Next Article in Journal
Correction: Khoo et al. Liquid Biphasic System: A Recent Bioseparation Technology. Processes 2020, 8, 149
Next Article in Special Issue
A Short-Term Electricity Load Forecasting Method Based on Multi-Factor Impact Analysis and BP-GRU Model
Previous Article in Journal
3D Printing of Optimized Titanium Scaffold for Bone Replacement
Previous Article in Special Issue
Modeling and Optimization of an Integrated Energy Supply in the Oil and Gas Industry: A Case Study of Northeast China
 
 
Font Type:
Arial Georgia Verdana
Font Size:
Aa Aa Aa
Line Spacing:
Column Width:
Background:
Article

Evaluating Rooftop Solar Photovoltaics and Battery Storage for Residential Energy Sustainability in Benoni, South Africa

by
Webster J. Makhubele
,
Bonginkosi A. Thango
* and
Kingsley A. Ogudo
Department of Electrical Engineering Technology, University of Johannesburg, Johannesburg 2092, South Africa
*
Author to whom correspondence should be addressed.
Processes 2025, 13(6), 1828; https://doi.org/10.3390/pr13061828
Submission received: 7 May 2025 / Revised: 22 May 2025 / Accepted: 5 June 2025 / Published: 10 June 2025
(This article belongs to the Special Issue Advanced Technologies of Renewable Energy Sources (RESs))

Abstract

South Africa’s persistent energy shortages and high utility costs have led to increased interest in rooftop solar photovoltaic (PV) systems. However, understanding their economic and environmental viability in urban residential contexts remains limited. This study investigates the feasibility of integrating rooftop solar PV systems with local energy storage and grid electricity in residential housing complexes in Benoni, Gauteng Province. A hybrid energy system was proposed and modeled using detailed consumption data from a typical community in Benoni. The system includes rooftop PV installations, lithium-ion storage, and connection to the national grid. A techno-economic analysis was conducted over a 25-year project lifespan to evaluate energy cost, payback period, net present cost, and carbon dioxide emissions. The optimal system configuration—Solar PV + Storage + Grid—achieved average annual utility bill savings of USD 30,207, with a payback period of 1.0 year, a net present cost (NPC) of USD 40,782, and an internal rate of return (IRR) of 101.7%. Annual utility costs were reduced from USD 30,472 to USD 267, and the system resulted in a net reduction of 130 metric tons of CO2 emissions per year. The levelized cost of energy (LCOE) was USD 0.0071/kWh. The integration of rooftop solar PV and energy storage with grid electricity presents a highly cost-effective and environmentally sustainable solution for residential communities in urban South Africa. The findings support policy initiatives aligned with Sustainable Development Goal (SDG) 7: “Affordable and Clean Energy”.

1. Introduction

Photovoltaic (PV) solar energy refers to electricity generated directly from sunlight using solar panels. It offers a cleaner and more affordable alternative to conventional electricity generation methods [1,2,3,4,5]. However, solar power is inherently weather dependent and cannot produce electricity in the absence of sunlight, such as during nighttime or overcast conditions [5,6,7]. The core components of a typical solar PV system include solar panels, charge controllers, inverters, and batteries [3,5,6,8,9,10,11,12,13,14,15,16,17]. In South Africa, a primary driver for the adoption of solar PV technology is the recurring issue of loadshedding, wherein electricity is intermittently turned off by the national utility, Eskom, due to supply shortages. Grid integration of PV systems raises concerns for Eskom, particularly around transient energy losses and phase imbalances introduced by distributed solar generation [18,19].
The over-reliance on fossil fuels contributes significantly to global warming and public health issues [10,13,20]. Consequently, many countries—including South Africa—are actively pursuing alternative, sustainable energy sources such as solar and wind [7,9,10]. Environmental scientists have raised concerns about the long-term consequences of fossil fuel use, including ecosystem degradation and atmospheric pollution [1,2,4,11,21,22]. In addition, projections indicate that global reserves of coal and natural gas may be exhausted in approximately 107 and 37 years, respectively [11,12,23]. PV systems do not generate electricity at night, as they rely solely on sunlight intensity [12]. Nonetheless, they offer a low-emission solution, significantly reducing pollution and greenhouse gas output compared to fossil fuel-based energy systems [10,11,12]. Solar energy also contributes to energy security by reducing dependence on imported fuels [12,18,24]. In regions with high electricity demand and unreliable grid access, PV systems provide a practical and scalable solution.
In the South African context, solar PV is expected to play a pivotal role in the future energy mix [13]. Large-scale deployment has led to reduced production costs, largely due to technological advancements and economies of scale [14,23]. However, end-of-life disposal of solar panels poses environmental risks. As installation rates rise, effective recycling and waste management strategies will become increasingly important [5,6,7,8,9,10,11,12,17]. Despite their advantages, rooftop solar PV systems face several technical challenges. These include manufacturing defects; faults in components like fuses, junction boxes, and charge controllers; and issues with grounding and wiring [8,10,15]. Earlier generations of solar panels also suffered from degradation of the ethylene vinyl acetate (EVA) anti-reflective layer and cracking of solar cells [18,23,25].
Environmental conditions also influence PV performance. On hot summer days, solar panels receive high levels of sunlight, but excessive heat can reduce their efficiency. Studies have confirmed a relationship among solar radiation, voltage, and temperature: once panel temperatures exceed 30 °C, output voltage begins to decline [14,26]. This is attributed to increased internal irreversibility and rising solar cell temperatures, both of which lower the electrical efficiency of the PV modules [15,26].

1.1. Novelty of the Proposed Study

The existing literature on solar PV adoption has primarily focused on either the technical viability or economic modeling of renewable energy systems in rural or utility-scale contexts. Numerous studies have analyzed hybrid systems combining solar, wind, and diesel in off-grid regions; however, they often neglect real-world implementation metrics within dense urban settings or low-income residential zones. Moreover, while simulation tools such as HOMER are widely used, most prior work overlooks location-specific factors such as social acceptance, regulatory bottlenecks, and local load behavior in integrated analyses.
This study presents a novel techno-economic evaluation of a rooftop solar PV and battery storage system for residential housing complexes in Benoni, Gauteng Province—a location that typifies the infrastructural and socioeconomic diversity of South African urban areas. Unlike traditional configurations, the proposed system integrates local grid electricity with rooftop solar PV and lithium-ion storage to deliver a cost-effective and scalable hybrid energy solution. A unique aspect of this study is the comprehensive modeling of hourly consumption patterns, actual utility billing data, environmental metrics, and payback structures over a 25-year lifecycle.
Furthermore, this research provides a localized framework for evaluating hybrid renewable systems under realistic constraints such as load shedding, energy tariffs, and community-level economic limitations. The proposed solution demonstrates an internal rate of return (IRR) exceeding 100%, a net present cost (NPC) of less than USD 41,000, and CO2 emissions reduction exceeding 130 metric tons annually—offering a data-driven blueprint for practical urban electrification aligned with Sustainable Development Goal 7.

1.2. Research Contribution of Proposed Study

The following are the key research contributions of this paper:
  • The paper presents a comprehensive techno-economic assessment of rooftop solar photovoltaic (PV) adoption in an urban South African context, focusing specifically on residential housing complexes in Benoni, Gauteng Province. The study incorporates local socio-economic factors, regulatory frameworks, and real consumption profiles to evaluate feasibility.
  • A hybrid energy system is proposed, integrating rooftop PV, lithium-ion battery storage, and grid electricity (RSA Grid). This configuration is modeled using high-resolution, hourly load data over a 25-year horizon. The system achieves significant cost savings, a rapid payback period, and substantial CO2 emissions reduction, demonstrating practical scalability for urban electrification.
  • The HOMER simulation tool is used to optimize system design, with key outputs including a levelized cost of energy (LCOE) of USD 0.0071/kWh, annual utility bill savings of USD 30,207, and a net present cost (NPC) of USD 40,782. A total emissions reduction of 130 metric tons per year is also quantified, offering an actionable pathway toward Sustainable Development Goal 7 (Affordable and Clean Energy).
  • A decision-support framework is developed to guide future deployments of rooftop PV and storage systems in low- and middle-income urban settings. The framework incorporates technical, financial, and environmental metrics to support investment decisions, policy design, and local energy planning.
  • The paper identifies critical implementation challenges—such as high upfront capital costs, public awareness gaps, and regulatory complexity—and outlines practical policy interventions and incentive structures to promote adoption. A roadmap for extending the analysis to other urban regions in sub-Saharan Africa is also presented.
The remainder of this article is structured as follows. Section 2 presents the theoretical framework and identifies the research gap in the current body of knowledge on rooftop solar PV adoption. Section 3 details the study area, system configuration, component specifications, and the simulation and optimization methodology employed using HOMER Pro. Section 4 provides an in-depth analysis of the results, including optimized system performance, comparative cost and economic metrics, carbon emissions profiling, and lifetime financial returns. Section 5 discusses the practical implications of the findings for residential energy systems and urban electrification in South Africa.

2. Theoretical Framework

Energy is fundamental to modern life and underpins national development and economic advancement [18,24,27,28]. Increasing global energy demand is driven by population growth and rapid technological progress [29,30]. Since the beginning of human civilization, various energy sources have been explored and utilized, with recent decades emphasizing the development of renewable alternatives such as wind, tidal, solar, and geothermal energy [30,31,32]. Solar energy, derived from sunlight, is among the most researched renewable energy technologies [19,29,33,34,35,36]. One of the most practical and scalable methods of harnessing solar energy involves photovoltaic (PV) systems, which convert sunlight directly into electricity. PV systems are pollution-free during operation; require minimal maintenance post-installation; and offer a safe, cost-effective, and dependable energy solution [15,16,17,18,20,25,26,27,28,37,38,39,40].
However, solar PV systems do present end-of-life challenges. Once panels reach the end of their operational lifespan, they become hazardous waste unless properly managed. This underscores the need for dedicated solar waste management and recycling facilities, particularly as the rate of PV installations increases globally [31,33,34,39,41,42]. Photovoltaic technology is now considered one of the most promising tools for electricity generation [19,32,42]. Globally, solar PV ranks third among renewable energy sources in terms of usage, following hydro and wind power [30,32,33,34,35,41,42]. PV panels are used to convert solar radiation into electricity, while solar thermal collectors help manage residual heat and reduce thermal waste.
The performance of PV systems is influenced by multiple location-specific factors, including solar irradiance, ambient temperature, and the concentration of solar radiation. Important electrical parameters such as open-circuit voltage, overcurrent, maximum power point voltage, and total thermal deficit must be optimized to ensure efficient performance [24,30,42]. As solar panels absorb heat—particularly during peak summer months—their efficiency decreases due to the inverse relationship between temperature and output power, as described by the laws of thermodynamics [33]. Research indicates that solar PV will play a dominant role in the future renewable energy mix [24,40,41]. Rooftop PV systems, in particular, have seen growing acceptance in residential areas, driven by the need for cleaner energy and autonomy from grid limitations. This shift supports global initiatives aimed at reducing carbon emissions to net zero by 2050, especially through decentralized electrification strategies in residential sectors [34,35,36].

Gap Identification

While extensive research has been conducted on renewable energy systems, particularly in rural and off-grid contexts, there remains a significant gap in studies focused on the integration of rooftop solar PV systems within urban residential environments in South Africa. The existing literature tends to isolate technical modeling, economic evaluation, or environmental impact—rarely combining all three within a localized, data-driven framework.
Moreover, few studies incorporate real-world energy consumption patterns, actual utility billing data, and socio-regulatory dynamics in a unified techno-economic assessment. Most simulation-based research overlooks the granular load behavior of urban households and the economic constraints faced by low- to middle-income communities in adopting clean energy technologies.
Specifically, there is limited empirical evidence evaluating how hybrid systems—combining rooftop PV, battery storage, and grid supply—perform under conditions of intermittent grid reliability, such as load shedding. The absence of detailed case studies addressing such integrated systems within metropolitan South African settings, like Benoni, represents a critical knowledge gap.
This study addresses this void by presenting a comprehensive case-specific analysis of rooftop PV adoption in Benoni, evaluating technical feasibility, financial viability, and environmental performance using real consumption data and HOMER-based simulation. The findings offer practical insights for policy design, investment planning, and urban energy resilience.

3. Materials and Methods

3.1. Study Location: Benoni, Johannesburg

This study examines the feasibility of integrating rooftop solar photovoltaic (PV) systems into small housing complexes in Benoni, a suburb located in the eastern region of Johannesburg, South Africa as shown in Figure 1. The objective is to assess the potential for rooftop PV adoption by considering technical, economic, social, and regulatory factors. Benoni was selected due to its representative mix of residential and industrial zones, which provide a realistic microcosm of the broader urban landscape in South Africa. This diversity makes it an ideal case study for understanding how rooftop solar PV can be deployed across various urban settings.
The assessment includes an evaluation of rooftop structural suitability, solar irradiance availability, cost-effectiveness, community readiness, and the policy environment. Structurally, rooftops in the selected housing complexes were found to be viable for PV installations, with consistent solar exposure throughout the year enabling optimal electricity generation. From an economic perspective, the upfront investment in rooftop PV can be offset by long-term savings on electricity bills. These savings are further enhanced by government incentives and tariff support programs aimed at encouraging the adoption of renewable energy technologies.
Socially, the residents of Benoni have shown a positive disposition toward solar energy, demonstrating willingness to participate in clean energy transitions. However, concerns regarding system affordability and maintenance responsibilities remain and should be addressed through public education and awareness campaigns. On the regulatory front, while enabling policies for renewable energy exist at the national and provincial levels, challenges remain in the form of unclear guidelines, lengthy approval procedures, and fragmented governance. Streamlining these regulatory processes would significantly enhance the uptake of rooftop PV systems in urban environments like Benoni.

3.2. Load Profile Characterization

To develop a sustainable energy solution for the Benoni community, this study proposes a hybrid energy system integrating rooftop solar photovoltaic (PV) generation with existing national grid supply (RSA Grid). The system design aims to reduce dependence on the grid while improving energy reliability, affordability, and environmental performance. Key system components include rooftop-mounted PV panels, local energy storage using lithium-ion batteries (LI ASM), and bidirectional converters that manage energy flow between direct current (DC) generation and alternating current (AC) loads. A fundamental requirement for system sizing and optimization is an accurate understanding of local energy consumption patterns. Figure 2 illustrates the demand characteristics of the Benoni community across different temporal scales.
Figure 2a presents the hourly load demand profile over the course of a year, revealing clear daily cyclical consumption patterns, with higher usage observed during daylight and early evening hours. This trend aligns well with solar production windows, supporting the case for rooftop PV integration. Figure 2b displays the average daily load profile, indicating peak demand between 17:00 and 20:00, likely corresponding to evening residential activity. Moderate mid-day loads also appear, aligning with partial occupancy of homes and possible use in small medical facilities. Figure 2c shows the seasonal variation in total load demand, confirming relatively stable electricity usage across the year, with slight increases during winter (June to August) and spring (September). These seasonal patterns are essential for calibrating storage capacity and forecasting grid reliance.
Together, these profiles support the feasibility of implementing a hybrid solar-battery-grid energy system that is demand-responsive and well-suited to local usage behaviors. The hourly and seasonal insights inform decisions on PV sizing, battery storage capacity, and grid backup requirements to ensure cost-effective and uninterrupted energy supply.

3.3. System Configuration and Sizing

This section outlines the configuration, component specifications, and sizing strategy for the proposed hybrid PV system designed for the Benoni residential community. The system architecture includes rooftop PV generation, lithium-ion battery storage, bidirectional converters, and a grid interface, all optimized using HOMER Pro 3.16.2 simulation software. The simulation was based on the community′s daily energy demand of 646.35 kWh and a peak load of 137.29 kW.
The environmental input data for solar irradiance and temperature were sourced from NASA’s Global Solar Atlas. As shown in Figure 3, Benoni experiences high average solar irradiance across the year, with consistent solar availability during most months. The irradiance is particularly strong between October and March, supporting reliable solar energy generation.
Figure 4 presents the average monthly ambient temperatures for the same location, indicating that values generally exceed 23 °C, with April recording the highest levels. These thermal conditions necessitate the inclusion of a temperature derating factor in the PV.
The PV system selected for the case study consists of 263 kW of generic flat-plate solar panels. These modules have a standard test condition (STC) efficiency of 13%, a temperature coefficient of −0.48%/°C, and an expected lifetime of 25 years. The energy generated is converted from direct current (DC) to alternating current (AC) via a bidirectional converter with an efficiency of 90%. This converter enables seamless integration with both the community’s AC loads and the grid interface.
To provide energy security during periods of low irradiance or high demand, the system includes 718 units of 1 kWh lithium-ion batteries, totaling 733 kWh of storage capacity. Each unit has an annual throughput of approximately 132,520 kWh and a lifespan of 15 years. The sizing of both PV and storage components was informed by matching hourly solar production to the community’s daily and seasonal load profiles, ensuring optimized energy autonomy and minimal reliance on the national RSA grid.
Table 1 presents the technical specifications, capital and replacement costs, and O&M costs for the core components used in the system configuration.
The system was sized to maintain performance for a 25-year project horizon, with simulation assumptions including a nominal discount rate of 8.0%, an inflation rate of 2.0%, and a real interest rate of 5.9%. HOMER Pro applied load-following dispatch strategy, in which the PV system and battery storage serve the load first, followed by grid supply when the battery′s state of charge falls below 40%.
While preliminary models tested configurations with 50 kW and 100 kW diesel generators for system redundancy under high-load scenarios, these were ultimately excluded from the final model due to sufficient performance from the renewable components. The grid and storage combination proved adequate for meeting all peak demands while maintaining low operational costs and emissions.
This hybrid configuration presents a technically sound and economically optimal solution tailored to the specific energy profile of the Benoni community, laying the foundation for long-term energy sustainability and independence.

3.4. Simulation and Optimization Methodology

This section presents the methodology employed to simulate, optimize, and validate the proposed hybrid rooftop solar PV system for the Benoni community using HOMER Pro. The simulation framework evaluates multiple configurations of renewable and conventional sources to identify the most economically and technically viable hybrid energy system.
The system integrates rooftop solar photovoltaic (PV) panels, lithium-ion battery storage (LI ASM), and the RSA national grid. As shown in Figure 5, energy generated by the PV array is converted from direct current (DC) to alternating current (AC) through a bidirectional converter and supplied to the Benoni community. Excess energy is stored in the battery unit, ensuring reliability during peak demand or low irradiance periods. Grid power supplements the system when both PV and storage fail to meet demand. The modeled system configuration includes the following:
  • PV capacity: 263 kW flat-plate modules;
  • Storage: 733 kWh lithium-ion batteries;
  • Converter efficiency: 90%;
  • Load profile: Daily peak of 137.29 kW; average load of 646.35 kWh/day.
The system prioritizes renewable energy using a load-following dispatch strategy, with the battery supplying loads when PV generation is insufficient and recharging during excess production periods. Grid power is drawn last to minimize cost and carbon emissions.
Simulation parameters were configured in HOMER Pro using Benoni’s solar and temperature data over a 365-day annual cycle. The following economic and technical assumptions guided the model:
  • Project lifetime: 25 years;
  • Real discount rate: 5.9%;
  • Inflation rate: 2%;
  • CO2 emission cost: Modeled using a comparative baseline scenario.
HOMER’s optimization algorithm simulated thousands of system combinations to determine the most cost-effective design. Performance was evaluated using metrics such as net present cost (NPC), levelized cost of energy (LCOE), payback period, internal rate of return (IRR), and CO2 emission savings.
In previous studies addressing different loads, input parameters, and locations, only the design concept aspects of these systems were examined, while other schemes outlines were simulated for correlative evaluation. HOMER uses this successive formula for calculating photovoltaic output power as expressed in Equation (1) [33,34].
P p v = Ypv · Fpv · GT GT , STC · 1 + α p T c T C , S T C ,
where,
  • Ypv rated capacity under standard test conditions (kW);
  • Fpv derating factor (%);
  • GT actual irradiance (kW/m2); GT , STC = 1 kW/m2;
  • T c cell temperature (°C); T C , S T C = 25 °C;
  • α p temperature coefficient (%/°C).
HOMER simulation tool requires analysis of economics as its primary tool for minimization of costs. The formula below represents an NPC as follows in Equation (2).
C n p c = T A C C R F i , N ,
where,
  • T A C total annualized cost (USD/year);
  • i real discount rate;
  • N project lifetime (years).
The capital recovery factor (CRF) can be expressed as follows in Equation (3):
C R F i , N = i × 1 + i n [ 1 × 1 + i n 1 ]
The levelized cost of energy (LCOE) was calculated as follows in Equation (4):
C o s t   o f   E n e r g y = T A C E L o a d s e r v e d
where,
  • E L o a d s e r v e d Total energy delivered to the load annually.

4. Results

This section presents a summary and comparison of several potential optimized system installation options for the Benoni community. The goal is to identify the most cost-effective and efficient system architecture that can meet the community’s energy needs while maximizing savings and minimizing environmental impact. The analysis includes various configurations, such as combining solar PV with energy storage and grid electricity, to determine the best solution based on economic and environmental metrics.

4.1. Overview of Optimized System Configuration

As shown in Table 2, the optimized system that combines solar PV, lithium-ion storage (LI ASM), and RSA Grid emerged as the configuration with the lowest net present cost (NPC). This system yields annual savings of USD 30,207, requires an upfront capital investment of USD 30,307, and results in cumulative savings of USD 753,370 over a 25-year project lifespan. The system also boasts a payback period of less than one year, making it an attractive option from both financial and operational perspectives.
The financial benefit of the proposed hybrid system is further emphasized in Figure 6, which illustrates the projected annual utility bill savings, visually confirming the drastic cost reduction.

4.2. Comparative Cost Analysis

The different configurations were evaluated based on both capital and operational expenditures, as summarized in Table 3. While the hybrid system (Solar + Storage: LI ASM + RSA Grid) presents the highest capital expenditure (CAPEX) of USD 30,307, it significantly reduces operational expenditure (OPEX) to just USD 811, compared to USD 30,472 for the base case. Moreover, it yields the highest utility bill savings and total annual savings.
The advantages are also visualized in Figure 7, which compares utility cost distribution across all configurations.

4.3. Economic Performance Analysis

Economic performance metrics of the systems are presented in Table 4. The hybrid system demonstrates a compelling economic case, with a simple and discounted payback time of 1.0 year, a LCOE of USD 0.0071/kWh, and a remarkably high IRR of 101.70%. The system’s NPC is just USD 40,782—substantially lower than the base case and alternative configurations.

4.4. Environmental Impact Analysis

CO2 emissions data in Table 5 reveals that only the hybrid configurations provide significant environmental benefits. The Solar + Grid system yields the greatest emission reduction at −168.2 metric tons/year, while the hybrid system with storage achieves −129.6 metric tons/year. These results underscore the hybrid system’s ability to support both climate goals and energy affordability.

4.5. Monthly Energy Billing (Base vs Proposed)

To compare monthly energy billing patterns, Table 6 presents data from the base case, showing consistently high charges throughout the year. The energy charges remain consistently high throughout the year, with the highest charges in August at approximately USD 3114 and the lowest in February at around USD 1882. Demand charges also fluctuate, peaking in July at USD 22.89, which aligns with the highest recorded peak demand of 137 kW. The total annual cost for the base system amounts to approximately USD 30,357, highlighting the substantial financial burden associated with relying solely on grid electricity in the Benoni residential context. This cost profile underscores the economic urgency of adopting a hybrid energy solution.
Figure 8 represents the monthly electrical bill breakdown, highlighting the consistent and high costs throughout the year. This figure corroborates the data in Table 6, emphasizing the financial burden of relying solely on grid electricity for the community.
In contrast, Table 7 shows that the proposed hybrid system reduces monthly bills to a fraction of the original cost. The energy charges are significantly reduced compared to the base system, with some months showing no energy charges due to the excess energy generated and stored.
Figure 9 represents the monthly electrical bill breakdown for proposed system, highlighting the substantial reduction in costs compared to the base system.
This figure emphasizes the financial benefits of the proposed hybrid system.

4.6. Carbon Emissions Profile

Table 8 presents the monthly carbon dioxide emissions for both the base and hybrid systems. The base system consistently emits significant CO2, peaking at 15 metric tons in July and August, due to high electricity consumption and reliance on grid power. In contrast, the hybrid system (Solar PV + Storage + Grid) demonstrates net-negative emissions throughout the year, with the largest reductions occurring in January (−14 t) and December (−13 t), attributable to excess solar generation and grid offset.
Over the full year, the base system emits 149.1 t of CO2, while the hybrid system achieves a net reduction of 130 t CO2. This underscores the environmental benefit of integrating renewable energy and storage. As shown in Figure 10, the emissions trend line for the hybrid system remains below zero for all months, illustrating consistent environmental performance, whereas the base system’s emissions remain high year-round.

4.7. Cash Flow and Return Summary

The financial trajectory of the project is shown in Table 9, summarizing lifetime cash flow, capital investment, and returns. The current annual utility bill is ZAR 546,420, with demand charges making up 0.70% of the bill. The proposed system, incorporating 263 kW of PV and 733 kWh of battery capacity, would reduce the annual utility bill to ZAR 4793. The investment has a payback period of 0.99 years and an IRR of 101.70%.
Figure 11 illustrates the cumulative cash flow for the proposed system over its lifetime, highlighting the rapid payback period and substantial long-term savings.
Figure 12 provides a summary of the cash flow for proposed system over the project lifetime, showing the rapid payback period and significant long-term savings.

4.8. System Performance Profiles (Proposed vs Base Case)

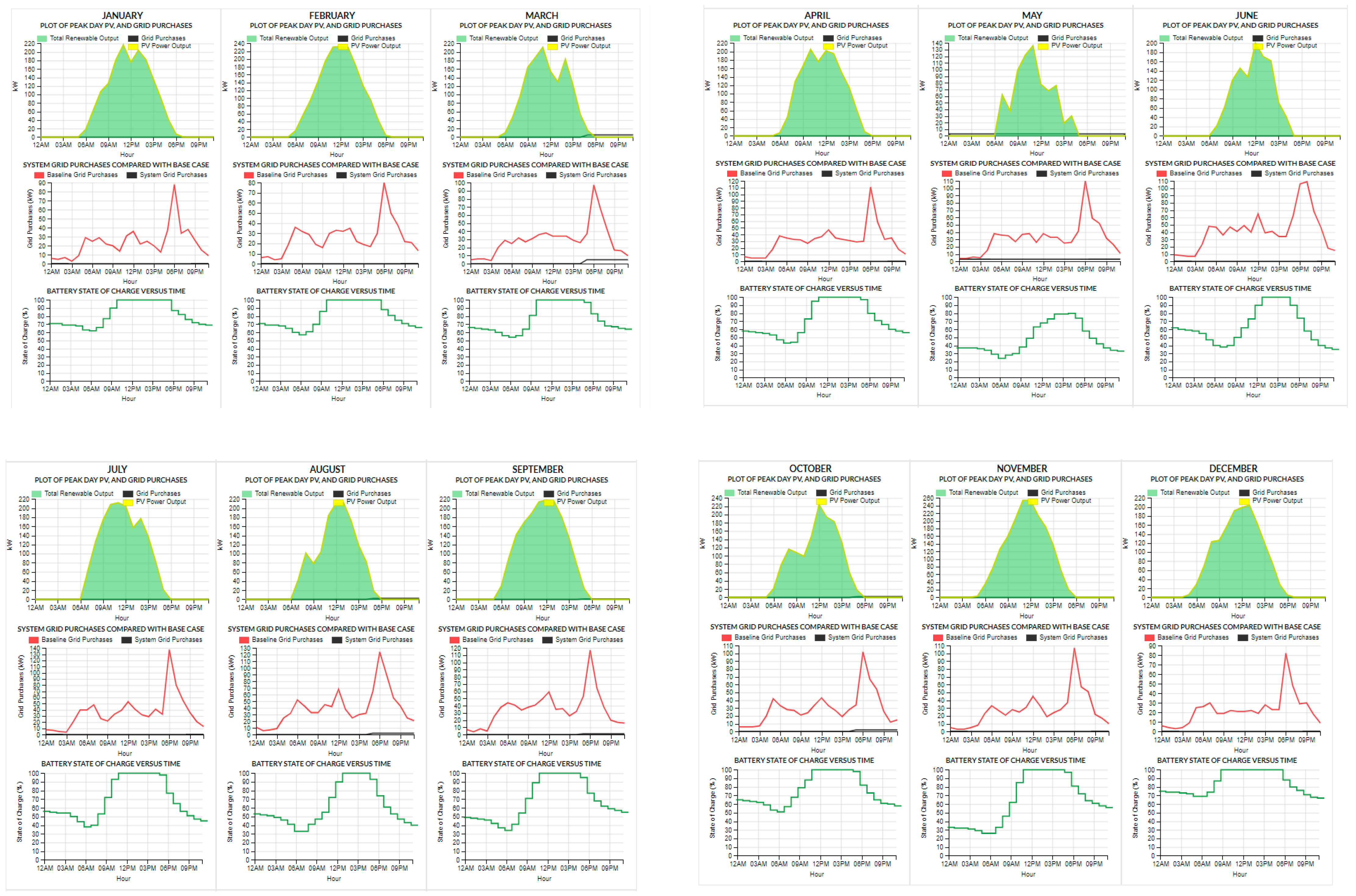
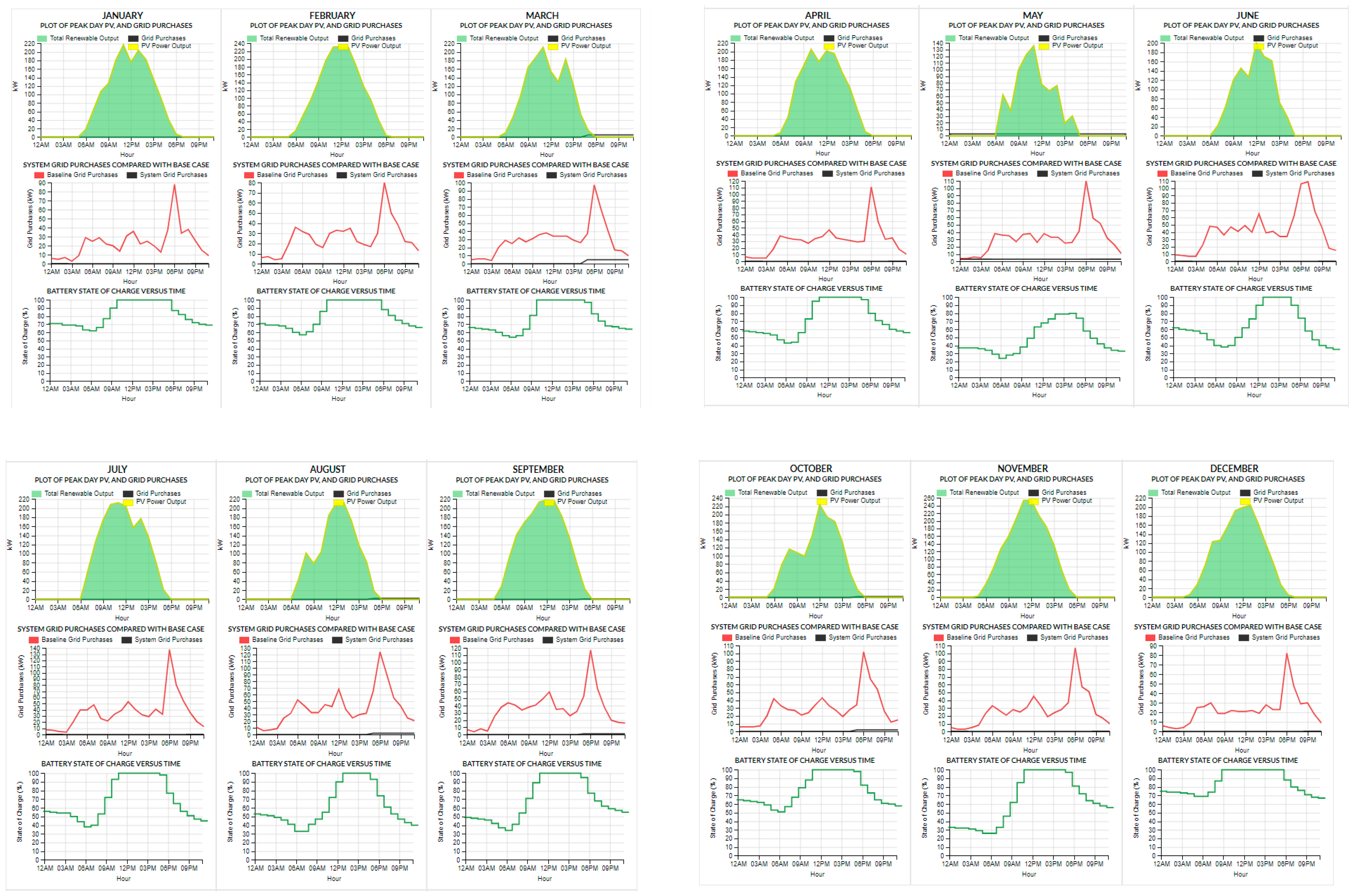
To provide deeper insight into hourly energy dynamics, Figure 13 and Figure 14 present detailed daily performance summaries for both the proposed hybrid system (PV + Storage + Grid) and the baseline grid-only configuration. Each subplot represents a representative high-demand day for a given month. In contrast, the base case reveals heavy reliance on the grid across all hours, with noticeable peaks in morning and evening demand. The absence of renewables or storage results in higher and more variable demand peaks.
In the proposed system, the PV output during daylight hours reduces grid purchases significantly. The battery state of charge follows expected charge-discharge behavior, peaking during midday and supporting evening loads. Grid purchases are minimal and primarily occur outside PV generation periods, indicating effective utilization of both solar and storage capacity.

5. Conclusions

This study investigated the technical feasibility, economic viability, and environmental impact of integrating rooftop solar photovoltaic (PV) systems with lithium-ion storage and grid electricity in a residential community in Benoni, Gauteng Province. Using high-resolution consumption data and HOMER Pro simulations over a 25-year horizon, the research demonstrated that a hybrid system configuration—Solar PV + Storage + RSA Grid—offers the most advantageous solution in terms of cost savings, energy reliability, and carbon reduction.
The optimized system achieved an internal rate of return (IRR) of 101.7%, a remarkably short payback period of less than one year, and a levelized cost of energy (LCOE) of USD 0.0071/kWh—significantly lower than conventional grid reliance. Annual utility bills were reduced from USD 30,357 to USD 267, and total lifetime savings exceeded USD 753,000. Additionally, the hybrid system achieved a net CO2 reduction of 130 metric tons annually, underscoring its strong environmental benefits.
The hybrid architecture proved to be not only technically sound but also socially and economically scalable for urban residential areas. It provides a viable pathway for addressing South Africa’s persistent energy security challenges while aligning with national decarbonization goals and Sustainable Development Goal 7 (Affordable and Clean Energy). Moreover, the system’s performance under conditions of load shedding and tariff volatility affirms its robustness and adaptability.
Key implementation challenges remain, including high upfront capital costs and regulatory barriers. However, these can be mitigated through targeted policy interventions, financial incentives, and streamlined permitting processes. The study also establishes a replicable framework that can be adapted to similar urban regions across sub-Saharan Africa.

Author Contributions

W.J.M. carried out the data collection and investigations and wrote and prepared the article under the supervision of B.A.T. and K.A.O. B.A.T. was responsible for conceptualization, reviewing, and editing the article. All authors have read and agreed to the published version of the manuscript.

Funding

The APC was funded by the University of Johannesburg library.

Data Availability Statement

Data can be made available on request by the authors.

Acknowledgments

The authors extend their gratitude to the University of Johannesburg.

Conflicts of Interest

The authors declare no conflicts of interest.

References

  1. Lacea, J.; Querikiol, E.; Taboada, E. Balancing Energy Trilemma Using Hybrid Distributed Rooftop Solar PV (DRSP)/Battery/Diesel Microgrid: A Case Study in Gilutongan Island, Cordova, Cebu, Philippines. Energies 2021, 14, 7358. [Google Scholar] [CrossRef]
  2. Hołuj, A.; Ilba, M.; Lityński, P.; Majewski, K.; Semczuk, M.; Serafin, P. Photovoltaic Solar Energy from Urban Sprawl: Potential for Poland. Energies 2021, 14, 8576. [Google Scholar] [CrossRef]
  3. Wuebben, D.; Peters, J. Communicating the Values and Benefits of Home Solar Prosumerism. Energies 2022, 15, 596. [Google Scholar] [CrossRef]
  4. Minai, A.; Usmani, T.; Alotaibi, M.; Malik, H.; Nassar, M. Performance Analysis and Comparative Study of a 467.2 kWp Grid-Interactive SPV System: A Case Study. Energies 2022, 15, 1107. [Google Scholar] [CrossRef]
  5. Narjabadifam, N.; Al-Saffar, M.; Zhang, Y.; Nofech, J.; Cen, A.; Awad, H.; Versteege, M.; Gül, M. Framework for Mapping and Optimizing the Solar Rooftop Potential of Buildings in Urban Systems. Energies 2022, 15, 1738. [Google Scholar] [CrossRef]
  6. Kalyan, S.; Sun, Q. Interrogating the Installation Gap and Potential of Solar Photovoltaic Systems Using GIS and Deep Learning. Energies 2022, 15, 3740. [Google Scholar] [CrossRef]
  7. Vu, T.; Delinchant, B.; Phan, A.; Bui, V.; Nguyen, D. A Practical Approach to Launch the Low-Cost Monitoring Platforms for Nearly Net-Zero Energy Buildings in Vietnam. Energies 2022, 15, 4924. [Google Scholar] [CrossRef]
  8. Stopochkin, A.; Sytnik, I. Algorithm for Rapid Estimation of the Performance of Small Rooftop Solar PV Use by Households. Energies 2022, 15, 3910. [Google Scholar] [CrossRef]
  9. Alimi, O.; Meyer, E.; Olayiwola, O. Solar Photovoltaic Modules’ Performance Reliability and Degradation Analysis—A Review. Energies 2022, 15, 5964. [Google Scholar] [CrossRef]
  10. Chidembo, R.; Francis, J.; Kativhu, S. Rural Households’ Perceptions of the Adoption of Rooftop Solar Photovoltaics in Vhembe District, South Africa. Energies 2022, 15, 6157. [Google Scholar] [CrossRef]
  11. Pham, M.; Phap, V.; Trung, N.; Son, T.; Kien, D.; Anh Tho, V. A Study on the Impact of Various Meteorological Data on the Design Performance of Rooftop Solar Power Projects in Vietnam: A Case Study of Electric Power University. Energies 2022, 15, 7149. [Google Scholar] [CrossRef]
  12. Almazroui, A.; Mohagheghi, S. Coordinated Control of Electric Vehicles and PV Resources in an Unbalanced Power Distribution System. Energies 2022, 15, 9324. [Google Scholar] [CrossRef]
  13. Odeh, S.; Feng, J. Long Term Performance Assessment of a Residential PV/Thermal Hybrid System. Energies 2023, 16, 121. [Google Scholar] [CrossRef]
  14. Danielis, R.; Scorrano, M.; Massi Pavan, A.; Blasuttigh, N. Simulating the Diffusion of Residential Rooftop Photovoltaic, Battery Storage Systems and Electric Cars in Italy. An Exploratory Study Combining a Discrete Choice and Agent-Based Modelling Approach. Energies 2023, 16, 557. [Google Scholar] [CrossRef]
  15. Alharbi, S.; Alaboodi, A. A Review on Techno-Economic Study for Supporting Building with PV-Grid-Connected Systems under Saudi Regulations. Energies 2023, 16, 1531. [Google Scholar] [CrossRef]
  16. Jena, C.; Ray, P. Power Management in Three-Phase Grid-Integrated PV System with Hybrid Energy Storage System. Energies 2023, 16, 2030. [Google Scholar] [CrossRef]
  17. Uchanski, M.; Hickey, T.; Bousselot, J.; Barth, K. Characterization of Agrivoltaic Crop Environment Conditions Using Opaque and Thin-Film Semi-Transparent Modules. Energies 2023, 16, 3012. [Google Scholar] [CrossRef]
  18. Shaher, A.; Alqahtani, S.; Garada, A.; Cipcigan, L. Rooftop Solar Photovoltaic in Saudi Arabia to Supply Electricity Demand in Localised Urban Areas: A Study of the City of Abha. Energies 2023, 16, 4310. [Google Scholar] [CrossRef]
  19. Peiris, K.; Elphick, S.; David, J.; Robinson, D. Impact of Multiple Grid-Connected Solar PV Inverters on Harmonics in the High-Frequency Range. Energies 2024, 17, 2639. [Google Scholar] [CrossRef]
  20. Khan, M.; Alam, I.; Khan, M. Inverter-Less Integration of Roof-Top Solar PV with Grid Connected Industrial Drives. Energies 2023, 16, 2060. [Google Scholar] [CrossRef]
  21. Javed, H.; Muqeet, H.; Shehzad, M.; Jamil, M.; Khan, A.; Guerrero, J. Optimal Energy Management of a Campus Microgrid Considering Financial and Economic Analysis with Demand Response Strategies. Energies 2021, 14, 8501. [Google Scholar] [CrossRef]
  22. Karunarathne, E.; Wijethunge, A.; Ekanayake, J. Enhancing PV Hosting Capacity Using Voltage Control and Employing Dynamic Line Rating. Energies 2022, 15, 134. [Google Scholar] [CrossRef]
  23. Khan, A.; Ahmad, Z.; Sultan, T.; Alshahrani, S.; Hayat, K.; Imran, M. Optimization of Photovoltaic Panel Array Configurations to Reduce Lift Force Using Genetic Algorithm and CFD. Energies 2022, 15, 9580. [Google Scholar] [CrossRef]
  24. Ranjgar, B.; Niccolai, A. Large-Scale Rooftop Solar Photovoltaic Power Production Potential Assessment: A Case Study for Tehran Metropolitan Area, Iran. Energies 2023, 16, 7111. [Google Scholar] [CrossRef]
  25. Kim, S.; Kim, S. Economic Feasibility Comparison between Building-Integrated Photovoltaics and Green Systems in Northeast Texas. Energies 2023, 16, 4672. [Google Scholar] [CrossRef]
  26. Kozlovas, P.; Gudzius, S.; Ciurlionis, J.; Jonaitis, A.; Konstantinaviciute, I.; Bobinaite, V. Assessment of Technical and Economic Potential of Urban Rooftop Solar Photovoltaic Systems in Lithuania. Energies 2023, 16, 5410. [Google Scholar] [CrossRef]
  27. Tamošiūnas, A. Selecting Rooftop Solar Photovoltaic Modules by Measuring Their Attractiveness by a Categorical-Based Evaluation Technique (MACBETH): The Case of Lithuania. Energies 2023, 16, 2999. [Google Scholar] [CrossRef]
  28. Zhu, X.; Lv, Y.; Bi, J.; Jiang, M.; Su, Y.; Du, T. Techno-Economic Analysis of Rooftop Photovoltaic System under Different Scenarios in China University Campuses. Energies 2023, 16, 3123. [Google Scholar] [CrossRef]
  29. Irfan, M.; Deilami, S.; Huang, S.; Veettil, B. Rooftop Solar and Electric Vehicle Integration for Smart, Sustainable Homes: A Comprehensive Review. Energies 2023, 16, 7248. [Google Scholar] [CrossRef]
  30. Tibebu, T.; Hittinger, E.; Miao, Q.; Williams, E. Adoption Model Choice Affects the Optimal Subsidy for Residential Solar. Energies 2024, 17, 728. [Google Scholar] [CrossRef]
  31. Leewiraphan, C.; Ketjoy, N.; Thanarak, P. Business Perspectives of Distributed System Operators for Solar Rooftop-as-a-Service. Energies 2024, 17, 52. [Google Scholar] [CrossRef]
  32. Aksan, F.; Suresh, V.; Janik, P. Optimal Capacity and Charging Scheduling of Battery Storage through Forecasting of Photovoltaic Power Production and Electric Vehicle Charging Demand with Deep Learning Models. Energies 2024, 17, 2718. [Google Scholar] [CrossRef]
  33. Araújo, I.; Nunes, L.; Vilas, D.; Curado, A. Integrating Renewable Energy Produced by a Library Building on a University Campus in a Scenario of Collective Self-Consumption. Energies 2024, 17, 3405. [Google Scholar] [CrossRef]
  34. Vigkos, S.; Kosmopoulos, P. Photovoltaics Energy Potential in the Largest Greek Cities: Atmospheric and Urban Fabric Effects, Climatic Trends Influences and Socio-Economic Benefits. Energies 2024, 17, 3821. [Google Scholar] [CrossRef]
  35. Kasmi, G.; Touron, A.; Blanc, P.; Saint-Drenan, Y.; Fortin, M.; Dubus, L. Remote-Sensing-Based Estimation of Rooftop Photovoltaic Power Production Using Physical Conversion Models and Weather Data. Energies 2024, 17, 4353. [Google Scholar] [CrossRef]
  36. Gholami, H. A Holistic Multi-Criteria Assessment of Solar Energy Utilization on Urban Surfaces. Energies 2024, 17, 5328. [Google Scholar] [CrossRef]
  37. Aronescu, A.; Appelbaum, J. The Effect of Collector Azimuth on Inter-Row Shading in Photovoltaic Fields—A Comprehensive Point of View. Energies 2023, 16, 4876. [Google Scholar] [CrossRef]
  38. Kulasekaran, P.; Dasarathan, S. Design and Analysis of Interleaved High-Gain Bi-Directional DC–DC Converter for Microgrid Application Integrated with Photovoltaic Systems. Energies 2023, 16, 5135. [Google Scholar] [CrossRef]
  39. Goto, M.; Kitamura, H.; Sagawa, D.; Obara, T.; Tanaka, K. Simulation Analysis of Electricity Demand and Supply in Japanese Communities Focusing on Solar PV, Battery Storage, and Electricity Trading. Energies 2023, 16, 5137. [Google Scholar] [CrossRef]
  40. Anderson, J.; Agalgaonkar, A. Low-Voltage Network Modeling and Analysis with Rooftop PV Forecasts: A Realistic Perspective from Queensland, Australia. Energies 2023, 16, 5834. [Google Scholar] [CrossRef]
  41. Carbone, R.; Borrello, C. A Building-Integrated Bifacial and Transparent PV Generator Operated by an “Under-Glass” Single Axis Solar Tracker. Energies 2023, 16, 6350. [Google Scholar] [CrossRef]
  42. Otte, L.; Schöne, N.; Flessa, A.; Fragkos, P.; Heinz, B. Costs and Benefits of Citizen Participation in the Energy Transition: Investigating the Economic Viability of Prosumers on Islands—The Case of Mayotte. Energies 2024, 17, 2904. [Google Scholar] [CrossRef]
Figure 1. Case study location setup.
Figure 1. Case study location setup.
Processes 13 01828 g001
Figure 2. Load demand patterns for the Benoni community: (a) Hourly demand profile throughout the year, (b) average daily demand distribution by hour, and (c) monthly seasonal load variation.
Figure 2. Load demand patterns for the Benoni community: (a) Hourly demand profile throughout the year, (b) average daily demand distribution by hour, and (c) monthly seasonal load variation.
Processes 13 01828 g002
Figure 3. Annual average solar irradiance for the selected site.
Figure 3. Annual average solar irradiance for the selected site.
Processes 13 01828 g003
Figure 4. Average monthly temperature information for the selected site.
Figure 4. Average monthly temperature information for the selected site.
Processes 13 01828 g004
Figure 5. Hybrid solar PV and battery system.
Figure 5. Hybrid solar PV and battery system.
Processes 13 01828 g005
Figure 6. Projected annual utility bill savings.
Figure 6. Projected annual utility bill savings.
Processes 13 01828 g006
Figure 7. Annual utility cost distribution across configurations.
Figure 7. Annual utility cost distribution across configurations.
Processes 13 01828 g007
Figure 8. Monthly electrical bill breakdown.
Figure 8. Monthly electrical bill breakdown.
Processes 13 01828 g008
Figure 9. Monthly electrical bill breakdown.
Figure 9. Monthly electrical bill breakdown.
Processes 13 01828 g009
Figure 10. Emissions trends over time.
Figure 10. Emissions trends over time.
Processes 13 01828 g010
Figure 11. Cumulative cash flow (25-year horizon).
Figure 11. Cumulative cash flow (25-year horizon).
Processes 13 01828 g011
Figure 12. Cash flow summary of proposed system.
Figure 12. Cash flow summary of proposed system.
Processes 13 01828 g012
Figure 13. Base system performance summary.
Figure 13. Base system performance summary.
Processes 13 01828 g013
Figure 14. Proposed performance summary.
Figure 14. Proposed performance summary.
Processes 13 01828 g014
Table 1. Component specifications and costing overview for the Benoni hybrid system.
Table 1. Component specifications and costing overview for the Benoni hybrid system.
ComponentSpecification/RatingCapital Cost (USD)Replacement Cost (USD)O&M Cost/Year (USD)Lifetime
PV (Flat-plate modules)263 kW @ 13% efficiency31,5802925 years
Li-ion Batteries (1 kWh ASM)733 kWh (718 units @ 1 kWh each)18,013764332815 years
ConverterBidirectional @ 90% efficiencyIncluded10 years
Table 2. Summary of the optimized system setup.
Table 2. Summary of the optimized system setup.
DescriptionValue
Net Present Cost System ArchitectureSolar + Storage: LI ASM + RSA Grid
Annual SavingsUSD 30,207
Capital CostUSD 30,307
Total 25-Year SavingsUSD 753,370
Payback Time0.99 years
Table 3. Cost and savings comparison by configuration.
Table 3. Cost and savings comparison by configuration.
MetricBase CaseSolar + StorageSolar + GridStorage + Grid
CAPEX (USD)USD 0USD 30,307USD 20,750USD 279
OPEX (USD)USD 30,472USD 811USD 15,631USD 30,460
Annual Total Savings (USD)USD 0USD 29,661USD 14,840USD 2
Utility Bill Savings (USD)USD 0USD 30,207USD 14,651USD 8
Demand Charges (USD)USD 212USD 5USD 209USD 201
Energy Charges (USD)USD 30,260USD 267USD 15,422USD 30,258
Table 4. Economic metrics (payback, LCOE, IRR, NPC).
Table 4. Economic metrics (payback, LCOE, IRR, NPC).
Economic MetricBase CaseSolar + StorageSolar + GridStorage + Grid
Payback Time (Simple/Discounted)1.0/1.0 years1.4/1.5 years
LCOE (USD/kWh)USD 0.129USD 0.0071USD 0.0277USD 0.129
IRR (%)101.70%73.53%
Net Present Cost (USD)USD 390,214USD 40,782USD 220,777USD 390,470
Table 5. Annual CO2 emissions by configuration.
Table 5. Annual CO2 emissions by configuration.
ConfigurationCO2 Emissions (t/yr)
Base Case149.1
Solar + Storage−129.6
Solar + Grid−168.2
Storage + Grid149.1
Table 6. Monthly bill for the base system.
Table 6. Monthly bill for the base system.
MonthEnergy Charges (USD)Demand Charges (USD)Total (USD)
January2021.2814.722036.00
February1868.8313.391882.22
March2356.5616.332372.89
April2497.1718.562515.72
May2748.8318.332767.17
June2917.1118.172935.28
July3043.8922.893066.78
August3093.5020.783114.28
September2762.3319.612781.94
October2508.1117.062525.17
November2207.4417.942225.39
December2120.0013.832133.83
Annual Total30,357.67
Table 7. Monthly bill for the proposed hybrid system.
Table 7. Monthly bill for the proposed hybrid system.
MonthEnergy Charge (USD)Demand Charge (USD)Monthly Total (USD)
JanuaryUSD 0.00USD 0.00USD 0.00
FebruaryUSD 0.39USD 0.00USD 0.39
MarchUSD 31.22USD 0.89USD 32.17
AprilUSD 22.28USD 0.61USD 22.89
MayUSD 46.06USD 0.56USD 46.61
JuneUSD 70.11USD 1.28USD 71.39
JulyUSD 1.78USD 0.11USD 1.89
AugustUSD 26.33USD 0.44USD 26.78
SeptemberUSD 19.78USD 0.22USD 20.00
OctoberUSD 25.17USD 0.50USD 25.67
NovemberUSD 18.00USD 0.50USD 18.50
DecemberUSD 0.00USD 0.00USD 0.00
Total USD 248.89
Table 8. Monthly CO2 emissions for the base system vs hybrid system.
Table 8. Monthly CO2 emissions for the base system vs hybrid system.
MonthBase System (t CO2)Hybrid System (t CO2)
January10.0−14.0
February9.2−12.0
March12.0−11.0
April12.0−9.6
May14.0−9.6
June14.0−7.4
July15.0−9.0
August15.0−10.0
September14.0−12.0
October12.0−11.0
November11.0−12.0
December10.0−13.0
Total149.1130.0
Table 9. Lifetime cash flow breakdown.
Table 9. Lifetime cash flow breakdown.
MetricValue
Payback Period0.986 years
Return on Investment93.5%
IRR102%
Net Present ValueUSD 353,850
Capital InvestmentUSD 30,307
Disclaimer/Publisher’s Note: The statements, opinions and data contained in all publications are solely those of the individual author(s) and contributor(s) and not of MDPI and/or the editor(s). MDPI and/or the editor(s) disclaim responsibility for any injury to people or property resulting from any ideas, methods, instructions or products referred to in the content.

Share and Cite

MDPI and ACS Style

Makhubele, W.J.; Thango, B.A.; Ogudo, K.A. Evaluating Rooftop Solar Photovoltaics and Battery Storage for Residential Energy Sustainability in Benoni, South Africa. Processes 2025, 13, 1828. https://doi.org/10.3390/pr13061828

AMA Style

Makhubele WJ, Thango BA, Ogudo KA. Evaluating Rooftop Solar Photovoltaics and Battery Storage for Residential Energy Sustainability in Benoni, South Africa. Processes. 2025; 13(6):1828. https://doi.org/10.3390/pr13061828

Chicago/Turabian Style

Makhubele, Webster J., Bonginkosi A. Thango, and Kingsley A. Ogudo. 2025. "Evaluating Rooftop Solar Photovoltaics and Battery Storage for Residential Energy Sustainability in Benoni, South Africa" Processes 13, no. 6: 1828. https://doi.org/10.3390/pr13061828

APA Style

Makhubele, W. J., Thango, B. A., & Ogudo, K. A. (2025). Evaluating Rooftop Solar Photovoltaics and Battery Storage for Residential Energy Sustainability in Benoni, South Africa. Processes, 13(6), 1828. https://doi.org/10.3390/pr13061828

Note that from the first issue of 2016, this journal uses article numbers instead of page numbers. See further details here.

Article Metrics

Back to TopTop