Next Article in Journal
Power Supply Resilience Under Typhoon Disasters: A Recovery Strategy Considering the Coordinated Dispatchable Potential of Electric Vehicles and Mobile Energy Storage
Previous Article in Journal
A Simple Method to Determine Pheomelanin Content and Structure in FFPE Human Melanoma Specimens
 
 
Font Type:
Arial Georgia Verdana
Font Size:
Aa Aa Aa
Line Spacing:
Column Width:
Background:
Article

Electrocoagulation with Fe-SS Electrodes as a Fourth Stage of Tequila Vinasses Treatment for COD and Color Removal

by
Rafael González Pérez
1,2,
Aída Lucía Fajardo Montiel
1,*,
Edgardo Martínez Orozco
2,*,
Norberto Santiago Olivares
2,
Juan Nápoles Armenta
3 and
Celestino García Gómez
4
1
Centro Universitario de Tonalá, Universidad de Guadalajara, Tonalá 45425, Jalisco, Mexico
2
Unidad Académica Arandas, Instituto Tecnológico José Mario Molina Pasquel y Henríquez, Tecnológico Nacional de México, Arandas 47180, Jalisco, Mexico
3
Unidad Benito Juárez, Universidad Estatal de Sonora, Villa Juárez 85294, Sonora, Mexico
4
Facultad de Agronomía, Universidad Autónoma de Nuevo León, General Escobedo 66054, Nuevo León, Mexico
*
Authors to whom correspondence should be addressed.
Processes 2025, 13(6), 1637; https://doi.org/10.3390/pr13061637
Submission received: 7 April 2025 / Revised: 13 May 2025 / Accepted: 16 May 2025 / Published: 23 May 2025
(This article belongs to the Section Environmental and Green Processes)

Abstract

The tequila industry faces several environmental challenges due to its high yields of contaminants, especially tequila distillation stillage or tequila vinasses, with ten to twelve liters produced per liter of tequila. All treatments aim to shorten retention times to avoid the need for large equipment or new facilities and the saturation of residues within tequila distilleries. The complexity of tequila vinasses has led to treatments with several stages, whereby most of the organic matter content is reduced, but the treatment range results are insufficient. This study aimed to evaluate a fourth-stage tequila vinasse treatment using an electrocoagulation system that uses inexpensive electrodes (SS cathodes and iron anodes), has a low electrical consumption, and applies low voltages in order to meet safety, economic, and environmental criteria so as to comply with Mexican norm NOM-001-SEMARNAT-2021. Three sets of voltage–amperage controllable power source, a 4 mm cylindrical 304 stainless-steel cathode, and a 9 mm iron anode with 200 mL samples in 250 mL beakers were used; three replicas (R1, R2, and R3) underwent 2 h treatment at 1–6 volts to evaluate the voltage effect and 1–6 h of 5-volt treatment to assess the time effect. All samples were filtered with 8 μm and 0.25 μm meshes. Chemical oxygen demand, pH, electrical conductivity, turbidity, and color measurements (SAC for λ 436, 525, and 620 nm) were taken. The experiments determined the optimal voltage and time, considering a hydraulic retention time below 6 h. The results show that electrocoagulation of pretreated tequila vinasses effectively helps in the final removal of organic matter measured as COD, reaching values below 150 COD mg/L at 5–6 h with 5 V treatments and color reduction with 5 V, 1 h treatment. This leads to final polishing that complies with the Mexican wastewater discharge norm criteria.

1. Introduction

1.1. Tequila

Tequila, Mexico’s most representative spirit beverage, is produced primarily in Jalisco. Tequila production in Mexico is a significant industry, with the Agave tequilana Weber blue variety being a national icon and the only species cultivated for tequila production. The plant faces challenges, such as phytoplasma infections, which affect its availability for tequila production [1].
The tequila market in Mexico has seen growth [2]; exports from Mexico have also been significant. In 2023, sales of tequila produced in Mexico reached a value of over MXN 70 billion (USD 3.5 billion), indicating the popularity and economic importance of the industry [3]. The COVID-19 pandemic has impacted the tequila market in the US, though recovery has been seen in the following years [4], with a yearly production peak in 2022 of 651.4 million liters of tequila [5]. Overall, tequila production in Mexico has a rich history and is a significant part of the country’s culture and economy.
Tequila production involves several residues or by-products, including agave leaves, agave bagasse, bitter syrup, and primarily tequila vinasse (also known as tequila stillage). Tequila vinasse is a mixture of up to six distillation residual streams composed mainly of tequila distillation first-stage stillage, and it is the leading environmental challenge for the tequila industry [6]. Tequila vinasse yields reach ten to twelve liters per liter of tequila produced [7]. Tequila vinasse treatment includes several methods to reduce its environmental impact. Furthermore, a revised and stricter version of Mexican norm NOM-001-SEMARNAT-2021, “which establishes the permissible limits of contaminants in wastewater discharges into receiving bodies owned by the nation,” [8] is a current legal obligation for all industries, resulting in the need for technological changes in tequila vinasse treatment.

1.2. Tequila Vinasse Characterization

Tequila vinasses are dark-colored wastewaters with low pH levels (3–5) and very high chemical oxygen demands (CODs) (60,000–100,000 mg/L) due to their organic matter content, with total solids contents in the range of 25,000–50,000 mg/L [7]. Regarding biodegradability, the BOD/COD ratio is 0.53–0.59 [9]. See Table 1 for an analysis of the main parameters.
These vinasses can be converted into valuable products, such as biodegradable films, or used as a nutrient source for xylitol production [10,11,12]. The characteristics of vinasses can vary depending on the tequila production process, with differences observed between processes that involve cooking agave cores and those that do not [13]. Anaerobic digestion of vinasses from the fermentation of Agave tequilana Weber has been studied, with thermophilic anaerobic digestion showing increased toxicity and sensitivity to environmental conditions [14,15]. Due to their specific characteristics, tequila vinasses can also be utilized as soil amendments for crops like agave, sugarcane, and sugar beet [16].

1.3. Environmental Normative Update and Tequila Industry Challenges

The changes to norm NOM-001-SEMARNAT-2021 have significant implications for various industries in Mexico. The new wastewater standard, which took effect on 11 March 2023, replaced the previous standard, NOM-001-SEMARNAT-1996 [17], and includes parameters for activities in rivers, natural bodies of water, and coastal waters [8]. This update is part of SEMARNAT’s efforts to improve environmental regulations and promote sustainable practices; the standard includes criteria for classifying wastes requiring special handling, emphasizing the importance of green supply chains, and reducing environmental impact [18]. In the context of wastewater treatment, compliance with the new standard is crucial. A study comparing treated wastewater characteristics with the NOM-001-SEMARNAT-2021 Mexican standards highlighted the importance of meeting the updated requirements. Furthermore, recent updates to the Climate Case Charts in February 2024 included references to NOM-163-SEMARNAT-ENER-SCFI-2013 [19], indicating the interconnectedness of environmental regulations in Mexico [20]. Changes to trade standards, such as eliminating exemptions to labeling requirements, also reflect the government’s efforts to enhance compliance with environmental norms [21]. The changes to norm NOM-001-SEMARNAT-2021 signal a shift towards more stringent environmental regulations in Mexico. Businesses operating in the country need to adapt to these changes to ensure compliance and contribute to sustainable practices [22]. SEMARNAT’s initiatives, including the General Law on Climate Change, highlight the government’s commitment to addressing environmental challenges and promoting the use of ecological technologies [23].
The changes in NOM-001-SEMARNAT-2021 and the guidelines imply a shift in the rules for holders of a Discharge Permit, with technical standards being updated [8]. The main changes in NOM-001-SEMARNAT-2021 include modifications to Section 2, “Normative References”, to update the list of Mexican standards [18]. Compliance with the requirements of NOM-001-SEMARNAT-2021 is mandatory; the standard also includes a Voluntary Compliance Program [22]. The standard aims to limit wastewater pollutants and protect the environment in Mexico [21]. The standard aims to update regulations and protect the environment from harmful pollutants [20]. Compliance with the standard is essential for holders of Discharge Permits to ensure the proper management of wastewater in Mexico [8].
This technical standard has implications for holders of Discharge Permits, signaling a shift in the rules governing wastewater discharge in the country [24]. One of the most notable changes introduced by NOM-001-SEMARNAT-2021 is the replacement of NOM-001-SEMARNAT-1996, signifying a departure from the previous standards and guidelines [25]. The new norm includes updated Tables of Permissible Limits, reflecting changes in permissible levels of pollutants in wastewater discharge [25]. The deadline for compliance with the requirements of NOM-001-SEMARNAT-2021 has been set for March 11, 2023, indicating the urgency and importance of adhering to the new regulations [26] and further emphasizing the shift towards updated standards and criteria for environmental protection [8]. NOM-001-SEMARNAT-2021 represents a significant step towards enhancing environmental protection and sustainability in Mexico. The publication of updated standards and guidelines reflects a commitment to addressing emerging pollutants and promoting green supply chains in the country [18,27]. By implementing these changes, Mexico aims to improve the management of wastewater discharge and ensure the protection of its natural resources for future generations. See Table 2 for the main changes in the discharge of waters to rivers and water bodies in Mexico.
With respect to international norms, there is still room for improvement. The current Mexican norm requires 150 mg/L COD (approximately related to 75–80 mg/L BOD5), whereas the EPA (EE.UU., 40 CFR 133) and the UE (91/271/CEE) establish 30 and 25 mg/L, respectively. For SST, the same norms require up to 30 and 35 mg/L, respectively, and are therefore stricter than the Mexican norm [28,29].

1.4. Tequila Vinasses First-Stage Treatment

Tequila vinasses are challenging by-products to degrade due to their complex composition and high organic load concentrations [30], high turbidity, suspended solids contents [31], and color compounds [32]. The composition of the yeast community in tequila vinasses also impacts their treatment [33]. Furthermore, the generation and characterization of tequila vinasses have been explored with a focus on disposal and treatment problems in various regions [10]. Efforts have been made to reduce the organic load concentrations in tequila vinasses through various treatment methods, including flocculation studies [34].
López-López and Contreras Ramos [9] reported in 2015 that first-stage treatments aimed to remove suspended solids and regulate pH and temperature. The processes used were sedimentation ponds, sedimentation pools, dissolved air flotation, coagulation–flocculation, and neutralization. Cooling was achieved over time through the use of dedicated equipment or receptors. See Table 3 for the advantages and disadvantages of these technologies.

1.5. Tequila Vinasses Second-Stage Treatment

Over time, due to regulatory updates and increased production, pollution related to tequila distilleries has become more significant within society. Solid concentrations and chemical and biological oxygen demands were not adequately addressed with first-stage treatments, necessitating the incorporation of second-stage treatments. Several distilleries lacked wastewater treatment plants, indicating financial or technical constraints and, in some cases, insufficient space within the distillery facilities. Various treatment processes, including biological anaerobic and aerobic processes, have been implemented to treat tequila vinasses in the second stage, but their effectiveness varies, with discussions being conducted on the efficacy of different systems and technologies to meet environmental regulations in Mexico [7], and the need for proper treatment and disposal methods to prevent pollution of surface water bodies remains [10,35]. Further research and innovative approaches are still needed to manage and utilize this by-product of the tequila industry effectively [10,36,37].
Researchers are exploring various methods to regulate organic pollution levels in anaerobic digesters [38]. Dias et al. focused on the application of vinasses over time, highlighting the anaerobic treatment of tequila vinasses in a CSTR-type digester [39]. Mendiola-Rodríguez et al.’s study focused on anaerobic digestion for tequila vinasses treatment, aiming to reduce organic contents in wastewater while producing biogas [40]. Estrada-Arriaga et al. showed enhanced methane production and organic matter removal from tequila vinasses through specific treatment processes [41]. Silva-Martínez et al. pointed out that in Mexico, anaerobic treatment of tequila vinasses has been explored as a method for waste-to-energy conversion [42].
García-Depraect et al. indicated that the addition of lime can enhance the anaerobic digestion of tequila vinasses, although the difficulty in dissolving lime poses a challenge [43]. In another study by García-Depraect et al., they pointed out that despite the challenges posed by tequila vinasses, there is potential for their utilization in biohydrogen production and as a source of energy [44]. López-Lópéz et al. [9] provided a summary of anaerobic and aerobic technologies, which is summarized in Table 4. While anaerobic processes are capable of handling high COD values, aerobic treatment is recommended only for BOD levels lower than 3000 mg/L, noting that the BOD/COD ratio for tequila vinasses is close to 0.5.
Researchers have also optimized the treatment of alcohol vinasse using a combination of advanced oxidation processes with synthesized α-Fe2O3 nanoparticles [45]. A study on color compound removal from tequila vinasses introduced silica gel for treatment, along with advanced oxidation processes and coagulation methods [32]. Metabolic modeling tools have been utilized to produce aroma compounds from tequila vinasses, marking a novel approach in this area of research [46]. The sustainability of the tequila industry has also been a focus, with efforts having been made to address environmental concerns such as vinasse treatment, non-deforestation, and carbon capture by agave plants [47].

1.6. Tequila Vinasses Third-Stage Treatment

From second-stage treatment, effluents remove the main COD fraction, leaving residues (total suspended solids (TSS) and total dissolved solids (TDS)) that still need to be purged. For this purpose, coagulation–flocculation, sedimentation, and/or filtration reduce the COD from a value around 1000–3000 mg COD/L to 600–800 mg COD/L. Several works have reported this treatment, and it has also been noted that color is reduced. Coagulation–flocculation can reduce suspended solids, color, and COD in tequila vinasses by up to 99.4%, 86.0%, and 70.0%, respectively [48]. Biopolymers can serve as coagulants in tequila vinasses treatment. Ferral-Pérez et al. [49] reported chitosan as the most efficient biopolymer, as it removed up to 84.0% COD. In 2024, Zurita et al. [50] reported results with coagulation–flocculation using a natural coagulant, achieving an apparent color removal of 98%. Castillo-Monroy et al. reported a study on a coupled adsorption–electro-oxidation process as a tertiary treatment for tequila industry wastewater [51].

1.7. Tequila Vinasses Fourth-Stage Treatment

To remove the remaining color and COD in tequila vinasses and to comply with Mexican wastewater norms, several treatments have been proposed; these include advanced oxidation processes (AOPs), such as ozonation, electro-oxidation, photocatalytic oxidation, and electrocoagulation.

1.8. Electrocoagulation as Fourth-Stage Treatment

Electrocoagulation is a widely used method for wastewater treatment that involves the application of voltage to generate electrochemical reactions. Recent studies have shown that electrocoagulation effectively removes organic matter, usually measured as COD, BOD5, total suspended solids (TSS), and color.
It is essential to note that contamination levels vary across every tequila distilleries, and the selected pretreatments used are not typically reported on an industrial scale, this information being kept as confidential as possible. It would be better if all cases, whether successes or failures, were reported to the environmental authority to converge on suitable technologies faster and more economically.
On the bright side, electrocoagulation is a process that involves low voltages and low electrical energy use. On the other hand, selecting anodes that produce low- or non-contaminating sludge is wise to avoid further pollution or complex treatment.
Considering the above criteria, cathodes can be made from several materials, typically using alloys that corrode less easily than those used for anodes. However, using anodes made from stainless steel, aluminum, and most alloys is not the right choice. The predominant soil in the Jalisco Highlands region is luvisol, at 34.6%; characterized by the accumulation of clay, it is a reddish soil (high in iron) mainly used for agriculture, with moderate yields, and has a high susceptibility to erosion [52]. Thus, selecting iron anodes that produce iron oxides is a pertinent and environmentally safe choice.
A system with low electrical resistance, low electricity consumption, and cheaper and more suitable cathodes and anodes should be selected. These were the criteria for the current research, which aimed to evaluate the most appropriate electrocoagulation processes, economically and environmentally, for pretreated vinasses produced by the tequila industry.
The Environmental Protection Agency (EPA) does not mandate public water systems to act on iron as a contaminant, indicating that it is not considered a significant health risk [53]. Iron is also referenced in the context of cosmetic effects in water quality standards, suggesting that it may cause aesthetic issues rather than health concerns [54]. Furthermore, iron is not deemed hazardous in the quantities utilized for disinfection in drinking water [55]. This distinction between iron as a cosmetic parameter rather than a contaminant aligns with the FDA’s regulation of cosmetics, according to which contaminants such as lead are considered more serious concerns [56]. The extant literature suggests that iron is not typically classified as a contaminant in drinking water due to its cosmetic rather than health-related effects.
Previous works on tequila vinasses using advanced oxidation processes to comply with NOM-001-SEMARNAT-2021 include that by Carrillo Monroy et al. [51] in 2021. Prior to the establishment of this norm, a novel study that complied with it was presented by Jiménez López et al. [57] in 2016. Carrillo Monroy et al. [51] reached a low COD of 33–78 mg/L with a system using a coupled adsorption–electro-oxidation process with a very low cost (12.5–20.0 A/m2). Jiménez-López reported electrocoagulation using a 1.2 L stirred reactor with aluminum electrodes using 74.28–148.57 A/m2, reaching COD values below 150 mg/L in 90 min.
The use of different electrode materials in electrocoagulation for stillage treatment has been investigated, with Al-Al, Al-Fe, and Al-SS combinations showing varying effectiveness. Al-Al electrodes demonstrate high efficiency in removing organic compounds and suspended solids but may introduce aluminum into the treated water. Al-Fe combinations offer a balance between removal efficiency and environmental impact, as iron is generally considered less harmful. Al-SS (stainless-steel) electrodes provide durability and resistance to corrosion, potentially extending the lifespan of the treatment system. The choice of electrode material impacts not only the treatment efficiency but also the composition of generated sludge and potential environmental implications. Factors such as pH, electrical conductivity, and specific contaminants in the stillage influence the performance of these electrode combinations, necessitating careful consideration in system design and operation [58,59].
Regarding previous works that used aluminum anodes, Jiménez-López [57] presented a work that aimed to polish pretreated tequila vinasses in compliance with the current Mexican norm, leading to a COD below 150 mg/L (94.41% removal), with a specific energy consumption of 18.75 kWh/m3 in 180 min. Montaño-Saavedra et al. [60] reported a 20% reduction in total dissolved solids contained in pretreated vinasses within 3 h. Dubey et al. [61] reported that in pretreated vinasses, the COD was reduced by 85.1% in half the time, 93 min. Prajapati et al. [62], in a study on distillery wastewater, reported that a 93% COD reduction was achieved in a highly efficient arrangement requiring 31.4 kWh/m3.
Khandegar et al. [63] reported several electrode combinations (Al-Al, Al-Fe, and Fe-Fe) using high-COD distillery spent wash with a higher surface electric current and obtained their best results with the Al-Al combination. Alizadeh et al. [64] also worked with electrodes made of Al-Fe, using vinasse effluents, which achieved an 80.8% COD reduction in 45 min.
Regarding Fe anodes, Syaichurrozi et al., in 2020 [65], obtained a COD reduction of 51.67% in 6 h; in another work, in 2022 [66], they reached 67.62% COD removal with an 8 h treatment; and, finally, in a third paper, in 2023 [66], they analyzed the effects of agitation with poorer results. Finally, David et al. [67] reported a color removal of up to 83.75%, without noting a reduction in COD.
The work with the most similarities to the present research regarding objectives was the one reported by Jiménez-López [57]; he reported two experiments where Al concentration was measured: (a) Experiment 24 (223.85 A/m2, 1.5 A, pH 5.0, 40 °C, 96.25% color removal): initial concentration: 0.05 mg/L, final concentration: 0.971 mg/L; (b) Experiment 26 (74.28 A/m2, 0.5 A, pH 7.0, 40 °C, 86.00% color removal): initial concentration: 0.048 mg/L, final concentration: 0.484 mg/L. In general, he reached up to 2.1784 g Al anode consumption for 223.85 A/m2 and an average of 0.6820 g Al anode consumption for 74.28 A/m2 (similar to our research). Optimal conditions reported a DQO removal of 94.41% COD with a pH of 5.0, at 40 °C, 148.57 A/m2, with a 0.9224 g Al anode consumption. All treatments lasted for 180 min.
References indicate that there is still considerable work to be done, considering COD values from untreated to significantly diluted vinasses. Energy consumption varies, and, in general, not all works report the same parameters. A higher COD removal above 90% was reported, and the pH increased with the process. Energy consumption is generally reported at values below 31.4 kWh/m3, except for one treatment, and the time range also varies from 45 to 480 min. See Table 5 for reported electrocoagulation systems.

1.9. Objective

This study aimed to evaluate the efficacy of using stainless-steel cathodes and steel anodes in electrocoagulation as a fourth-stage treatment method for tequila vinasses in compliance with the new regulatory standards in Mexico.

2. Materials and Methods

2.1. Equipment

Three kits, consisting of an Extech model 382213 power source (Teledyne FLIR, Thousands Oaks, CA, USA) with voltage–amperage control, a simple bipolar electrochemical cell configuration with a stainless-steel 304 (SS) rod with a 4 mm diameter as a cathode, and an ASTM A615/A615M iron rod with a 9 mm diameter as an anode connected with wires and attached to clamps on both sides, mounted on a laboratory stand with clamps, as shown in Figure 1, were used. Then, 200 mL samples were placed in 250 mL glass beakers. The anodes were sunk 6.7 cm with a surface area of 9.06 cm2 for the SS cathode and 19.58 cm2 for the iron anode. The electrode separation was measured at 2.5 cm from the respective outer diameters. The electrolyte temperature remained between 18 and 23 °C.

2.2. Pretreated Tequila Vinasses

Third-stage pretreated tequila vinasses were used (see Table 6 for their characterization), conserved at room temperature (18–23 °C). These tequila vinasses underwent pretreatment in the first stage, involving suspended solids removal through 40-mesh sieves; in the second stage, pH regulation was applied for both anaerobic and aerobic treatment, as well as clarification; in the third stage, treatment included coagulation–flocculation, sedimentation, and filtration.
Two independent variables were considered, time (in hours) and voltage (in volts), in the experiments. Time values were selected as 0, 1, 2, 3, 4, 5, and 6 h, given the expectation of relatively short process times for industrial applications; higher times would lead to the need for bigger equipment due to the high yield of tequila vinasses. Considering the data review, voltage values also ranged from 0 to 6 volts, covering 1, 2, and 5 volts for typical electricity commercial equipment; furthermore, higher voltage values could have increased the temperature of the samples, causing energy loss in the process.

2.3. Methods

2.3.1. Analytical Methods

The methods used for assessment of the above parameters were as follows: (a) pH: Standard Method for the Examination of Water and Wastewater 4500-H+B: pH in Water by Potentiometry [70]; (b) COD: Method 410.4, Revision 2.0: The Determination of Chemical Oxygen Demand by SemiAutomated Colorimetry [71]; (c) Total Dissolved Solids and Electrical conductivity: Standard Method for the Examination of Water and Wastewater 2510 Conductivity (2017) [72]; (d) Color: ISO 7887:2011—Examination and determination of colour [73]; (e) Turbidity: Standard Method for the Examination of Water and Wastewater 2130 Turbidity (2017) [74].

2.3.2. Calculations

Electric Power:
P = U I
P: Electric power (W).
I: Current intensity (A).
U: Applied voltage (V).
Surface electric current:
S C = I A
SC: Surface electric current (A/m2).
I: Current intensity (A).
A: Electrode effective area.
For industrial applications, energy consumption is a critical parameter for determining costs. Specific energy consumption (SEC) refers to the energy needed for organic matter, such as COD, ammonia nitrogen, colorant, and others [59].
Specific energy consumption per volume:
S E C 1 = U I t 1000 V
SEC1: Specific energy consumption per volume unit (kWh/m3).
U: Applied voltage (V).
I: Current intensity (A).
t: Electrolysis time (h).
V: Volume of treated wastewater (m3).
This specific energy consumption can be assessed in the following manner:
S E C 2 = U I t 1000 ( C O D i C O D e ) V
SEC2: Specific energy consumption per removal unit (kWh/kg COD).
U: Applied voltage (V).
I: Current intensity (A).
t: Electrolysis time (h).
V: Volume of treated wastewater (m3).
CODi: Chemical oxygen demand before treatment (kg/m3)
CODe: Chemical oxygen demand after treatment (kg/m3).
Faraday’s law is used to calculate the material decay of an electrode [59].
C = I t M 1000 z F V
C: Electrode consumption (kg/m3)
I: Current intensity (A).
t: Electrolysis time (s).
M: Molar mass of electrode consumed (g/mol).
z: Electron transfer number.
F: Faraday constant (96,487 C/mol).
V: Volume of treated wastewater (m3).
Faraday efficiency:
F E = Q n F I t
FE: Faraday efficiency.
Q: COD moles.
n: Molar electron transfer number.
F: Faraday constant (96,487 C/mol).
I: Current intensity (A).
t: Electrolysis time (s).
The operating cost will be the sum for energy consumption and electrode consumption, in USD/m3.
O C = E C + E D
OC: Operating cost (USD/m3).
EC: Energy cost (USD/m3).
ED: Electrode consumption (decay) cost (USD/m3).

2.4. Experimental Design

Data were collected by conducting experiments with three replicates (R1, R2, and R3) for each time (0, 1, 2, 3, 4, 5, and 6 h) and voltage setting (0, 1, 2, 3, 4, 5, and 6 volts), specifically by measuring the changes in chemical oxygen demand (COD) content, pH, electrical conductivity (EC), total dissolved solids (TDS), turbidity, and color (over voltages with 2 h treatment and over time with 5-volt treatment). Also, the mean electrical current consumption was measured.

3. Results

3.1. Effect of Voltage

Table 7 shows the electrical current density values for the reported voltages, considering initial and final electrical currents.
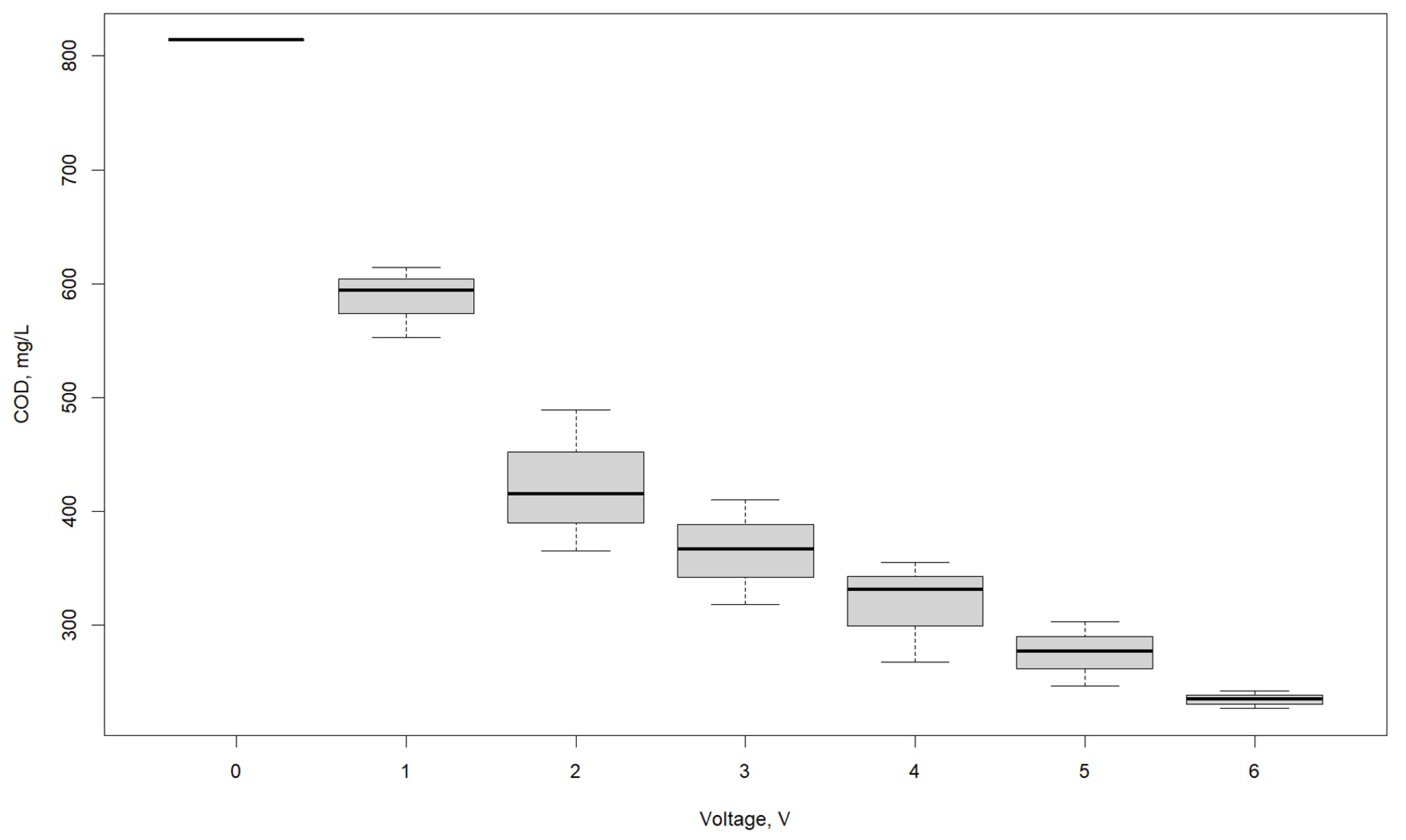
The first parameter considered is the chemical oxygen demand (COD), which showed good progress in reducing organic matter content, reducing it from 814 to 227 mg/L; however, the latter value is still above the MPL of 150 mg/L requested by the Mexican norm. See Table 8 and Figure 2 and Figure 3.
Regarding pH, from the third-stage treatment, its value decayed from 7.81 to 4.46 with increasing voltage, though the latter is also outside the range permitted by the Mexican norm. See Table 9 and Figure 4.
Concerning electrical conductivity (EC), the third-stage treatment value started at 7.299 mS/cm and dropped to 5.649 with increasing voltage. The Mexican norm does not cover this parameter; however, it is related to ions and suspended particles; thus, a decrement is expected. See Table 10 and Figure 5.
Total dissolved solids (TDS) was measured by the electrode method; the third-stage pretreated vinasses value started at 3.577 mg/L, and the value changed with increasing voltage to 2.869 mg/L. Mexican norms do not have a specific limit for this parameter, but its decrement was expected too. See Table 11 and Figure 6.
Turbidity also decreased, from an initial value of 1.50 NTU to 0.62 NTU. See Table 12 and Figure 7.
The Mexican norm considers three parameters for color measurement, the first one with a 436 nm wavelength. The maximum permitted limit (MPL) for the spectral absorption coefficient (SAC) is 7 m−1. SAC values obtained with 4, 5, and 6 volts in 2 h treatment comply with the norm. See Table 13 and Figure 8.
The second color parameter is the 525 nm wavelength. The MPL for this SAC is 5 m−1. SAC values obtained with 2, 3, 4, 5, and 6 volts with 2 h treatment comply with the norm. See Table 14 and Figure 9.
The third color parameter is the 620 nm wavelength. The MPL for this SAC is 3 m−1. SAC values obtained with all voltages applied in 2 h treatment comply with the norm. See Table 15 and Figure 10.

3.2. Effect of Time

The same parameters were analyzed for treatments maintaining 5 volts for different times. Chemical oxygen demand (COD) levels complied with the maximum of 150 mg/L in 5–6 h established in the Mexican norm. See Table 16 and Figure 11 and Figure 12.
Concerning pH, the value of pretreated tequila vinasses decayed from 7.81 to 3.33 with treatment time, which is outside the values permitted by the Mexican norm. See Table 17 and Figure 13.
Electrical conductivity (EC) values ranged from 7.299 to 5.378 mS/cm, dropping over time. See Table 18 and Figure 14.
Total dissolved solids (TDS) for pretreated vinasses value ranged from 3.577 to 2.658 mg/L over time. See Table 19 and Figure 15.
Turbidity values decreased from 1.50 NTU to 0.36 NTU over 6 h with 5-volt treatment. See Table 20 and Figure 16.
SAC values for the λ 436 nm wavelength obtained after 1 h with the 5-volt treatment complied with the Mexican norm. See Table 21 and Figure 17.
SAC values for the λ 525 nm wavelength obtained with the 5-volt treatment for all times complied with the Mexican norm. See Table 22 and Figure 18.
SAC values for λ 620 nm for all times applied in the 5-volt treatment complied with the Mexican norm. See Table 23 and Figure 19.

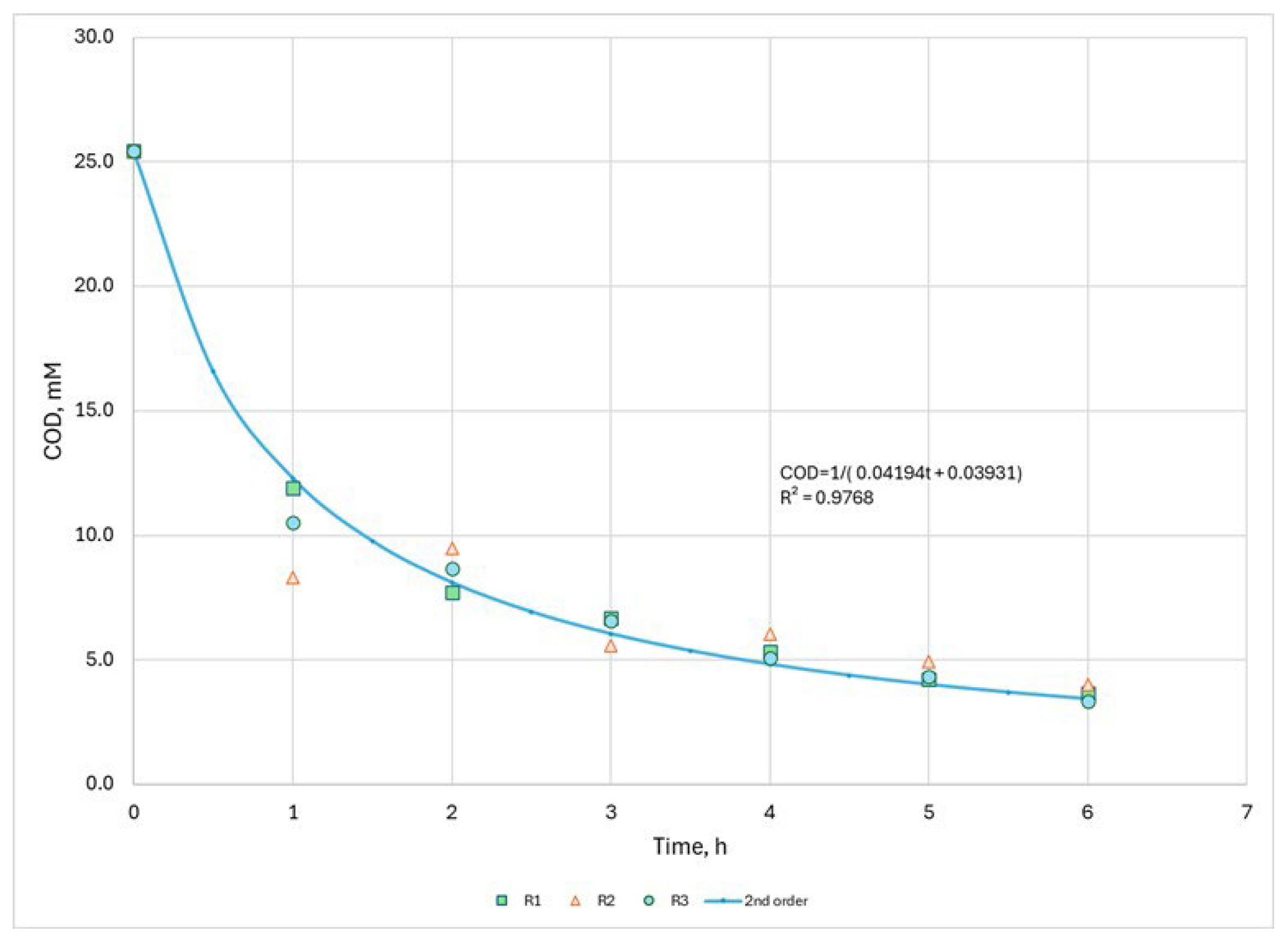
3.3. Kinetic Model

The kinetic model fits a second-order type, where an average value of k is 0.04194 [mM]−1h−1 with a mean R2 value of 0.9768. These values were considered, and the data are shown in Table 15, modifying COD from mg/L to mM. See Figure 20.

3.4. Economic Analysis

The treatment incurs two main costs: those for electricity and those for the anode material. In the laboratory, we calculated that the cost for electricity was 0.21 USD/kWh and that the cost for steel was 1.05 USD/kg (values for Mexico in May 2025), resulting in costs of 0.79 USD/m3 for electricity and 0.57 USD/m3 for the steel anode (material consumption)—a total of USD 1.36 per cubic meter of treated vinasse. See Table 24. Anode material consumption was measured at −4.7419 g with 32 h for kit 1, −3.8149 with 30 h for kit 2, and −1.7408 with 29 h for kit 3 (0.1118 g/h at 5 V and 0.155 A).

3.5. Sludge Generation

An indirect way of measuring sludge generation is to measure the filtered volume vs. the initial volume (200 mL). The sludge generation ranged from 5.32% at a voltage of 1 volt to 36.35% at 6 volts. See Table 25 and Figure 21.
It is important to note that a further sludge analysis will be needed to check the dry solids percentage.

4. Discussion

Regarding treatment time, the proposed period is one of the longest at 360 min. Seven of the nine reported works in Table 5 reported lower times; however, the period is very suitable for tequila distilleries, reaching up to four treatments in a day, reducing equipment volume.
This treatment differs from those in all the other works regarding pH, since they reported an increment in pH values vs. a decrement reported in this research. The treatment presented in this work will need further alkalinization, as in most of the reported works.
With respect to COD levels, six of the nine works reported presented direct distillery wastewater (COD above 100 g/L). Alizadeh et al. [64] also used this origin but with half the COD. Only three works used pretreated vinasses [57,60,61], and only Jiménez-López reached COD values below 150 mg/L, as established by the Mexican norm, though they did not comply with EPA or European norms. Color reduction, in general, achieves high values (>80% reduction) in very short times of around 60 min. Turbidity, in general, is associated with TSS and is usually lowered by filtration after electrocoagulation.
Regarding surface electrical current, values vary from treatment to treatment. Three works reported values above 1000 A/m2, while the rest reported ones below 200 A/m2. This work presented a lower value: 79.16 A/m2.
For specific energy consumption, this work yielded a lower value of 3.775 kWh/m3, which is consistent with COD levels as compared with all the reported works. Only with respect to this parameter is the process cost lower than those of the treatments in all the other presented works.
Out of all the reported research, Jiménez López [57] presented the most similarities, reaching COD values below 150 mg/L, with 3 h versus 6 h in this work, as well as double the surface electric current, five times the energy consumption, and a similar proportion in terms of anode consumption (0.6 g/h vs. 0.14 g/h). It should be noted that using aluminum electrodes will impact the generated sludge in terms of contaminants and ions in treated wastewater, while iron electrodes will not have a significant environmental impact if used as a precursor of compost or biofertilizers.

5. Conclusions

This study demonstrates that electrocoagulation using stainless-steel cathodes and iron anodes is an effective fourth-stage treatment for tequila vinasses to meet the updated regulatory standards in Mexico. The process successfully reduced COD levels to below 150 mg/L after 5–6 h of treatment at 5 V, complying with NOM-001-SEMARNAT-2021 requirements. Color removal was achieved within 1 h at voltages of 4–6 V. The treatment showed promising results for industrial scale-up, with a relatively low energy consumption of 72.4 A/m2 and economical costs of USD 1.36 per cubic meter treated. While pH adjustment is still needed post-treatment, the use of iron anodes produces environmentally benign sludge that could potentially be used as a soil amendment. Overall, this electrocoagulation process provides an efficient and sustainable solution for tequila distilleries to meet stringent wastewater discharge regulations and improve the environmental performance of the tequila industry. This proposed process can be limited by the electricity availability within distilleries owing to several factors, such as the power available in the region from the national electric grid; therefore, solar-powered electricity might be needed, and the changing of anodes is also a concern, since they must be replaced frequently. In future work, the sludge generated can be further studied as a fertilizer or for other potential uses.

Author Contributions

Conceptualization, R.G.P., A.L.F.M. and E.M.O.; methodology, R.G.P., A.L.F.M. and E.M.O.; software, E.M.O., N.S.O. and J.N.A.; validation, N.S.O., J.N.A. and C.G.G.; formal analysis, R.G.P., A.L.F.M., E.M.O., N.S.O., J.N.A. and C.G.G.; investigation, R.G.P., E.M.O. and N.S.O.; resources, R.G.P., A.L.F.M. and E.M.O.; data curation, J.N.A. and C.G.G.; writing—original draft preparation, R.G.P.; writing—review and editing, A.L.F.M. and E.M.O.; visualization, N.S.O. and J.N.A.; supervision, A.L.F.M.; project administration, R.G.P. and E.M.O.; funding acquisition, R.G.P. and E.M.O. All authors have read and agreed to the published version of the manuscript.

Funding

This research received no external funding.

Data Availability Statement

Data are contained within the article.

Acknowledgments

We thank the following institutions: Secretaría de Ciencia, Humanidades, Tecnología e Innovación SECIHTI (formerly CONACYT) for the support provided for this research under the scholarship number 328940/603594; the Universidad de Guadalajara, Centro Universitario de Tonalá; and the Tecnológico Nacional de México: Instituto Tecnológico José Mario Molina Pasquel y Henríquez Unidad Académica Arandas for the equipment used in and the support provided for this research.

Conflicts of Interest

The authors declare no conflicts of interest.

Abbreviations

The following abbreviations are used in this manuscript:
CODChemical Oxygen Demand
ECElectrical Conductivity
SACSpectral Absorption Coefficient
TDSTotal Dissolved Solids
TSSTotal Suspended Solids

References

  1. González-Pacheco, B.E.; Rojas-Martínez, R.I.; Ochoa-Martínez, D.L.; Silva-Rosales, L. First Report of a 16Sr IV Group Phytoplasma Associated with the Lethal Yellowing in Agave Tequilana. J. Plant Pathol. 2014, 96, 603. [Google Scholar] [CrossRef]
  2. Statista Tequila Sales Value in Mexico. Available online: https://www.statista.com/statistics/1097582/sales-value-tequila-mexico/ (accessed on 5 January 2025).
  3. Statista Tequila Sales Share by Type Mexico. 2023. Available online: https://www.statista.com/statistics/1097706/sales-share-tequila-type-mexico/ (accessed on 5 January 2025).
  4. Businesswire COVID-19 Recovery Analysis: Tequila Market in US. Increasing Number of Mergers and Acquisitions to Boost the Market Growth. Available online: https://www.businesswire.com/news/home/20200925005184/en/COVID-19-Recovery-Analysis-Tequila-Market-in-US-Increasing-Number-of-Mergers-and-Acquisitions-to-Boost-the-Market-Growth-Technavio (accessed on 5 January 2025).
  5. CRT. Available online: https://old.crt.org.mx/EstadisticasCRTweb/ (accessed on 6 January 2025).
  6. Martinez-Orozco, E.; Gortares-Moroyoqui, P.; Santiago-Olivares, N.; Napoles-Armenta, J.; Ulloa-Mercado, R.G.; De La Mora-Orozco, C.; Leyva-Soto, L.A.; Alvarez-Valencia, L.H.; Meza-Escalante, E.R. Tequila Still Distillation Fractioned Residual Streams for Use in Biorefinery. Energies 2020, 13, 6222. [Google Scholar] [CrossRef]
  7. López-López, A.; Davila-Vazquez, G.; León-Becerril, E.; Villegas-García, E.; Gallardo-Valdez, J. Tequila Vinasses: Generation and Full Scale Treatment Processes. Rev. Environ. Sci. Biotechnol. 2010, 9, 109–116. [Google Scholar] [CrossRef]
  8. SEMARNAT. Official Mexican Norm NOM-001-SEMARNAT-2021 Which Establishes the Permissible Limits of Contaminants in Wastewater Discharges into Receiving Bodies Owned by the Nation. Ministry of Environment and Natural Resources SEMARNAT, Mexico City, Mexico. 2022. Available online: https://www.dof.gob.mx/nota_detalle.php?codigo=5645374&fecha=11/03/2022#gsc.tab=0 (accessed on 5 January 2025).
  9. López-López, A.; Contreras-Ramos, S.M. Tratamiento de Efluentes y Aprovechamiento de Residuos. In Ciencia y Tecnología del Tequila: Avances y Perspectivas; Centro de Investigación y Asistencia en Tecnología y Diseño del Estado de Jalisco, A.C. (CIATEJ): Guadalajara, Mexico, 2015; pp. 259–284. ISBN 9786079661984. [Google Scholar]
  10. Zurita, F.; Tejeda, A.; Montoya, A.; Carrillo, I.; Sulbarán-Rangel, B.; Carreón-álvarez, A. Generation of Tequila Vinasses, Characterization, Current Disposal Practices and Study Cases of Disposal Methods. Water 2022, 14, 1395. [Google Scholar] [CrossRef]
  11. Lorenzo-Santiago, M.A.; García-Hernández, E.; Rendón-Villalobos, R.; Rodriguez-Campos, J.; Tuesta-Popolizio, D.A.; Contreras-Ramos, S.M. Biodegradable Films Added with Conjugates from Residual Agave Vinasses: Chemical and Mechanical Characterization. J. Polym. Environ. 2024, 33, 497–511. [Google Scholar] [CrossRef]
  12. Gutiérrez Mora, A.; Rodríguez Garay, B.; Estarrón Espinosa, M.; Gschaedler Mathis, A.C.; Kirchmayr, M.R.; Moreno Terrazas, R.; Lappe, P.; Camacho Ruiz, R.M.; Ortiz Basurto, R.I.; Aguilar Uscanga, M.G.; et al. Integral and Sustainable Use of Agave, 1st ed.; Consejo Nacional de Ciencia y Tecnología CONACYT, Centro de Investigación y Asistencia en Tecnología y Diseño del Estado de Jalisco A.C. CIATEJ, Red temática mexicana aprovechamiento integral sustentable y biotecnología de los agaves Agared, Ed.; Centro de Investigación y Asistencia en Tecnología y Diseño del Estado de Jalisco A.C. CIATEJ: Zapopan, Mexico, 2019; ISBN 978-607-8734-03-0. [Google Scholar]
  13. Sánchez-Ureña, S.G.; Bolaños-Rosales, R.E.; Aguilar-Juárez, O.; Rosales-Colunga, L.M.; Contreras-Ramos, S.M.; Marino-Marmolejo, E.N. Tequila Production Process Influences on Vinasses Characteristics. A Comparative Study Between Traditional Process and Non-Cooked Agave Process. Waste Biomass Valorization 2022, 13, 3183–3195. [Google Scholar] [CrossRef]
  14. Espinoza-Escalante, F.M.; Pelayo-Ortíz, C.; Navarro-Corona, J.; González-García, Y.; Bories, A.; Gutiérrez-Pulido, H. Anaerobic Digestion of the Vinasses from the Fermentation of Agave Tequilana Weber to Tequila: The Effect of PH, Temperature and Hydraulic Retention Time on the Production of Hydrogen and Methane. Biomass Bioenergy 2009, 33, 14–20. [Google Scholar] [CrossRef]
  15. Yang, L.; Lu, M.; Carl, S.; Mayer, J.A.; Cushman, J.C.; Tian, E.; Lin, H. Biomass Characterization of Agave and Opuntia as Potential Biofuel Feedstocks. Biomass Bioenergy 2015, 76, 43–53. [Google Scholar] [CrossRef]
  16. Moran-Salazar, R.G.; Sanchez-Lizarraga, A.L.; Rodriguez-Campos, J.; Davila-Vazquez, G.; Marino-Marmolejo, E.N.; Dendooven, L.; Contreras-Ramos, S.M. Utilization of Vinasses as Soil Amendment: Consequences and Perspectives. SpringerPlus 2016, 5, 1007. [Google Scholar] [CrossRef]
  17. SEMARNAT. Official Mexican Norm NOM-001-ECOL-1996/NOM-001-SEMARNAT-1996 Which Establishes the Permissible Limits of Contaminants in Wastewater Discharges into Receiving Bodies Owned by the Nation. Ministry of Environment, Natural Resources and Fisheries SEMARNAT, Mexico City, Mexico. 1997. Available online: https://www.dof.gob.mx/nota_detalle.php?codigo=5645374&fecha=11/03/2022#gsc.tab=0 (accessed on 18 May 2025).
  18. Haar, J.; Sánchez-Flores, R.B.; Courtemanche, P. The Status, Policies and Outlook for Green Supply Chains in North America|Wilson Center. Available online: https://www.wilsoncenter.org/article/status-policies-and-outlook-green-supply-chains-north-america (accessed on 5 January 2025).
  19. SCFI. Official Mexican Norm NOM-163-SEMARNAT-ENER-SCFI-2013 Carbon Dioxide (CO2) Emissions from Exhaust Gases and Their Equivalent in Terms of Fuel Efficiency, Applicable to New Motor Vehicles with a Gross Vehicle Weight of up to 3857 Kilograms. Secretariat of Commerce and Industrial Development, SCFI Mexico City, Mexico. 2013. Available online: https://www.dof.gob.mx/nota_detalle.php?codigo=5303391&fecha=21/06/2013#gsc.tab=0 (accessed on 18 May 2025).
  20. Barry, M.; Tigre, M.A. February 2024 Updates to the Climate Case Charts|Sabin Center for Climate Change Law. Available online: https://climate.law.columbia.edu/news/february-2024-updates-climate-case-charts (accessed on 5 January 2025).
  21. International Trade Administration Mexico—Trade Standards. Available online: https://www.trade.gov/country-commercial-guides/mexico-trade-standards (accessed on 5 January 2025).
  22. Vela, C.; Villanueva, D.; Hurtado, M.; Dávila, C. Doing Business in Mexico 2024; Backer and Mackenzie Abogados: Mexico City, Mexico, 2024. [Google Scholar]
  23. International Trade Administration Mexico—Environmental Technologies. Available online: https://www.trade.gov/country-commercial-guides/mexico-environmental-technologies (accessed on 5 January 2025).
  24. ECIJA. Wastewater Discharges in Receiving Bodies of Mexico’s Federation: Analysis of the Legal Framework in Light of the New Obligations in 2023 and the International Context. Available online: https://ecija.com/en/sala-de-prensa/wastewater-discharges-in-receiving-bodies-of-mexicos-federation-analysis-of-the-legal-framework-in-light-of-the-new-obligations-in-2023-and-the-international-context/ (accessed on 5 January 2025).
  25. Von Wobeser y Sierra Mexican Official Standard Establishes New Permissible Limits for Pollutants in Discharges to Waters of National Jurisdiction. Available online: https://www.vonwobeser.com/index.php/publication?p_id=1712 (accessed on 5 January 2025).
  26. Foley & Lardner LLP Deadline to Comply with Requirements of Mexico’s Wastewater Disposal Standard Fast Approaching|Foley & Lardner LLP. Available online: https://www.foley.com/insights/publications/2023/02/deadline-requirements-mexico-wastewater-disposal/ (accessed on 5 January 2025).
  27. Aguilar-Aguilar, A.; de León-Martínez, L.D.; Forgionny, A.; Acelas Soto, N.Y.; Mendoza, S.R.; Zárate-Guzmán, A.I. A Systematic Review on the Current Situation of Emerging Pollutants in Mexico: A Perspective on Policies, Regulation, Detection, and Elimination in Water and Wastewater. Sci. Total Environ. 2023, 905, 167426. [Google Scholar] [CrossRef]
  28. eCFR ECFR: 40 CFR Part 133—Secondary Treatment Regulation. Available online: https://www.ecfr.gov/current/title-40/chapter-I/subchapter-D/part-133 (accessed on 9 May 2025).
  29. EUR-Lex. Directive-91/271-EN—EUR-Lex. Available online: https://eur-lex.europa.eu/eli/dir/1991/271/oj/eng (accessed on 9 May 2025).
  30. Iñiguez-Covarrubias, G.; Peraza-Luna, F. Reduction of Solids and Organic Load Concentrations in Tequila Vinasses Using a Polyacrylamide (PAM) Polymer Flocculant. Rev. Int. Contam. Ambient. 2007, 23, 17–24. [Google Scholar]
  31. Carvajal-Zarrabal, O.; Nolasco-Hipólito, C.; Barradas-Dermitz, D.M.; Hayward-Jones, P.M.; Aguilar-Uscanga, M.G.; Bujang, K. Treatment of Vinasse from Tequila Production Using Polyglutamic Acid. J. Environ. Manag. 2012, 95, S66–S70. [Google Scholar] [CrossRef] [PubMed]
  32. Gonzalez-Valerio, C.; Peregrina-Lucano, A.A.; Manríquez-González, R.; Pérez-Fonseca, A.A.; Robledo-Ortíz, J.R.; Shenderovich, I.G.; Gómez-Salazar, S. Color Compounds Removal from Tequila Vinasses Using Silica Gel Adsorbents Functionalized with Thiol Moieties: Equilibrium and Kinetics Studies. Molecules 2024, 29, 5910. [Google Scholar] [CrossRef]
  33. Díaz-Vázquez, D.; Garibay, M.V.; Fernández del Castillo, A.; Orozco-Nunnelly, D.A.; Senés-Guerrero, C.; Gradilla-Hernández, M.S. Yeast Community Composition Impacts on Tequila Industry Waste Treatment for Pollution Control and Waste-to-Product Synthesis. Front. Chem. Eng. 2022, 4, 1013873. [Google Scholar] [CrossRef]
  34. Linerio-Gil, J.E.; Guzmán-Carrillo, A. Tratamiento de Efluentes y Aprovechamiento de Residuos. In Ciencia y Tecnología del Tequila; Avances y Perspectivas; CIATEJ, Ed.; Gschaedler-Mathis A.C.: Guadalajara, Mexico, 2004. [Google Scholar]
  35. Tejeda, A.; Montoya, A.; Sulbarán-Rangel, B.; Zurita, F.; Tejeda, A.; Montoya, A.; Sulbarán-Rangel, B.; Zurita, F. Possible Pollution of Surface Water Bodies with Tequila Vinasses. Water 2023, 15, 3773. [Google Scholar] [CrossRef]
  36. Ramírez-Ramírez, A.A.; Lozano-Álvarez, J.A.; Gutiérrez-Lomelí, M.; Zurita, F. Tequila Vinasse Treatment in Two Types of Vertical Downflow Treatment Wetlands (with Emergent Vegetation and Ligninolytic Fungi). Water 2024, 16, 1778. [Google Scholar] [CrossRef]
  37. Iñiguez, C.G.; Bernal, C.J.J.; Ramírez, M.W.; Villalvazo, N.J. Recycling Agave Bagasse of the Tequila Industry. Adv. Chem. Eng. Sci. 2014, 4, 135–142. [Google Scholar] [CrossRef][Green Version]
  38. Méndez-Acosta, H.O.; García-Sandoval, J.P.; González-Álvarez, V.; Alcaraz-González, V.; Jáuregui-Jáuregui, J.A. Regulation of the Organic Pollution Level in Anaerobic Digesters by Using Off-Line COD Measurements. Bioresour. Technol. 2011, 102, 7666–7672. [Google Scholar] [CrossRef]
  39. Dias, A.S.; Carneiro, P.A.; Boloy, R.A.M.; César, A.d.S.; de Oliveira, U.R. Advancements in Vinasse Application: An Integrated Analysis of Patents, Literature and Research Profile. Clean. Eng. Technol. 2024, 22, 100795. [Google Scholar] [CrossRef]
  40. Mendiola-Rodriguez, T.A.; Ricardez-Sandoval, L.A. Integration of Design and Control for Renewable Energy Systems with an Application to Anaerobic Digestion: A Deep Deterministic Policy Gradient Framework. Energy 2023, 274, 127212. [Google Scholar] [CrossRef]
  41. Estrada-Arriaga, E.B.; Reynoso-Deloya, M.G.; Guillén-Garcés, R.A.; Falcón-Rojas, A.; García-Sánchez, L. Enhanced Methane Production and Organic Matter Removal from Tequila Vinasses by Anaerobic Digestion Assisted via Bioelectrochemical Power-to-Gas. Bioresour. Technol. 2021, 320, 124344. [Google Scholar] [CrossRef] [PubMed]
  42. Daniel Silva-Martínez, R.; Sanches-Pereira, A.; Ortiz, W.; Fernanda, M.; Galindo, G.; Coelho, S.T. The State-of-the-Art of Organic Waste to Energy in Latin America and the Caribbean: Challenges and Opportunities. Renew. Energy 2020, 156, 509–525. [Google Scholar] [CrossRef]
  43. García-Depraect, O.; Diaz-Cruces, V.F.; León-Becerril, E. Upgrading of Anaerobic Digestion of Tequila Vinasse by Using an Innovative Two-Stage System with Dominant Lactate-Type Fermentation in Acidogenesis. Fuel 2020, 280, 118606. [Google Scholar] [CrossRef]
  44. García-Depraect, O.; Osuna-Laveaga, D.R.; León-Becerril, E. A Comprehensive Overview of the Potential of Tequila Industry By-Products for Biohydrogen and Biomethane Production: Current Status and Future Perspectives. In New Advances on Fermentation Processes; Intechopen: London, UK, 2020. [Google Scholar]
  45. Mahmoudabadi, Z.S.; Rashidi, A.; Maklavany, D.M. Optimizing Treatment of Alcohol Vinasse Using a Combination of Advanced Oxidation with Porous α-Fe2O3 Nanoparticles and Coagulation-Flocculation. Ecotoxicol. Environ. Saf. 2022, 234, 113354. [Google Scholar] [CrossRef]
  46. Rodríguez-Romero, J.d.J.; Aceves-Lara, C.A.; Silva, C.F.; Gschaedler, A.; Amaya-Delgado, L.; Arrizon, J. 2-Phenylethanol and 2-Phenylethylacetate Production by Nonconventional Yeasts Using Tequila Vinasses as a Substrate. Biotechnol. Rep. 2020, 25, e00420. [Google Scholar] [CrossRef]
  47. Sustainability—Consejo Regulador Del Tequila—Autenticidad y Calidad Certificada. Available online: https://www.crt.org.mx/en/sustainability/ (accessed on 5 January 2025).
  48. Rodriguez Arreola, A.; Sanchez Tizapa, M.; Zurita, F.; Morán-Lázaro, J.P.; Valderrama, R.C.; Rodríguez-López, J.L.; Carreon-Alvarez, A. Treatment of Tequila Vinasse and Elimination of Phenol by Coagulation–Flocculation Process Coupled with Heterogeneous Photocatalysis Using Titanium Dioxide Nanoparticles. Environ. Technol. 2018, 41, 1023–1033. [Google Scholar] [CrossRef] [PubMed]
  49. Ferral-Pérez, H.; Torres Bustillos, L.G.; Méndez, H.; Rodríguez-Santillan, J.L.; Chairez, I. Sequential Treatment of Tequila Industry Vinasses by Biopolymer-Based Coagulation/Flocculation and Catalytic Ozonation. Ozone Sci. Eng. 2016, 38, 279–290. [Google Scholar] [CrossRef]
  50. Zurita, F.; Tejeda, A.; Ramirez-Ramirez, A.; Montoya, A. Integration of Coagulation–Flocculation(with Natural Coagulant) to Constructed Wetlands for Color Removal from Tequila Vinasses. Water 2024, 16, 3151. [Google Scholar] [CrossRef]
  51. Castillo-Monroy, J.; Godínez, L.A.; Robles, I.; Estrada-Vargas, A. Study of a Coupled Adsorption/Electro-Oxidation Process as a Tertiary Treatment for Tequila Industry Wastewater. Environ. Sci. Pollut. Res. 2020, 28, 23699–23706. [Google Scholar] [CrossRef]
  52. IIEG. Arandas Diagnóstico Del Municipio; Instituto de Información Estadística y Geográfica del Estado de Jalisco (IIEG): Zapopan, Mexico, 2019; pp. 1–37. [Google Scholar]
  53. EPA. How EPA Regulates Drinking Water Contaminants. Available online: https://www.epa.gov/sdwa/how-epa-regulates-drinking-water-contaminants (accessed on 23 February 2025).
  54. EPA. Secondary Drinking Water Standards: Guidance for Nuisance Chemicals. Available online: https://www.epa.gov/sdwa/secondary-drinking-water-standards-guidance-nuisance-chemicals (accessed on 23 February 2025).
  55. NYC Environmental Protection. New York City 2018 Drinking Water Supply and Quality Report; New York City Environmental Protection: New York, NY, USA, 2018. [Google Scholar]
  56. FDA. FDA Regulation of Cosmetics and Personal Care Products; Food and Drug Administration: Silver Spring, MD, USA, 2012. [Google Scholar]
  57. Jiménez López, J.E. Remoción de Contaminantes Refractarios de Las Vinazas Tequileras Por Electrocoagulación. Master’s Thesis, Benemérita Universidad Autónoma de Puebla, Puebla, Mexico, 2016. [Google Scholar]
  58. Karmankar, S.B.; Sharma, A.; Ahirwar, R.C.; Mehra, S.; Pal, D.; Prajapati, A.K. Cost Cutting Approach of Distillery Effluent Treatment Using Solar Photovoltaic Cell Driven Electrocoagulation: Comparison with Conventional Electrocoagulation. J. Water Process Eng. 2023, 54, 103982. [Google Scholar] [CrossRef]
  59. Medina Collana, J.T.; Ayllon Ormeño, M.; Julca Meza, C.; Moreyra Cuadros, G.; Carrasco Venegas, L.A.; Ancieta Dextre, C.A.; Rodríguez Taranco, O.J.; Avelino Carhuaricra, C.; Diaz Bravo, P.; Montaño Pisfil, J.A. Processes Coupled to Electrocoagulation for the Treatment of Distillery Wastewaters. Sustainability 2024, 16, 6383. [Google Scholar] [CrossRef]
  60. Montaño Saavedra, M.D.; Cárdenas Concha, V.O.; Bastos, R.G. Electrocoagulation Treatment of Sugarcane Vinasse: Operating Parameters and Cost Analysis by Response Surface Methodology. J. Clean. Prod. 2024, 448, 141597. [Google Scholar] [CrossRef]
  61. Dubey, S.; Joshi, A.; Parmar, N.; Rekhate, C.; Amitesh; Prajapati, A.K. Process Optimization of Electrocoagulation Reactor for Treatment of Distillery Effluent Using Aluminium Electrode: Response Surface Methodology Approach. Chem. Data Collect. 2023, 45, 101023. [Google Scholar] [CrossRef]
  62. Prajapati, A.K.; Chaudhari, P.K. Physicochemical Treatment of Distillery Wastewater—A Review. Chem. Eng. Commun. 2015, 202, 1098–1117. [Google Scholar] [CrossRef]
  63. Khandegar, V.; Saroha, A.K. Electrochemical Treatment of Distillery Spent Wash Using Aluminum and Iron Electrodes. Chin. J. Chem. Eng. 2012, 20, 439–443. [Google Scholar] [CrossRef]
  64. Alizadeh, R.; Farhadi, K.; Ghaneian, M.T.; Ehrampoush, M.H.; Jambarsang, S.; Salmani, M.H.; Kokya, T.A. Development of Circulating Electrocoagulation as a Novel Technique for the Treatment of Raw Vinasse Effluents of Ethanol Production Industries. Anal. Bioanal. Chem. Res. 2023, 10, 319–327. [Google Scholar] [CrossRef]
  65. Syaichurrozi, I.; Sarto, S.; Sediawan, W.B.; Hidayat, M. Mechanistic Models of Electrocoagulation Kinetics of Pollutant Removal in Vinasse Waste: Effect of Voltage. J. Water Process Eng. 2020, 36, 101312. [Google Scholar] [CrossRef]
  66. Syaichurrozi, I.; Sarto, S.; Sediawan, W.B.; Hidayat, M. Experiment and Kinetic Analysis of the Effect of Agitation Speed on Electrocoagulation Process for the Treatment of Vinasse. J. Water Process Eng. 2022, 50, 103144. [Google Scholar] [CrossRef]
  67. David, C.; Thangavelu, A. Degradation of Distillery Effluent by Twisted-Type Iron Electrodes: Experimental with ANN Approach. Int. J. Environ. Anal. Chem. 2022, 102, 6121–6133. [Google Scholar] [CrossRef]
  68. Prajapati, A.K.; Chaudhari, P.K. Electrochemical Treatment of Rice Grain-Based Distillery Effluent: Chemical Oxygen Demand and Colour Removal. Environ. Technol. 2014, 35, 242–249. [Google Scholar] [CrossRef]
  69. Syaichurrozi, I.; Sarto, S.; Sediawan, W.B.; Hidayat, M. Mechanistic Model of Electrocoagulation Process for Treating Vinasse Waste: Effect of Initial PH. J. Environ. Chem. Eng. 2020, 8, 103756. [Google Scholar] [CrossRef]
  70. AWWA. 4500-H+ PH—Standard Methods For the Examination of Water and Wastewater; American Water Works Association AWWA: Washington, DC, USA; Available online: https://www.standardmethods.org/doi/10.2105/SMWW.2882.082 (accessed on 17 May 2025).
  71. EPA. Method 410.4, Revision 2.0: The Determination of Chemical Oxygen Demand by SemiAutomated Colorimetry; Environmental Protection Agency EPA: Cincinnati, OH, USA, 1993. Available online: https://www.epa.gov/sites/default/files/2015-08/documents/method_410-4_1993.pdf (accessed on 17 May 2025).
  72. AWWA. Total Dissolved Solids and Electrical Conductivity: Standard Method for the Examination of Water and Wastewater 2510 Conductivity 2510 Conductivity In: Standard Methods For the Examination of Water and Wastewater; American Water Works Association AWWA: Washington, DC, USA, 2017; Available online: https://www.standardmethods.org/doi/10.2105/SMWW.2882.027 (accessed on 17 May 2025).
  73. ISO 7887:2011; Water Quality—Examination and Determination of Colour. International Standard Organization ISO, Vernier: Geneva, Switzerland, 2011. Available online: https://www.iso.org/standard/46425.html (accessed on 17 May 2025).
  74. AWWA. Turbidity: Standard Method for the Examination of Water and Wastewater 2130 Turbidity; American Water Works Association AWWA: Washington, DC, USA, 2017; Available online: https://www.standardmethods.org/doi/10.2105/SMWW.2882.018 (accessed on 17 May 2025).
Figure 1. Electrocoagulation set used.
Figure 1. Electrocoagulation set used.
Processes 13 01637 g001
Figure 2. COD vs. voltage with 2 h treatment.
Figure 2. COD vs. voltage with 2 h treatment.
Processes 13 01637 g002
Figure 3. Voltage effect for 2 h treatments. From left to right: pretreated vinasses, 1 V, 2 V, 3 V, 4 V, 5 V, 6 V, and pure water.
Figure 3. Voltage effect for 2 h treatments. From left to right: pretreated vinasses, 1 V, 2 V, 3 V, 4 V, 5 V, 6 V, and pure water.
Processes 13 01637 g003
Figure 4. pH vs. voltage with 2 h treatment.
Figure 4. pH vs. voltage with 2 h treatment.
Processes 13 01637 g004
Figure 5. EC vs. voltage with 2 h treatment.
Figure 5. EC vs. voltage with 2 h treatment.
Processes 13 01637 g005
Figure 6. TDS vs. voltage with 2 h treatment.
Figure 6. TDS vs. voltage with 2 h treatment.
Processes 13 01637 g006
Figure 7. Turbidity vs. voltage with 2 h treatment.
Figure 7. Turbidity vs. voltage with 2 h treatment.
Processes 13 01637 g007
Figure 8. SAC λ 436 nm vs. voltage with 2 h treatment.
Figure 8. SAC λ 436 nm vs. voltage with 2 h treatment.
Processes 13 01637 g008
Figure 9. SAC λ 525 nm vs. voltage with 2 h treatment.
Figure 9. SAC λ 525 nm vs. voltage with 2 h treatment.
Processes 13 01637 g009
Figure 10. SAC λ 620 nm vs. voltage with 2 h treatment.
Figure 10. SAC λ 620 nm vs. voltage with 2 h treatment.
Processes 13 01637 g010
Figure 11. COD vs. time with 5-volt treatment.
Figure 11. COD vs. time with 5-volt treatment.
Processes 13 01637 g011
Figure 12. Time effect for 5 V treatments. From left to right: pretreated vinasses, 1 h, 2 h, 3 h, 4 h, 5 h, 6 h, and pure water.
Figure 12. Time effect for 5 V treatments. From left to right: pretreated vinasses, 1 h, 2 h, 3 h, 4 h, 5 h, 6 h, and pure water.
Processes 13 01637 g012
Figure 13. pH vs. time with 5-volt treatment.
Figure 13. pH vs. time with 5-volt treatment.
Processes 13 01637 g013
Figure 14. EC vs. time with 5-volt treatment.
Figure 14. EC vs. time with 5-volt treatment.
Processes 13 01637 g014
Figure 15. TDS vs. time with 5-volt treatment.
Figure 15. TDS vs. time with 5-volt treatment.
Processes 13 01637 g015
Figure 16. Turbidity vs. time with 5-volt treatment.
Figure 16. Turbidity vs. time with 5-volt treatment.
Processes 13 01637 g016
Figure 17. SAC λ 436 nm color vs. time with 5-volt treatment.
Figure 17. SAC λ 436 nm color vs. time with 5-volt treatment.
Processes 13 01637 g017
Figure 18. SAC λ 525 nm vs. time with 5-volt treatment.
Figure 18. SAC λ 525 nm vs. time with 5-volt treatment.
Processes 13 01637 g018
Figure 19. SAC λ 620 nm vs. time with 5-volt treatment.
Figure 19. SAC λ 620 nm vs. time with 5-volt treatment.
Processes 13 01637 g019
Figure 20. Second-order kinetic model analysis.
Figure 20. Second-order kinetic model analysis.
Processes 13 01637 g020
Figure 21. Sludge volume yield after two hours of treatment with variable voltage. From left to right: 6 V, 5 V, 4 V, 3 V, 2 V, and 1 V.
Figure 21. Sludge volume yield after two hours of treatment with variable voltage. From left to right: 6 V, 5 V, 4 V, 3 V, 2 V, and 1 V.
Processes 13 01637 g021
Table 1. Tequila vinasse characterization.
Table 1. Tequila vinasse characterization.
ParameterValue 1 [7]Value 2 [9]
pH3.4–4.53.6–4.6
Total COD (mg/L)60,000–100,00041,740–67,970
Total BOD (mg/L)35,000–60,00016,162–35,102
Total dissolved solids (mg/L)23,000–42,0004550–6750
Table 2. Changes in Mexican norm NOM-001-SEMARNAT-2021.
Table 2. Changes in Mexican norm NOM-001-SEMARNAT-2021.
ParametersUnitNOM-001-SEMARNAT-1996
MPL
NOM-001-SEMARNAT-2021
MPL
Temperature 40 °C35 °C
Biological Oxygen Demand (BOD5) mg/L30–150Deletion
Oils and Fatsmg/L1515
Settleable Solids mL/L1Deletion
Total Suspended Solidsmg/L40–15020–60
Floating Matter AbsentDeletion
Chemical Oxygen Demand (COD)mg/LNot required100–150
Total Organic Carbonmg/LNot required25–38
Total Nitrogenmg/L15–4015–25
Total Phosphorousmg/L5–205–15
pH 5–106–9
True ColorSACNot required436 nm/7.0 m−1 max
525 nm/5.0 m−1 max
620 nm/3.0 m−1 max
Acute Toxicity UTNot required2 (15 min exposure)
Arsenic mg/L0.1–0.20.1–0.2
Cadmiummg/L0.1–0.20.1–0.2
Cyanidesmg/L1.0–2.01.0
Coppermg/L4.04.0
Chromemg/L0.5–1.00.5–1.0
Mercurymg/L0.005–0.010.005–0.01
Nickelmg/L2.02.0
Leadmg/L0.2–0.50.2
Zincmg/L10.010.0
Table 3. Tequila vinasses first-stage treatment technologies.
Table 3. Tequila vinasses first-stage treatment technologies.
TreatmentAdvantagesDisadvantages
Neutralization4–6 g/L CaCO3
Complies with requirement of pH levels of 6.5–8.0
Neutralization or pH adjustment must be performed after each treatment phase
Sedimentation Ponds>80% sedimented solids removalOrganic matter concentration remains above 90%. Improper preparation leads to soil and subsoil pollution
Sedimentation Pools>80% sedimented solids removalOrganic matter concentration remains above 90%
Dissolved Air Flocculation (DAF)>80% sedimented solids removalDissolved solids and biological oxygen demand have not decreased significantly
Coagulation–Flocculation5 mg/L Al2(SO)4 + 1.5 mg polymer
20–30% suspended solids and colloidal solids removal
Low chemical and biological oxygen demands reached
Table 4. Tequila vinasses second-stage treatment technologies.
Table 4. Tequila vinasses second-stage treatment technologies.
TreatmentType of ReactorCOD Removal
AnaerobicUASB reactor70–85%
Anaerobic filter65%
UASB reactor + anaerobic filter50–70%
UASB without recirculation36%
UASB with recirculation74%
Fluidized bed70%
CSTR (batch or continuous)90–95%
AerobicActivated sludge5–10%
Extended aeration5–10%
Aeration pools/ponds5–10%
SBR5–10%
Table 5. Previous works on electrocoagulation of vinasses.
Table 5. Previous works on electrocoagulation of vinasses.
TreatmentElectrode MaterialInitial
Condition
Highest
Removal
Surface Electric Current
A/m2
Specific Energy Consumption
kWh/m3
Ref.
Pretreated
tequila vinasses
pH: 5
40 °C
180 min
No stirring
AlCOD
304 mg/L
94.41%148.5718.75[57]
Sugarcane
vinasse
3 h
430 rpm
AlTDS: 6810 ± 840 mg/L;
TSS: 5200 ± 300 mg/L
TDS:
20%
TSS:
96%
6113.5[60]
Distillery
effluent
93 min
pH: 3.5–9.5
AlCOD:
5.15 g/L
COD:
85.1%
135NA[61]
Distillery wastewater
0–30 V
1.5 L
2 h
0–5 A
AlCOD:
13.8 g/L
COD:
93%
89.331.4[68]
Distillery spent wash
300 mL
2 h
pH: 3
500 rpm
Al-Al
Al-Fe
Fe-Fe
COD:
120 g/L
COD:
Al-Al: 73.3%
Al-Fe: 60%
Fe-Fe: 46.6%
1870NA[63]
Vinasse
effluents
1 A
pH: 7
45 min
Al-FeCOD:
46,550 mg/L
COD:
80.8%
167NA[64]
Vinasse waste from the bioethanol industry
0, 250, 500 rpm T 301.65°K
pH: 4.1
12.6, 12.3, 12.4 V
Volume: 1 L
FeCOD:
113.70 g/L
67.62%NANA[66]
Vinasse
residues
12.5 V
200 rpm
pH: 6
105–110 °C
6 h
FeCOD: 100.16 g/L51.67%1021.41264.75[65]
Distillery wastewater
pH: 6
2.98 A
10 V
Time: 1 h
200 rpm
FeCOD:
100.16 g/L
COD:
13.96%
1045.629.8[69]
Distillery
Effluent
100 rpm;
Time: 2 h
pH: 3–9
0.5, 1, 1.5, 1.9 A
FeCOD:
140 g/L
Color:
83.75%
NANA[67]
SS: stainless steel; TSS: total suspended solids; TDS: total dissolved solids; COD: chemical oxygen demand; NA: not available; Ref: reference.
Table 6. Third-stage pretreated tequila vinasses characterization.
Table 6. Third-stage pretreated tequila vinasses characterization.
ParameterUnitsNormResult
pH[-]6.5–8.07.81
CODmg/L<150814
TDSmg/L 3.577
Electrical
conductivity
mS/cm 7.299
Color
Abs 436 nmm−17.034.7
Abs 525 nmm−15.010.4
Abs 620 nmm−13.03.7
Table 7. Electrical current density for reported data.
Table 7. Electrical current density for reported data.
VoltageInitial Electrical Current, AmpFinal Electrical Current, AmpElectrical Current Density, Amp/m2
VI1I2ECD
10.020.0210.2
20.060.0630.6
30.080.0840.9
40.140.1471.5
50.160.1579.2
60.180.1789.4
Table 8. COD removal results with 2 h treatment and variable voltage.
Table 8. COD removal results with 2 h treatment and variable voltage.
COD, mg/L
Voltage, VR1R2R3
0814814814
1594553614
2489415365
3367410318
4331268355
5247303277
6227242235
Table 9. pH results with 2 h treatment and variable voltage.
Table 9. pH results with 2 h treatment and variable voltage.
pH
Voltage, VR1R2R3
07.817.817.81
17.357.307.10
27.436.527.29
36.546.616.49
46.326.215.89
54.995.285.3
64.464.685.32
Table 10. EC results with 2 h treatment and variable voltage.
Table 10. EC results with 2 h treatment and variable voltage.
EC, mS/cm
Voltage, VR1R2R3
07.2997.2997.299
17.1306.9337.208
27.4597.1746.631
36.6287.2486.879
47.1176.2586.498
55.6496.6666.145
66.4636.7936.051
Table 11. TDS results with 2 h treatment and variable voltage.
Table 11. TDS results with 2 h treatment and variable voltage.
TDS, mg/L
Voltage, VR1R2R3
03.5773.5773.577
13.4913.3973.532
23.6873.5163.25
33.2483.5523.371
43.4883.0733.185
52.8693.2653.011
63.1673.3292.965
Table 12. Turbidity results with 2 h treatment and variable voltage.
Table 12. Turbidity results with 2 h treatment and variable voltage.
Turbidity, NTU
Voltage, VR1R2R3
01.501.501.50
11.411.171.42
21.031.051.04
30.940.960.94
40.800.720.82
50.790.670.78
60.750.620.62
Table 13. SAC λ 436 nm with 2 h treatment and variable voltage.
Table 13. SAC λ 436 nm with 2 h treatment and variable voltage.
SAC λ 436 nm, m−1
Voltage, VR1R2R3
034.734.734.7
124.425.621.2
211.29.66.3
36.97.55.1
44.64.73.9
54.43.24.5
64.43.13.8
Table 14. SAC λ 525 nm with 2 h treatment and variable voltage.
Table 14. SAC λ 525 nm with 2 h treatment and variable voltage.
SAC λ 525 nm, m−1
Voltage, VR1R2R3
010.410.410.4
15.44.55.2
22.82.63.0
32.32.42.0
41.81.72.2
51.01.52.0
62.01.81.3
Table 15. SAC λ 620 nm with 2 h treatment and variable voltage.
Table 15. SAC λ 620 nm with 2 h treatment and variable voltage.
SAC λ 620 nm, m−1
Voltage, VR1R2R3
010.410.410.4
15.44.55.2
22.82.63
32.32.42
41.81.72.2
511.52
621.81.3
Table 16. COD removal results with 5-volt treatment and variable time.
Table 16. COD removal results with 5-volt treatment and variable time.
COD, mg/L
Time, hR1R2R3
0814814814
1381266336
2247303277
3214178210
4170193163
5135158139
6117129107
Table 17. pH results with 5-volt treatment and variable time.
Table 17. pH results with 5-volt treatment and variable time.
pH
Time, hR1R2R3
07.817.817.81
16.526.186.28
26.326.215.89
35.695.765.30
45.105.665.49
54.544.174.80
63.763.523.33
Table 18. EC results with 5-volt treatment and variable time.
Table 18. EC results with 5-volt treatment and variable time.
EC, mS/cm
Time, hR1R2R3
07.2997.2997.299
16.4366.4576.623
25.6496.6666.145
35.3786.1286.014
46.4896.2906.302
55.6786.0255.509
65.7835.8505.698
Table 19. TDS results with 5-volt treatment and variable time.
Table 19. TDS results with 5-volt treatment and variable time.
TDS, mg/L
Time, hR1R2R3
03.5773.5773.577
13.1743.2063.246
22.8693.2653.011
32.6583.0032.971
43.1803.0833.089
52.7872.9532.734
62.8782.8672.793
Table 20. Turbidity results with 5-volt treatment and variable time.
Table 20. Turbidity results with 5-volt treatment and variable time.
Turbidity, NTU
Time, hR1R2R3
01.501.501.50
11.211.211.25
20.790.670.79
30.600.560.56
40.560.570.52
50.470.390.43
60.360.390.38
Table 21. SAC λ 436 nm with 5-volt treatment and variable time.
Table 21. SAC λ 436 nm with 5-volt treatment and variable time.
SAC λ 436 nm, m−1
Time, hR1R2R3
034.734.734.7
14.74.65.4
24.43.24.5
33.84.04.1
43.64.23.9
52.72.53.3
62.31.92.7
Table 22. SAC λ 525 nm with 5-volt treatment and variable time.
Table 22. SAC λ 525 nm with 5-volt treatment and variable time.
SAC λ 525 nm, m−1
Time, hR1R2R3
010.410.410.4
12.31.84.4
21.01.52.0
31.92.01.9
41.71.91.8
51.20.91.0
61.51.52.1
Table 23. SAC λ 620 nm with 5-volt treatment and variable time.
Table 23. SAC λ 620 nm with 5-volt treatment and variable time.
SAC λ 620 nm, m−1
Time, hR1R2R3
03.73.73.7
11.21.11.6
21.10.91.0
31.21.11.1
40.91.31.0
51.21.41.4
61.30.81.2
Table 24. Economic analysis of proposed treatment.
Table 24. Economic analysis of proposed treatment.
ParameterData
Optimal laboratory conditions
Sample volume0.2 L
Average electric current0.155 A
Voltage5 V
Treatment time6 h
Calculated power0.775 W
Electrode surface19.58 cm2
Initial COD814 mg/L
Average final COD 118 mg/L
Anode consumption0.1118 g/h
0.1442 kg/kWh
Data for industrial applications
Surface electric current79.16 A/m2
Unitary energy consumption3.775 kWh/m3
Specific energy consumption33.31 kWh/kg COD
Theoretical electrode consumption4.84 kg/m3
Faraday efficiency0.51
Energy cost0.21 USD/KWh
0.79 USD/m3
Anode consumption0.1442 kg/KWh
0.544 kg/m3
Anode cost1.05 USD/kg
0.57 USD/m3
Treatment cost1.36 USD/m3
Table 25. Sludge volume yield with 2 h treatment and variable voltage.
Table 25. Sludge volume yield with 2 h treatment and variable voltage.
VoltageReplicateFiltered Volume, mLSludge Percentage
1R1183.728.86%
R2188.686.00%
R3189.905.32%
2R1178.8311.84%
R2176.2313.49%
R3174.5614.57%
3R1162.6422.97%
R2169.1218.26%
R3170.0817.59%
4R1157.1927.23%
R2155.3128.77%
R3155.6928.46%
5R1153.1730.57%
R2151.1132.35%
R3155.0129.02%
6R1146.6836.35%
R2149.2933.97%
R3150.1633.19%
Disclaimer/Publisher’s Note: The statements, opinions and data contained in all publications are solely those of the individual author(s) and contributor(s) and not of MDPI and/or the editor(s). MDPI and/or the editor(s) disclaim responsibility for any injury to people or property resulting from any ideas, methods, instructions or products referred to in the content.

Share and Cite

MDPI and ACS Style

González Pérez, R.; Fajardo Montiel, A.L.; Martínez Orozco, E.; Santiago Olivares, N.; Nápoles Armenta, J.; García Gómez, C. Electrocoagulation with Fe-SS Electrodes as a Fourth Stage of Tequila Vinasses Treatment for COD and Color Removal. Processes 2025, 13, 1637. https://doi.org/10.3390/pr13061637

AMA Style

González Pérez R, Fajardo Montiel AL, Martínez Orozco E, Santiago Olivares N, Nápoles Armenta J, García Gómez C. Electrocoagulation with Fe-SS Electrodes as a Fourth Stage of Tequila Vinasses Treatment for COD and Color Removal. Processes. 2025; 13(6):1637. https://doi.org/10.3390/pr13061637

Chicago/Turabian Style

González Pérez, Rafael, Aída Lucía Fajardo Montiel, Edgardo Martínez Orozco, Norberto Santiago Olivares, Juan Nápoles Armenta, and Celestino García Gómez. 2025. "Electrocoagulation with Fe-SS Electrodes as a Fourth Stage of Tequila Vinasses Treatment for COD and Color Removal" Processes 13, no. 6: 1637. https://doi.org/10.3390/pr13061637

APA Style

González Pérez, R., Fajardo Montiel, A. L., Martínez Orozco, E., Santiago Olivares, N., Nápoles Armenta, J., & García Gómez, C. (2025). Electrocoagulation with Fe-SS Electrodes as a Fourth Stage of Tequila Vinasses Treatment for COD and Color Removal. Processes, 13(6), 1637. https://doi.org/10.3390/pr13061637

Note that from the first issue of 2016, this journal uses article numbers instead of page numbers. See further details here.

Article Metrics

Back to TopTop