacillus and used in detergents [15].
Bacillus cellulases share common characteristics that confer tolerance to specific conditions of detergents. In 1988, Ito et al. [102] studied the enzymatic properties and genetics of Bacillus sp. KSM-635 and extended the use of this species to heavy detergents. This was the first application of Bacillus cellulase in a detergent. Bacillus cellulases usually remain stable at a pH of 8–10, a broad range of temperatures from 40 to 120 °C, and are slightly inhibited by EDTA [102]. Recent studies have demonstrated the considerable properties of Bacillus sp. SMIA-2 has made it another potential strain for use. This bacterium can simultaneously produce an array of enzymes, including protease, amylase, and cellulase. Thus, cellulase from this strain could withstand proteases. Cellulase from Bacillus sp. SMIA-2 was stable in SDS, non-ionic surfactant, and RENEX 95, Ultra Biz® detergents, but not in Triton X-100, H2O2, and Ariel® [103]. In contrast, cellulase produced by Bacillus licheniformis AMF-07 maintained its activity in the presence of Triton X-100 but was inhibited by H2O2. In terms of interactions with commercial detergents, the enzyme was stimulated by Dioxigene (122%), Shooma (116%), and slightly inhibited by Barf (90%), Kaf (85%), Taj, and Darya (33%) [101].
4. Recent Innovations in Harnessing Bacillus Species in Bio-Based Detergents
4.1. Affordable Green Detergents via Low-Cost Substrate Utilization
Despite the growing demand for enzymes and biosurfactants, the large-scale production of these organic molecules continues to pose a challenge in terms of process economics [77]. A careful design is required to narrow the gap between the necessary financial investment and industrial production because profit is always of significant concern when developing at an industrial scale [104]. Various options have been considered to reduce the price of fermentation operations, and in many cases, raw materials account for the majority of the production costs of industrial enzymes [16]. The same difficulty has been witnessed in the production of microbial biosurfactants, which increased the price of microbial biosurfactants up to USD 34 per kilogram compared to USD 1–4 per kilogram of the average price of synthetic surfactants and decelerated the growth rate of the biosurfactant market. The substrates in fermentation necessary to generate biosurfactants occupy more than 50% of the total cost [7]. One practical option is to use agro-industrial residues and by-products as media for fermentation [105]. Using these low-cost substrates also offers a variety of additional benefits, such as minimizing pollution, increasing the availability of a diverse spectrum of substrates, and being nontoxic to microorganisms. The volume of organic waste generated surges in parallel to the mounting consumption of the global population, which leads to a heavy burden on the environment and financial responsibility to waste management, unless valorization approaches can be established to circularize these residues. A total of 13 × 109 tonnes of organic by-products are estimated to be produced annually, which means that these residues represent a promising and abundant resource for the valorization in high-value-added by-products while mitigating the environmental problems [106]. Numerous studies highlight the potential of Bacillus sp. fermentation using circular substrates as cost-effective alternatives. Bacillus sp. is a well-known industrial microorganism used in recycling diverse agricultural and agro-industrial wastes, namely molasses, cassava waste, orange peel, corn steep liquor, sugarcane bagasse, tomato waste proteins, waste sunflower oil, etc., into value-added products [41,107]. However, compared to conventional media, these waste-derived substrates often suffer from imbalanced nutrient composition, logistics, feedstock inconsistency, and feedstock availability, which must be carefully managed to achieve optimal productivity [28]. Therefore, selecting a suitable agro-industrial waste or residue for biosurfactant or enzyme production requires considering factors such as raw material availability, transportation costs, minimal or no pretreatment requirements, and the avoidance of refined feedstock supplementation [33].
Beyond substrate selection, fermentation strategies are chosen based on the substrate’s nature, with solid-state fermentation (SSF) and submerged fermentation (SmF) being widely employed. While SSF is particularly efficient for fungal and yeast fermentation, it has also shown promise in certain Bacillus strains. For instance, Bacillus pumilus UFPEDA 448 yielded a higher concentration of lipopeptides under SSF when cultivated on an okara-based medium supplemented with sugarcane [108]. Similarly, the thermophilic bacterium Bacillus sp. BBXS-2 successfully fermented nonsterile open wheat straw as a substrate, co-producing protease and amylase, offering a cost-effective approach for detergent applications [109]. Despite SSF’s advantages—such as high volumetric productivity, higher product concentrations, reduced effluent generation, and simpler fermentation equipment—its industrial scalability is hindered by challenges in downstream processing, limited oxygen transfer, difficulties in scaling up, heterogeneous substrate composition, and moisture control issues, necessitating a case-specific approach. Conversely, SmF, though requiring capital-intensive fermentation infrastructure, enables homogeneous nutrient distribution and precise control over key cultivation parameters such as temperature, pH, and dissolved oxygen [110]. For example, Bacillus subtilis LB1a and LB5a produced biosurfactant, protease, and amylases more effectively using cassava wastewater than with a synthetic medium. Interestingly, during bioreactor operation, the frequent occurrence of foam was identified as a contributing factor in protease recovery, as higher values of enzyme were found in foam, suggesting a simple and viable downstream process. However, as reported in the study, the enzyme yields in 3 L bioreactors were lower than those observed in flasks for both protease and amylase [111]. Thus, developing a successful large-scale fermentation process requires not only the advantages of controllable fermenter systems but also the optimization of key parameters, which play a crucial role in overcoming challenges posed by wastewater containing unwanted substances. In an experiment utilizing wheat bran and groundnut oil cake as feedstock in 600 mL and 5 L bioreactors, Bacillus amyloliquefaciens exhibited a linear increase in amylase production with higher aeration, agitation, and biomass levels, indicating a growth-dependent pattern of α-amylase production. These findings, supported by Syu and Chen as well as El-Tayeb, highlight the significant influence of physical and biological factors in enhancing amylase yields [112].
To date, numerous studies have investigated the use of agro-industrial residues and wastewater for the production of enzymes and biosurfactants, primarily evaluating their feasibility at the laboratory and pilot scales. These efforts have provided valuable insights into substrate characteristics, microbial compatibility, and product potential for integration into detergent formulations. However, scaling up from pilot to industrial production remains challenging and requires further technological innovation, comprehensive economic assessments, and alignment with regulatory standards to ensure process stability, consistent product quality, and commercial viability. As summarized in Table 3, the detergent industry emerges as a particularly promising application area for these sustainable bio-based ingredients obtained through residual fermentation.
Table 3.
Fermentation using different types of waste by Bacillus sp.
4.2. Energy-Saving Detergents with Cold-Adapted Microbes
Cold-active enzymes have drawn a lot of attention from the detergent industry because their unique properties allow greater energy conservation [126]. In the past, wash performance relied heavily on the level of mechanical agitation in combination with water temperature. Hot water, potentially up to 95 °C, used to be preferred for washing clothes. This caused an array of problems, such as high energy consumption and wear and tear on fabrics [30,99]. The introduction of enzyme-based detergent formulations redefined the optimal washing temperature, shifting it to a milder range of 30–60 °C—lower than traditional, heat-dependent standards. This shift stems from the fact that enzyme activity decreases markedly at higher temperatures. Nevertheless, at these reduced temperatures, effective cleaning is still achieved through the catalytic efficiency of enzymes, even without substantial thermal input [30]. The common conditions for detergent applications are an alkaline pH and a low temperature [79], and the percentage of global cold-water washing machine loads rose from 38 to 53% from 2010 to 2014 [78]. This has been achievable because of the development of cold enzymes detergent applications that are active at alkaline pH ranges with broad thermostability (5–60 °C). An array of cold-active enzymes, including protease, lipase, cellulase, amylase, mannanase, and pectate lyase, has already been incorporated into various commercial detergent formulations by leading companies such as Novozymes, DuPont, Genencor, and Jupiter. This widespread adoption underscores the undeniable industrial appeal and functional value of cold-active enzymes in enhancing detergent performance under energy-saving, low-temperature washing conditions [79].
Cold enzymes are mainly produced by psychrophilic microorganisms (Archaea, Bacteria, and Eukarya) [127]. In addition to the many different psychrophilic bacteria, there are numerous studies examining Bacillus species. Bacillus subtilis ITRCGG-3, which can produce cold-active proteases, was isolated from the Gangotri Glacier in the western Himalayas, where the temperature ranges from 2 to 5 °C in summer to below freezing in winter. The partial protease expressed by ITRCGG-3 exhibited unusual stability in the presence of SDS as a typical surfactant in detergent formulations, and its activity was even increased by Tween 80 and commercial detergents like Wheel. Furthermore, this enzyme demonstrated stability between 10 and 30 °C, pH from 9 to 11, with optimal activity at 20 °C and pH 10 [128]. A pure cold-active protease isolated from Bacillus subtilis WLCP1 was found to be active at pH 10 and stable at pH 7–11; its highest activity was recorded at pH 10 and 15 °C. The enzyme was also excellent at removing blood stains from fabrics [129]. A cold-active amylase from Bacillus cereus GA6 was active in a wide range of temperatures from 4 to 37 °C as well as the pH of 7–11, and showed maximum activity at 22 °C, pH 9. The enzyme displayed considerable potential against urea, SDS, and EDTA, and compatibility with commercial laundry detergents [130]. Bacillus subtilis N8 was observed for its ability to produce a cold-active, alkaline, detergent-stable α-amylase. The enzyme’s optimal temperature and pH were 25 °C and 8.0, respectively. This enzyme also resisted some chemical denaturants in the detergent industry, namely SDS, EDTA, Triton X-100, and urea [131]. Psychrophilic Bacillus sphaericus MTCC 7526 produced a cold-active lipase that was preferable for use in detergents. Its optimal activity was at 15 °C and pH 8.0, and its activity remained significant in the presence of acetone, DMSO, and EDTA [132]. Bacillus sp. strain SY-7 was isolated from the sewage of an oil-producing cold-active lipase. This lipase showed good activity at pH 4.0–10.0 and 5–50 °C, with optimal activity at pH 8.0 and a temperature of 20 °C. Moreover, the enzyme was measured for other properties pertinent to the laundry industry, such as maintaining its activity despite the presence of denaturants and commercial detergents [133].
Compared to cold enzymes, which represent a pioneering research field with some already commercialized, the term “cold-active biosurfactants” has only recently emerged in scientific literature (Table 4). This interest has been driven by the Low-Temperature Washing Campaign launched in 2013, yet research in this field remains limited [134]. While this initiative offers significant environmental benefits, particularly in the context of the ongoing energy crisis, maintaining washing efficiency at low temperatures remains a challenge. Conventional surfactants are generally less effective in cleaning at lower temperatures. Below the Krafft temperature, some surfactants crystallize, resulting in the loss of essential surface activities such as dispersion, emulsification, and critical micelle formation [135].
Cold-active biosurfactants, however, function effectively at low temperatures and can also be produced without requiring heating [134]. This valuable property aligns well with the push for low-temperature washing practices to conserve energy, offering a promising alternative to conventional surfactants. These biosurfactants originate from extreme cold environments, where microorganisms have adapted to thrive in freezing conditions. These cold-adapted microbes are capable of producing biosurfactants with low Krafft temperatures —the minimum temperature at which surfactants can form micelles-making them suitable for diverse applications, particularly in cold and harsh environments.
Despite the growing interest, studies on biosurfactant-producing psychrophiles remain limited. Research has focused on Antarctic environments [136], cold soils, sand, lake in polar regions and high altitudes [137,138,139,140], cold marine environments in Atlantic Canada [141], old seeps in the deep sea of South China [142], and cold seep sediments [143], etc. These findings indicate that cold-adapted microorganisms belong to several genera, including Bacillus, Pseudomonas, Burkholderia, Sphingomonas, Vibrio, Rhodococcus, Alcanivorax, Exiguobacterium, Halomonas, Acinetobacter, Streptomyces, Janthinobacterium, Psychrobacter, and Serratia [136,143,144,145].
A major drawback that must be considered is that psychrophilic microorganisms generally exhibit slow growth, making them less ideal for large-scale industrial production. This challenge is further exacerbated by their lower biosurfactant yields, doubling the difficulty of commercializing these compounds. However, promising developments have emerged from studies on certain Antarctic isolates, which have demonstrated the ability to produce biosurfactants even at 4 °C using crude oil as their sole carbon source [136].
With the increasing interest in microbial biosurfactants and their potential applications across multiple sectors, including bioremediation, gas hydrate technologies, and green detergents, further research and development efforts are expected to address these challenges [134].
Table 4.
Cold-active enzymes and biosurfactants from Bacillus strains for detergent applications.
Table 4.
Cold-active enzymes and biosurfactants from Bacillus strains for detergent applications.
| Bacillus Species | Culture Medium/Conditions | Growth Temp and Time | Enzyme/Biosurfactant | Enzyme Activity Characteristics | Scale | References |
|---|---|---|---|---|---|---|
| Bacillus sp. S1DI 10 (Himalayan Spring isolate) | Glucose–casein–peptone + salts; pH 7 | 20 °C; ~48 h | Cold-active metallo-protease | Optimum: 10 °C, pH 8; stable with 2% SDS and Tween-80; | Lab scale | [146] |
| Bacillus subtilis N8 (Turkey, alkaline soil) | Starch-based alkaline medium; 40 g/L glucose | 15–25 °C; ~48 h | Cold-active α-amylase | Optimum: 25 °C, pH 8; stable pH 8–12 and 10–40 °C; resists SDS, EDTA, Triton X-100, urea | Lab scale | [131] |
| Bacillus cereus GA6 (Himalayan glacier) | Glycerol + ammonium acetate; pH~10 | 20 °C; 96 h | Cold-active α-amylase | Optimum: 22 °C, pH 9; active 4–37 °C, pH 7–11; stable with SDS, EDTA, urea; active in detergents | Lab scale | [130] |
| Bacillus sp. SY-7 (oil-mill sewage) | Tributyrin and olive oil broth | 20 °C; 72 h | Cold-active lipase | Active 5–50 °C, pH 4–10; optimum at 20 °C, pH 8; stable in 5% SDS, detergents, metal ions | Lab scale | [133] |
| Bacillus subtilis SPB1 (Tunisian soil isolate) | Glucose, urea, NH4Cl, 2% kerosene; DO control | 30 °C; 48–72 h | Biosurfactant (surfactin) | Stable pH 2–9; 70 °C/1 h retention; improves detergent stain removal by 33–45% | Pilot (2.6 L bioreactor) | [34,147] |
4.3. Advanced Specialty Detergents Through Protein Engineering
Thanks to advances in molecular biotechnology, many challenges in the detergent industry can now be addressed through protein engineering, in addition to genetic engineering (Table 5) [79]. The most effective strategy for producing biologically relevant molecules involves manipulating the genes encoding these molecules, coupled with approaches such as directed evolution, semi-rational design, or rational design. Among these, directed evolution is regarded as a promising platform for rapidly generating enzymes with novel properties. By leveraging random DNA manipulation, this method produces a vast pool of mutated proteins [148]. The significance of this approach was recognized by the scientific community with the awarding of the 2018 Nobel Prize in Chemistry [149].
Protein engineering has been successfully applied to Bacillus spp., addressing the requirement of specific criteria—thermostability, alkaline pH tolerance, and resistance to chemical oxidizing agents—for enzymes intended for use in laundry detergent formulations. Wild-type enzymes often fail to retain their functional properties under the harsh processing conditions typically encountered in such applications.
To enhance thermostability and broaden enzyme activity across a range of temperatures, a single round of random mutagenesis followed by recombination of improved variants was conducted on a mesophilic subtilisin-like protease from Bacillus sphaericus. This modification resulted in a 6.6-fold increase in the catalytic rate constant (kcat) at 10 °C and a 9.6-fold improvement in catalytic efficiency (kcat/KM) compared to the wild-type enzyme [150]. A psychrophilic enzyme named TA39 subtilisin (S39) was converted into the mesophilic subtilisin, savinase from Antarctic Bacillus lentus (clausii). The hybrid enzyme displayed its highest activity at 55 °C and catalyzed a wider substrate profile and showed a higher specificity toward synthetic substrates [151]. B. gibsonii alkaline protease (BgAP) was modified by a directed evolution campaign toward lower temperatures. After using three iterative rounds of Sequence Saturation Mutagenesis to broaden activity, one hybrid variant, MF1, was created. This variant showed greater activity at 15 °C and 100 times superior thermal resistance at 60 °C [152].
With respect to pH-dependent activity, B. gibsonii alkaline proteases (BgAP), which had an optimal pH of 11, underwent a post-translational autocatalytic deamidation process substituting positively charged asparagine and glutamine residues with negatively charged aspartic acid and glutamic acid, respectively. This led to a twofold increase in pH-dependent activity at pH 8.6 [153].
Bacillus subtilis DB104 was also successfully exploited as a host for a variant protease that could mediate the production of oxidative agents, such as peroxycarboxylic acid, as a side catalytic reaction [154]. The recombination of three variants at position Gly165 exhibited an effective redirection from proteolysis using a standard suc-AAPF-pNA substrate to perhydrolysis of methyl-propionate, methyl-butyrate, and methyl-pentanoate as substrates when expressed in Bacillus subtilis DB104 [154]. Methionine 197, located close to the active site of B. licheniformis amylase, was replaced with a non-sulfur-containing amino acid, which resulted in the improvement of oxidation stability and better performance in the presence of bleach. The type of mutant amylase has been employed by Glencore International and Novozyme according to two commercial products, Purafect OxAm® and Duramyl®, respectively [155,156].
Table 5.
The application of protein engineering in the detergent industry.
Table 5.
The application of protein engineering in the detergent industry.
| Strategies | Targeted Improvement | Results | References |
|---|---|---|---|
| Directed Evolution | Thermostability and substrate specificity |
| [150,152] |
| Post-translational Modification | pH-dependent activity enhancement |
| [153] |
| Recombination/Site-directed Mutagenesis | Oxidation stability |
| [154,155,156] |
| Semi-rational/Rational Design | Mentioned as complementary to directed evolution |
| [148] |
4.4. Smart Detergents for Precision Stain Removal with CRISPR
The pursuit of high-efficiency detergents remains an enduring research objective, with significant advancements in the innovation and industrial integration of bio-based ingredients. The powerful gene-editing technology known as CRISPR has enabled the precise engineering of eco-friendly molecules such as enzymes and biosurfactants, paving the way for more sustainable, effective, and environmentally friendly detergent formulations [19,157]. Notably, CRISPR-based systems derived from the Cas9 protein—such as the gene-editing CRISPR-Cas9 system and the gene-regulation platforms CRISPR activation (CRISPRa) and CRISPR interference (CRISPRi)—offer precise, versatile, and efficient approaches for enhancing microbial strains used in detergent production [19,158].
Unlike traditional genetic modification, which often depends on random mutations, CRISPR-Cas9 gene editing enables precise and efficient alterations at specific genomic sites. This technology harnesses the Cas9 enzyme system from the natural immune response of bacteria and manipulates it to function as molecular scissors that cut DNA at a specific location, guided by a single guide RNA (gRNA). Once the DNA is cut, the cell’s natural repair mechanisms are triggered, facilitating simultaneously the insertion or deletion of genetic material or the replacement of faulty genes with new ones, thus enabling targeted and precise modifications [159,160].
Moreover, a modified version of this system, CRISPR-dCas9, has been repurposed for transcriptional regulation rather than gene editing. This system consists of three core components: a catalytically inactive Cas9 (dCas9) protein, a programmable single guide RNA (sgRNA) that targets promoter regions, and a transcriptional effector—either an activator (CRISPRa) or a repressor (CRISPRi). When the dCas9-sgRNA-effector complex binds to the promoter region of a target gene, it can inhibit transcription by blocking RNA polymerase binding or elongation (in the case of CRISPRi) or enhance transcription (in the case of CRISPRa) [19,158]. These systems thus allow for precise modulation of gene expression levels, offering powerful tools for the rational engineering of microbial strains tailored for smart detergent applications.
The application range of the CRISPR-based system is virtually limitless, encompassing fields such as medicine, agriculture, and industrial biotechnology, including the creation of genetically engineered organisms like bacteria, plants, and animals. There are several strategies using this tool anticipated to be applied in the detergent industry. CRISPR array sequencing enables bacterial strain genotyping and detects past virome infections, aiding CRISPR-Cas vaccine development to prevent fermentation failures [161], which frequently cause economic losses in industrial-scale enzyme or biosurfactant production. A particularly noteworthy advantage of CRISPR-based genetic tools, especially relevant to the detergent industry, is their ability to simultaneously target and regulate multiple genes using different single guide (sg) RNAs. This enables the concurrent production of multiple targeted products, as demonstrated by CRISPRi-optimized metabolic flows in C. glutamicum, which facilitated the first efficient L-lysine and squalene co-synthesis by regulating pyruvate metabolism. This strategy also serves as a reference for synergistic amino acid and terpene production [162].
Additionally, by enabling expression level control of any genes of interest without altering the genomic sequence [161], CRISPR is able to control the proportion of individual enzymes in the mixture for optimization. This, in turn, enhances compatibility in detergent formulations and provides an effective solution for reducing enzyme production costs. Such versatility aligns seamlessly with the portfolios of start-up manufacturers, offering opportunities for cost savings and increased operational efficiency, like India, China [162,163]. Fehler, Kallehauge [164] demonstrated that CRISPR-dCas9 boosts α-amylase production in B. subtilis by 2–3-fold through the knockdown of flagellar-associated genes, with potential to further enhance enzyme production, offering promising applications in biotechnology.
Yet, harnessing CRISPR-based technologies with Bacillus species for green detergent production remains a relatively novel application of this technology, as it has so far been used for genome editing/regulation in only a limited number of bacterial species, particularly those with challenging transformation or recombination processes. Among the Bacillus species, B. subtilis, B. licheniformis, B. megaterium, and B. cereus represent a few examples that have been targeted, but for purposes other than detergent applications [19,165,166]. One rare finding by Price, Cruz [167] demonstrated the use of CRISPR-Cas9 to enhance Bacillus subtilis for industrial enzyme production, focusing on improving subtilisin E, a key detergent protease. In this case, the CRISPR system was first validated by knocking out the amyE gene, which encodes α-amylase, demonstrating successful gene editing. Next, they applied in situ modification to the aprE gene, which produces subtilisin E, aiming to enhance its thermostability and pH tolerance. Since the wild-type enzyme is vulnerable to detergent formulations and heat, they introduced a salt-bridge triad (Arg19-Glu271-Arg275) found in Bacillus clausii M-protease, known for its heat resistance. Using CRISPR-Cas9, they replaced specific residues (Gln125-Gln377-Gln381) in subtilisin E to form this stabilizing salt bridge, then tested the modified enzyme’s thermostability and activity. Thus, future perspectives highlight the potential of CRISPR-based genetic tools as a simple, rapid, and effective approach for engineering to achieve sequence-specific genome editing in Bacillus species, tailored specifically for the detergent industry (Figure 3).
Figure 3.
Potential applications of CRISPR-based genetic technologies in the detergent industry.
5. Conclusions
The increasing demand for environmentally friendly detergents has underscored the need for sustainable and efficient alternatives to conventional chemical formulations. Bacillus species have solidified their position as industrial microbial workhorses, demonstrating exceptional potential in enzyme and biosurfactant production for bio-based detergents. Their ability to generate a diverse array of extracellular enzymes, including proteases, α-amylase, lipases, and cellulases, and biosurfactants such as lipopeptides underscores their versatility and resilience under extreme conditions. These attributes not only enhance washing performance but also provide viable substitutes for synthetic surfactants with high toxicity. Although cost and efficiency remain significant challenges, continued research into innovative Bacillus strains and advanced biotechnological strategies will be essential for optimizing production and enhancing efficiency. Key approaches include optimizing fermentation processes with low-cost substrates and developing desirable “green chemicals” with novel characteristics and higher yields through gene-editing techniques, protein engineering, and the discovery of new candidates with unique features, such as cold-active biosurfactants and enzymes. While the widespread adoption of next-generation green detergents remains far off, advancements in microbial biotechnology, particularly within Bacillus species, will pave the way for more sustainable, high-performance detergent formulations, ultimately contributing to global environmental sustainability.
Author Contributions
Writing original draft: V.-M.-L.N.; review and editing: A.N. and E.C.P.; Supervision: J.-F.B.; supervision and funding acquisition: K.A. All authors have read and agreed to the published version of the manuscript.
Funding
This research was funded by Institut National de la recherche scientifique.
Data Availability Statement
The original contributions presented in this study are included in the article. Further inquiries can be directed to the corresponding author.
Acknowledgments
The authors would like to acknowledge the Institut National de la Recherche Scientifique (INRS) and the Natural Sciences and Engineering Research Council of Canada (NSERC) for their financial support.
Conflicts of Interest
The authors declare no conflicts of interest.
References
- Giagnorio, M.; Amelio, A.; Grüttner, H.; Tiraferri, A. Environmental impacts of detergents and benefits of their recovery in the laundering industry. J. Clean. Prod. 2017, 154, 593–601. [Google Scholar] [CrossRef]
- Cheng, K.C.; Khoo, Z.S.; Lo, N.W.; Tan, W.J.; Chemmangattuvalappil, N.G. Design and performance optimisation of detergent product containing binary mixture of anionic-nonionic surfactants. Heliyon 2020, 6, e03861. [Google Scholar] [CrossRef]
- IUPAC. Compendium of Chemical Terminology; Blackwell Scientific Publications Oxford: Oxford, UK, 1997. [Google Scholar]
- Yu, Y.; Zhao, J.; Bayly, A.E. Development of surfactants and builders in detergent formulations. Chin. J. Chem. Eng. 2008, 16, 517–527. [Google Scholar] [CrossRef]
- Mousavi, S.A.; Khodadoost, F. Effects of detergents on natural ecosystems and wastewater treatment processes: A review. Environ. Sci. Pollut. Res. 2019, 26, 26439–26448. [Google Scholar] [CrossRef]
- Babajanzadeh, B.; Sherizadeh, S.; Ranji, H. Detergents and surfactants: A brief review. Open Access J. Sci. 2019, 3, 94–99. [Google Scholar] [CrossRef]
- Farias, C.B.B.; Almeida, F.C.; Silva, I.A.; Souza, T.C.; Meira, H.M.; Rita de Cássia, F.; Luna, J.M.; Santos, V.A.; Converti, A.; Banat, I.M. Production of green surfactants: Market prospects. Electron. J. Biotechnol. 2021, 51, 28–39. [Google Scholar] [CrossRef]
- Warne, M.S.J.; Schifko, A. Toxicity of laundry detergent components to a freshwater cladoceran and their contribution to detergent toxicity. Ecotoxicol. Environ. Saf. 1999, 44, 196–206. [Google Scholar] [CrossRef]
- Household and Personal Care Today. Consumers Want Green and Clean Detergents. In Focus on Surfactants; Elsevier: Amsterdam, The Netherlands, 2009; p. 4.
- Scheibel, J.J. The evolution of anionic surfactant technology to meet the requirements of the laundry detergent industry. J. Surfactants Deterg. 2004, 7, 319–328. [Google Scholar] [CrossRef]
- Markets and Markets. Surfactants market worth $40.3 bn by 2019. In Focus on Surfactants; Elsevier: Amsterdam, The Netherlands, 2019; p. 4. [Google Scholar]
- Grbavčić, S.; Marković, D.; Rajilić-Stojanović, M.; Antov, M.; Šćiban, M.; Karadžić, I.; Knežević-Jugović, Z. Development of an environmentally acceptable detergent formulation for fatty soils based on the lipase from the indigenous extremophile Pseudomonas aeruginosa strain. J. Surfactants Deterg. 2015, 18, 383–395. [Google Scholar] [CrossRef]
- Benvegnu, T.; Plusquellec, D.; Lemiègre, L. Chapter 7: Surfactants from renewable sources: Synthesis and applications. In Monomers, Polymers and Composites from Renewable Resources; Belgacem, M.-N., Gandini, A., Eds.; Elsevier Science: Amsterdam, The Netherlands, 2008; pp. 153–178. [Google Scholar]
- Singh, R.; Kumar, M.; Mittal, A.; Mehta, P.K. Microbial enzymes: Industrial progress in 21st century. 3 Biotech 2016, 6, 174. [Google Scholar] [CrossRef]
- Gurkok, S. Microbial Enzymes in Detergents: A Review. In Proceedings of the 4th International Conference on Advances in Natural & Applied Sciences Icanas, Agri, Turkey, 19–22 June 2019; pp. 19–22. [Google Scholar]
- Özbek Yazıcı, S.; Özmen, I. Optimization for coproduction of protease and cellulase from Bacillus subtilis M-11 by the Box–Behnken design and their detergent compatibility. Braz. J. Chem. Eng. 2020, 37, 49–59. [Google Scholar] [CrossRef]
- Nazareth, T.C.; Zanutto, C.P.; Maass, D.; de Souza, A.A.U.; Ulson, S.M.d.A.G. Bioconversion of low-cost brewery waste to biosurfactant: An improvement of surfactin production by culture medium optimization. Biochem. Eng. J. 2021, 172, 108058. [Google Scholar] [CrossRef]
- Singh, A.; Bajar, S.; Devi, A.; Pant, D. An overview on the recent developments in fungal cellulase production and their industrial applications. Bioresour. Technol. Rep. 2021, 14, 100652. [Google Scholar] [CrossRef]
- Song, Y.; He, S.; Jopkiewicz, A.; Setroikromo, R.; van Merkerk, R.; Quax, W.J. Development and application of CRISPR-based genetic tools in Bacillus species and Bacillus phages. J. Appl. Microbiol. 2022, 133, 2280–2298. [Google Scholar] [CrossRef]
- Niyonzima, F.N.; More, S.S. Coproduction of detergent compatible bacterial enzymes and stain removal evaluation. J. Basic Microbiol. 2015, 55, 1149–1158. [Google Scholar] [CrossRef]
- Vieira, I.M.M.; Santos, B.L.P.; Ruzene, D.S.; Silva, D.P. An overview of current research and developments in biosurfactants. J. Ind. Eng. Chem. 2021, 100, 1–18. [Google Scholar] [CrossRef]
- Berg, N.W.; Evans, M.R.; Sedivy, J.; Testman, R.; Acedo, K.; Paone, D.; Long, D.; Osimitz, T.G. Safety assessment of the use of Bacillus-based cleaning products. Food Chem. Toxicol. 2018, 116, 42–52. [Google Scholar] [CrossRef]
- OECD. Biosafety and the Environmental Uses of Micro-Organisms: Conference Proceedings; OECD Publishing: Paris, France, 2015. [Google Scholar]
- AB Enzymes GmbH. GRAS Notification for a Maltogenic Amylase from a Genetically Modified Bacillus subtilis; AB Enzymes Inc.: Plantation, FL, USA, 2020. [Google Scholar]
- Jimoh, A.A.; Lin, J. Biosurfactant: A new frontier for greener technology and environmental sustainability. Ecotoxicol. Environ. Saf. 2019, 184, 109607. [Google Scholar] [CrossRef]
- Li, J.; Deng, M.; Wang, Y.; Chen, W. Production and characteristics of biosurfactant produced by Bacillus pseudomycoides BS6 utilizing soybean oil waste. Int. Biodeterior. Biodegrad. 2016, 112, 72–79. [Google Scholar] [CrossRef]
- Karlapudi, A.P.; Venkateswarulu, T.; Tammineedi, J.; Kanumuri, L.; Ravuru, B.K.; Ramu Dirisala, V.; Kodali, V.P. Role of biosurfactants in bioremediation of oil pollution-a review. Petroleum 2018, 4, 241–249. [Google Scholar] [CrossRef]
- Sarubbo, L.A.; Maria da Gloria, C.S.; Durval, I.J.B.; Bezerra, K.G.O.; Ribeiro, B.G.; Silva, I.A.; Twigg, M.S.; Banat, I.M. Biosurfactants: Production, properties, applications, trends, and general perspectives. Biochem. Eng. J. 2022, 181, 108377. [Google Scholar] [CrossRef]
- Kumar, P.S.; Ngueagni, P.T. A review on new aspects of lipopeptide biosurfactant: Types, production, properties and its application in the bioremediation process. J. Hazard. Mater. 2021, 407, 124827. [Google Scholar] [CrossRef]
- Smulders, E.; Sung, E. Laundry detergents, 2. Ingredients and products. In Ullmann’s Encyclopedia of Industrial Chemistry; Wiley-VCH Verlag GmbH & Co. KGaA: Hoboken, NJ, USA, 2000. [Google Scholar] [CrossRef]
- Hellmuth, H.; Dreja, M. Understanding interactions of surfactants and enzymes: Impact of individual surfactants on stability and wash performance of protease enzyme in detergents. Tenside Surfactants Deterg. 2016, 53, 502–508. [Google Scholar] [CrossRef]
- Jiang, X.; Yediler, A.; Yufang, S.; Sun, T.; Kettrup, A. Effect of linear alkylbenzene sulphonate (LAS) on the mineralization, metabolism and uptake of 14C-phenanthrene in a model ecosystem (water–lava–plant–air). Chemosphere 2005, 61, 741–751. [Google Scholar] [CrossRef]
- Domínguez Rivera, Á.; Martínez Urbina, M.Á.; López y López, V.E. Advances on research in the use of agro-industrial waste in biosurfactant production. World J. Microbiol. Biotechnol. 2019, 35, 155. [Google Scholar] [CrossRef]
- Bouassida, M.; Fourati, N.; Ghazala, I.; Ellouze-Chaabouni, S.; Ghribi, D. Potential application of Bacillus subtilis SPB1 biosurfactants in laundry detergent formulations: Compatibility study with detergent ingredients and washing performance. Eng. Life Sci. 2018, 18, 70–77. [Google Scholar] [CrossRef]
- Romero Vega, G.; Gallo Stampino, P. Bio-Based Surfactants and Biosurfactants: An Overview and Main Characteristics. Molecules 2025, 30, 863. [Google Scholar] [CrossRef]
- Sivapathasekaran, C.; Mukherjee, S.; Samanta, R.; Sen, R. High-performance liquid chromatography purification of biosurfactant isoforms produced by a marine bacterium. Anal. Bioanal. Chem. 2009, 395, 845–854. [Google Scholar] [CrossRef]
- Jauregi, P.; Coutte, F.; Catiau, L.; Lecouturier, D.; Jacques, P. Micelle size characterization of lipopeptides produced by B. subtilis and their recovery by the two-step ultrafiltration process. Sep. Purif. Technol. 2013, 104, 175–182. [Google Scholar] [CrossRef]
- Hamley, I.W. Lipopeptides: From self-assembly to bioactivity. Chem. Commun. 2015, 51, 8574–8583. [Google Scholar] [CrossRef]
- Janek, T.; Gudiña, E.J.; Połomska, X.; Biniarz, P.; Jama, D.; Rodrigues, L.R.; Rymowicz, W.; Lazar, Z. Sustainable surfactin production by Bacillus subtilis using crude glycerol from different wastes. Molecules 2021, 26, 3488. [Google Scholar] [CrossRef]
- Mukherjee, A. Potential application of cyclic lipopeptide biosurfactants produced by Bacillus subtilis strains in laundry detergent formulations. Lett. Appl. Microbiol. 2007, 45, 330–335. [Google Scholar] [CrossRef]
- Bhange, K.; Chaturvedi, V.; Bhatt, R. Simultaneous production of detergent stable keratinolytic protease, amylase and biosurfactant by Bacillus subtilis PF1 using agro industrial waste. Biotechnol. Rep. 2016, 10, 94–104. [Google Scholar] [CrossRef]
- Kavuthodi, B.; Sebastian, D. Biotechnological valorization of pineapple stem for pectinase production by Bacillus subtilis BKDS1: Media formulation and statistical optimization for submerged fermentation. Biocatal. Agric. Biotechnol. 2018, 16, 715–722. [Google Scholar] [CrossRef]
- Chong, H.; Li, Q. Microbial production of rhamnolipids: Opportunities, challenges and strategies. Microb. Cell Factories 2017, 16, 137. [Google Scholar] [CrossRef]
- Pardhi, D.S.; Panchal, R.R.; Raval, V.H.; Joshi, R.G.; Poczai, P.; Almalki, W.H.; Rajput, K.N. Microbial surfactants: A journey from fundamentals to recent advances. Front. Microbiol. 2022, 13, 982603. [Google Scholar] [CrossRef]
- Dhanarajan, G.; Sen, R. Cost analysis of biosurfactant production from a scientist’s perspective. Biosurfactants 2014, 159, 153. [Google Scholar]
- Wu, Q.; Zhi, Y.; Xu, Y. Systematically engineering the biosynthesis of a green biosurfactant surfactin by Bacillus subtilis 168. Metab. Eng. 2019, 52, 87–97. [Google Scholar] [CrossRef]
- Zhao, J.; Li, Y.; Zhang, C.; Yao, Z.; Zhang, L.; Bie, X.; Lu, F.; Lu, Z. Genome shuffling of Bacillus amyloliquefaciens for improving antimicrobial lipopeptide production and an analysis of relative gene expression using FQ RT-PCR. J. Ind. Microbiol. Biotechnol. 2012, 39, 889–896. [Google Scholar] [CrossRef]
- Soberón-Chávez, G.; González-Valdez, A.; Soto-Aceves, M.P.; Cocotl-Yañez, M. Rhamnolipids produced by Pseudomonas: From molecular genetics to the market. Microb. Biotechnol. 2021, 14, 136–146. [Google Scholar] [CrossRef]
- Qiao, J.; Borriss, R.; Sun, K.; Zhang, R.; Chen, X.; Liu, Y.; Liu, Y. Research advances in the identification of regulatory mechanisms of surfactin production by Bacillus: A review. Microb. Cell Factories 2024, 23, 100. [Google Scholar] [CrossRef]
- Sałek, K.; Euston, S.R.; Janek, T. Phase behaviour, functionality, and physicochemical characteristics of glycolipid surfactants of microbial origin. Front. Bioeng. Biotechnol. 2022, 10, 816613. [Google Scholar] [CrossRef]
- Scott, M.J.; Jones, M.N. The biodegradation of surfactants in the environment. Biochim. Biophys. Acta (BBA)-Biomembr. 2000, 1508, 235–251. [Google Scholar] [CrossRef]
- Ying, G.-G. Fate, behavior and effects of surfactants and their degradation products in the environment. Environ. Int. 2006, 32, 417–431. [Google Scholar] [CrossRef]
- Badmus, S.O.; Amusa, H.K.; Oyehan, T.A.; Saleh, T.A. Environmental risks and toxicity of surfactants: Overview of analysis, assessment, and remediation techniques. Environ. Sci. Pollut. Res. Int. 2021, 28, 62085–62104. [Google Scholar] [CrossRef]
- Zhen, C.; Ge, X.-F.; Lu, Y.-T.; Liu, W.-Z. Chemical structure, properties and potential applications of surfactin, as well as advanced strategies for improving its microbial production. AIMS Microbiol. 2023, 9, 195–217. [Google Scholar] [CrossRef]
- Henkel, M.; Geissler, M.; Weggenmann, F.; Hausmann, R. Production of microbial biosurfactants: Status quo of rhamnolipid and surfactin towards large-scale production. Biotechnol. J. 2017, 12, 1600561. [Google Scholar] [CrossRef]
- Dierickx, S.; Castelein, M.; Remmery, J.; De Clercq, V.; Lodens, S.; Baccile, N.; De Maeseneire, S.L.; Roelants, S.L.; Soetaert, W.K. From bumblebee to bioeconomy: Recent developments and perspectives for sophorolipid biosynthesis. Biotechnol. Adv. 2022, 54, 107788. [Google Scholar] [CrossRef]
- Razzaq, A.; Shamsi, S.; Ali, A.; Ali, Q.; Sajjad, M.; Malik, A.; Ashraf, M. Microbial proteases applications. Front. Bioeng. Biotechnol. 2019, 7, 110. [Google Scholar] [CrossRef]
- Valls, C.; Pujadas, G.; Garcia-Vallve, S.; Mulero, M. Characterization of the protease activity of detergents laboratory practicals for studying the protease profile and activity of various commercial detergents. Biochem. Mol. Biol. Educ. 2011, 39, 280–290. [Google Scholar] [CrossRef]
- Jayasekara, S.; Ratnayake, R. Microbial cellulases: An overview and applications. In Cellulose; IntechOpen: Hamilton, NJ, USA, 2019; Volume 22, p. 130. [Google Scholar]
- American Cleaning Institue; AISE; AMFEP; Househood Commercial Products Association. The Role of Enzymes in Detergent Products. Available online: https://www.cleaninginstitute.org/sites/default/files/documents/Enzymes-factsheet.pdf (accessed on 12 March 2025).
- Gurkok, S.; Ozdal, M. Purification and characterization of a novel extracellular, alkaline, thermoactive, and detergent-compatible lipase from Aeromonas caviae LipT51 for application in detergent industry. Protein Expr. Purif. 2021, 180, 105819. [Google Scholar] [CrossRef]
- Ramnani, P.; Kumar, S.S.; Gupta, R. Concomitant production and downstream processing of alkaline protease and biosurfactant from Bacillus licheniformis RG1: Bioformulation as detergent additive. Process Biochem. 2005, 40, 3352–3359. [Google Scholar] [CrossRef]
- Enzymes Market Size, Share & Trends Analysis Report By Application (Industrial Enzymes, Specialty Enzymes), By Product (Carbohydrase, Proteases, Lipases), By Source, By Region, and Segment Forecasts, 2024–2030. Available online: https://www.grandviewresearch.com/industry-analysis/enzymes-industry/toc (accessed on 12 March 2025).
- Vojnovic, S.; Aleksic, I.; Ilic-Tomic, T.; Stevanovic, M.; Nikodinovic-Runic, J. Bacillus and Streptomyces spp. as hosts for production of industrially relevant enzymes. Appl. Microbiol. Biotechnol. 2024, 108, 185. [Google Scholar] [CrossRef]
- Herrmann, L.W.; Letti, L.A.J.; Penha, R.d.O.; Soccol, V.T.; Rodrigues, C.; Soccol, C.R. Bacillus genus industrial applications and innovation: First steps towards a circular bioeconomy. Biotechnol. Adv. 2024, 70, 108300. [Google Scholar] [CrossRef]
- Solanki, P.; Putatunda, C.; Kumar, A.; Bhatia, R.; Walia, A. Microbial proteases: Ubiquitous enzymes with innumerable uses. 3 Biotech 2021, 11, 428. [Google Scholar] [CrossRef]
- Vojcic, L.; Pitzler, C.; Körfer, G.; Jakob, F.; Martinez, R.; Maurer, K.-H.; Schwaneberg, U. Advances in protease engineering for laundry detergents. New Biotechnol. 2015, 32, 629–634. [Google Scholar] [CrossRef]
- Singh, S.; Bajaj, B.K. Potential application spectrum of microbial proteases for clean and green industrial production. Energy Ecol. Environ. 2017, 2, 370–386. [Google Scholar] [CrossRef]
- Klein, T.; Eckhard, U.; Dufour, A.; Solis, N.; Overall, C.M. Proteolytic Cleavage—Mechanisms, Function, and “Omic” Approaches for a Near-Ubiquitous Posttranslational Modification. Chem. Rev. 2018, 118, 1137–1168. [Google Scholar] [CrossRef]
- Saeki, K.; Ozaki, K.; Kobayashi, T.; Ito, S. Detergent alkaline proteases: Enzymatic properties, genes, and crystal structures. J. Biosci. Bioeng. 2007, 103, 501–508. [Google Scholar] [CrossRef]
- Nadeem, M.; Qazi, J.I.; Syed, Q.; Gulsher, M. Purification and characterization of an alkaline protease from Bacillus licheniformis UV-9 for detergent formulations. J. Sci. Technol. 2013, 35, 187–195. [Google Scholar]
- Hmidet, N.; Ali, N.E.-H.; Haddar, A.; Kanoun, S.; Alya, S.-K.; Nasri, M. Alkaline proteases and thermostable α-amylase co-produced by Bacillus licheniformis NH1: Characterization and potential application as detergent additive. Biochem. Eng. J. 2009, 47, 71–79. [Google Scholar] [CrossRef]
- El Hadj-Ali, N.; Agrebi, R.; Ghorbel-Frikha, B.; Sellami-Kamoun, A.; Kanoun, S.; Nasri, M. Biochemical and molecular characterization of a detergent stable alkaline serine-protease from a newly isolated Bacillus licheniformis NH1. Enzym. Microb. Technol. 2007, 40, 515–523. [Google Scholar] [CrossRef]
- Baweja, M.; Tiwari, R.; Singh, P.K.; Nain, L.; Shukla, P. An alkaline protease from Bacillus pumilus MP 27: Functional analysis of its binding model toward its applications as detergent additive. Front. Microbiol. 2016, 7, 1195. [Google Scholar] [CrossRef] [PubMed]
- Kumar, D.; Bhalla, T. Bacillus sp. APR-4 protease as a laundry additive. Indian J. Biotechnol. 2004, 3, 563–567. [Google Scholar]
- Mienda, B.S.; Huyop, F. Characterization of Bacillus cereus BM1 with Protease Activity. Res. Biotechnol. 2013, 4, 7–19. [Google Scholar]
- Emran, M.A.; Ismail, S.A.; Hashem, A.M. Production of detergent stable thermophilic alkaline protease by Bacillus licheniformis ALW1. Biocatal. Agric. Biotechnol. 2020, 26, 101631. [Google Scholar] [CrossRef]
- Sarmiento, F.; Peralta, R.; Blamey, J.M. Cold and hot extremozymes: Industrial relevance and current trends. Front. Bioeng. Biotechnol. 2015, 3, 148. [Google Scholar] [CrossRef]
- Al-Ghanayem, A.A.; Joseph, B. Current prospective in using cold-active enzymes as eco-friendly detergent additive. Appl. Microbiol. Biotechnol. 2020, 104, 2871–2882. [Google Scholar] [CrossRef]
- Souza, P.M.D. Application of microbial α-amylase in industry—A review. Braz. J. Microbiol. 2010, 41, 850–861. [Google Scholar] [CrossRef]
- Saini, R.; Saini, H.S.; Dahiya, A. Amylases: Characteristics and industrial applications. J. Pharmacogn. Phytochem 2017, 6, 1865–1871. [Google Scholar]
- Azad, M.A.K.; Bae, J.-H.; Kim, J.-S.; Lim, J.-K.; Song, K.-S.; Shin, B.-S.; Kim, H.-R. Isolation and characterization of a novel thermostable α-amylase from Korean pine seeds. New Biotechnol. 2009, 26, 143–149. [Google Scholar] [CrossRef]
- Mitidieri, S.; Martinelli, A.H.S.; Schrank, A.; Vainstein, M.H. Enzymatic detergent formulation containing amylase from Aspergillus niger: A comparative study with commercial detergent formulations. Bioresour. Technol. 2006, 97, 1217–1224. [Google Scholar] [CrossRef]
- Lahmar, I.; El Abed, H.; Khemakhem, B.; Belghith, H.; Ben Abdallah, F.; Belghith, K. Optimization, purification, and starch stain wash application of two new α-amylases extracted from leaves and stems of Pergularia tomentosa. BioMed Res. Int. 2017, 2017, 9. [Google Scholar] [CrossRef] [PubMed]
- Mojsov, K. Aspergillus enzymes for food industries. In New and Future Developments in Microbial Biotechnology and Bioengineering; Elsevier: Amsterdam, The Netherlands, 2016; pp. 215–222. [Google Scholar]
- Roy, J.K.; Rai, S.K.; Mukherjee, A.K. Characterization and application of a detergent-stable alkaline α-amylase from Bacillus subtilis strain AS-S01a. Int. J. Biol. Macromol. 2012, 50, 219–229. [Google Scholar] [CrossRef] [PubMed]
- Kanthi Kiran, K.; Chandra, T. Production of surfactant and detergent-stable, halophilic, and alkalitolerant alpha-amylase by a moderately halophilic Bacillus sp. strain TSCVKK. Appl. Microbiol. Biotechnol. 2008, 77, 1023–1031. [Google Scholar] [CrossRef]
- Kuddus, M.; Ahmad, I. Cold-active extracellular α-amylase production from novel bacteria Microbacterium foliorum GA2 and Bacillus cereus GA6 isolated from Gangotri glacier, Western Himalaya. J. Genet. Eng. Biotechnol. 2012, 10, 151–159. [Google Scholar] [CrossRef]
- Niyonzima, F.N.; More, S.S. Detergent-compatible bacterial amylases. Appl. Biochem. Biotechnol. 2014, 174, 1215–1232. [Google Scholar] [CrossRef]
- Offen, W.A.; Viksoe-Nielsen, A.; Borchert, T.V.; Wilson, K.S.; Davies, G.J. Three-dimensional structure of a variantTermamyl-like’Geobacillus stearothermophilus α-amylase at 1.9 Å resolution. Acta Crystallogr. Sect. F Struct. Biol. Commun. 2015, 71, 66–70. [Google Scholar] [CrossRef]
- Rojo, R.; Mendoza, G.; Plata, F.; Lara, A.; Bárcena, R. Comparison of method of application on the effect of amylolytic enzymes on in vitro ruminal starch digestion. J. Appl. Anim. Res. 2007, 32, 81–84. [Google Scholar] [CrossRef]
- Guncheva, M.; Zhiryakova, D. Catalytic properties and potential applications of Bacillus lipases. J. Mol. Catal. B Enzym. 2011, 68, 1–21. [Google Scholar] [CrossRef]
- Hasan, F.; Shah, A.A.; Javed, S.; Hameed, A. Enzymes used in detergents: Lipases. Afr. J. Biotechnol. 2010, 9, 4836–4844. [Google Scholar]
- Chandra, P.; Singh, R.; Arora, P.K. Microbial lipases and their industrial applications: A comprehensive review. Microb. Cell Factories 2020, 19, 1–42. [Google Scholar] [CrossRef]
- Verger, R. ‘Interfacial activation’of lipases: Facts and artifacts. Trends Biotechnol. 1997, 15, 32–38. [Google Scholar] [CrossRef]
- Hasan, F.; Shah, A.A.; Hameed, A. Industrial applications of microbial lipases. Enzym. Microb. Technol. 2006, 39, 235–251. [Google Scholar] [CrossRef]
- Gupta, R.; Gupta, N.; Rathi, P. Bacterial lipases: An overview of production, purification and biochemical properties. Appl. Microbiol. Biotechnol. 2004, 64, 763–781. [Google Scholar] [CrossRef]
- Sharma, P.; Sharma, N.; Pathania, S.; Handa, S. Purification and characterization of lipase by Bacillus methylotrophicus PS3 under submerged fermentation and its application in detergent industry. J. Genet. Eng. Biotechnol. 2017, 15, 369–377. [Google Scholar] [CrossRef]
- Verma, S.; Meghwanshi, G.K.; Kumar, R. Current perspectives for microbial lipases from extremophiles and metagenomics. Biochimie 2021, 182, 23–36. [Google Scholar] [CrossRef] [PubMed]
- Dutta, S.; Ray, L. Purification and Immobilization of a Lipase from Bacillus cereus C7. Indian Chem. Eng. 2013, 55, 165–176. [Google Scholar] [CrossRef]
- Niyonzima, F.N. Detergent-compatible bacterial cellulases. J. Basic Microbiol. 2019, 59, 134–147. [Google Scholar] [CrossRef]
- Ito, S. Alkaline cellulases from alkaliphilic Bacillus: Enzymatic properties, genetics, and application to detergents. Extremophiles 1997, 1, 61–66. [Google Scholar] [CrossRef]
- Ladeira, S.A.; Cruz, E.; Delatorre, A.B.; Barbosa, J.B.; Leal Martins, M.L. Cellulase production by thermophilic Bacillus sp. SMIA-2 and its detergent compatibility. Electron. J. Biotechnol. 2015, 18, 110–115. [Google Scholar] [CrossRef]
- Jackson, A. Some problems of industrial scale-up. J. Biol. Educ. 1985, 19, 48–52. [Google Scholar] [CrossRef]
- Barcelos, M.C.S.; Ramos, C.L.; Kuddus, M.; Rodriguez-Couto, S.; Srivastava, N.; Ramteke, P.W.; Mishra, P.K.; Molina, G. Enzymatic potential for the valorization of agro-industrial by-products. Biotechnol. Lett. 2020, 42, 1799–1827. [Google Scholar] [CrossRef]
- Chavan, S.; Yadav, B.; Atmakuri, A.; Tyagi, R.; Wong, J.W.; Drogui, P. Bioconversion of organic wastes into value-added products: A review. Bioresour. Technol. 2022, 344, 126398. [Google Scholar] [CrossRef]
- Moayedi, A.; Hashemi, M.; Safari, M. Valorization of tomato waste proteins through production of antioxidant and antibacterial hydrolysates by proteolytic Bacillus subtilis: Optimization of fermentation conditions. J. Food Sci. Technol. 2016, 53, 391–400. [Google Scholar] [CrossRef]
- Slivinski, C.T.; Mallmann, E.; de Araújo, J.M.; Mitchell, D.A.; Krieger, N. Production of surfactin by Bacillus pumilus UFPEDA 448 in solid-state fermentation using a medium based on okara with sugarcane bagasse as a bulking agent. Process Biochem. 2012, 47, 1848–1855. [Google Scholar] [CrossRef]
- Qureshi, A.S.; Khushk, I.; Ali, C.H.; Chisti, Y.; Ahmad, A.; Majeed, H. Coproduction of protease and amylase by thermophilic Bacillus sp. BBXS-2 using open solid-state fermentation of lignocellulosic biomass. Biocatal. Agric. Biotechnol. 2016, 8, 146–151. [Google Scholar] [CrossRef]
- Renge, V.; Khedkar, S.; Nandurkar, N.R. Enzyme synthesis by fermentation method: A review. Sci. Rev. Chem. Comm. 2012, 2, 585–590. [Google Scholar]
- Barros, F.F.C.; Simiqueli, A.P.R.; de Andrade, C.J.; Pastore, G.M. Production of Enzymes from Agroindustrial Wastes by Biosurfactant-Producing Strains of Bacillus subtilis. Biotechnol. Res. Int. 2013, 2013, 103960. [Google Scholar] [CrossRef]
- Gangadharan, D.; Nampoothiri, K.M.; Pandey, A. α-Amylase Production by Bacillus amyloliquefaciens Using Agro Wastes as Feed Stock. Food Technol. Biotechnol. 2011, 49, 336. [Google Scholar]
- Baysal, Z.; Uyar, F.; Aytekin, C. Solid state fermentation for production of α-amylase by a thermotolerant Bacillus subtilis from hot-spring water. Process Biochem. 2003, 38, 1665–1668. [Google Scholar] [CrossRef]
- Anto, H.; Trivedi, U.; Patel, K. α-Amylase production by Bacillus cereus MTCC 1305 using solid-state fermentation. Food Technol. Biotechnol. 2006, 44, 241–245. [Google Scholar]
- Abd-Elhalem, B.T.; El-Sawy, M.; Gamal, R.F.; Abou-Taleb, K.A. Production of amylases from Bacillus amyloliquefaciens under submerged fermentation using some agro-industrial by-products. Ann. Agric. Sci. 2015, 60, 193–202. [Google Scholar] [CrossRef]
- Annamalai, N.; Rajeswari, M.V.; Balasubramanian, T. Enzymatic saccharification of pretreated rice straw by cellulase produced from Bacillus carboniphilus CAS 3 utilizing lignocellulosic wastes through statistical optimization. Biomass Bioenergy 2014, 68, 151–160. [Google Scholar] [CrossRef]
- Annamalai, N.; Rajeswari, M.V.; Elayaraja, S.; Balasubramanian, T. Thermostable, haloalkaline cellulase from Bacillus halodurans CAS 1 by conversion of lignocellulosic wastes. Carbohydr. Polym. 2013, 94, 409–415. [Google Scholar] [CrossRef]
- Uyar, F.; Baysal, Z. Production and optimization of process parameters for alkaline protease production by a newly isolated Bacillus sp. under solid state fermentation. Process Biochem. 2004, 39, 1893–1898. [Google Scholar] [CrossRef]
- Bajaj, B.K.; Sharma, N.; Singh, S. Enhanced production of fibrinolytic protease from Bacillus cereus NS-2 using cotton seed cake as nitrogen source. Biocatal. Agric. Biotechnol. 2013, 2, 204–209. [Google Scholar] [CrossRef]
- Suci, M.; Arbianti, R.; Hermansyah, H. Lipase production from Bacillus subtilis with submerged fermentation using waste cooking oil. IOP Conf. Ser. Earth Environ. Sci. 2018, 105, 012126. [Google Scholar] [CrossRef]
- Alkan, H.; Baysal, Z.; Uyar, F.; Dogru, M. Production of lipase by a newly isolated Bacillus coagulans under solid-state fermentation using melon wastes. Appl. Biochem. Biotechnol. 2007, 136, 183–192. [Google Scholar] [CrossRef]
- Baltaci, M.O.; Orak, T.; Taskin, M.; Adiguzel, A.; Ozkan, H. Enhancement of amylase and lipase production from Bacillus licheniformis 016 using waste chicken feathers as peptone source. Waste Biomass Valorization 2020, 11, 1809–1819. [Google Scholar] [CrossRef]
- Gudiña, E.J.; Fernandes, E.C.; Rodrigues, A.I.; Teixeira, J.A.; Rodrigues, L.R. Biosurfactant production by Bacillus subtilis using corn steep liquor as culture medium. Front. Microbiol. 2015, 6, 59. [Google Scholar] [CrossRef]
- Barros, F.F.C.; Ponezi, A.N.; Pastore, G.M. Production of biosurfactant by Bacillus subtilis LB5a on a pilot scale using cassava wastewater as substrate. J. Ind. Microbiol. Biotechnol. 2008, 35, 1071–1078. [Google Scholar] [CrossRef] [PubMed]
- Fürst, C.; Frank, S.; Witt, A.; Koschke, L.; Makeschin, F. Assessment of the effects of forest land use strategies on the provision of ecosystem services at regional scale. J. Environ. Manag. 2013, 127, S96–S116. [Google Scholar] [CrossRef]
- Nandanwar, S.K.; Borkar, S.B.; Lee, J.H.; Kim, H.J. Taking Advantage of Promiscuity of Cold-Active Enzymes. Appl. Sci. 2020, 10, 8128. [Google Scholar] [CrossRef]
- Feller, G. Psychrophilic enzymes: From folding to function and biotechnology. Scientifica 2013, 2013, 512840. [Google Scholar] [CrossRef] [PubMed]
- Baghel, V.; Tripathi, R.; Ramteke, P.; Gopal, K.; Dwivedi, S.; Jain, R.; Rai, U.; Singh, S. Psychrotrophic proteolytic bacteria from cold environment of Gangotri glacier, Western Himalaya, India. Enzym. Microb. Technol. 2005, 36, 654–659. [Google Scholar] [CrossRef]
- Furhan, J.; Awasthi, P.; Sharma, S. Biochemical characterization and homology modelling of cold-active alkophilic protease from Northwestern Himalayas and its application in detergent industry. Biocatal. Agric. Biotechnol. 2019, 17, 726–735. [Google Scholar] [CrossRef]
- Kuddus, M. Cold-active detergent-stable extracellular α-amylase from Bacillus cereus GA6: Biochemical characteristics and its perspectives in laundry detergent formulation. J. Biochem. Technol. 2013, 4, 636–644. [Google Scholar]
- Arabacı, N.; Arıkan, B. Isolation and characterization of a cold-active, alkaline, detergent stable α-amylase from a novel bacterium Bacillus subtilis N8. Prep. Biochem. Biotechnol. 2018, 48, 419–426. [Google Scholar] [CrossRef]
- Joseph, B.; Ramteke, P.W. Extracellular solvent stable cold-active lipase from psychrotrophic Bacillus sphaericus MTCC 7526: Partial purification and characterization. Ann. Microbiol. 2013, 63, 363–370. [Google Scholar] [CrossRef]
- Yasemin, S.; ARABACI, N.; Güvenmez, H.K. Production of Cold Active Lipase from Bacillus sp. J. Appl. Biol. Sci. 2017, 11, 24–27. [Google Scholar]
- Perfumo, A.; Banat, I.M.; Marchant, R. Going green and cold: Biosurfactants from low-temperature environments to biotechnology applications. Trends Biotechnol. 2018, 36, 277–289. [Google Scholar] [CrossRef]
- Gu, T.; Sjöblom, J. Surfactant structure and its relation to the Krafft point, cloud point and micellization: Some empirical relationships. Colloids Surf. 1992, 64, 39–46. [Google Scholar] [CrossRef]
- Trudgeon, B.; Dieser, M.; Balasubramanian, N.; Messmer, M.; Foreman, C.M. Low-temperature biosurfactants from polar microbes. Microorganisms 2020, 8, 1183. [Google Scholar] [CrossRef]
- Vollú, R.E.; Jurelevicius, D.; Ramos, L.R.; Peixoto, R.S.; Rosado, A.S.; Seldin, L. Aerobic endospore-forming bacteria isolated from Antarctic soils as producers of bioactive compounds of industrial interest. Polar Biol. 2014, 37, 1121–1131. [Google Scholar] [CrossRef]
- Gesheva, V.; Stackebrandt, E.; Vasileva-Tonkova, E. Biosurfactant Production by Halotolerant Rhodococcusfascians from Casey Station, Wilkes Land, Antarctica. Curr. Microbiol. 2010, 61, 112–117. [Google Scholar] [CrossRef]
- Coronel-León, J.; de Grau, G.; Grau-Campistany, A.; Farfan, M.; Rabanal, F.; Manresa, A.; Marqués, A.M. Biosurfactant production by AL 1.1, a Bacillus licheniformis strain isolated from Antarctica: Production, chemical characterization and properties. Ann. Microbiol. 2015, 65, 2065–2078. [Google Scholar] [CrossRef]
- Vasileva-Tonkova, E.; Gesheva, V. Biosurfactant Production by Antarctic Facultative Anaerobe Pantoea sp. During Growth on Hydrocarbons. Curr. Microbiol. 2007, 54, 136–141. [Google Scholar] [CrossRef] [PubMed]
- Cai, Q.; Zhang, B.; Chen, B.; Zhu, Z.; Lin, W.; Cao, T. Screening of biosurfactant producers from petroleum hydrocarbon contaminated sources in cold marine environments. Mar. Pollut. Bull. 2014, 86, 402–410. [Google Scholar] [CrossRef]
- Wu, S.; Liu, G.; Zhou, S.; Sha, Z.; Sun, C. Characterization of antifungal lipopeptide biosurfactants produced by marine bacterium Bacillus sp. CS30. Mar. Drugs 2019, 17, 199. [Google Scholar] [CrossRef]
- Zhou, H.; Jiang, L.; Li, K.; Chen, C.; Lin, X.; Zhang, C.; Xie, Q. Enhanced bioremediation of diesel oil-contaminated seawater by a biochar-immobilized biosurfactant-producing bacteria Vibrio sp. LQ2 isolated from cold seep sediment. Sci. Total Environ. 2021, 793, 148529. [Google Scholar] [CrossRef] [PubMed]
- Singh, A.; Singh, K.S. Bioactive compounds from polar regions: An account of chemical ecology and biotechnological applications. Curr. Org. Chem. 2022, 26, 1055–1087. [Google Scholar] [CrossRef]
- Janek, T.; Łukaszewicz, M.; Krasowska, A. Identification and characterization of biosurfactants produced by the Arctic bacterium Pseudomonas putida BD2. Colloids Surf. B Biointerfaces 2013, 110, 379–386. [Google Scholar] [CrossRef]
- Singh, D.; Thakur, S.; Thayil, S.M.; Kesavan, A.K. Characterization of a cold-active, detergent-stable metallopeptidase purified from Bacillus sp. S1DI 10 using Response Surface Methodology. PLoS ONE 2019, 14, e0216990. [Google Scholar] [CrossRef]
- Ghribi, D.; Ellouze-Chaabouni, S. Enhancement of Bacillus subtilis Lipopeptide Biosurfactants Production through Optimization of Medium Composition and Adequate Control of Aeration. Biotechnol. Res. Int. 2011, 2011, 653654. [Google Scholar] [CrossRef] [PubMed]
- Bansal, S.; Kundu, B. Protein engineering: Methods and applications. In Advances in Protein Molecular and Structural Biology Methods; Elsevier: Amsterdam, The Netherlands, 2022; pp. 641–668. [Google Scholar]
- Engqvist, M.K.; Rabe, K.S. Applications of protein engineering and directed evolution in plant research. Plant Physiol. 2019, 179, 907–917. [Google Scholar] [CrossRef]
- Wintrode, P.L.; Miyazaki, K.; Arnold, F.H. Cold adaptation of a mesophilic subtilisin-like protease by laboratory evolution. J. Biol. Chem. 2000, 275, 31635–31640. [Google Scholar] [CrossRef] [PubMed]
- Tindbaek, N.; Svendsen, A.; Oestergaard, P.R.; Draborg, H. Engineering a substrate-specific cold-adapted subtilisin. Protein Eng. Des. Sel. 2004, 17, 149–156. [Google Scholar] [CrossRef]
- Martinez, R.; Jakob, F.; Tu, R.; Siegert, P.; Maurer, K.H.; Schwaneberg, U. Increasing activity and thermal resistance of Bacillus gibsonii alkaline protease (BgAP) by directed evolution. Biotechnol. Bioeng. 2013, 110, 711–720. [Google Scholar] [CrossRef]
- Jakob, F.; Martinez, R.; Mandawe, J.; Hellmuth, H.; Siegert, P.; Maurer, K.-H.; Schwaneberg, U. Surface charge engineering of a Bacillus gibsonii subtilisin protease. Appl. Microbiol. Biotechnol. 2013, 97, 6793–6802. [Google Scholar] [CrossRef]
- Despotovic, D.; Vojcic, L.; Blanusa, M.; Maurer, K.-H.; Zacharias, M.; Bocola, M.; Martinez, R.; Schwaneberg, U. Redirecting catalysis from proteolysis to perhydrolysis in subtilisin Carlsberg. J. Biotechnol. 2013, 167, 279–286. [Google Scholar] [CrossRef]
- Gupta, R.; Gigras, P.; Mohapatra, H.; Goswami, V.K.; Chauhan, B. Microbial α-amylases: A biotechnological perspective. Process Biochem. 2003, 38, 1599–1616. [Google Scholar] [CrossRef]
- Nielsen, J.E.; Borchert, T.V. Protein engineering of bacterial α-amylases. Biochim. Biophys. Acta (BBA) Protein Struct. Mol. Enzymol. 2000, 1543, 253–274. [Google Scholar] [CrossRef]
- Chabhadiya, S.; Acharya, D.; Mangrola, A.; Shah, R.; Pithawala, E.A. Unlocking the potential of biosurfactants: Innovations in metabolic and genetic engineering for sustainable industrial and environmental solutions. Biotechnol. Notes 2024, 5, 111–119. [Google Scholar] [CrossRef]
- Karlson, C.K.S.; Mohd-Noor, S.N.; Nolte, N.; Tan, B.C. CRISPR/dCas9-Based Systems: Mechanisms and Applications in Plant Sciences. Plants 2021, 10, 2055. [Google Scholar] [CrossRef] [PubMed]
- Charpentier, E. CRISPR-Cas9: How research on a bacterial RNA-guided mechanism opened new perspectives in biotechnology and biomedicine. EMBO Mol. Med. 2015, 7, 363–365. [Google Scholar] [CrossRef] [PubMed]
- Cui, Y.; Xu, J.; Cheng, M.; Liao, X.; Peng, S. Review of CRISPR/Cas9 sgRNA design tools. Interdiscip. Sci. Comput. Life Sci. 2018, 10, 455–465. [Google Scholar] [CrossRef] [PubMed]
- Yao, R.; Liu, D.; Jia, X.; Zheng, Y.; Liu, W.; Xiao, Y. CRISPR-Cas9/Cas12a biotechnology and application in bacteria. Synth. Syst. Biotechnol. 2018, 3, 135–149. [Google Scholar] [CrossRef]
- Wei, J.; Li, Y. CRISPR-based gene editing technology and its application in microbial engineering. Eng. Microbiol. 2023, 3, 100101. [Google Scholar] [CrossRef]
- Li, S.; Yang, X.; Yang, S.; Zhu, M.; Wang, X. Technology prospecting on enzymes: Application, marketing and engineering. Comput. Struct. Biotechnol. J. 2012, 2, e201209017. [Google Scholar] [CrossRef]
- Fehler, A.O.; Kallehauge, T.B.; Geissler, A.S.; González-Tortuero, E.; Seemann, S.E.; Gorodkin, J.; Vinther, J. Flagella disruption in Bacillus subtilis increases amylase production yield. Microb. Cell Factories 2022, 21, 131. [Google Scholar] [CrossRef] [PubMed]
- Zhou, C.; Liu, H.; Yuan, F.; Chai, H.; Wang, H.; Liu, F.; Li, Y.; Zhang, H.; Lu, F. Development and application of a CRISPR/Cas9 system for Bacillus licheniformis genome editing. Int. J. Biol. Macromol. 2019, 122, 329–337. [Google Scholar] [CrossRef] [PubMed]
- Hartz, P.; Gehl, M.; Koenig, L.; Bernhardt, R.; Hannemann, F. Development and application of a highly efficient CRISPR-Cas9 system for genome engineering in Bacillus megaterium. J. Biotechnol. 2021, 329, 170–179. [Google Scholar] [CrossRef]
- Price, M.A.; Cruz, R.; Baxter, S.; Escalettes, F.; Rosser, S.J. CRISPR-Cas9 In Situ engineering of subtilisin E in Bacillus subtilis. PLoS ONE 2019, 14, e0210121. [Google Scholar] [CrossRef] [PubMed]
Disclaimer/Publisher’s Note: The statements, opinions and data contained in all publications are solely those of the individual author(s) and contributor(s) and not of MDPI and/or the editor(s). MDPI and/or the editor(s) disclaim responsibility for any injury to people or property resulting from any ideas, methods, instructions or products referred to in the content. |
© 2025 by the authors. Licensee MDPI, Basel, Switzerland. This article is an open access article distributed under the terms and conditions of the Creative Commons Attribution (CC BY) license (https://creativecommons.org/licenses/by/4.0/).


