Enhanced Cadmium Adsorption Mechanisms Utilizing Biochar Derived from Different Parts of Wetland Emergent Plants Iris sibirica L.
Abstract
1. Introduction
2. Materials and Methods
2.1. Feedstock Collection and Biochar Preparation
2.2. Experiments
2.3. Kinetics Analysis
2.4. Isothermal Equilibrium Analysis
2.5. Contribution of Cd2+ Adsorption
2.6. Characterization of Biochar
2.7. The Yield, pH, Zeta Potential, and Ash Content of Biochar
3. Results and Discussions
3.1. Characterization of Biochars from Wetland Emergent Plants Iris sibirica L.
3.2. Adsorption Fitting of Cd2+ by Biochars
3.2.1. Effect of Initial Heavy-Metal Concentration and Electrolyte Concentration on Adsorption
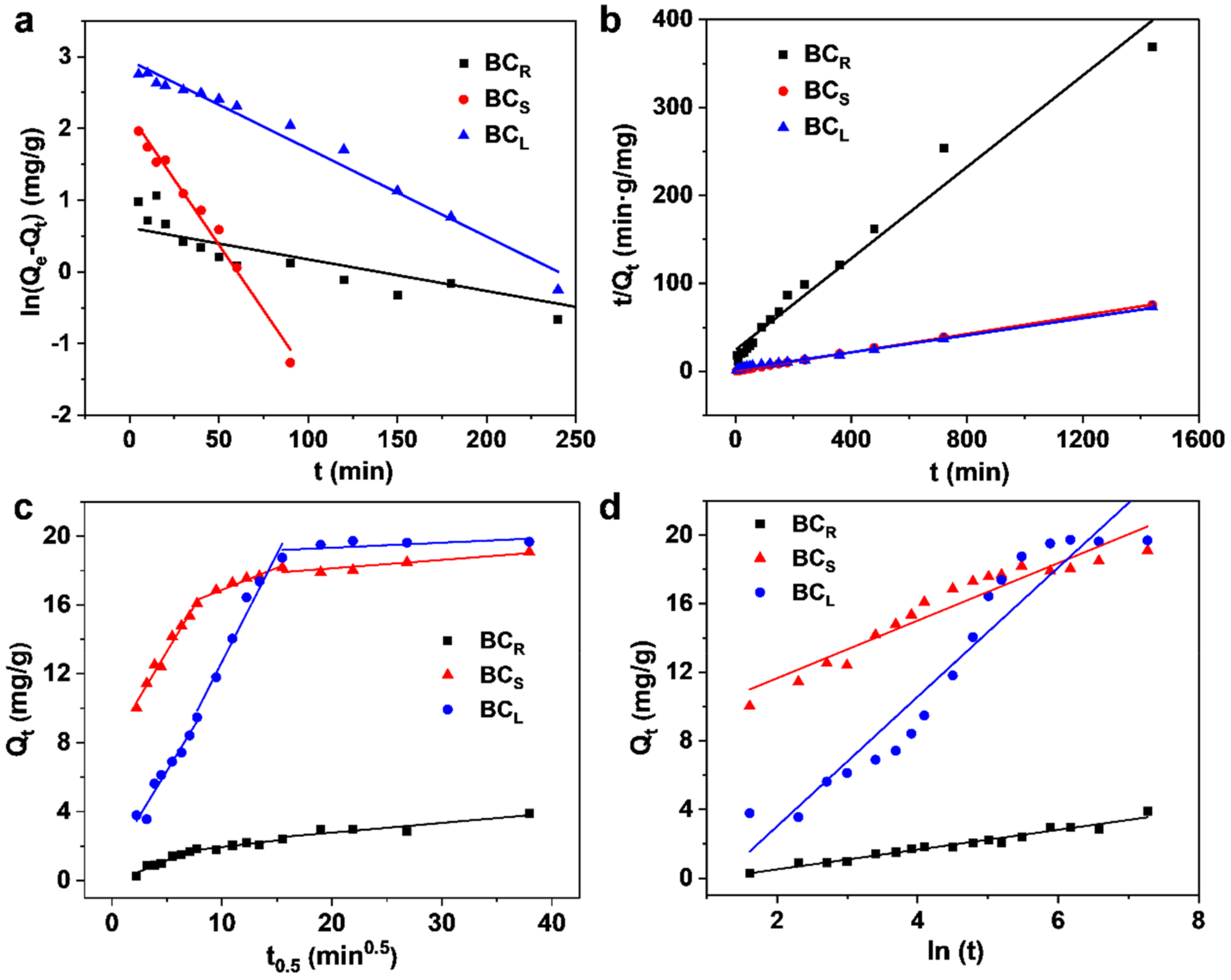
3.2.2. Study on the Kinetics of Cd2+ Adsorption by Biochar
3.2.3. Study on Isothermal Equilibrium Cd2+ Adsorption by Biochar
3.3. Research on the Mechanism of Biochar Adsorption to Cd2+
3.3.1. The Influence of Elution Treatments on the Adsorption Effect
3.3.2. Contribution of Cd2+ Adsorption Mechanism
3.4. Evaluation
3.5. Investigation of Desorption and Recycling Process
4. Conclusions
Supplementary Materials
Author Contributions
Funding
Data Availability Statement
Conflicts of Interest
References
- Clabeaux, B.L.; Navarro, D.A.; Aga, D.S.; Bisson, M.A. Combined effects of cadmium and zinc on growth, tolerance, and metal accumulation in Chara australis and enhanced phytoextraction using EDTA. Ecotoxicol. Environ. Saf. 2013, 98, 236–243. [Google Scholar] [CrossRef]
- Chen, Q.Y.; DesMarais, T.; Costa, M. Metals and mechanisms of carcinogenesis. Annu. Rev. Pharmacool. Toxicol. 2019, 59, 537–554. [Google Scholar] [CrossRef]
- Liu, S.; Ali, S.; Yang, R.; Tao, J.; Ren, B. A newly discovered Cd-hyperaccumulator Lantana camara L. J. Hazard. Mater. 2019, 371, 233–242. [Google Scholar] [CrossRef]
- Zhu, Y.; Wang, H.; Lv, X.; Zhang, Y.; Wang, W. Effects of biochar and biofertilizer on cadmium-contaminated cotton growth and the antioxidative defense system. Sci. Rep. 2020, 10, 20112. [Google Scholar] [CrossRef]
- Liu, C.; Guo, B.; Li, H.; Fu, Q.; Li, N.; Lin, Y.; Xu, G. Azolla incorporation under flooding reduces grain cadmium accumulation by decreasing soil redox potential. Sci. Rep. 2021, 11, 6325. [Google Scholar] [CrossRef]
- Liu, X.; Yin, L.; Deng, X.; Gong, D.; Du, S.; Wang, S.; Zhang, Z. Combined application of silicon and nitric oxide jointly alleviated cadmium accumulation and toxicity in maize. J. Hazard. Mater. 2020, 395, 122679. [Google Scholar] [CrossRef]
- Yap, M.W.; Mubarak, N.M.; Sahu, J.N.; Abdullah, E.C. Microwave induced synthesis of magnetic biochar from agricultural biomass for removal of lead and cadmium from wastewater. J. Ind. Eng. Chem. 2017, 45, 287–295. [Google Scholar] [CrossRef]
- Park, J.-H.; Ok, Y.S.; Kim, S.-H.; Cho, J.-S.; Heo, J.-S.; Delaune, R.D.; Seo, D.-C. Competitive adsorption of heavy metals onto sesame straw biochar in aqueous solutions. Chemosphere 2016, 142, 77–83. [Google Scholar] [CrossRef]
- Sebastian, A.; Nangia, A.; Prasad, M. Cadmium and sodium adsorption properties of magnetite nanoparticles synthesized from Hevea brasiliensis Muell. Arg. bark: Relevance in amelioration of metal stress in rice. J. Hazard. Mater. 2019, 371, 261–272. [Google Scholar] [CrossRef]
- Tan, X.-F.; Liu, Y.-G.; Gu, Y.-L.; Xu, Y.; Zeng, G.-M.; Hu, X.-J.; Liu, S.-B.; Wang, X.; Liu, S.-M.; Li, J. Biochar-based nano-composites for the decontamination of wastewater: A review. Bioresour. Technol. 2016, 212, 318–333. [Google Scholar] [CrossRef]
- Rutigliano, F.A.; Romano, M.; Marzaioli, R.; Baglivo, I.; Baronti, S.; Miglietta, F.; Castaldi, S. Effect of biochar addition on soil microbial community in a wheat crop. Eur. J. Soil Biol. 2014, 60, 9–15. [Google Scholar] [CrossRef]
- Wang, S.S.; Gao, B.; Zimmerman, A.R.; Li, Y.C.; Ma, L.N.; Harris, W.G.; Migliaccio, K.W. Physicochemical and sorptive properties of biochars derived from woody and herbaceous biomass. Chemosphere 2015, 134, 257–262. [Google Scholar] [CrossRef]
- Ahmad, M.; Lee, S.S.; Dou, X.; Mohan, D.; Sung, J.-K.; Yang, J.E.; Ok, Y.S. Effects of pyrolysis temperature on soybean stover- and peanut shell-derived biochar properties and TCE adsorption in water. Bioresour. Technol. 2012, 118, 536–544. [Google Scholar] [CrossRef]
- Lo, S.-F.; Wang, S.-Y.; Tsai, M.-J.; Lin, L.-D. Adsorption capacity and removal efficiency of heavy metal ions by Moso and Ma bamboo activated carbons. Chem. Eng. Res. Des. 2012, 90, 1397–1406. [Google Scholar] [CrossRef]
- Li, Z.; Qi, X.; Fan, X.; Du, Z.; Hu, C.; Zhao, Z.; Isa, Y.; Liu, Y. Amending the seedling bed of eggplant with biochar can further immobilize Cd in contaminated soils. Sci. Total Environ. 2016, 572, 626–633. [Google Scholar] [CrossRef]
- Cheng, Q.; Huang, Q.; Khan, S.; Liu, Y.; Liao, Z.; Li, G.; Ok, Y.S. Adsorption of Cd by peanut husks and peanut husk biochar from aqueous solutions. Ecol. Eng. 2016, 87, 240–245. [Google Scholar] [CrossRef]
- Cui, X.Q.; Fang, S.Y.; Yao, Y.Q.; Li, T.Q.; Ni, Q.J.; Yang, X.E.; He, Z.L. Potential mechanisms of cadmium removal from aqueous solution by Canna indica derived biochar. Sci. Total Environ. 2016, 562, 517–525. [Google Scholar] [CrossRef]
- Kim, W.-K.; Shim, T.; Kim, Y.-S.; Hyun, S.; Ryu, C.; Park, Y.-K.; Jung, J. Characterization of cadmium removal from aqueous solution by biochar produced from a giant Miscanthus at different pyrolytic temperatures. Bioresour. Technol. 2013, 138, 266–270. [Google Scholar] [CrossRef]
- Ahmad, M.; Rajapaksha, A.U.; Lim, J.E.; Zhang, M.; Bolan, N.; Mohan, D.; Vithanage, M.; Lee, S.S.; Ok, Y.S. Biochar as a sorbent for contaminant management in soil and water: A review. Chemosphere 2014, 99, 19–33. [Google Scholar] [CrossRef]
- Sun, J.; Lian, F.; Liu, Z.; Zhu, L.; Song, Z. Biochars derived from various crop straws: Characterization and Cd (II) removal potential. Ecotoxicol. Environ. Saf. 2014, 106, 226–231. [Google Scholar] [CrossRef]
- Cao, X.; Ma, L.; Gao, B.; Harris, W. Dairy-manure derived biochar effectively sorbs lead and atrazine. Environ. Sci. Technol. 2009, 43, 3285–3291. [Google Scholar] [CrossRef]
- Sewu, D.D.; Boakye, P.; Woo, S.H. Highly efficient adsorption of cationic dye by biochar produced with Korean cabbage waste. Bioresour. Technol. 2017, 224, 206–213. [Google Scholar] [CrossRef]
- Wang, Z.; Liu, G.; Zheng, H.; Li, F.; Ngo, H.H.; Guo, W.; Liu, C.; Chen, L.; Xing, B. Investigating the mechanisms of biochar’s removal of lead from solution. Bioresour. Technol. 2015, 177, 308–317. [Google Scholar] [CrossRef]
- Jia, Y.H.; Shi, S.L.; Liu, J.; Su, S.M.; Liang, Q.; Zeng, X.B.; Li, T.S. Study of the Effect of Pyrolysis Temperature on the Cd2+ Adsorption Characteristics of Biochar. Appl. Sci. 2018, 8, 1019. [Google Scholar] [CrossRef]
- Zhang, L.M.; Ren, Y.F.; Xue, Y.H.; Cui, Z.W.; Wei, Q.H.; Han, C.; He, J.Y. Preparation of biochar by mango peel and its adsorption characteristics of Cd(ii) in solution. Rsc Adv. 2020, 10, 35878–35888. [Google Scholar] [CrossRef]
- Morgan, H.M., Jr.; Jiang, T.J.; Tsai, W.T.; Yen, T.B. Initial physiochemical characterization of Djulis (Chenopodium formosanum) spent mushroom substrate biochar and its application for methylene blue dye adsorption, isotherm, kinetics, and parameters. Biomass Convers. Biorefinery 2025, 1–15. [Google Scholar] [CrossRef]
- Nguyen, D.T.; Hoang, T.K.; Tran, T.D.; Nguyen, M.H.; Trinh, K.T.; Khuong, D.A.; Tsubota, T.; Pham, T.D. Adsorption characteristics of individual and binary mixture of ciprofloxacin antibiotic and lead(II) on synthesized bamboo-biochar. Environ. Res. 2025, 273, 121225. [Google Scholar] [CrossRef]
- ASTM D1782-84; Standard Practice for Operating Salt Spray (Fog) Apparatus. ASTM International: West Conshohocken, PA, USA, 1984.
- Cao, X.; Zhong, L.; Peng, X.; Sun, S.; Li, S.; Liu, S.; Sun, R. Comparative study of the pyrolysis of lignocellulose and its major components: Characterization and overall distribution of their biochars and volatiles. Bioresour. Technol. 2014, 155, 21–27. [Google Scholar] [CrossRef]
- Yuan, J.-H.; Xu, R.-K.; Zhang, H. The forms of alkalis in the biochar produced from crop residues at different temperatures. Bioresour. Technol. 2011, 102, 3488–3497. [Google Scholar] [CrossRef]
- Kamari, S.; Shahbazi, A. Biocompatible Fe3O4@SiO2-NH2 nanocomposite as a green nanofiller embedded in PES–nanofiltration membrane matrix for salts, heavy metal ion and dye removal: Long–term operation and reusability tests. Chemosphere 2020, 243, 125282. [Google Scholar] [CrossRef]
- Downie, A.; Crosky, A.; Munroe, P. Physical properties of biochar. In Biochar for Environmental Management; Routledge: London, UK, 2012; pp. 45–64. [Google Scholar] [CrossRef]
- Wu, W.; Yang, M.; Feng, Q.; McGrouther, K.; Wang, H.; Lu, H.; Chen, Y. Chemical characterization of rice straw-derived biochar for soil amendment. Biomass Bioenergy 2012, 47, 268–276. [Google Scholar] [CrossRef]
- Cantrell, K.B.; Hunt, P.G.; Uchimiya, M.; Novak, J.M.; Ro, K.S. Impact of pyrolysis temperature and manure source on physicochemical characteristics of biochar. Bioresour. Technol. 2012, 107, 419–428. [Google Scholar] [CrossRef] [PubMed]
- Stefanovsky, S.V.; Stefanovsky, O.I.; Prusakov, I.L.; Kadyko, M.I.; Averin, A.A.; Nikonov, B.S. Speciation of sulphate ions in sodium alumino(iron)phosphate glasses. J. Non-Cryst. Solids 2019, 512, 81–89. [Google Scholar] [CrossRef]
- Yasushi Suetsugu, I.S.; Tanaka, J. Configuration of Carbonate Ions in Apatite Structure Determined by Polarized Infrared Spectroscopy. J. Am. Ceram. Soc. 1998, 81, 746–748. [Google Scholar] [CrossRef]
- Fonseca, J.D.D.; Matej-Lukowicz, K.; Kluska, J.; Baluk, M.A.; Kulesza, J.; Barros, B.S.; Wojciechowska, E. Effect of synthesis method on ammonium sorption behavior of oat husk biochar. Sci. Rep. 2025, 15, 11143. [Google Scholar] [CrossRef]
- Marsolla, L.D.; Brito, G.M.; Freitas, J.C.C.; Cabral Coelho, E.R. Sustainable enhancement of biochar and biochar composite properties through temperature-controlled pyrolysis of agricultural biomass and marble waste. Waste Manag. 2025, 201, 114799. [Google Scholar] [CrossRef]
- Mahmoodi, N.M.; Oveisi, M.; Taghizadeh, A.; Taghizadeh, M. Synthesis of pearl necklace-like ZIF-8@chitosan/PVA nanofiber with synergistic effect for recycling aqueous dye removal. Carbohydr. Polym. 2020, 227, 115364. [Google Scholar] [CrossRef]
- Wang, X.; Liu, N.; Liu, Y.; Jiang, L.; Zeng, G.; Tan, X.; Liu, S.; Yin, Z.; Tian, S.; Li, J. Adsorption removal of 17β-estradiol from water by rice straw-derived biochar with special attention to pyrolysis temperature and background chemistry. Int. J. Environ. Res. Public Health 2017, 14, 1213. [Google Scholar] [CrossRef]
- Zeng, Z.-w.; Tan, X.-f.; Liu, Y.-g.; Tian, S.-r.; Zeng, G.-m.; Jiang, L.-h.; Liu, S.-b.; Li, J.; Liu, N.; Yin, Z.-h. Comprehensive adsorption studies of doxycycline and ciprofloxacin antibiotics by biochars prepared at different temperatures. Front. Chem. 2018, 6, 80. [Google Scholar] [CrossRef]
- Arora, B.; Dhillayan, D.; Yadav, S.; Ghotekar, S.; Mukherjee, S.; Mohan, C.; Kataria, N. Bio-fabrication of acid-treated and magnetic biochar from rice straw for tetracycline removal from water: Response surface methodology study, reusability, and modelling. Biomass Convers. Biorefinery 2025, 1–16. [Google Scholar] [CrossRef]
- Gado, W.S.; Morshedy, A.S.; Entsar; Taha, H.; El-Zahhar, A.A.; Alghamdi, M.M.; El Naggar, A.M.A.; El-Fawal, E.M. Efficient removal of cadmium ions from wastewater using metal oxide-doped sunflower stem-generated biochar: Sorption mechanism and performance. Biomass Convers. Biorefinery 2025, 1–24. [Google Scholar] [CrossRef]
- Xiang, A.H.; Gao, Z.N.; Zhang, K.; Jiang, E.C.; Ren, Y.Z.; Wang, M.F. Study on the Cd (II) adsorption of biochar based carbon fertilizer. Ind. Crops Prod. 2021, 174, 114213. [Google Scholar] [CrossRef]
- Yao, Y.; Gao, B.; Inyang, M.; Zimmerman, A.R.; Cao, X.; Pullammanappallil, P.; Yang, L. Biochar derived from anaerobically digested sugar beet tailings: Characterization and phosphate removal potential. Bioresour. Technol. 2011, 102, 6273–6278. [Google Scholar] [CrossRef] [PubMed]
- Sabermahani, F.; Taher, M.A. Polyacrylic acid-modified alumina for solid-phase extraction and preconcentration of trace iron and chromium from plant samples. J. AOAC Int. 2011, 94, 1918–1924. [Google Scholar] [CrossRef]







| Parameters | BCR | BCS | BCL |
|---|---|---|---|
| Yield (%) | 49.13% | 28.06% | 28.17% |
| pH | 9.49 | 10.13 | 10.16 |
| Ash content (%) | 31.34% | 26.83% | 35.04% |
| BET (m2⋅g−1) | 120.36 | 414.95 | 16.68 |
| Micropore area (m2⋅g−1) | 82.11 | 285.85 | 274.80 |
| Total pore volume (P/P0 = 0.992, cm3⋅g−1) | 0.07 | 0.22 | 0.03 |
| Micropore volume (cm3⋅g−1) | 0.04 | 0.15 | 0.006 |
| Average pore diameter (nm) | 2.35 | 2.16 | 2.31 |
| First-Order Kinetics | Second-Order Kinetics | Elovich | Intra-Particle | |||||||||||||||
|---|---|---|---|---|---|---|---|---|---|---|---|---|---|---|---|---|---|---|
| K1 (min−1) | qe (mg/g) | R2 | K1 (min−1) | qe (mg/g) | R2 | ɑ (mg/g·min) | β (mg/g) | R2 | Stage 1 | Stage 2 | Stage 3 | |||||||
| kp (mg/(g·min0.5)) | c (mg/g) | R2 | kp (mg/(g·min0.5)) | c (mg/g) | R2 | kp (mg/(g·min0.5)) | c (mg/g) | R2 | ||||||||||
| BCR | 0.013 | 2.934 | 0.818 | 0.005 | 3.384 | 0.888 | 0.192 | 1.737 | 0.963 | 0.26 | −0.14 | 0.95 | 0.075 | 1.196 | 0.83 | 0.056 | 1.655 | 0.83 |
| BCS | 0.095 | 17.148 | 0.663 | 0.001 | 21.939 | 0.964 | 232.320 | 0.595 | 0.909 | 1.27 | 0.07 | 0.98 | 0.257 | 14.312 | 0.96 | 0.049 | 17.150 | 0.83 |
| BCL | 0.012 | 19.533 | 0.962 | 0.009 | 18.154 | 0.913 | 1.139 | 0.265 | 0.914 | 1.049 | 1.123 | 0.96 | 1.255 | 0.137 | 0.97 | 0.029 | 18.757 | 0.39 |
| BCR | BCS | BCL | |||||||
|---|---|---|---|---|---|---|---|---|---|
| KL (L/mg) | Qmax (mg/g) | R2 | KL (L/mg) | Qmax (mg/g) | R2 | KL (L/mg) | Qmax (mg/g) | R2 | |
| 15 °C | 0.018 | 1215.5 | 0.98 | 0.0089 | 1765.77 | 0.98 | 0.041 | 811.94 | 0.94 |
| 25 °C | 0.14 | 759.71 | 0.96 | 0.034 | 1192.99 | 0.98 | 0.15 | 763.92 | 0.95 |
| 35 °C | 0.23 | 713.65 | 0.94 | 0.086 | 832.45 | 0.96 | 0.24 | 723.17 | 0.93 |
| 45 °C | 0.91 | 837.36 | 0.93 | 0.067 | 2606.11 | 0.94 | 0.92 | 840.98 | 0.93 |
| BCR | BCS | BCL | |||||||
|---|---|---|---|---|---|---|---|---|---|
| KF (mg/g)·(mg/L)−n | n | R2 | KF (mg/g)·(mg/L)−n | n | R2 | KF (mg/g)·(mg/L)−n | n | R2 | |
| 15 °C | 37.34 | 0.71 | 0.99 | 20.99 | 0.84 | 0.98 | 71.59 | 0.53 | 0.97 |
| 25 °C | 115.27 | 0.57 | 0.98 | 50.9 | 0.75 | 0.98 | 126.07 | 0.54 | 0.98 |
| 35 °C | 145.60 | 0.55 | 0.96 | 102.6 | 0.56 | 0.98 | 154.35 | 0.53 | 0.95 |
| 45 °C | 380.74 | 0.55 | 0.95 | 171.63 | 0.84 | 0.95 | 383.50 | 0.55 | 0.95 |
Disclaimer/Publisher’s Note: The statements, opinions and data contained in all publications are solely those of the individual author(s) and contributor(s) and not of MDPI and/or the editor(s). MDPI and/or the editor(s) disclaim responsibility for any injury to people or property resulting from any ideas, methods, instructions or products referred to in the content. |
© 2025 by the authors. Licensee MDPI, Basel, Switzerland. This article is an open access article distributed under the terms and conditions of the Creative Commons Attribution (CC BY) license (https://creativecommons.org/licenses/by/4.0/).
Share and Cite
Li, T.; Wang, Y.; Niu, Y.; Zhang, Z.; Liu, J.; Wang, X.; Wang, J.; Li, J.; Wang, L. Enhanced Cadmium Adsorption Mechanisms Utilizing Biochar Derived from Different Parts of Wetland Emergent Plants Iris sibirica L. Processes 2025, 13, 1520. https://doi.org/10.3390/pr13051520
Li T, Wang Y, Niu Y, Zhang Z, Liu J, Wang X, Wang J, Li J, Wang L. Enhanced Cadmium Adsorption Mechanisms Utilizing Biochar Derived from Different Parts of Wetland Emergent Plants Iris sibirica L. Processes. 2025; 13(5):1520. https://doi.org/10.3390/pr13051520
Chicago/Turabian StyleLi, Tongtong, Yangyang Wang, Yongchao Niu, Zhonglei Zhang, Jin Liu, Xiaoshu Wang, Jingao Wang, Ji Li, and Lei Wang. 2025. "Enhanced Cadmium Adsorption Mechanisms Utilizing Biochar Derived from Different Parts of Wetland Emergent Plants Iris sibirica L." Processes 13, no. 5: 1520. https://doi.org/10.3390/pr13051520
APA StyleLi, T., Wang, Y., Niu, Y., Zhang, Z., Liu, J., Wang, X., Wang, J., Li, J., & Wang, L. (2025). Enhanced Cadmium Adsorption Mechanisms Utilizing Biochar Derived from Different Parts of Wetland Emergent Plants Iris sibirica L. Processes, 13(5), 1520. https://doi.org/10.3390/pr13051520

