Ozonation of Bitumen: Characteristics, Characterization, and Applications
Abstract
1. Introduction
2. Materials and Methods
3. Bitumen
3.1. Bitumen Treatment
3.2. Bitumen Characterization
3.2.1. Atomic Force Microscopy
3.2.2. Environmental Scanning Electron Microscopy
3.2.3. Fourier Transform Infrared Spectroscopy
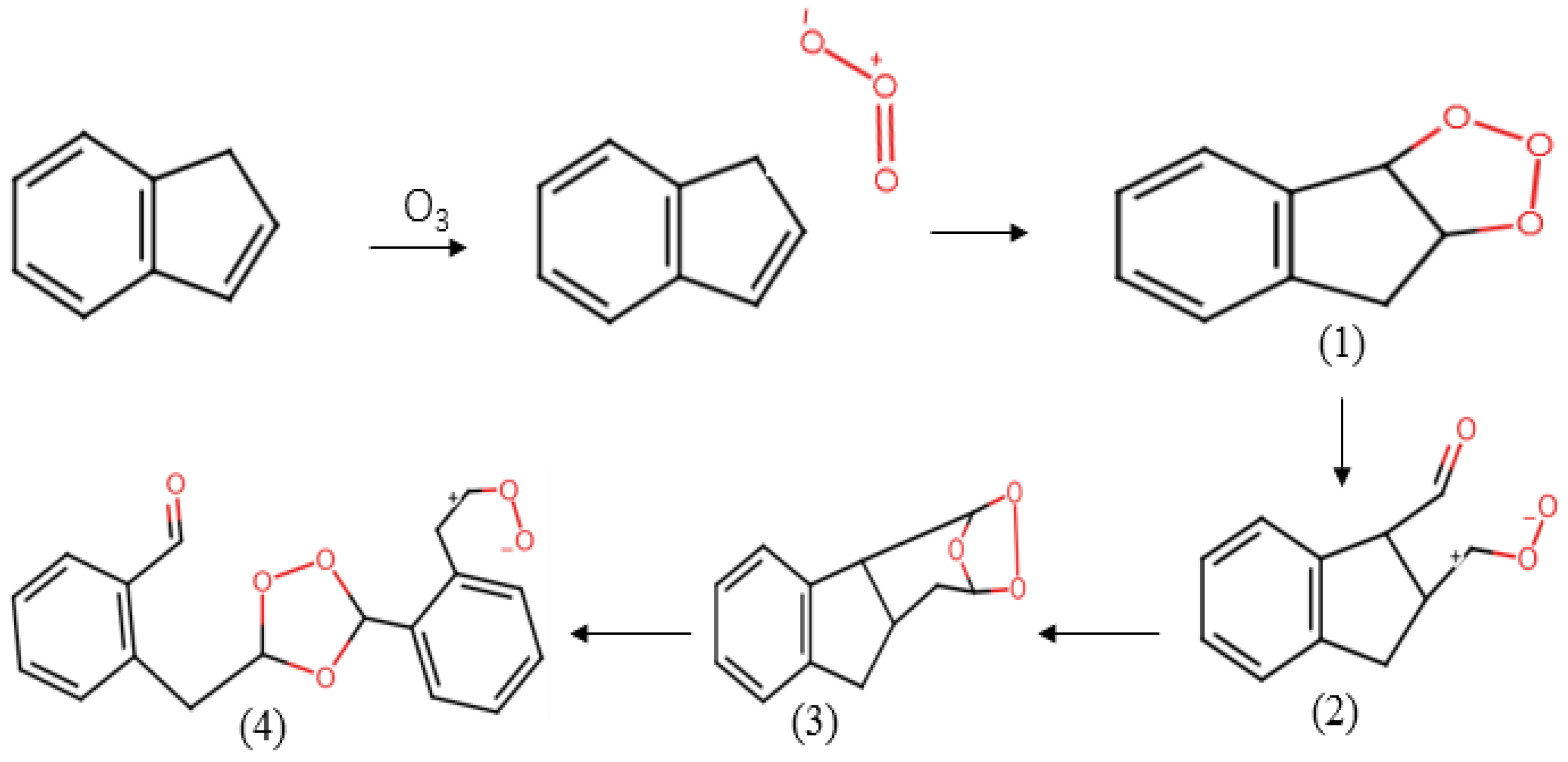
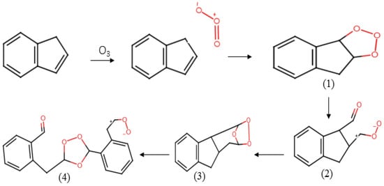
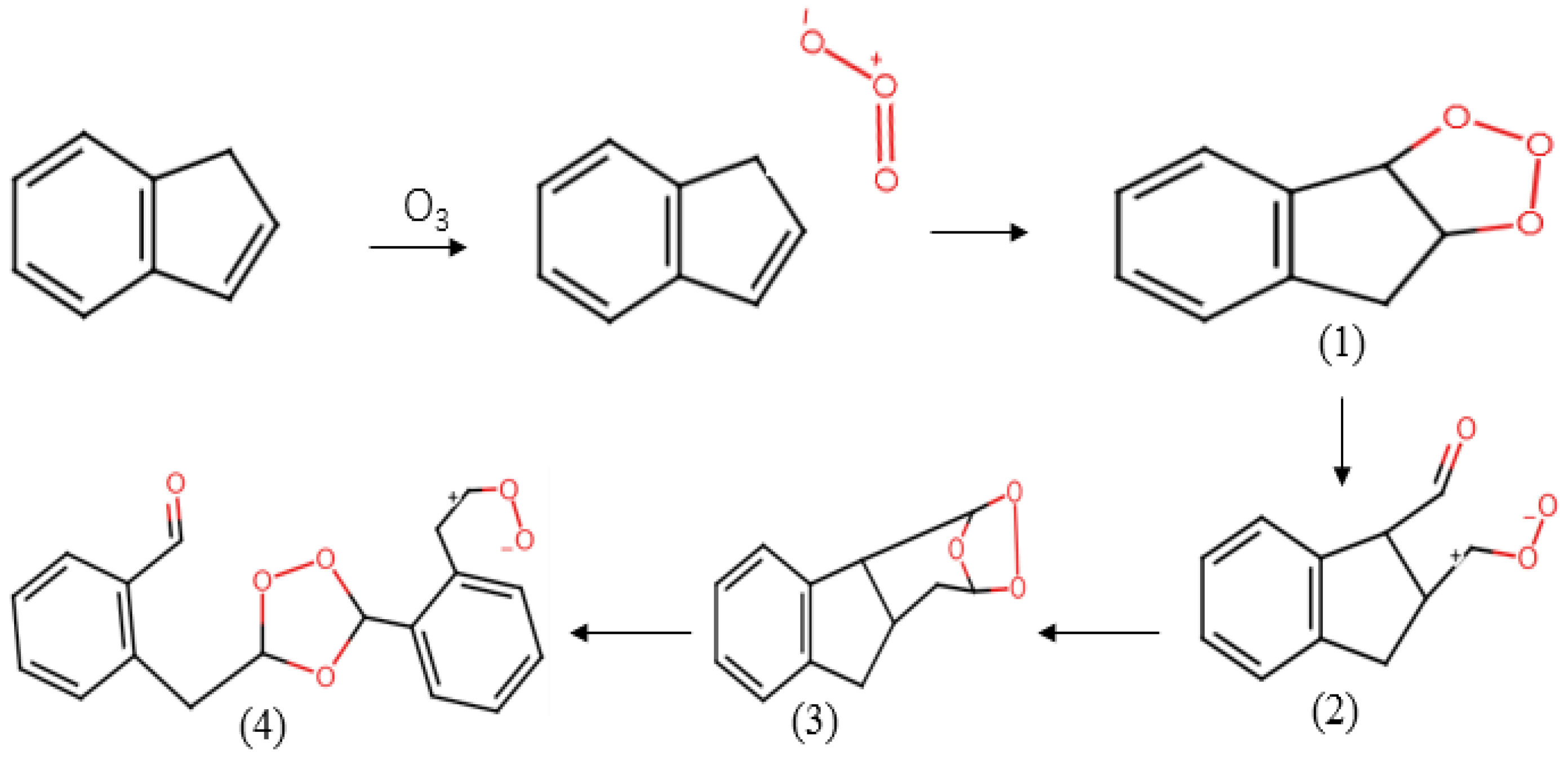
3.3. Ozonation of Bitumen
4. Conclusions
Author Contributions
Funding
Data Availability Statement
Conflicts of Interest
References
- Soenen, H.; Lu, X.; Laukkane, O.V. Oxidation of bitumen: Molecular characterization and influence on rheological properties. Rheol. Acta 2016, 55, 315–326. [Google Scholar] [CrossRef]
- Shariati, S.; Hajikarimi, P.; Rahi, M.; Kazemi, R.; Entezari, M.S.; Fini, E.H. Reducing the carbon footprint of air-blown bitumen using physisorption. ACS Sustain. Chem. Eng. 2022, 10, 15767–15776. [Google Scholar] [CrossRef]
- Khodaeiparchin, M. Decarbonization of Road Construction and Maintenance. An Analysis of Best Practices Through the Life Cycle Assessment (LCA) Methodology. Ph.D. Thesis, Politecnico di Torino, Torino, Italy, 2024. [Google Scholar]
- Feng, Z.G.; Wang, S.J.; Bian, H.J.; Guo, Q.L.; Li, X.J. FTIR and rheology analysis of aging on different ultraviolet absorber modified bitumens. Constr. Build. Mater. 2016, 115, 48–53. [Google Scholar] [CrossRef]
- Feng, Z.G.; Bian, H.J.; Li, X.J.; Yu, J.Y. FTIR analysis of UV aging on bitumen and its fractions. Mater. Struct. 2016, 49, 1381–1389. [Google Scholar] [CrossRef]
- Chaudhary, A.; Akhtar, A. A Novel Approach for Environmental Impact Assessment of Road Construction Projects in India. Environ. Impact Assess. Rev. 2024, 106, 107477. [Google Scholar] [CrossRef]
- Nigmatullin, I.R.; Zuber, V.I.; Nigmatullin, R.G. Desulfurization of Crude Oils, Diesels, and Oil Fractions by Treatment with Ozone and Metal Chlorides. Petrol. Chem. 2023, 63, 531–538. [Google Scholar] [CrossRef]
- Bolliet, C.; Juery, C.; Thiebaut, B. Impact of oxidation process on polycyclic aromatic hydrocarbon (PAH) content in bitumen. J. Occup. Environ. Hyg. 2013, 10, 435–445. [Google Scholar] [CrossRef]
- Rasoulzadeh, Y.; Mortazavi, S.B.; Yousefi, A.A.; Khavanin, A. Decreasing polycyclic aromatic hydrocarbons emission from bitumen using alternative bitumen production process. J. Hazard. Mater. 2011, 185, 1156–1161. [Google Scholar] [CrossRef]
- Hajikarimi, P.; Shariati, S.; Rahi, M.; Kazemi, R.; Nejad, F.M.; Fini, E.H. Enhancing the economics and environmental sustainability of the manufacturing process for air-blown bitumen. J. Clean. Prod. 2021, 323, 128978. [Google Scholar] [CrossRef]
- Bolliet, C.; Kriech, A.J.; Juery, C.; Vaissiere, M.; Brinton, M.A.; Osborn, L.V. Effect of temperature and process on quantity and composition of laboratory-generated bitumen emissions. J. Occup. Environ. Hyg. 2015. [CrossRef]
- Saleh, W.M. Air blowing oxidation process for improving of rheological properties of sulfur treated asphalt. J. Educ. Sci. 2020, 29, 15–21. [Google Scholar] [CrossRef]
- Sviridenko, N.N.; Krivtsov, E.B.; Golovko, A.K.; Dombrovskaya, A.S.; Krivtsova, N.I. Composition of pre-ozonated high-sulfur natural bitumen cracking products. Procedia Chem. 2015, 15, 313–319. [Google Scholar] [CrossRef]
- Van Geluwe, S.; Braeken, L.; Van der Bruggen, B. Ozone oxidation for the alleviation of membrane fouling by natural organic matter: A review. Water Res. 2011, 45, 3551–3570. [Google Scholar] [CrossRef] [PubMed]
- Fernandes, A.; Makoś, P.; Boczkaj, G. Treatment of bitumen post oxidative effluents by sulfate radicals based advanced oxidation processes (S-AOPs) under alkaline pH conditions. J. Clean. Prod. 2018, 195, 374–384. [Google Scholar] [CrossRef]
- Hussein, A.A.; Hamdoon, A.A. The use of a mixture (spent lubricating oils: Rubber) and catalytic air blowing process in the rheological modification of asphalt. Adv. Mech. 2021, 9, 206–213. [Google Scholar]
- Cataldo, F.; Ursini, O.; Angelini, G. Surface oxidation of rubber crumb with ozone. Polym. Degrad. Stab. 2010, 95, 803–810. [Google Scholar] [CrossRef]
- Pipintakos, G. Towards an Enhanced Understanding of the Oxidative Ageing Mechanisms in Bitumen. Ph.D. Thesis, University of Antwerp, Antwerp, Belgium, 2022. [Google Scholar]
- Hamdoon, A.A.; Ahmed, S.S.; Saleh, M.Y. Modifying the rheological properties of asphalt using waste additives and air blowing and studying the effect of time aging on the modified samples. Egypt. J. Chem. 2022, 65, 447–453. [Google Scholar] [CrossRef]
- Hamdoun, A.A. Study the effect of addition of (used lubricating oils: Polystyrene) and air blowing of the rheological properties of asphalt. Int. J. Adv. Sci. Technol. 2020, 29, 5412–5417. [Google Scholar]
- Hübner, U.; von Gunten, U.; Jekel, M. Evaluation of the persistence of transformation products from ozonation of trace organic compounds: A critical review. Water Res. 2015, 68, 150–170. [Google Scholar] [CrossRef]
- Quddus, M.A.; Sarwar, S.N.; Khan, F. Effect of catalysts on effluents during air blowing of asphalt. Pet. Sci. Tech. 2003, 21, 1335–1346. [Google Scholar] [CrossRef]
- Hassanpour, M. A management and economic survey in implementation of blown bitumen production using acidic sludge recycling (a case study). Iran J. Health Saf. Environ. 2016, 3, 607–620. [Google Scholar]
- Porto, M.; Caputo, P.; Loise, V.; Eskandarsefat, S.; Teltayev, B.; Oliviero Rossi, C. Bitumen and bitumen modification: A review on latest advances. Appl. Sci. 2019, 9, 742. [Google Scholar] [CrossRef]
- Murali Krishnan, J.; Rajagopal, K.R. Review of the uses and modeling of bitumen from ancient to modern times. Appl. Mech. Rev. 2003, 56, 149–214. [Google Scholar] [CrossRef]
- Jacob, H. Classification, structure, genesis and practical importance of natural solid oil bitumen (“migrabitumen”). Int. J. Coal Geol. 1989, 11, 65–79. [Google Scholar] [CrossRef]
- Mastalerz, M.; Drobniak, A.; Stankiewicz, A.B. Origin, properties, and implications of solid bitumen in source-rock reservoirs: A review. Int. J. Coal Geol. 2018, 195, 14–36. [Google Scholar] [CrossRef]
- Provatorova, G.; Vikhrev, A. Modification of bitumen for road construction. IOP Conf. Ser. Mater. Sci. Eng. 2020, 896, 012088. [Google Scholar] [CrossRef]
- Al-Sabaeei, A.; Yussof, N.I.M.; Napiah, M.; Sutanto, M. A review of using natural rubber in the modification of bitumen and asphalt mixtures used for road construction. J. Teknol. 2019, 81, 6. [Google Scholar] [CrossRef]
- Guarin, A.; Khan, A.; Butt, A.A.; Birgisson, B.; Kringos, N. An extensive laboratory investigation of the use of bio-oil modified bitumen in road construction. Constr. Build. Mater. 2016, 106, 133–139. [Google Scholar] [CrossRef]
- Gu, G.; Zhang, L.; Xu, Z.; Masliyah, J. Novel bitumen froth cleaning device and rag layer characterization. Energy Fuels 2007, 21, 3462–3468. [Google Scholar] [CrossRef]
- Chauhan, G.; de Klerk, A. Dissolution methods for the quantification of metals in oil sands bitumen. Energy Fuels 2020, 34, 2870–2879. [Google Scholar] [CrossRef]
- Mohapatra, D.P.; Kirpalani, D.M. Bitumen heavy oil upgrading by cavitation processing: Effect on asphaltene separation, rheology, and metal content. Appl. Petrochem. Res. 2016, 6, 107–115. [Google Scholar] [CrossRef]
- Zou, X.Y.; Dukhedin-Lalla, L.; Zhang, X.; Shaw, J.M. Selective rejection of inorganic fine solids, heavy metals, and sulfur from heavy oils/bitumen using alkane solvents. Ind. Eng. Chem. Res. 2004, 43, 7103–7112. [Google Scholar] [CrossRef]
- Golovko, A.K.; Kamyanov, V.F.; Filimonova, T.A. The novelties producing by ozonolysis of petroleum high-molecular components. Eurasian Chem. Technol. J. 2005, 7, 89–97. [Google Scholar] [CrossRef]
- Akhavan Bahabadi, M.; Khabiri, M.M. Investigation of Rheological Characteristics and Bleeding Behavior of PPA-Modified Bitumen Emulsion for Microsurfacing. J. Rehabil. Civil Eng. 2024, 12, 20–31. [Google Scholar]
- Demir-Duz, H.; Perez-Estrada, L.A.; Álvarez, M.G.; El-Din, M.G.; Contreras, S. O3/H2O2 and UV-C light irradiation treatment of oil sands process water. Sci. Total Environ. 2022, 832, 154804. [Google Scholar] [CrossRef]
- Unnisa, S.A.; Hassanpour, M. Development circumstances of four recycling industries (used motor oil, acidic sludge, plastic wastes and blown bitumen) in the world. Renew. Sustain. Energy Rev. 2017, 72, 605–624. [Google Scholar] [CrossRef]
- Dinkov, R.; Stratiev, D.; Shishkova, I.; Veli, A.; Nikolova, R.; Yordanov, D.; Ilchev, I. Hydrocracking (H-oil) in paving grade bitumen. Oxid. Commun. 2020, 43, 302–320. [Google Scholar]
- Vasilievici, G.; Beica, V.; Bombos, D.; Bombos, M.; Zaharia, E. The influence of catalysts addition on blown bitumen characteristics. Rev. Chim. 2011, 62, 672–675. [Google Scholar]
- Gong, J.; Li, Y.; Sun, X. O3 and UV/O3 oxidation of organic constituents of biotreated municipal wastewater. Water Res. 2008, 42, 1238–1244. [Google Scholar] [CrossRef]
- Rekhate, C.V.; Srivastava, J.K. Recent advances in ozone-based advanced oxidation processes for treatment of wastewater—A review. Chem. Eng. J. Adv. 2020, 3, 100031. [Google Scholar] [CrossRef]
- Lin, F.; Wan, Z.; Zhang, Z.; He, Y.; Zhu, Y.; Shao, J.; Cen, K. Flue gas treatment with ozone oxidation: An overview on NOx, organic pollutants, and mercury. Chem. Eng. J. 2020, 382, 123030. [Google Scholar] [CrossRef]
- Pipintakos, G.; Hasheminejad, N.; Lommaert, C.; Bocharova, A.; Blom, J. Application of atomic force (AFM), environmental scanning electron (ESEM) and confocal laser scanning microscopy (CLSM) in bitumen: A review of the ageing effect. Micron 2021, 147, 103083. [Google Scholar] [CrossRef]
- Das, P.K.; Kringos, N.; Birgisson, B. Microscale investigation of thin film surface ageing of bitumen. J. Microsc. 2014, 254, 95–107. [Google Scholar] [CrossRef]
- Yu, X.; Burnham, N.A.; Tao, M. Surface microstructure of bitumen characterized by atomic force microscopy. Adv. Colloid Interface Sci. 2015, 218, 17–33. [Google Scholar] [CrossRef] [PubMed]
- Xing, C.; Jiang, W.; Li, M.; Wang, M.; Xiao, J.; Xu, Z. Application of atomic force microscopy in bitumen materials at the nanoscale: A review. Constr. Build. Mater. 2022, 342, 128059. [Google Scholar] [CrossRef]
- Ren, S.; Masliyah, J.; Xu, Z. Studying bitumen–bubble interactions using atomic force microscopy. Colloids Surf. A 2014, 444, 165–172. [Google Scholar] [CrossRef]
- Pipintakos, G.; Blom, J.; Soenen, H. Coupling AFM and CLSM to investigate the effect of ageing on the bee structures of bitumen. Micron 2021, 151, 103149. [Google Scholar] [CrossRef]
- Rebelo, L.M.; Cavalcante, P.N.; De Sousa, J.S.; Mendes Filho, J.; Soares, S.A.; Soares, J.B. Micromorphology and microrheology of modified bitumen by atomic force microscopy. Road Mater. Pavement Des. 2014, 15, 300–311. [Google Scholar] [CrossRef]
- Steyn, W.J.M. Analysis of Bitumen Properties During Ageing Using Atomic Force Microscopy. In Road Materials and New Innovations in Pavement Engineering; Springer: Berlin/Heidelberg, Germany, 2011; pp. 25–32. [Google Scholar]
- Blom, J.; Soenen, H.; Katsiki, A.; Van den Brande, N.; Rahier, H.; Van den Bergh, W. Investigation of the bulk and surface microstructure of bitumen by atomic force microscopy. Constr. Build. Mater. 2018, 177, 158–169. [Google Scholar] [CrossRef]
- Lu, X.; Sjövall, P.; Soenen, H.; Andersson, M. Microstructures of bitumen observed by environmental scanning electron microscopy (ESEM) and chemical analysis using time-of-flight secondary ion mass spectrometry (TOF-SIMS). Fuel 2018, 229, 198–208. [Google Scholar] [CrossRef]
- Lin, P.; Liu, X.; Apostolidis, P.; Erkens, S.; Zhang, Y.; Ren, S. ESEM observation and rheological analysis of rejuvenated SBS modified bitumen. Mater. Des. 2021, 204, 109639. [Google Scholar] [CrossRef]
- Koyun, A.N.; Büchner, J.; Wistuba, M.P.; Grothe, H. Laboratory and field ageing of SBS modified bitumen: Chemical properties and microstructural characterization. Colloids Surf. A 2021, 624, 126856. [Google Scholar] [CrossRef]
- Mikhailenko, P.; Kou, C.; Baaj, H.; Poulikakos, L.; Cannone-Falchetto, A.; Besamusca, J.; Hofko, B. Comparison of ESEM and physical properties of virgin and laboratory aged asphalt binders. Fuel 2019, 235, 627–638. [Google Scholar] [CrossRef]
- Zhou, L.; Airey, G.; Zhang, Y.; Wang, C. Multiscale characterisation on the adhesion and selective adsorption at bitumen–mineral interface. Road Mater. Pavement Des. 2024, 1–20. [Google Scholar] [CrossRef]
- Zhang, H.; Hu, Z.; Hou, S.; Xu, T. Effects of microbial degradation on morphology, chemical compositions and microstructures of bitumen. Constr. Build. Mater. 2020, 248, 118569. [Google Scholar] [CrossRef]
- Mikhailenko, P.; Kadhim, H.; Baaj, H. Observation of bitumen microstructure oxidation and blending with ESEM. Road Mater. Pavement Des. 2017, 18, 216–225. [Google Scholar] [CrossRef]
- Bearsley, S.; Forbes, A.G.; Haverkamp, R. Direct observation of the asphaltene structure in paving-grade bitumen using confocal laser-scanning microscopy. J. Microsc. 2004, 215, 149–155. [Google Scholar] [CrossRef]
- Kaya, D.; Topal, A.; McNally, T. Correlation of processing parameters and ageing with the phase morphology of styrene-butadiene-styrene block co-polymer modified bitumen. Mater. Res. Express. 2019, 6, 105309. [Google Scholar] [CrossRef]
- Collins, J.H.; Bouldin, M.G.; Gelles, R.; Berker, A. Improved performance of paving asphalts by polymer modification (with discussion). J. Assoc. Asphalt Pav. Technol. 1991, 60, 43–79. [Google Scholar]
- Lee, Y.J.; France, L.M.; Hawley, M.C. The effect of network formation on the rheological properties of SBR modified asphalt binders. Rubber Chem. Technol. 1997, 70, 256–263. [Google Scholar] [CrossRef]
- Feng, Z.; Cai, F.; Yao, D.; Li, X. Aging properties of ultraviolet absorber/SBS modified bitumen based on FTIR analysis. Constr. Build. Mater. 2021, 273, 121713. [Google Scholar] [CrossRef]
- Zhang, D.; Zheng, Y.; Yuan, G.; Qian, G.; Zhang, H.; You, Z.; Li, P. Chemical characteristics analysis of SBS-modified bitumen containing composite nanomaterials after aging by FTIR and GPC. Constr. Build. Mater. 2022, 324, 126522. [Google Scholar] [CrossRef]
- Hofko, B.; Porot, L.; Cannone Falchetto, A.; Poulikakos, L.; Huber, L.; Lu, X.; Grothe, H. FTIR spectral analysis of bituminous binders: Reproducibility and impact of ageing temperature. Mater. Struct. 2018, 51, 45. [Google Scholar] [CrossRef]
- Valcke, E.; Rorif, F.; Smets, S. Ageing of EUROBITUM bituminised radioactive waste: An ATR-FTIR spectroscopy study. J. Nucl. Mater. 2009, 393, 175–185. [Google Scholar] [CrossRef]
- Sahu, M.K.; Tewari, K.; Sinha, A.S.K. Oxidation of vacuum residue by ozone and nitrous oxide: FTIR analysis. Indian J. Chem. Technol. 2011, 18, 91–98. [Google Scholar]
- Dinkov, R.; Kirilov, K.; Stratiev, D.; Sharafutdinov, I.; Dobrev, D.; Nguyen-Hong, D.; Smilkov, S. Feasibility of bitumen production from unconverted vacuum tower bottom from H-Oil ebullated bed residue hydrocracking. Ind. Eng. Chem. Res. 2018, 57, 2003–2013. [Google Scholar] [CrossRef]
- He, Q.C.; Krone, K.; Scherl, D.; Kotler, M.; Tavakkol, A. The use of ozone as an oxidizing agent to evaluate antioxidant activities of natural substrates. Skin Pharmacol. Physiol. 2004, 17, 183–189. [Google Scholar] [CrossRef]
- Rodríguez, A.; Rosal, R.; Perdigón-Melón, J.A.; Mezcua, M.; Agüera, A.; Hernando, M.D.; García-Calvo, E. Ozone-based technologies in water and wastewater treatment. In Emerging Contaminants from Industrial and Municipal Waste; Barceló, D., Petrovic, M., Eds.; Springer: Berlin/Heidelberg, Germany, 2008; pp. 127–175. [Google Scholar]
- Sgherza, D.; Pentassuglia, S.; Altieri, V.G.; Mascolo, G.; De Sanctis, M.; Di Iaconi, C. Integrating biodegradation and ozone-catalysed oxidation for treatment and reuse of biomass gasification wastewater. J. Water Process Eng. 2021, 43, 102297. [Google Scholar] [CrossRef]
- Bocci, V.; Borrelli, E.; Travagli, V.; Zanardi, I. The ozone paradox: Ozone is a strong oxidant as well as a medical drug. Med. Res. Rev. 2009, 29, 646–682. [Google Scholar] [CrossRef]
- Ximenes, M.; Cardoso, M.; Astorga, F.; Arnold, R.; Pimenta, L.A.; Viera, R.D.S. Antimicrobial activity of ozone and NaF-chlorhexidine on early childhood caries. Brazil. Oral Res. 2017, 31, e2. [Google Scholar] [CrossRef][Green Version]
- Boczkaj, G.; Fernandes, A.; Makoś, P. Study of different advanced oxidation processes for wastewater treatment from petroleum bitumen production at basic pH. Ind. Eng. Chem. Res. 2017, 56, 8806–8814. [Google Scholar] [CrossRef]
- Hendessi, S.; de Klerk, A. Ozonation of oilsands bitumen. Energy Fuels 2016, 30, 8941–8951. [Google Scholar] [CrossRef]
- Abd El-Rahman, A.M.M.; El-Shafie, M.; Mohammedy, M.M.; Abo-Shanab, Z.L. Enhancing the performance of blown asphalt binder using waste EVA copolymer (WEVA). Egypt. J. Petrol. 2018, 27, 513–521. [Google Scholar] [CrossRef]
- Wright, J.R.; Campbell, P.G. Photo oxidation of asphalts in the presence of ozone. J. Res. National Bur. Stand. C 1964, 68, 297. [Google Scholar]
- Al-Mohammedawi, A.; Mollenhauer, K. Current Research and Challenges in Bitumen Emulsion Manufacturing and Its Properties. Materials 2022, 15, 2026. [Google Scholar] [CrossRef] [PubMed]
- Li, T.; Lu, G.; Lin, J.; Liang, D.; Hong, B.; Luo, S.; Oeser, M. Volatile Organic Compounds (VOCs) Inhibition and Energy Consumption Reduction Mechanisms of Using Isocyanate Additive in Bitumen Chemical Modification. J. Clean. Prod. 2022, 368, 133070. [Google Scholar] [CrossRef]
- Mousavi, M.; Fini, E.H. Preventing Emissions of Hazardous Organic Compounds from Bituminous Composites. J. Clean. Prod. 2022, 344, 131067. [Google Scholar] [CrossRef]
- Abou-Ghanem, M.; Nodeh-Farahani, D.; McGrath, D.T.; VandenBoer, T.C.; Styler, S.A. Emerging Investigator Series: Ozone Uptake by Urban Road Dust and First Evidence for Chlorine Activation during Ozone Uptake by Agro-Based Anti-Icer: Implications for Wintertime Air Quality in High-Latitude Urban Environments. Environ. Sci. Process. Impacts 2022, 24, 2070–2084. [Google Scholar] [CrossRef]
- Li, J.; Yang, L.; He, L.; Guo, R.; Li, X.; Chen, Y.; Liu, Y. Research Progresses of Fibers in Asphalt and Cement Materials: A Review. J. Road Eng. 2023, 3, 35–70. [Google Scholar] [CrossRef]







| Component | Percentage (%) | Component Compounds | Function | Refs. |
|---|---|---|---|---|
| Asphaltenes | 5–25% | Polycyclic aromatic hydrocarbons (PAHs) | Provide stiffness and viscosity | [24,25] |
| Resins | 20–40% | Polar aromatics, heterocyclic compounds | Improve adhesion and viscoelastic properties | |
| Saturates | 25–45% | Alkanes, cycloalkanes | Enhance flow characteristics | |
| Aromatics | 20–40% | Alkylated aromatic hydrocarbons | Influence ductility and viscosity |
| Bitumen | Treatment Method | Treatment Agent | Separated Metals, (%) | Ref. | |
|---|---|---|---|---|---|
| V | Ni | ||||
| Oil sand bitumen | Ultrasound-assisted extraction | Concentrated HNO3 acid | 40–50 | <20 | [32] |
| Petroleum bitumen | Cavitation | 1 M HCl | 60–80 | 20–40 | [33] |
| Heavy oil/bitumen | High-pressure treatment | Alkane solvents | 10–20 | 5–10 | [34] |
| Petroleum resins | Acid treatment | Polyfunctional carboxylic acid | [35] | ||
| Bitumen emulsion | Acid treatment | PPA | [36] | ||
| Bitumen Source | Oxidizing Agent | Additive | Reduction in Time (%) | Reduction in Temp. (%) | Improvement in Properties (%) | Refs. |
|---|---|---|---|---|---|---|
| Air-blown bitumen (vacuum residue) | Air | PPA-grafted silica | 29 | 15 | Reduction in carbon footprint (CO2 emission analysis): 35% | [2] |
| Industrial-grade bitumen (penetration grade 60/70) | Air | Waste polymer additives (WEVA) | 15 | 10 | Elastic modulus (MPA): +56%; ductility (cm): +20%; viscosity (Pa·s): +15% | [77] |
| Petroleum-derived asphalt flux (soft asphalt) | Ozone | Catalysts (e.g., FeCl2) | 78 | 57 | Complex shear modulus G* (kPa): +30% | [16] |
| Aged bitumen (UV-exposed road asphalt) | UV/ozone | None | 35 | 25 | Oxidative aging index reduction (carbonyl/sulfoxide ratio): −25% | [78] |
| Polymer-modified asphalt | Air | Recycled waste additives | 10 | 5 | Softening point (°C): +15% | [19] |
| Industrial bitumen (penetration grade 50/70) | Air | Silica and PPA | 15 | 30 | Durability (fatigue resistance cycle): +18%; tensile strength (MPa): +12% | [10] |
Disclaimer/Publisher’s Note: The statements, opinions and data contained in all publications are solely those of the individual author(s) and contributor(s) and not of MDPI and/or the editor(s). MDPI and/or the editor(s) disclaim responsibility for any injury to people or property resulting from any ideas, methods, instructions or products referred to in the content. |
© 2025 by the authors. Licensee MDPI, Basel, Switzerland. This article is an open access article distributed under the terms and conditions of the Creative Commons Attribution (CC BY) license (https://creativecommons.org/licenses/by/4.0/).
Share and Cite
Hashami, M.; Ongarbayev, Y.; Abdikhan, D.; Akkazin, E.; Nessipbayeva, N. Ozonation of Bitumen: Characteristics, Characterization, and Applications. Processes 2025, 13, 708. https://doi.org/10.3390/pr13030708
Hashami M, Ongarbayev Y, Abdikhan D, Akkazin E, Nessipbayeva N. Ozonation of Bitumen: Characteristics, Characterization, and Applications. Processes. 2025; 13(3):708. https://doi.org/10.3390/pr13030708
Chicago/Turabian StyleHashami, Muhammad, Yerdos Ongarbayev, Dinmukhamed Abdikhan, Erzhan Akkazin, and Nuripa Nessipbayeva. 2025. "Ozonation of Bitumen: Characteristics, Characterization, and Applications" Processes 13, no. 3: 708. https://doi.org/10.3390/pr13030708
APA StyleHashami, M., Ongarbayev, Y., Abdikhan, D., Akkazin, E., & Nessipbayeva, N. (2025). Ozonation of Bitumen: Characteristics, Characterization, and Applications. Processes, 13(3), 708. https://doi.org/10.3390/pr13030708

