Reservoir Characterization of Tight Sandstone Gas Reservoirs: A Case Study from the He 8 Member of the Shihezi Formation, Tianhuan Depression, Ordos Basin
Abstract
1. Introduction
2. The Overview of the Research Area
3. Methods
3.1. Core Observations
3.2. Microstructure Observing
3.3. Whole Rock/Clay Mineral X-Ray Diffraction Experiments
3.4. Uniaxial Compression Stress Sensitivity Experiment
3.5. Identifying Reservoir Fractures
4. Results
4.1. Petrological Characteristics
4.2. Microstructure Characteristics
4.3. Pore Network Distribution
4.4. Rock Mechanics Characteristics
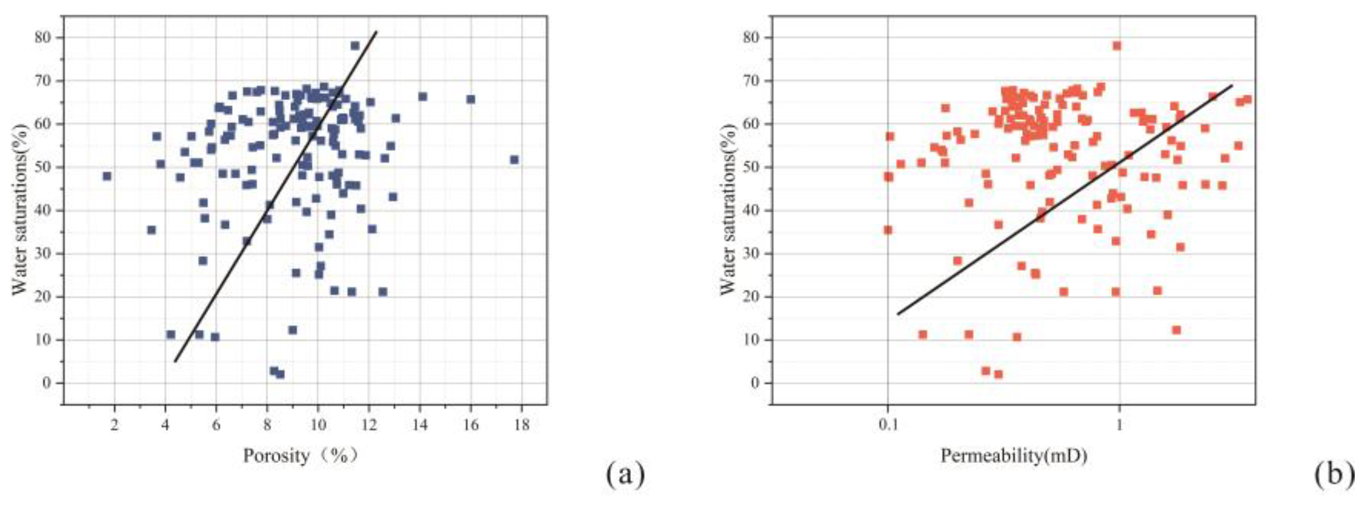
4.5. Reservoir Features Characteristics
5. Discussion
5.1. Reasons for the Development of Dissolution Pores in Sandstone
5.2. Causes of Rock Mechanics Experimental Results
5.3. Distribution Characteristics of Sandstone Bodies
5.4. The Influence of Tectonic Stress Fields on Reservoir Fracture Development
6. Conclusions
Author Contributions
Funding
Data Availability Statement
Acknowledgments
Conflicts of Interest
References
- Li, Q.; Li, Q.; Cao, H.; Wu, J.; Wang, F.; Wang, Y. The Crack Propagation Behaviour of CO2 Fracturing Fluid in Unconventional Low Permeability Reservoirs: Factor Analysis and Mechanism Revelation. Processes 2025, 13, 159. [Google Scholar] [CrossRef]
- Li, Q.; Li, Q.; Wu, J.; Li, X.; Li, H.; Cheng, Y. Wellhead Stability During Development Process of Hydrate Reservoir in the Northern South China Sea: Evolution and Mechanism. Processes 2025, 13, 40. [Google Scholar] [CrossRef]
- Yang, Z.; Zhu, S.; Jia, Y.; Gao, Y. Geochemical characteristics and genesis of formation water in Shan 1-He 8 member of northern Tianhuan Depression, Ordos Basin. Sci. Technol. Eng. 2020, 20, 2634–2642. [Google Scholar]
- Zhang, X.; Lin, C.; Chen, Z.; Pan, F.; Zhou, J.; Yu, H. Sandstone reservoir characteristics of Chang 8 reservoir group of Yanchang formation in Zhenjing block, Ordos Basin. Univ. J. Geol. 2012, 18, 328–340. [Google Scholar] [CrossRef]
- Zhang, X.; Lin, C.; Chen, Z. Characteristics of chlorite minerals in sandstones of Upper Triassic Yanchang Formation in Zhenjing Block, Ordos Basin. Geol. J. 2011, 85, 1659–1671. [Google Scholar]
- Lin, C.; Zhang, X.; Zhou, J.; Xu, S.; Yu, H.; Chen, Z. Diagenesis characteristics of Lower Shihezi Formation reservoir in Daniudi gas field, Ordos Basin. Geosci. Prog. 2011, 26, 212–223. [Google Scholar]
- Lin, C.; Zhang, X. Sedimentology Study of Triassic Clastic Reservoir in Ordos Basin; Science Press: Beijing, China, 2024; pp. 1–180. [Google Scholar]
- Tian, B.; Yuan, Y.; Duan, Z.; Tang, J.; Qiu, S.; Zhang, J.; Guo, C. Sandy braided river tight sandstone reservoir characteristics and its main controlling factors-Taking He 8 member of Shihezi Formation in Sulige gas field as an example. Fault Block Oil Gas Field 2024, 31, 387–394+402. [Google Scholar]
- Gao, Y.; Chen, S.; Tian, J.; Huang, F.; Song, T.; Liu, C. Microscopic occurrence characteristics of formation water in tight sandstone gas reservoirs in the northern part of Tianhuan, Ordos Basin. Gas Geosci. 2020, 31, 1717–1732. [Google Scholar]
- Gao, Y. Study on the Distribution Law of Formation Water in Tight Sandstone Gas Reservoirs in the North of Tianhuan, Ordos Basin. Ph.D. Thesis, China University of Petroleum, Beijing, China, 2020. [Google Scholar] [CrossRef]
- Han, X.; Zhang, Y.; Wang, L.; Feng, M.; Chu, J.; Wang, Y.; Liu, X.; Liu, Z. Characteristics of fault system and its geological significance in Qingshimao area, western Ordos Basin. Pet. Geol. Dev. Daqing 2024, 1–10. [Google Scholar] [CrossRef]
- Zhao, H. Structural Characteristics and the Evolution in Western Ordos Basin. Ph.D. Thesis, Northwest University, Xi’an, China, 2003. [Google Scholar]
- Zeng, L.; Zhao, X. Natural Fractures and Water Injection-Induced Fractures in the Ordos Basin; Science Press: Beijing, China, 2019. [Google Scholar]
- Ma, Y.; Liu, C.; Zhao, J.; Liu, G.; Guo, Y.; Chen, J.; Hou, B. Provenance and tectonic setting of the Upper Paleozoic Shihezi Formation in northern Ordos Basin. Geol. J. 2024, 98, 1–22. [Google Scholar] [CrossRef]
- Sun, C.; Huang, W.; Liang, J.; Qian, L.; Zou, Y.; Liu, F.; Liu, C. Tight sandstone reservoir characteristics and main controlling factors of He 8 member in Block 46 of Sulige gas field. Fault Block Oil Gas Field 2024, 31, 197–206+215. [Google Scholar]
- Zhang, P.; Wang, X.; Du, Z.; Tong, Q.; Bi, M.; Chen, H. Key technologies of 3D seismic exploration for hidden reservoirs in the north of Tianhuan Depression, Ordos Basin. In Proceedings of the 2019 International Conference on Exploration and Development of Oil and Gas Fields, Xi’an, China, 16 October 2019; China Petroleum Group Eastern Geophysical Exploration Co., Ltd.: Baoding, China, 2019; Volume 7. [Google Scholar] [CrossRef]
- Zhang, X. Study on the Accumulation Period of Upper Paleozoic in the West of Hangjinqi Area, Ordos Basin. Bachelor’s Thesis, China University of Petroleum, Beijing, China, 2021. [Google Scholar] [CrossRef]
- Chen, J. Characteristics of Tight Sandstone Reservoirs in Shan 1-He 8 Member of Northern Tianhuan, Ordos Basin. Bachelor’s Thesis, China University of Petroleum, Beijing, China, 2020. [Google Scholar] [CrossRef]
- SY/T 5163-2010; Analysis Method for Clay Minerals and Ordinary Non-Clay Minerals in Sedimentary Rocks by the X-Ray Diffraction. Geology Exploration: Beijing, China, 2010.
- Zhao, N.; Wang, L.; Zhang, L.; Sima, L.; Liu, Z.; Wen, D. Study on the mechanical properties and failure characteristics of tight sandstone based on particle size classification-Taking the Permian Lower Shihezi Formation in the Ordos Basin as an example. Pet. Exp. Geol. 2022, 44, 720–729+738. [Google Scholar]
- Yao, Y.; Liu, D.; Che, Y.; Tang, D.; Tang, S.; Huang, W. Petrophysical characterization of coals by low-field nuclear magnetic resonance (NMR). Fuel 2010, 89, 1371–1380. [Google Scholar] [CrossRef]
- Zhang, X.; Lin, C.M.; Cai, Y.-F.; Qu, C.-W.; Chen, Z.-Y. Pore-lining chlorite cements in lacustrine deltaic sandstones from the Upper Triassic Yanchang Formation, Ordos Basin, China. J. Pet. Geol. 2012, 35, 273–290. [Google Scholar] [CrossRef]














| Sample Source | Number of Sets | Index | Parameter |
|---|---|---|---|
| Li 57 | 12 | Axial force | 1.46 × 103 kN |
| Li 59 | 3 | Confining pressure | 140 Mpa |
| Li 11 | 1 | Temperature | 392 ℉ |
| Li 7 | 2 | Sample size | 25.4 mm × 50.8 mm |
| Su 40 | 1 | Lithologic characters | Sandstone |
| Quartz Sandstone | Lithic Quartz Sandstones | Feldspathic Quartz Sandstones | Lithic Sandstone |
|---|---|---|---|
| 82% | 15% | 3% | <1% |
Disclaimer/Publisher’s Note: The statements, opinions and data contained in all publications are solely those of the individual author(s) and contributor(s) and not of MDPI and/or the editor(s). MDPI and/or the editor(s) disclaim responsibility for any injury to people or property resulting from any ideas, methods, instructions or products referred to in the content. |
© 2025 by the authors. Licensee MDPI, Basel, Switzerland. This article is an open access article distributed under the terms and conditions of the Creative Commons Attribution (CC BY) license (https://creativecommons.org/licenses/by/4.0/).
Share and Cite
Dong, Z.; Yan, X.; Zhang, J.; Chen, Z.; Ma, H. Reservoir Characterization of Tight Sandstone Gas Reservoirs: A Case Study from the He 8 Member of the Shihezi Formation, Tianhuan Depression, Ordos Basin. Processes 2025, 13, 1355. https://doi.org/10.3390/pr13051355
Dong Z, Yan X, Zhang J, Chen Z, Ma H. Reservoir Characterization of Tight Sandstone Gas Reservoirs: A Case Study from the He 8 Member of the Shihezi Formation, Tianhuan Depression, Ordos Basin. Processes. 2025; 13(5):1355. https://doi.org/10.3390/pr13051355
Chicago/Turabian StyleDong, Zihao, Xinzhi Yan, Jingong Zhang, Zhiqiang Chen, and Hongxing Ma. 2025. "Reservoir Characterization of Tight Sandstone Gas Reservoirs: A Case Study from the He 8 Member of the Shihezi Formation, Tianhuan Depression, Ordos Basin" Processes 13, no. 5: 1355. https://doi.org/10.3390/pr13051355
APA StyleDong, Z., Yan, X., Zhang, J., Chen, Z., & Ma, H. (2025). Reservoir Characterization of Tight Sandstone Gas Reservoirs: A Case Study from the He 8 Member of the Shihezi Formation, Tianhuan Depression, Ordos Basin. Processes, 13(5), 1355. https://doi.org/10.3390/pr13051355
