Abstract
Natural pigments derived from plant sources are notable not only for their vibrant colors but also for their nutritional value and proven biological activities. Spray drying has emerged as an efficient and cost-effective encapsulation technique, offering significant advantages such as enhanced stability, improved handling properties, and protection against degradation. The diverse range of natural wall materials (e.g., polysaccharides, proteins, and lipids) and the variability in spray drying operating conditions provide numerous possibilities to optimize encapsulation processes. The aim of this systematic review was to evaluate and compare the key factors influencing spray drying encapsulation of plant-based pigments. ResearchGate, Scopus, and Google Scholar were searched between July and December 2024. Data extraction was performed manually using a standardized form to collect information on plant source, pigment type, wall materials (type and concentration), spray drying conditions (in-let/outlet temperatures and feed flow rate), and process results (encapsulation efficiency, process yield, and total pigment content). Future advances in spray drying should focus on the optimization of spray drying conditions. Furthermore, innovations in spray drying formulations, such as customized combinations of polysaccharides and proteins or the incorporation of emulsifiers, could lead to more effective and scalable encapsulation processes, supporting the development of high-performance stable pigments for food, cosmetic, and pharmaceutical applications.
1. Introduction
Pigments have a long history in human civilization, as the first records of their use date back to prehistoric times, when they were used to paint caves, create rock art, and decorate ceramics. These pigments were derived from sources, including minerals and colored earths such as iron oxide (ochre), manganese dioxide (black), titanium dioxide (white), and various clays with diverse shades [1].
Beginning in the 19th century, the creation of synthetic dyes revolutionized their use in various industries, offering advantages such as greater availability, enhanced color stability, and lower production costs [2]. However, growing concerns about the health risks associated with synthetic dyes such as allergic reactions, hyperactivity in children, and potential carcinogenicity, have driven the demand for natural alternatives [3].
In the modern food industry, plant-based pigments and colorants play a critical role not only in imparting color but also in providing essential functional characteristics. The color of both natural and processed foods serves a key indicator of freshness, quality and safety while strongly influencing consumer preferences due to its psychological impact [4].
Plant-based pigments have emerged as a promising alternative to synthetic dyes due to their bioactive properties, including antioxidant, anti-inflammatory, and photoprotective effects [5,6]. Among the most studied natural pigments are anthocyanins, carotenoids, chlorophylls, and betalains, which not only provide color but also offer functional benefits in food, pharmaceutical, and cosmetic applications. However, their widespread use is hampered by their susceptibility to degradation under environmental factors such as light, heat, oxygen, and pH changes [7,8,9,10,11,12,13].
Encapsulation is a well-studied strategy that has focused on improving the stability and bioavailability of plant-based pigments, and among the various encapsulation techniques, spray drying stands out as the most versatile for industrial applications [14,15,16]. This process allows the transformation of liquid pigment dispersions into stable powders, offering advantages such as longer shelf life, better handling, and increased protection against oxidation [14,17].
Despite the extensive use of spray drying to encapsulate plant-based pigments, significant gaps remain in the understanding of optimal operating parameters. Current research lacks a comprehensive analysis of the most effective wall materials, the influence of processing conditions on encapsulation efficiency, and the impact of spray drying on pigment bioactivity.
The aim of this systematic review was to evaluate and compare the key factors influencing spray drying encapsulation of plant-based pigments. Specifically, this review aims to:
- Compare spray drying with other encapsulation techniques, such as freeze drying, coacervation, and fluidized bed coating to highlight its advantages and limitations in industrial applications.
- Identify the most commonly used wall materials and their impact on plant-based pigment stability.
- Evaluate the optimal spray drying process conditions (e.g., inlet/outlet temperature and feed flow) to maximize encapsulation efficiency and plant-based pigment retention.
By synthesizing recent advances in the field, this review provides insights into best practices for the stabilization and retention of plant-based pigments, facilitating their broader application in the food, cosmetic and pharmaceutical industries.
2. Methodology
2.1. Research Questions
The research questions addressed by this study are:
- What makes spray drying the preferred method for encapsulating plant-based pigments compared to other encapsulation techniques?
- What are the main wall materials used in spray-drying encapsulation of plant-based pigments, and how do they influence the stability and retention of these pigments?
- What are the optimal spray drying process conditions (inlet/outlet temperature and feed flow rate) for different plant-based pigments to maximize encapsulation efficiency and pigment retention?
2.2. Search Strategy
The search process was conducted in ResearchGate, Scopus, and Google Scholar between July and December 2024. The search strategy followed the Preferred Reporting Items for Systematic Reviews and Meta-Analyses (PRISMA) guidelines. The keywords used were: “encapsulation”, “spray dried”, “spray cooling”, “ultrasonics”, “inclusion”, “fluidized bed coating”, “coacervation”, “freeze drying”, “co-crystallization”, “extrusion”, “wall material”, “chlorophylls”, “carotenoids”, “anthocyanins”, and “betalains”. The search terms were used individually and in combination using Boolean operators to refine the search (e.g., “spray AND drying” or “spray AND drying AND carotenoids”). Filters were applied to include only peer-reviewed studies published in English.
2.3. Inclusion/Exclusion Criteria
The selection process was conducted in three phases. In Phase 1, studies were included if the title contained the term “encapsulation” and the abstract referred to spray drying applied to food products. In Phase 2, only studies using spray drying as the encapsulation method were selected, and publication years were restricted to post-2010 for book chapters and post-2017 for review and original articles. These years were chosen to ensure the inclusion of the most recent advances in the field. In Phase 3, full texts were reviewed, and studies were excluded if they lacked methodological details (e.g., missing encapsulation conditions), did not provide data on encapsulation efficiency, pigment retention, or stability data), or were not accessible through institutional databases or official sources.
A PRISMA flowchart (Figure 1) outlines the study selection process. Initially, 950 documents were identified across the databases. After applying the inclusion/exclusion criteria, the final dataset included 10 book chapters, 34 review articles, and 137 original articles.
Figure 1.
Preferred Reporting Items for Systematic Reviews and Meta-Analyses (PRISMA) flowchart of the study selection process.
2.4. Selection Process
Data extraction was performed manually, collecting information on plant source, pigment type, wall materials (type and concentration), spray drying conditions (inlet/outlet temperatures and feed flow rate), and process results (encapsulation efficiency, process yield, and total pigment content). Data from each study was recorded in a structured table to facilitate comparison and synthesis.
3. Results
This section summarizes the results of the study.
3.1. Spray Drying Process
Encapsulation is a process designed to store, manage, preserve the stability, prevent degradation, and release core materials (e.g., substances, particles, enzymes, or compounds) under controlled conditions. During encapsulation, the core material is entrapped within a polymeric matrix known as the wall material, which can be composed of carbohydrates (e.g., starch, alginate, and maltodextrin (MD)), gums (e.g., Arabic (GA), karaya, and pectin), proteins (e.g., gelatin, whey (WPI), and gluten), lipids (e.g., beeswax and carnauba), or combinations of these materials [14,15,16].
Encapsulation processes can be physical, mechanical, or chemical methods, for example, extrusion, freeze drying, vacuum drying, spray cooling, fluidized bed coating, and spray drying, as specified in Table 1.
Table 1.
Characteristics of encapsulation techniques used for conservation of antioxidants compounds.
Spray drying is a unitary operation that converts liquid substances into solids in a continuous process consisting of three consecutive stages [14,26]. Prior to the spray drying process, the core material (component or substance to be encapsulated) must be dispersed with the wall material and additives (if required). The most used wall materials in spray drying processes are usually high molecular weight polymers such as starch, MD, and GA. The function of these materials is to increase the glass transition temperature of the dispersion to protect the core material, while reducing adhesion to the wall of the equipment during drying to minimize product losses [14,17]. The process starts with spraying the dispersion into the drying chamber at a controlled speed. The sprayed dispersion then comes into contact with the hot air that enters the drying chamber at a controlled flow rate and temperature. In this step, heat transfer occurs, causing the water in the dispersion to evaporate, resulting in the formation of a fine powder. Finally, the powder travels through the collection tunnel to the final container [14].
This process is fast, reproducible, scalable, and energy-efficient, making it cost-effective and economical. Furthermore, it has been shown to be useful for a broad spectrum of substances, including thermosensitive components (e.g., vitamins and antioxidant compounds) [14]. Therefore, it has been used at laboratory, pilot, and industrial scale (e.g., food, cosmetics, and pharmaceutical) [27,28], as it is intended to preserve, manipulate, store and transport the core materials in a simpler way [29].
3.2. Natural Pigments from Plant Sources
Plant-based pigments are primary and secondary metabolites generated as part of the plant’s metabolism, performing functions such as defense, photoprotection, metabolic regulation, and light harvesting [6]. Pigments can be classified into four main groups: chlorophylls, carotenoids, betalains, and flavonoids. Each group has a unique chemical structure, but their subgroups have structural modifications that lead to functional differences, which are described in the following sections.
3.2.1. Chlorophylls
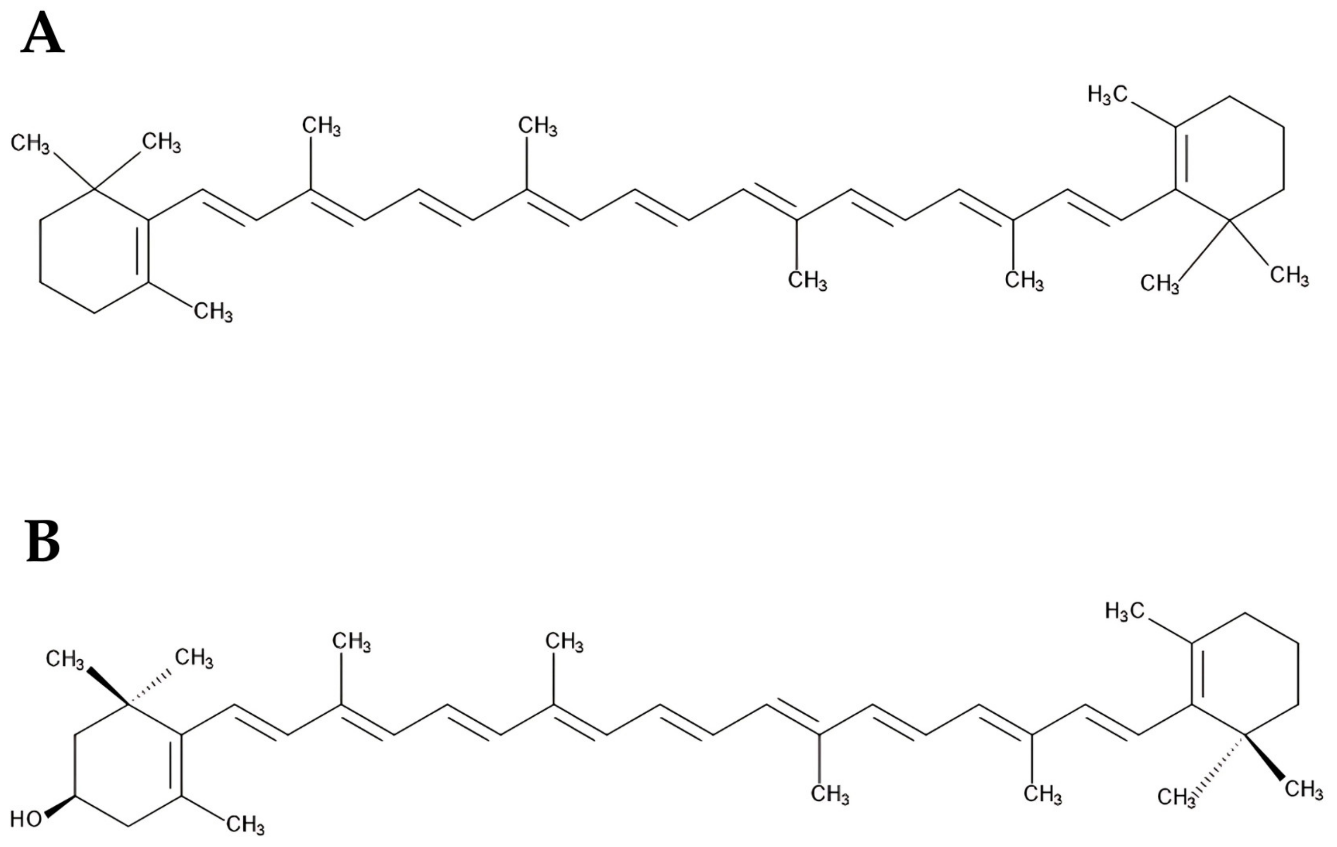
Chlorophylls are the pigments associated with the green color found in photosynthetic organisms such as cyanobacteria, algae, and plants. Their function is to transform light energy into chemical energy during photosynthesis [7]. Chlorophylls are found mainly in the green leaves of plants, but are also present in fruits, stems, and shoots. Not all green foods contain the same amount of chlorophylls or necessarily the same types. The levels can vary depending on the species and factors such as the plant’s age and the growing conditions [30]. There are four types of chlorophylls (a, b, c and d); however, chlorophylls a and b are the only ones present in plants [31]. Typically, the ratio of chlorophyll a to b is 3:1, but this can vary depending on the light conditions in which the plant is growing. That is, the proportion of chlorophyll a increases with greater exposure to light [30]. The structural difference between chlorophylls a and b is only at carbon 7, the first has a methyl group (-CH3) and the second an aldehyde group (-CHO), as shown in Figure 2. This difference allows for variations in the colors they represent, while chlorophyll a shows a blue-green color, while chlorophyll b shows a blue-yellow color [30].
Figure 2.
Chemical structure of (A) chlorophyll a and (B) chlorophyll b.
From a commercial perspective, chlorophylls and their derivatives are mainly used in the food industry as colorants, known for their ability to intensify and improve the color of food products [32]. Nutritionally, chlorophylls are a valuable source of vitamins A, C, E, and K; as well as essential minerals such as magnesium, iron, and calcium [30]. From a functional perspective, chlorophylls exhibit antioxidant properties, which make them the potential preventive and therapeutic agents in various diseases, including those associated with oxidative stress, such as inflammation, modulation of the intestinal microbiota, liver diseases, and even in the reduction in cancer cell proliferation [33,34].
3.2.2. Carotenoids
Carotenoids are a group of pigments found in plants, algae, and some photosynthetic microorganisms. In addition to their role in photosynthesis, they can attract insects for pollination and seed dispersal. Carotenoids are grouped into two main classes: carotenes and xanthophylls [8].
Carotenes are found in plant sources with colors ranging from deep orange to deep red, such as papaya, pomegranate, tomato, chili pepper, and watermelon [35,36]. The most common carotenes are α-carotene, β-carotene, and lycopene, which have a basic structure (Figure 3) composed only of carbon (-C) and hydrogen (-H) [8].
Figure 3.
Basic chemical structure of (A) carotenes and (B) xanthophylls.
On the other hand, xanthophylls are found in marigold flowers, potatoes, lettuce, guava, corn, and other plant species with colors ranging from bright yellow to orange [36,37]. The basic structure of xanthophylls (Figure 3) includes hydroxyl groups (-OH), for example, β-cryptoxanthin, capsanthin, lutein, and zeaxanthin [38].
Carotenoids are used in the food and cosmetic industries in products such as fruit juices, tomato sauces, sweets, sunscreens, and tanning lotions, due to their accessibility, variety of colors, and their pigmenting power [39]. Additionally, β-carotene is a precursor of vitamin A, which is essential for nutrition, eye health, and strengthening the immune system [40]. Furthermore, carotenoids are known for their antioxidant activity, which is related to multiple neurodegenerative diseases (e.g., Parkinson’s and Alzheimer’s). They have been studied for their anti-inflammatory, anti-cancer, and cardiovascular potential, as well as their role in controlling obesity, diabetes, and hypertension [35,41].
3.2.3. Betalains
Betalains are pigments found exclusively in the order Caryophyllales (families: Aizaceae, Amaranthaceae, Basellaceae, Cactaceae, Nyctaginaceae, Phytolaccaceae, Phytolaccaceae, and Portulacaceae) and in Basidiomycetes (higher fungi). Betalains are grouped into two main classes: the betacyanins and the betaxanthins, whose basic structure resembles betalamic acid (Figure 4). Betalains are primarily found in flowers, leaves, and stems with purple-red colorations, such as red beets, strawberries, dragon fruit, and prickly pears. The most common betacyanins are amaranthin, betanin, celosianin II, lampranthin I, and phyllocactin. On the other hand, betaxanthins are found in vegetables with yellow-orange colors, such as yellow beet, moss rose, Swiss chard, red goosefoot, and yellow prickly pear. The most common betaxanthins are dopaxanthin, indicaxanthin, purtulacaxanthin I, vulgaxanthin I, and vulgaxanthin II [9,10,11,12].
Figure 4.
Basic chemical structure of (A) betacyanins and (B) betaxanthins.
Betalains have gained attention due to their potential use as natural colorants in the food and cosmetics industries [42]. In recent years, studies have emerged exploring the application of betalains in smart packaging formulations, which indicate changes in the atmosphere within the packaging [43].
Betalains are also valuable for their nitrate content, which has a positive impact on the intestinal tract and plays a role in cardiovascular diseases [44]. Ample evidence has demonstrated their anti-inflammatory, antioxidant, and antispasmodic activity. Additionally, betalains appear to be beneficial in treating diseases such as diabetes, cancer, hypertension, and atherosclerosis [44,45,46].
3.2.4. Flavonoids
Flavonoids are a broad class of polyphenolic pigments that act as secondary metabolites in various plants, including fruits, vegetables, leaves, flowers, and roots [47]. They are characterized by a chemical structure composed of two phenolic rings and a central three-carbon ring that form a chromophore structure (Figure 5). More than 9000 types of flavonoids have been reported, classified into subclasses such as flavonols, flavones, flavonones, flavanol, isoflavones, and anthocyanins [13]. The most common flavonols are kaempferol, quercetin, myricetin, and tamarixetin, which provide yellow to greenish-yellow colors from sources such as onions, broccoli, olive oil, and berries. Flavones such as chrysin, apigenin, rutin, luteolin, and tangeretin found in buckwheat, red pepper, tomato skin, parsley, thyme, and other vegetables provide pale yellow to colorless colors. Flavanols such as catechin, epicatechin, epigallocatechin, glausan-3-epicatechin, proanthocyanidins from apples, and tea provide yellow to dark brown colors. Anthocyanidins such as apigenidin, cyanidin, delphinidin, pelargonidin, malvidin are found in cherries, blueberries, strawberries, grapes, and other red, purple, and blue fruits. Flavanones (e.g., naringin, naringenin, taxifolin, and hesperidin) found in citrus fruits—grapefruits, lemons, and oranges—and isoflavones (e.g., genistein and daidzein) from soybeans and legumes are not typically pigments, as they have other important functions in plants, such as protection against pathogens, interaction with soil microorganisms, and regulation of plant growth [13,48,49].
Figure 5.
Basic chemical structure of (A) flavonols, (B) flavones, (C) flavonones, (D) flavanol, (E) isoflavones, and (F) anthocyanins.
Flavonoids are widely used in the food industry due to their coloring and aromatic properties. They are used as food additives, dietary supplements, and as agents to improve the stability and flavor of foods and beverages [48]. Furthermore, they are attractive to the pharmaceutical industry due to their diverse biological properties, including antioxidant, anti-inflammatory, antimicrobial, antitumor, and cardioprotective activities. Therefore, it has been suggested that regular consumption of flavonoids may be associated with reduced risk of chronic diseases such as cardiovascular disease, cancer, and neurodegenerative diseases [49].
3.3. Encapsulation of Plant-Based Pigments
Several studies have used advanced techniques, such as spray drying, to encapsulate plant-based pigments and improve their stability and bioavailability, as listed in Table 2. The results of the process, in terms of total pigment content (TPC), are related to the initial content of the core material. In other words, each plant material contains varying concentrations depending on the plant source, species, maturity, environmental conditions, cultivation practices, etc. [50,51]. Furthermore, the analysis of the reviewed studies reveals that the choice of wall material and its concentrations, as well as the drying conditions, significantly impact the encapsulation efficiency (EE%) and pigment content retention (Table 2). The selection of an appropriate wall material for pigment encapsulation depends on the properties (hydrophilic or hydrophobic) of these bioactive compounds, the purpose of encapsulation (protection, controlled release, etc.), and the conditions of the spray drying process [52,53].
Table 2.
Encapsulation by spray drying of plant-based pigments.
4. Discussion
In this section, we discuss the answers to our research questions.
4.1. Versatility of Spray Drying for Encapsulating Plant-Based Pigments
The encapsulation of bioactive compounds and pigments can be achieved by various physical, mechanical and chemical techniques, each influencing the stability, functionality and applicability of the encapsulated compounds. Compared to other physical and mechanical techniques, spray drying offers advantages for encapsulating plant-based pigments.
Extrusion, although effective for encapsulating flavors and polymers, has limitations in preserving thermosensitive compounds due to the high pressures involved in the process [18]. Freeze drying provides excellent stability for oils and extracts, but its high cost and energy consumption make it less viable at an industrial level compared to spray drying [19]. Spray cooling, often used in the pharmaceutical and cosmetic industries, has limited efficiency in retaining hydrophilic pigments, such as anthocyanins and betalains [20]. Fluidized bed coating is suitable for vitamins and colorants but has lower capacity for encapsulating natural pigments due to the need for preformed particles [21]. Ultrasonic technology, although innovative and promising, is more oriented towards the encapsulation of fats and lipids, making it less effective for hydrophilic pigments like anthocyanins or carotenoids [22].
Chemical encapsulation techniques, such as coacervation, co-crystallization and inclusion, offer advantages for retaining oils and lipophilic compounds. However, their efficiency for encapsulating plant-based pigments may be limited, especially in those highly sensitive to oxidation. Coacervation effectively encapsulates carotenoids but poses challenges in controlling particle size and ensuring long-term stability [23]. Co-crystallization, commonly used for flavors and oils, is less suitable for pigments due to the need for supersaturated sugar solutions for simultaneous crystallization [24]. Finally, inclusion relies on hydrophobic and hydrophilic interactions to trap compounds within a matrix, but its applicability with spray drying depends on the interaction between the host and the encapsulated compound [25].
Spray drying stands out for its versatility and efficiency in encapsulating plant-based pigments, surpassing other techniques in scalability, cost, and industrial adaptability. This makes it suitable for applications in food, cosmetics and pharmaceutical products [14]. The growing number of scientific publications in recent years highlights its increasing use, not only for plant-based pigments but also for bioactive components in general (Figure 6).
Figure 6.
Number of publications related to the preservation of bioactive components by spray drying (source: Scopus; keywords: encapsulation, spray cooling, ultrasonics, inclusion, fluidized bed coating, coacervation, freeze drying, co crystallization, extrusion, and spray drying; accessed: 5 December 2024).
4.2. Wall Materials Used for Spray Drying of Plant-Based Pigments
Water solubility is a crucial characteristic in encapsulation, as it facilitates the formation of homogeneous solutions or suspensions. Most polysaccharides used as wall materials are hydrophilic, meaning they have an affinity for water [169]. However, some modified or complex polysaccharides, such as cyclodextrins, may have hydrophobic properties, allowing for the encapsulation of liposoluble bioactive compounds [170].
The most commonly used polysaccharides in spray drying of plant-based pigments include GA and MD (Table 2). These polysaccharides are frequently used in encapsulation due to their excellent film-forming properties and stability:
- For chlorophylls and carotenoids, polysaccharides alone may not be optimal due to their hydrophilic nature, but they can form emulsions that protect these pigments. Studies report that MD combined with GA (MD+GA) achieves high encapsulation efficiencies.
- For betalains and hydrophilic flavonoids (e.g., quercetin and catechin) [171,172], polysaccharides provide stable encapsulates. The combination of polysaccharides (e.g., MD+GA+Tehalose) does not always yield better results than using simple polysaccharides (MD).
Protein-based wall materials have amphipathic properties, interacting with both hydrophilic and hydrophobic compounds [173]. The hydrophilic region of proteins interacts with hydrophilic pigments such as betalains and hydrophilic flavonoids, while the hydrophobic region interacts with hydrophobic pigments such as chlorophylls, carotenoids [30,174], and hydrophobic flavonoids (e.g., apigenin and luteolin) [175]. Proteins can be used individually in spray drying processes [56,57,58], with WPI being the most commonly used in pigment encapsulation (Table 2). However, most studies report mixed formulations, where the protein mainly interacts with some polysaccharide [69,101,164], to enhance the characteristics of the encapsulates [98,108,164].
The success of spray drying in relation to wall material type can be visualized through the Process Yield (PY%), EE% and TPC (μg/g) parameters. Key findings include:
- MD alone shows high EE% for betacyanins (95–99%) [120] but variable results for astaxanthin (37–93%) [77].
- GA formulations significantly improve EE%, particularly for carotenoids, achieving up to 100% in guarana peels [76].
- Proteins (WPI, SPI) alone show high EE% for betacyanin (95–99% in pitahaya) and anthocyanins (75–93% in Rabbiteye blueberries) [120,163].
- Mixed systems (MD+GA, MD+Cyclodextrins, WPI+MD) often outperform single-component wall materials, improving both EE% and stability.
- PY values vary widely across studies due to differences in dryer type, feed rate, and formulation.
- Polysaccharides alone (MD) have PY% results up to 100% in betaxanthins [124], compared to mixed systems (MD+Soy protein: 35–45%) for flavonoids encapsulation [146].
- TPC is not necessarily correlated with EE% or PY%.
- TPC is the most relevant parameter for pigment encapsulation, as it reflects the amount of bioactive compound retained in the final powder.
- A high EE% does not guarantee high pigment retention if thermal degradation or losses occur during drying.
Combining different polysaccharides or blending them with proteins and lipids can optimize encapsulation properties, enhance pigment stability, and even enable controlled release (Table 2) [176].
4.3. Process Conditions for Spray-Drying of Plant-Based Pigments
Spray drying conditions are crucial for proper encapsulation, as they significantly influence the quality and stability of the final product [177]. Air inlet and outlet temperatures are among the most critical factors. On the one hand, high inlet temperatures (above 200 °C) can facilitate water evaporation and accelerate the spray drying process, but they can also cause collapsed, perforation [178,179], or even thermal degradation of heat-sensitive pigments [180]. In contrast, low inlet temperatures help maintain the stability of thermosensitive components but may result in sticky capsules due to insufficient drying [178]. Therefore, properly controlling the outlet temperature is crucial to ensure the resulting powder has adequate moisture content, preventing agglomeration, and maintaining the fluidity of the encapsulated powder.
According to the data compiled in Table 2, betalains have shown thermal stability at 70–90 °C, chlorophylls at 70–100 °C, flavonoids at 70–130 °C, and carotenoids at 90–190 °C.
The feed (or spray) speed in spray drying processes plays a crucial role. For example, an excessively fast speed can lead to insufficient water evaporation, resulting in larger and wetter particles, while a speed that is too slow can reduce process efficiency and increase operating costs. This effect is directly related to the contact time and heat transfer between the hot gas and the sprayed particles [26,181].
The type of sprayer and its nozzle (e.g., rotary, hydraulic, pneumatic, etc.) also influence the quality of the encapsulations. Nozzles that form finer droplets tend to achieve better encapsulation efficiency because they produce small, uniform particles with good dispersion and solubility of the final product, but although they require regular maintenance [26].
In addition, relative humidity and airflow in the spray drying chamber are additional factors to consider. Proper airflow ensures uniform heat distribution and efficient water vapor removal, while maintain low relative humidity in the drying chamber helps prevent moisture absorption by the encapsulated particles, preserving their stability and physical properties [26,181].
Optimizing these drying conditions results in encapsulates with improved properties, high encapsulation efficiency, and controlled release. However, the stability and functionality of any component, such as pigments, are maximized through the careful selection of the wall material. To carry out successful spray drying processes, it is necessary to consider the components to be encapsulated, wall material, the dryer type (model and scale), and the operating conditions tailored to these factors [14,16].
5. Concluding Remarks
Plant-based pigments from plant sources are not only notable for their vibrant colors but also for their nutritional value and proven biological activity. These compounds have shown potential in combating diseases such as diabetes, inflammation, hypertension, and certain types of cancer. Advances in science and technology have developed safe methods for extracting natural pigments with high levels of purity. However, their high reactivity remains a challenge for their application and utilization.
Spray drying is a highly effective technique for encapsulating plant-based pigments, with the choice of wall materials and process conditions playing a crucial role in determining encapsulation efficiency, pigment stability, and final product quality. Polysaccharides such as MD and GA remain widely used due to their film-forming properties, while proteins like WPI enhance interactions with both hydrophilic and hydrophobic compounds. Mixed systems, including polysaccharide-protein and polysaccharide-polysaccharide combinations, often yield superior encapsulation performance.
Optimizing spray drying parameters is essential for enhancing pigment stability, bioavailability, and overall product quality, with significant implications for the food, cosmetic, and pharmaceutical industries. In food applications, improved encapsulation can extend shelf life, maintain color integrity, and enhance functional properties. In cosmetics, stable pigment formulations can lead to more vibrant, long-lasting products, while in pharmaceuticals, controlled-release encapsulation can improve bioactive compound delivery.
Future advancements in spray drying should focus on developing novel wall materials, such as biopolymers, lipids, or proteins from non-conventional sources, to enhance pigment protection, solubility, and controlled release. Optimizing spray drying conditions—including temperature control, feed rate, and droplet size—will be key to improving encapsulation efficiency and pigment stability. Additionally, innovations in spray drying formulations, such as tailored polysaccharide-protein combinations or the incorporation of emulsifiers, could result in more effective and scalable encapsulation processes, supporting the development of high-performance, stable pigments for food, cosmetic, and pharmaceutical applications.
Funding
This research received no external funding.
Data Availability Statement
The original contributions presented in this study are included in the article. Further inquiries can be directed to the corresponding author.
Conflicts of Interest
The author declares no conflicts of interest.
References
- Sharma, A.; Singh, M.R. A Review on Historical Earth Pigments Used in India’s Wall Paintings. Heritage 2021, 4, 1970–1994. [Google Scholar] [CrossRef]
- Alegbe, E.O.; Uthman, T.O. A Review of History, Properties, Classification, Applications and Challenges of Natural and Synthetic Dyes. Heliyon 2024, 10, e33646. [Google Scholar] [CrossRef] [PubMed]
- Miller, M.D.; Steinmaus, C.; Golub, M.S.; Castorina, R.; Thilakartne, R.; Bradman, A.; Marty, M.A. Potential Impacts of Synthetic Food Dyes on Activity and Attention in Children: A Review of the Human and Animal Evidence. Environ. Health 2022, 21, 45. [Google Scholar] [CrossRef] [PubMed]
- Agarry, I.E.; Ding, D.; Li, Y.; Jin, Z.; Deng, H.; Hu, J.; Cai, T.; Kan, J.; Chen, K. In Vitro Bioaccessibility Evaluation of Chlorophyll Pigments in Single and Binary Carriers. Food Chem. 2023, 415, 135757. [Google Scholar] [CrossRef]
- Magalhães, D.; Gonçalves, R.; Rodrigues, C.V.; Rocha, H.R.; Pintado, M.; Coelho, M.C. Natural Pigments Recovery from Food By-Products: Health Benefits towards the Food Industry. Foods 2024, 13, 2276. [Google Scholar] [CrossRef]
- Solovchenko, A.; Yahia, E.M.; Chen, C. Pigments. In Postharvest Physiology and Biochemistry of Fruits and Vegetables; Elsevier Inc.: Amsterdam, The Netherlands, 2019; ISBN 9780128132784. [Google Scholar]
- Ares, A.M.; Bernal, J.L.; Nozal, M.J.; Bernal, J. Analysis of Herbal Bioactives. In Aromatic Herbs in Food—Bioactive Compounds, Processing, and Applications; Galanakis, C.M., Ed.; Elsevier: Amsterdam, The Netherlands, 2021; pp. 201–232. ISBN 978-0-12-822716-9. [Google Scholar]
- Swapnil, P.; Meena, M.; Singh, S.K.; Dhuldhaj, U.P.; Harish; Marwal, A. Vital Roles of Carotenoids in Plants and Humans to Deteriorate Stress with Its Structure, Biosynthesis, Metabolic Engineering and Functional Aspects. Curr. Plant Biol. 2021, 26, 100203. [Google Scholar] [CrossRef]
- Hussain, E.A.; Sadiq, Z.; Zia-Ul-Haq, M. Betalains: Biomolecular Aspects; Springer: Berlin/Heidelberg, Germany, 2018; ISBN 9783319956244. [Google Scholar]
- Moreno-Ley, C.M.; Osorio-Revilla, G.; Hernández-Martínez, D.M.; Ramos-Monroy, O.A.; Gallardo-Velázquez, T. Anti-Inflammatory Activity of Betalains: A Comprehensive Review. Hum. Nutr. Metab. 2021, 25, 200126. [Google Scholar] [CrossRef]
- Miguel, M.G. Betalains in Some Species of the Amaranthaceae Family: A Review. Antioxidants 2018, 7, 53. [Google Scholar] [CrossRef]
- Castro-Enríquez, D.D.; Montaño-Leyva, B.; Del Toro-Sánchez, C.L.; Juaréz-Onofre, J.E.; Carvajal-Millan, E.; Burruel-Ibarra, S.E.; Tapia-Hernández, J.A.; Barreras-Urbina, C.G.; Rodríguez-Félix, F. Stabilization of Betalains by Encapsulation—A Review. J. Food Sci. Technol. 2020, 57, 1587–1600. [Google Scholar] [CrossRef]
- Karak, P. Biological Activities of Flavonoids: An Overview. Int. J. Pharm. Sci. Res. 2019, 10, 1567–1574. [Google Scholar] [CrossRef]
- Díaz-Montes, E. Wall Materials for Encapsulating Bioactive Compounds via Spray-Drying: A Review. Polymers 2023, 15, 2659. [Google Scholar] [CrossRef] [PubMed]
- Díaz-Montes, E.; Vargas-León, E.A.; Garrido-Hernández, A.; Ceron-Montes, G.I. Simulación de La Transferencia de Calor En El Contenedor de Alimentación Del Secador Por Aspersión y Su Control de Temperatura. Pädi Boletín Científico Cienc. Básicas Ing. ICBI 2021, 9, 168–173. [Google Scholar] [CrossRef]
- Díaz-Montes, E.; Martínez Hernández, J.A.; Cerón-Montes, G.I.; Vargas-León, E.A. Transferencia de Calor En El Contenedor de Alimentación Del Secador Por Aspersión. Pâdi Boletín Científico Cienc. Básicas Ing. ICBI 2022, 10, 84–93. [Google Scholar] [CrossRef]
- Tran, T.T.A.; Nguyen, H.V.H. Effects of Spray-Drying Temperatures and Carriers on Physical and Antioxidant Properties of Lemongrass Leaf Extract Powder. Beverages 2018, 4, 84. [Google Scholar] [CrossRef]
- Bamidele, O.P.; Emmambux, M.N. Encapsulation of Bioactive Compounds by “Extrusion” Technologies: A Review. Crit. Rev. Food Sci. Nutr. 2021, 61, 3100–3118. [Google Scholar] [CrossRef]
- Rezvankhah, A.; Emam-Djomeh, Z.; Askari, G. Encapsulation and Delivery of Bioactive Compounds Using Spray and Freeze-Drying Techniques: A Review. Dry. Technol. 2019, 38, 235–258. [Google Scholar] [CrossRef]
- Favaro-Trindade, C.S.; de Matos Junior, F.E.; Okuro, P.K.; Dias-Ferreira, J.; Cano, A.; Severino, P.; Zielińska, A.; Souto, E.B. Encapsulation of Active Pharmaceutical Ingredients in Lipid Micro/Nanoparticles for Oral Administration by Spray-Cooling. Pharmaceutics 2021, 13, 1186. [Google Scholar] [CrossRef]
- Coronel-Aguilera, C.P.; San Martín-González, M.F. Encapsulation of Spray Dried β-Carotene Emulsion by Fluidized Bed Coating Technology. LWT 2015, 62, 187–193. [Google Scholar] [CrossRef]
- Leong, T.S.H.; Martin, G.J.O.; Ashokkumar, M. Ultrasonic Encapsulation—A Review. Ultrason. Sonochem. 2017, 35, 605–614. [Google Scholar] [CrossRef]
- Wang, B.; Akanbi, T.O.; Agyei, D.; Holland, B.J.; Barrow, C.J. Coacervation Technique as an Encapsulation and Delivery Tool for Hydrophobic Biofunctional Compounds. In Role of Materials Science in Food Bioengineering; Academic Press: New York, NY, USA, 2018; ISBN 9780128115008. [Google Scholar]
- Chezanoglou, E.; Goula, A.M. Co-Crystallization in Sucrose: A Promising Method for Encapsulation of Food Bioactive Components. Trends Food Sci. Technol. 2021, 114, 262–274. [Google Scholar] [CrossRef]
- Guo, S. Encapsulation of Curcumin into β-Cyclodextrins Inclusion: A Review. E3S Web Conf. 2019, 131, 4–7. [Google Scholar] [CrossRef]
- Santos, D.; Maurício, A.C.; Sencadas, V.; Santos, J.D.; Fernandes, M.H.; Gomes, P.S. Spray Drying: An Overview. In Biomaterials—Physics and Chemistry—New Edition; Pignatello, R., Ed.; IntechOpen: London, UK, 2017; pp. 9–35. [Google Scholar]
- Huang, X.; Sormoli, M.E.; Langrish, T.A.G. Review of Some Common Commercial and Noncommercial Lab-Scale Spray Dryers and Preliminary Tests for a Prototype New Spray Dryer. Dry. Technol. 2018, 36, 1900–1912. [Google Scholar] [CrossRef]
- Eijkelboom, N.M.; van Boven, A.P.; Siemons, I.; Wilms, P.F.C.; Boom, R.M.; Kohlus, R.; Schutyser, M.A.I. Particle Structure Development during Spray Drying from a Single Droplet to Pilot-Scale Perspective. J. Food Eng. 2023, 337, 111222. [Google Scholar] [CrossRef]
- Fang, Z.; Bhandari, B. Spray Drying of Bioactives. In Engineering Foods for Bioactives Stability and Delivery; Roos, Y., Livney, Y., Eds.; Springer: New York, NY, USA, 2017; pp. 261–284. ISBN 978-1-4939-6593-9. [Google Scholar]
- Ebrahimi, P.; Shokramraji, Z.; Tavakkoli, S.; Mihaylova, D.; Lante, A. Chlorophylls as Natural Bioactive Compounds Existing in Food By-Products: A Critical Review. Plants 2023, 12, 1533. [Google Scholar] [CrossRef]
- Martins, T.; Barros, A.N.; Rosa, E.; Antunes, L. Enhancing Health Benefits through Chlorophylls and Chlorophyll-Rich Agro-Food: A Comprehensive Review. Molecules 2023, 28, 5344. [Google Scholar] [CrossRef]
- Solymosi, K.; Mysliwa-Kurdziel, B. Chlorophylls and Their Derivatives Used in Food Industry and Medicine. Mini-Rev. Med. Chem. 2016, 17, 1194–1222. [Google Scholar] [CrossRef]
- Kang, Y.R.; Park, J.; Jung, S.K.; Chang, Y.H. Synthesis, Characterization, and Functional Properties of Chlorophylls, Pheophytins, and Zn-Pheophytins. Food Chem. 2018, 245, 943–950. [Google Scholar] [CrossRef]
- Zheng, H.; You, Y.; Hua, M.; Wu, P.; Liu, Y.; Chen, Z.; Zhang, L.; Wei, H.; Li, Y.; Luo, M.; et al. Chlorophyllin Modulates Gut Microbiota and Inhibits Intestinal Inflammation to Ameliorate Hepatic Fibrosis in Mice. Front. Physiol. 2018, 9, 1671. [Google Scholar] [CrossRef]
- Khan, U.M.; Sevindik, M.; Zarrabi, A.; Nami, M.; Ozdemir, B.; Kaplan, D.N.; Selamoglu, Z.; Hasan, M.; Kumar, M.; Alshehri, M.M.; et al. Lycopene: Food Sources, Biological Activities, and Human Health Benefits. Oxid. Med. Cell. Longev. 2021, 2021, 2713511. [Google Scholar] [CrossRef]
- Thomas, S.E.; Johnson, E.J. Xanthophylls. Adv. Nutr. 2018, 9, 160–162. [Google Scholar] [CrossRef]
- Ochoa Becerra, M.; Mojica Contreras, L.; Hsieh Lo, M.; Mateos Díaz, J.; Castillo Herrera, G. Lutein as a Functional Food Ingredient: Stability and Bioavailability. J. Funct. Foods 2020, 66, 103771. [Google Scholar] [CrossRef]
- Aziz, E.; Batool, R.; Akhtar, W.; Rehman, S.; Shahzad, T.; Malik, A.; Shariati, M.A.; Laishevtcev, A.; Plygun, S.; Heydari, M.; et al. Xanthophyll: Health Benefits and Therapeutic Insights. Life Sci. 2020, 240, 117104. [Google Scholar] [CrossRef] [PubMed]
- Honda, M. Nutraceutical and Pharmaceutical Applications of Carotenoids. In Pigments from Microalgae Handbook; Springer: Berlin/Heidelberg, Germany, 2020; ISBN 9783030509712. [Google Scholar]
- Lavelli, V.; Sereikait, J. Kinetic Study of Encapsulated β-Carotene Degradation in Dried Systems: A Review. Foods 2022, 11, 437. [Google Scholar] [CrossRef] [PubMed]
- Rivera, M.G.V.; Alejo, N.O. Chili Pepper Carotenoids: Nutraceutical Properties and Mechanisms of Action. Molecules 2020, 25, 5573. [Google Scholar] [CrossRef]
- Choo, W.S. Betalains: Application in Functional Foods. In Bioactive Molecules in Food; Reference Series in Phytochemistry; Mérillon, J.-M., Ramawat, K.G., Eds.; Springer: Cham, Switzerland, 2019; pp. 1471–1498. ISBN 9783319780306. [Google Scholar]
- Calva-Estrada, S.J.; Jiménez-Fernández, M.; Lugo-Cervantes, E. Betalains and Their Applications in Food: The Current State of Processing, Stability and Future Opportunities in the Industry. Food Chem. Mol. Sci. 2022, 4, 100089. [Google Scholar] [CrossRef] [PubMed]
- Kaur, G.; Thawkar, B.; Dubey, S.; Jadhav, P. Pharmacological Potentials of Betalains. J. Complement. Integr. Med. 2018, 15, 20170063. [Google Scholar] [CrossRef]
- Lechner, J.F.; Stoner, G.D. Red Beetroot and Betalains as Cancer Chemopreventative Agents. Molecules 2019, 24, 1602. [Google Scholar] [CrossRef]
- Fu, Y.; Shi, J.; Xie, S.Y.; Zhang, T.Y.; Soladoye, O.P.; Aluko, R.E. Red Beetroot Betalains: Perspectives on Extraction, Processing, and Potential Health Benefits. J. Agric. Food Chem. 2020, 68, 11595–11611. [Google Scholar] [CrossRef]
- Do Socorro Chagas, M.S.; Behrens, M.D.; Moragas-Tellis, C.J.; Penedo, G.X.M.; Silva, A.R.; Gonçalves-De-Albuquerque, C.F. Flavonols and Flavones as Potential Anti-Inflammatory, Antioxidant, and Antibacterial Compounds. Oxid. Med. Cell. Longev. 2022, 2022, 966750. [Google Scholar] [CrossRef]
- Melo, M.J. History of Natural Dyes in the Ancient Mediterranean Civilization. In Handbook of Natural Colorants; Stevens, C.V., Ed.; Wiley: Hoboken, NJ, USA, 2023; pp. 3–26. [Google Scholar]
- Dias, M.C.; Pinto, D.C.G.A.; Silva, A.M.S. Plant Flavonoids: Chemical Characteristics and Biological Activity. Molecules 2021, 26, 5377. [Google Scholar] [CrossRef]
- Baranski, R.; Goldman, I.; Nothnagel, T.; Budahn, H.; Scott, J.W. Improving Color Sources by Plant Breeding and Cultivation. In Handbook on Natural Pigments in Food and Beverages, 2nd ed.; Elsevier: Amsterdam, The Netherlands, 2024; pp. 507–553. [Google Scholar]
- Spinardi, A.; Cola, G.; Gardana, C.S.; Mignani, I. Variation of Anthocyanin Content and Profile Throughout Fruit Development and Ripening of Highbush Blueberry Cultivars Grown at Two Different Altitudes. Front. Plant Sci. 2019, 10, 1045. [Google Scholar] [CrossRef]
- Lu, W.; Yang, X.; Shen, J.; Li, Z.; Tan, S.; Liu, W.; Cheng, Z. Choosing the Appropriate Wall Materials for Spray-Drying Microencapsulation of Natural Bioactive Ingredients: Taking Phenolic Compounds as Examples. Powder Technol. 2021, 394, 562–574. [Google Scholar] [CrossRef]
- Banožić, M.; Vladić, J.; Banjari, I.; Velić, D.; Aladić, K.; Jokić, S. Spray Drying as a Method of Choice for Obtaining High Quality Products from Food Wastes—A Review. Food Rev. Int. 2023, 39, 1953–1985. [Google Scholar] [CrossRef]
- Cao, X.; Zhang, M.; Qian, H.; Mujumdar, A.S.; Wang, Z. Physicochemical and Nutraceutical Properties of Barley Grass Powder Microencapsulated by Spray Drying. Dry. Technol. 2017, 35, 1358–1367. [Google Scholar] [CrossRef]
- Zhang, Z.H.; Peng, H.; Woo, M.W.; Zeng, X.A.; Brennan, M.; Brennan, C.S. Preparation and Characterization of Whey Protein Isolate-Chlorophyll Microcapsules by Spray Drying: Effect of WPI Ratios on the Physicochemical and Antioxidant Properties. J. Food Eng. 2020, 267, 109729. [Google Scholar] [CrossRef]
- Zhang, Z.H.; Peng, H.; Ma, H.; Zeng, X.A. Effect of Inlet Air Drying Temperatures on the Physicochemical Properties and Antioxidant Activity of Whey Protein Isolate-Kale Leaves Chlorophyll (WPI-CH) Microcapsules. J. Food Eng. 2019, 245, 149–156. [Google Scholar] [CrossRef]
- Cao, H.K.N.; Dong, T.A.D. Study on the Effect of Metal Salts on Chlorophyll Pigment Extraction from Fresh Sauropus Androgynus Leaves. J. Agric. Food Res. 2023, 14, 100699. [Google Scholar] [CrossRef]
- Nguyen, T.D.L.H.; Ta, T.M.N.; Dong, T.A.D. Effect of Blanching, Freezing and Microwave-Assisted Pretreatment Methods on Chlorophyll Extraction from Sauropus Androgynus Leaves. J. Agric. Food Res. 2023, 14, 100766. [Google Scholar] [CrossRef]
- Looi, Y.F.; Ong, S.P.; Julkifle, A.; Alias, M.S. Effects of Pretreatment and Spray Drying on the Physicochemical Properties and Probiotics Viability of Moringa (Moringa oleifera Lam) Leaf Juice Powder. J. Food Process. Preserv. 2019, 43, e13915. [Google Scholar] [CrossRef]
- Rajabi, H.; Sedaghati, S.; Rajabzadeh, G.; Mohammadi Sani, A. Characterization of Microencapsulated Spinach Extract Obtained by Spray-Drying and Freeze-Drying Techniques and Its Use as a Source of Chlorophyll in a Chewing Gum Based on Pistacia Atlantica. Food Hydrocoll. 2024, 150, 109665. [Google Scholar] [CrossRef]
- Grace, M.H.; Hoskin, R.T.; Hayes, M.; Iorizzo, M.; Kay, C.; Ferruzzi, M.G.; Lila, M.A. Spray-Dried and Freeze-Dried Protein-Spinach Particles; Effect of Drying Technique and Protein Type on the Bioaccessibility of Carotenoids, Chlorophylls, and Phenolics. Food Chem. 2022, 388, 133017. [Google Scholar] [CrossRef] [PubMed]
- Östbring, K.; Sjöholm, I.; Rayner, M.; Erlanson-Albertsson, C. Effects of Storage Conditions on Degradation of Chlorophyll and Emulsifying Capacity of Thylakoid Powders Produced by Different Drying Methods. Foods 2020, 9, 669. [Google Scholar] [CrossRef] [PubMed]
- Femat-Castañeda, C.; Chávez-Rodríguez, A.; Chávez-Rodríguez, A.M.; Flores-Martínez, H.; Farías-Cervantes, V.S.; Andrade-González, I. Effect of Agave Fructans and Maltodextrin on Zn2+ Chlorophyll Microencapsulation by Spray Drying. J. Food Qual. 2019, 2019, 6312584. [Google Scholar] [CrossRef]
- Kang, Y.R.; Lee, Y.K.; Kim, Y.J.; Chang, Y.H. Characterization and Storage Stability of Chlorophylls Microencapsulated in Different Combination of Gum Arabic and Maltodextrin. Food Chem. 2019, 272, 337–346. [Google Scholar] [CrossRef]
- Çalışkan Koç, G.; Nur Dirim, S. Spray Drying of Spinach Juice: Characterization, Chemical Composition, and Storage. J. Food Sci. 2017, 82, 2873–2884. [Google Scholar] [CrossRef]
- Przybysz, M.A.; Szterk, A.; Symoniuk, E.; Gäszczyk, M.; Dłuewska, E. α-and β-Carotene Stability during Storage of Microspheres Obtained from Spray-Dried Microencapsulation Technology. Pol. J. Food Nutr. Sci. 2018, 68, 45–55. [Google Scholar] [CrossRef]
- González-Peña, M.A.; Lozada-Ramírez, J.D.; Ortega-Regules, A.E. Antioxidant Activities of Spray-Dried Carotenoids Using Maltodextrin-Arabic Gum as Wall Materials. Bull. Natl. Res. Cent. 2021, 45, 58. [Google Scholar] [CrossRef]
- Haas, K.; Robben, P.; Kiesslich, A.; Volkert, M.; Jaeger, H. Stabilization of Crystalline Carotenoids in Carrot Concentrate Powders: Effects of Drying Technology, Carrier Material, and Antioxidants. Foods 2019, 8, 285. [Google Scholar] [CrossRef]
- Šeregelj, V.; Ćetković, G.; Čanadanović-Brunet, J.; Šaponjac, V.T.; Vulić, J.; Lević, S.; Nedović, V.; Brandolini, A.; Hidalgo, A. Encapsulation of Carrot Waste Extract by Freeze and Spray Drying Techniques: An Optimization Study. LWT 2021, 138, 110696. [Google Scholar] [CrossRef]
- Vuli, J.; Šeregelj, V.; Šaponjac, V.T.; Banjac, M.K.; Kovacevic, S.; Šovljanski, O.; Cetkovic, G.; Canadanovic-Brunet, J.; Jevric, L.; Sanja, P.-K. From Sweet Corn By-Products to Carotenoid-Rich Encapsulates for Food Applications. Processes 2022, 10, 1616. [Google Scholar] [CrossRef]
- Aswathy, S.; Suresha, G.; Sneha, N.; Sadananda, G. Microencapsulation of Lycopene Rich Cherry Tomato Powder Using Spray Drying. Int. J. Chem. Stud. 2019, 7, 2270–2277. [Google Scholar]
- Chuyen, H.V.; Roach, P.D.; Golding, J.B.; Parks, S.E.; Nguyen, M.H. Encapsulation of Carotenoid-Rich Oil from Gac Peel: Optimisation of the Encapsulating Process Using a Spray Drier and the Storage Stability of Encapsulated Powder. Powder Technol. 2019, 344, 373–379. [Google Scholar] [CrossRef]
- Men, Y.; Fi, S.; Xu, C.; Zhu, Y.; Sun, Y. Supercritical Fluid CO2 Extraction and Microcapsule Preparation of Lycium Barbarum Residue Oil Rich in Zeaxanthin Dipalmitate. Foods 2021, 10, 1468. [Google Scholar] [CrossRef] [PubMed]
- Etzbach, L.; Meinert, M.; Faber, T.; Klein, C.; Schieber, A.; Weber, F. Effects of Carrier Agents on Powder Properties, Stability of Carotenoids, and Encapsulation Efficiency of Goldenberry (Physalis peruviana L.) Powder Produced by Co-Current Spray Drying. Curr. Res. Food Sci. 2020, 3, 73–81. [Google Scholar] [CrossRef]
- Pinho, L.S.; de Lima, P.M.; Henrique, S.; Gomes de Sá, S.H.; Chen, D.; Campanella, O.H.; Rodrigues, C.E.d.C.; Favaro-Trindade, C.S. Encapsulation of Rich-Carotenoids Extract from Guaran á (Paullinia cupana) Byproduct by a Combination of Spray Drying and Spray Chilling. Foods 2022, 11, 2557. [Google Scholar] [CrossRef]
- Pinho, L.S.; Patel, B.K.; Campanella, O.H.; Rodrigues, C.E.d.C.; Favaro-Trindade, C.S. Microencapsulation of Carotenoid-Rich Extract from Guaraná Peels and Study of Microparticle Functionality through Incorporation into an Oatmeal Paste. Foods 2023, 12, 1170. [Google Scholar] [CrossRef]
- Burgos-Díaz, C.; Opazo-Navarrete, M.; Soto-Añual, M.; Leal-Calderón, F.; Bustamante, M. Food-Grade Pickering Emulsion as a Novel Astaxanthin Encapsulation System for Making Powder-Based Products: Evaluation of Astaxanthin Stability during Processing, Storage, and Its Bioaccessibility. Food Res. Int. 2020, 134, 109244. [Google Scholar] [CrossRef]
- Morales, E.; Burgos-Díaz, C.; Zúñiga, R.N.; Jorkowski, J.; Quilaqueo, M.; Rubilar, M. Effect of Interfacial Ionic Layers on the Food-Grade o/w Emulsion Physical Stability and Astaxanthin Retention during Spray-Drying. Foods 2021, 10, 312. [Google Scholar] [CrossRef]
- Islam, M.Z.; Ayami, O.; Kitamura, Y.; Kokawa, M.; Takeshi, K.; Masayuki, K.; Norihiro, H. Micro Wet Milling and Spray Drying of Whole Mandarin Powder and Its Characterization. J. Food Meas. Charact. 2021, 15, 851–861. [Google Scholar] [CrossRef]
- Kurniawan, J.M.; Yusuf, M.M.; Azmi, S.S.; Salim, K.P.; Utami Prihastyanti, M.N.; Indrawati, R.; Heriyanto; Shioi, Y.; Limantara, L.; Brotosudarmo, T.H.P. Effect of Drying Treatments on the Contents of Lutein and Zeaxanthin in Orange- and Yellow-Cultivars of Marigold Flower and Its Application for Lutein Ester Encapsulation. IOP Conf. Ser. Mater. Sci. Eng. 2019, 509, 012060. [Google Scholar] [CrossRef]
- Pal, S.; Bhattacharjee, P. Spray Dried Powder of Lutein-Rich Supercritical Carbon Dioxide Extract of Gamma-Irradiated Marigold Flowers: Process Optimization, Characterization and Food Application. Powder Technol. 2018, 327, 512–523. [Google Scholar] [CrossRef]
- Suwanklang, P.; Thilavech, T.; Limwikrant, W.; Supharattanasitthi, W.; Lomarat, P. Analysis of Lutein Content InMicroencapsulatedMarigold Flower Extract (Tagetes erecta L.) Using UHPLC-Q-Orbitrap-HRMS and Its Cytotoxicity in ARPE-19 Cells. Molecules 2023, 28, 6025. [Google Scholar] [CrossRef] [PubMed]
- Carmona, P.A.O.; Garcia, L.C.; Ribeiro, J.A.d.A.; Valadares, L.F.; Marçal, A.d.F.; de França, L.F.; Mendonça, S. Effect of Solids Content and Spray-Drying Operating Conditions on the Carotenoids Microencapsulation from Pressed Palm Fiber Oil Extracted with Supercritical CO2. Food Bioprocess Technol. 2018, 11, 1703–1718. [Google Scholar] [CrossRef]
- Ordoñez-Santos, L.E.; Martínez-Girón, J.; Villamizar-Vargas, R.H. Encapsulation of β-Carotene Extracted from Peach Palm Residues: A Stability Study Using Two Spray-Dried Processes. DYNA 2018, 85, 128–134. [Google Scholar] [CrossRef]
- Oliveira, É.R.; Fernandes, R.V.B.; Botrel, D.A.; Carmo, E.L.; Borges, S.V.; Queiroz, F. Study of Different Wall Matrix Biopolymers on the Properties of Spray-Dried Pequi Oil and on the Stability of Bioactive Compounds. Food Bioprocess Technol. 2018, 11, 660–679. [Google Scholar] [CrossRef]
- Otálora, M.C.; Wilches-Torres, A.; Gómez Castaño, J.A. Microencapsulación de Guayaba Rosa (Psidium guajava) Carotenoides Utilizando Mucílago de Opuntia Ficus-Indica Cladodios y Hojas de Aloe Vera Como Materiales Encapsulantes. Polymers 2022, 14, 310. [Google Scholar] [CrossRef]
- de Lima, P.M.; Dacanal, G.C.; Pinho, L.S.; de Sá, S.H.G.; Thomazini, M.; Favaro-Trindade, C.S. Combination of Spray-Chilling and Spray-Drying Techniques to Protect Carotenoid-Rich Extracts from Pumpkin (Cucurbita moschata) Byproducts, Aiming at the Production of a Powdered Natural Food Dye. Molecules 2022, 27, 7530. [Google Scholar] [CrossRef]
- Lima, P.M.; Dacanal, G.C.; Pinho, L.S.; Pérez-Córdoba, L.J.; Thomazini, M.; Moraes, I.C.F.; Favaro-Trindade, C.S. Production of a Rich-Carotenoid Colorant from Pumpkin Peels Using Oil-in-Water Emulsion Followed by Spray Drying. Food Res. Int. 2021, 148, 110627. [Google Scholar] [CrossRef]
- Syamila, M.; Gedi, M.A.; Briars, R.; Ayed, C.; Gray, D.A. Effect of Temperature, Oxygen and Light on the Degradation of β-Carotene, Lutein and α-Tocopherol in Spray-Dried Spinach Juice Powder during Storage. Food Chem. 2019, 284, 188–197. [Google Scholar] [CrossRef]
- Ramakrishnan, Y.; Adzahan, N.M.; Yusof, Y.A.; Muhammad, K. Effect of Wall Materials on the Spray Drying Efficiency, Powder Properties and Stability of Bioactive Compounds in Tamarillo Juice Microencapsulation. Powder Technol. 2018, 328, 406–414. [Google Scholar] [CrossRef]
- García, J.M.; Giuffrida, D.; Dugo, P.; Mondello, L.; Osorio, C. Development and Characterisation of Carotenoid-Rich Microencapsulates from Tropical Fruit by-Products and Yellow Tamarillo (Solanum betaceum Cav.). Powder Technol. 2018, 339, 702–709. [Google Scholar] [CrossRef]
- Corrêa-Filho, L.C.; Lourenço, S.C.; Duarte, D.F.; Moldão-Martins, M.; Alves, V.D. Microencapsulation of Tomato (Solanum lycopersicum L.) Pomace Ethanolic Extract by Spray Drying: Optimization of Process Conditions. Appl. Sci. 2019, 9, 612. [Google Scholar] [CrossRef]
- Montiel-Ventura, J.; Luna-Guevara, J.J.; Tornero-Campante, M.A.; Delgado-Alvarado, A.; Luna-Guevara, M.L. Study of Encapsulation Parameters to Improve Content of Lycopene in Tomato (Solanum lycopersicum L.) Powders. Acta Aliment. 2018, 47, 135–142. [Google Scholar] [CrossRef]
- Li, J.; Pettinato, M.; Casazza, A.A.; Perego, P. A Comprehensive Optimization of Ultrasound-Assisted Extraction for Lycopene Recovery from Tomato Waste and Encapsulation by Spray Drying. Processes 2022, 10, 308. [Google Scholar] [CrossRef]
- Ferreira, L.M.d.M.C.; Pereira, R.R.; de Carvalho, F.B.; Santos, A.S.; Ribeiro-Costa, R.M.; Carréra Silva Júnior, J.O. Green Extraction by Ultrasound, Microencapsulation by Spray Drying and Antioxidant Activity of the Tucuma Coproduct (Astrocaryum vulgare Mart.) Almonds. Biomolecules 2021, 11, 545. [Google Scholar] [CrossRef]
- Santos, P.D.d.F.; Batista, P.S.; Torres, L.C.R.; Thomazini, M.; de Alencar, S.M.; Favaro-Trindade, C.S. Application of Spray Drying, Spray Chilling and the Combination of Both Methods to Produce Tucumã Oil Microparticles: Characterization, Stability, and β-Carotene Bioaccessibility. Food Res. Int. 2023, 172, 113174. [Google Scholar] [CrossRef]
- Santos, P.D.d.F.; Rubio, F.T.V.; Balieiro, J.C.d.C.; Thomazini, M.; Favaro-Trindade, C.S. Application of Spray Drying for Production of Microparticles Containing the Carotenoid-Rich Tucumã Oil (Astrocaryum vulgare Mart.). LWT 2021, 143, 111106. [Google Scholar] [CrossRef]
- Tabio-García, D.; Paraguay-Delgado, F.; Lardizabal Gutiérrez, D.; Quintero-Ramos, A.; Meléndez-Pizarro, C.O.; Ochoa-Martínez, L.A.; Sánchez-Madrigal, M.; Ruiz-Gutiérrez, M.G.; Espinoza-Hicks, J.C. Effectiveness of Opuntia Ficus-Indica Mucilage as a Carrier Agent in Microencapsulation of Bioactive Compounds of Amaranthus hypochondriacus var. Nutrisol. Food Biosci. 2023, 52, 102368. [Google Scholar] [CrossRef]
- Antigo, J.L.D.; Bergamasco, R.d.C.; Madrona, G.S. Effect of Ph on the Stability of Red Beet Extract (Beta vulgaris L.) Microcapsules Produced by Spray Drying or Freeze Drying. Food Sci. Technol. 2018, 38, 72–77. [Google Scholar] [CrossRef]
- Antigo, J.L.D.; da Silva, J.M.; Bergamasco, R.d.C.; Madrona, G.S. Microencapsulation of Beet Dye (Beta vulgaris L.) Using Maltodextrin and Xanthan Gum as Encapsulant Agents and Application in Yogurt. Res. Soc. Dev. 2020, 9, e14091210896. [Google Scholar] [CrossRef]
- Antigo, J.L.D.; Stafussa, A.P.; de Cassia Bergamasco, R.; Madrona, G.S. Chia Seed Mucilage as a Potential Encapsulating Agent of a Natural Food Dye. J. Food Eng. 2020, 285, 110101. [Google Scholar] [CrossRef]
- Brzezowska, J.; Skrzypczak, K.; Radzki, W.; Turkiewicz, I.P.; Ziaja-Sołtys, M.; Bogucka-Kocka, A.; Wojdyło, A.; Michalska-Ciechanowska, A. Comparative Study of Antioxidant, Antiglycation and Chemoprotective Potential of Beetroot Juice Powder Formulations with Functional Carriers. Food Biosci. 2023, 55, 103049. [Google Scholar] [CrossRef]
- Čakarević, J.; Šeregelj, V.; Tumbas Šaponjac, V.; Ćetković, G.; Čanadanović Brunet, J.; Popović, S.; Kostić, M.H.; Popović, L. Encapsulation of Beetroot Juice: A Study on the Application of Pumpkin Oil Cake Protein as New Carrier Agent. J. Microencapsul. 2020, 37, 121–133. [Google Scholar] [CrossRef] [PubMed]
- do Carmo, E.L.; Teodoro, R.A.R.; Campelo, P.H.; Figueiredo, J.d.A.; Botrel, D.A.; Fernandes, R.V.d.B.; Borges, S.V. The Use of Different Temperatures and Inulin:Whey Protein Isolate Ratios in the Spray Drying of Beetroot Juice. J. Food Process. Preserv. 2019, 43, e14113. [Google Scholar] [CrossRef]
- Dat, L.Q. Influences of Maltodextrin and Hot Air Temperature on Losses of Betacyanin and Antioxidant Capacity in Beetroot Juice Spray Drying. Vietnam J. Sci. Technol. 2018, 55, 92. [Google Scholar] [CrossRef]
- de Deus, C.; Eduardo de Souza Brener, C.; Marques da Silva, T.; Somacal, S.; Queiroz Zepka, L.; Jacob Lopes, E.; de Bona da Silva, C.; Teixeira Barcia, M.; Lozano Sánchez, J.; Ragagnin de Menezes, C. Co-Encapsulation of Lactobacillus Plantarum and Bioactive Compounds Extracted from Red Beet Stem (Beta vulgaris L.) by Spray Dryer. Food Res. Int. 2023, 167, 112607. [Google Scholar] [CrossRef]
- García-segovia, P.; Igual, M.; Martínez-monzó, J. Beetroot Microencapsulation with Pea Protein Using Spray Drying: Physicochemical, Structural and Functional Properties. Appl. Sci. 2021, 11, 6658. [Google Scholar] [CrossRef]
- Gawałek, J. Effect of Spray Dryer Scale Size on the Properties of Dried Beetroot Juice. Molecules 2021, 26, 6700. [Google Scholar] [CrossRef]
- Igual, M.; Fernandes, Â.; Dias, M.I.; Pinela, J.; García-Segovia, P.; Martínez-Monzó, J.; Barros, L. The In Vitro Simulated Gastrointestinal Digestion Affects the Bioaccessibility and Bioactivity of Beta vulgaris Constituents. Foods 2023, 12, 338. [Google Scholar] [CrossRef]
- Jain, P.; Singh, M. Spray Drying of Rose Petal Juice: Effect of Air Temperature and Feed Flow Rate on Physical Attributes. Pharma Innov. J. 2021, 10, 2181–2186. [Google Scholar]
- Janiszewska-Turak, E.; Walczak, M.; Rybak, K.; Pobiega, K.; Gniewosz, M.; Woźniak, Ł.; Witrowa-Rajchert, D. Influence of Fermentation Beetroot Juice Process on the Physico-Chemical Properties of Spray Dried Powder. Molecules 2022, 27, 1008. [Google Scholar] [CrossRef] [PubMed]
- Jedlińska, A.; Barańska, A.; Witrowa-Rajchert, D.; Ostrowska-Ligęza, E.; Samborska, K. Dehumidified Air-Assisted Spray-Drying of Cloudy Beetroot Juice at Low Temperature. Appl. Sci. 2021, 11, 6578. [Google Scholar] [CrossRef]
- Pagano, A.P.E.; Khalid, N.; Kobayashi, I.; Nakajima, M.; Neves, M.A.; Bastos, E.L. Microencapsulation of Betanin in Monodisperse W/O/W Emulsions. Food Res. Int. 2018, 109, 489–496. [Google Scholar] [CrossRef] [PubMed]
- Kuhn, F.; de Azevedo, E.S.; Noreña, C.P.Z. Behavior of Inulin, Polydextrose, and Egg Albumin as Carriers of Bougainvillea glabra Bracts Extract: Rheological Performance and Powder Characterization. J. Food Process. Preserv. 2020, 44, e14834. [Google Scholar] [CrossRef]
- Otálora, M.C.; Carriazo, J.G.; Osorio, C.; Nazareno, M.A. Encapsulation of Cactus (Opuntia megacantha) Betaxanthins by Ionic Gelation and Spray Drying: A Comparative Study. Food Res. Int. 2018, 111, 423–430. [Google Scholar] [CrossRef]
- Roriz, C.L.; Heleno, S.A.; Carocho, M.; Rodrigues, P.; Pinela, J.; Dias, M.I.; Fernandes, I.P.; Barreiro, M.F.; Morales, P.; Barros, L.; et al. Betacyanins from Gomphrena Globosa L. Flowers: Incorporation in Cookies as Natural Colouring Agents. Food Chem. 2020, 329, 127178. [Google Scholar] [CrossRef]
- Delia, S.C.; Chávez, G.M.; León-Martínez Frank, M.; Araceli, S.G.P.; Irais, A.L.; Franco, A.A. Spray Drying Microencapsulation of Betalain Rich Extracts from Escontria Chiotilla and Stenocereus Queretaroensis Fruits Using Cactus Mucilage. Food Chem. 2019, 272, 715–722. [Google Scholar] [CrossRef]
- Otálora, M.C.; Wilches-Torres, A.; Gómez Castaño, J.A. Microencapsulation of Betaxanthin Pigments from Pitahaya (Hylocereus megalanthus) By-Products: Characterization, Food Application, Stability, and In Vitro Gastrointestinal Digestion. Foods 2023, 12, 2700. [Google Scholar] [CrossRef]
- Shaaruddin, S.; Ghazali, H.M.; Hamed Mirhosseini, S.; Muhammad, K. Stability of Betanin in Pitaya Powder and Confection as Affected by Resistant Maltodextrin. LWT 2017, 84, 129–134. [Google Scholar] [CrossRef]
- Shofinita, D.; Bindar, Y.; Samadhi, T.W.; Choliq, N.S.; Jaelawijaya, A.A. Increasing the Yield of Powder and Bioactive Materials during Extraction and Spray Drying of Dragon Fruit Skin Extracts. J. Eng. Technol. Sci. 2021, 53, 1222–1234. [Google Scholar] [CrossRef]
- Susanti, I.; Hasanah, F.; Wijaya, H.; Heryani, S.; Hartanto, E.S. Drying of Extracted Betacyanin from Red Dragon Fruit (Hylocereus costaricensis) as Natural Colorant by Using Spray Dryer in Various Operating Condition. IOP Conf. Ser. Mater. Sci. Eng. 2020, 885, 012058. [Google Scholar] [CrossRef]
- Vargas-Campos, L.; Valle-Guadarrama, S.; Martínez-Bustos, F.; Salinas-Moreno, Y.; Lobato-Calleros, C.; Calvo-López, A.D. Encapsulation and Pigmenting Potential of Betalains of Pitaya (Stenocereus pruinosus) Fruit. J. Food Sci. Technol. 2018, 55, 2436–2445. [Google Scholar] [CrossRef] [PubMed]
- Rodrigues Vieira, T.R.; Lima, A.B.; Ribeiro, C.M.C.M.; de Medeiros, P.V.Q.; Converti, A.; dos Santos Lima, M.; Maciel, M.I.S. Red Pitaya (Hylocereus polyrhizus) as a Source of Betalains and Phenolic Compounds: Ultrasound Extraction, Microencapsulation, and Evaluation of Stability. LWT 2024, 196, 115755. [Google Scholar] [CrossRef]
- Toledo-Madrid, K.; Gallardo-Velázquez, T.; Osorio-Revilla, G. Microencapsulation of Purple Cactus Pear Fruit (Opuntia ficus indica) Extract by the Combined Method W/O/W Double Emulsion-Spray Drying and Conventional Spray Drying: A Comparative Study. Processes 2018, 6, 189. [Google Scholar] [CrossRef]
- Carmona, J.C.; Robert, P.; Vergara, C.; Sáenz, C. Microparticles of Yellow-Orange Cactus Pear Pulp (Opuntia ficus-indica) with Cladode Mucilage and Maltodextrin as a Food Coloring in Yogurt. LWT 2021, 138, 110672. [Google Scholar] [CrossRef]
- Castañeda-Yañez, A.; Martín-del-Campo, S.T.; San-Martin, A.; Cardador-Martínez, A. Color and Antioxidant Capacity Preservation of Opuntia Spp. Juices by Spray-Drying Microencapsulation. J. Food Res. 2018, 7, 16. [Google Scholar] [CrossRef][Green Version]
- Fernández-López, J.A.; Roca, M.J.; Angosto, J.M.; Obón, J.M. Betaxanthin-Rich Extract from Cactus Pear Fruits as Yellow Water-Soluble Colorant with Potential Application in Foods. Plant Foods Hum. Nutr. 2018, 73, 146–153. [Google Scholar] [CrossRef]
- Ferreira, R.M.; Queffelec, J.; Flórez-Fernández, N.; Saraiva, J.A.; Torres, M.D.; Cardoso, S.M.; Domínguez, H. Production of Betalain-Rich Opuntia Ficus-Indica Peel Flour Microparticles Using Spray-Dryer: A Holist Approach. LWT 2023, 186, 115241. [Google Scholar] [CrossRef]
- Aguilar-Tuesta, S.; Mamani-Navarro, W.; Espinoza-Silva, C.; Basilio-Atencio, J.; Condezo-Hoyos, L. Microencapsulates of Betacyanin from Colored Organic Quinoa (Chenopodium quinoa Willd): Optimization, Physicochemical Characterization and Accelerated Storage Stability. J. Sci. Food Agric. 2018, 98, 5873–5883. [Google Scholar] [CrossRef]
- Estupiñan-Amaya, M.; Fuenmayor, C.A.; López-Córdoba, A. Exploring the Potential of Wild Andean Blueberries for Powdered Juice Production through Spray Drying. Foods 2023, 12, 2348. [Google Scholar] [CrossRef]
- Otálora, M.C.; Wilches-Torres, A.; Gómez Castaño, J.A. Spray-Drying Microencapsulation of Andean Blueberry (Vaccinium meridionale Sw.) Anthocyanins Using Prickly Pear (Opuntia ficus indica L.) Peel Mucilage or Gum Arabic: A Comparative Study. Foods 2023, 12, 1811. [Google Scholar] [CrossRef] [PubMed]
- Begum, Y.A.; Deka, S.C. Stability of Spray-Dried Microencapsulated Anthocyanins Extracted from Culinary Banana Bract. Int. J. Food Prop. 2017, 20, 3135–3148. [Google Scholar] [CrossRef]
- Cheng, A.W.; Xie, H.X.; Qi, Y.; Liu, C.; Guo, X.; Sun, J.Y.; Liu, L.N. Effects of Storage Time and Temperature on Polyphenolic Content and Qualitative Characteristics of Freeze-Dried and Spray-Dried Bayberry Powder. LWT 2017, 78, 235–240. [Google Scholar] [CrossRef]
- Gagneten, M.; Corfield, R.; Mattson, M.G.; Sozzi, A.; Leiva, G.; Salvatori, D.; Schebor, C. Spray-Dried Powders from Berries Extracts Obtained upon Several Processing Steps to Improve the Bioactive Components Content. Powder Technol. 2019, 342, 1008–1015. [Google Scholar] [CrossRef]
- Hoskin, R.T.; Grace, M.H.; Xiong, J.; Lila, M.A. Spray-Drying Microencapsulation of Blackcurrant and Cocoa Polyphenols Using Underexplored Plant-Based Protein Sources. J. Food Sci. 2023, 88, 2665–2678. [Google Scholar] [CrossRef]
- Lauro, M.R.; Crascì, L.; Giannone, V.; Ballistreri, G.; Fabroni, S.; Sansone, F.; Rapisarda, P.; Panico, A.M.; Puglisi, G. An Alginate/Cyclodextrin Spray Drying Matrix to Improve Shelf Life and Antioxidant Efficiency of a Blood Orange by-Product Extract Rich in Polyphenols: MMPs Inhibition and Antiglycation Activity in Dysmetabolic Diseases. Oxidative Med. Cell. Longev. 2017, 2017, 2867630. [Google Scholar] [CrossRef]
- Michalska, A.; Wojdyło, A.; Brzezowska, J.; Majerska, J.; Ciska, E. The Influence of Inulin on the Retention of Polyphenolic Compounds during the Drying of Blackcurrant Juice. Molecules 2019, 24, 4167. [Google Scholar] [CrossRef]
- Sánchez-Madrigal, M.; Quintero-Ramos, A.; Amaya-Guerra, C.A.; Meléndez-Pizarro, C.O.; Castillo-Hernández, S.L.; Aguilera-González, C.J. Effect of Agave Fructans as Carrier on the Encapsulation of Blue Corn Anthocyanins by Spray Drying. Foods 2019, 8, 0268. [Google Scholar] [CrossRef]
- Saavedra-Leos, M.Z.; Leyva-Porras, C.; López-Martínez, L.A.; González-García, R.; Martínez, J.O.; Martínez, I.C.; Toxqui-Terán, A. Evaluation of the Spray Drying Conditions of Blueberry Juice-Maltodextrin on the Yield, Content, and Retention of Quercetin 3-D-Galactoside. Polymers 2019, 11, 312. [Google Scholar] [CrossRef]
- Waterhouse, G.I.N.; Sun-Waterhouse, D.; Su, G.; Zhao, H.; Zhao, M. Spray-Drying of Antioxidant-Rich Blueberry Waste Extracts; Interplay Between Waste Pretreatments and Spray-Drying Process. Food Bioprocess Technol. 2017, 10, 1074–1092. [Google Scholar] [CrossRef]
- Romero-Román, M.E.; Schoebitz, M.; Fuentealba, J.; García-Viguera, C.; Belchí, M.D.L. Phenolic Compounds in Calafate Berries Encapsulated by Spray Drying: Neuroprotection Potential into the Ingredient. Antioxidants 2021, 10, 1830. [Google Scholar] [CrossRef] [PubMed]
- Pradana, A.T.; Nawatila, R.; Alkindi, F.F.; Darmayani, N.P.R.; Susanti, E.D. The Effect of Spray-Drying Temperature on Centella Asiatica Extract-β Cyclodextrin-Maltodextrin Nanoparticle Characteristics and Stability. Pharmaciana 2021, 11, 394. [Google Scholar] [CrossRef]
- Ćujić-Nikolić, N.; Stanisavljević, N.; Šavikin, K.; Kalušević, A.; Nedović, V.; Samardžić, J.; Janković, T. Chokeberry Polyphenols Preservation Using Spray Drying: Effect of Encapsulation Using Maltodextrin and Skimmed Milk on Their Recovery Following in Vitro Digestion. J. Microencapsul. 2019, 36, 693–703. [Google Scholar] [CrossRef]
- Ćujić-Nikolić, N.; Stanisavljević, N.; Šavikin, K.; Kalušević, A.; Nedović, V.; Bigović, D.; Janković, T. Application of Gum Arabic in the Production of Spray-Dried Chokeberry Polyphenols, Microparticles Characterisation and in Vitro Digestion Method. Lek. Sirovine 2018, 38, 9–16. [Google Scholar] [CrossRef]
- Ríos-Pérez, M.F.; Quintero-Lira, A.; Piloni-Martini, J.; Soto-Simental, S.; López-Palestina, C.U.; Urrutia-Hernández, T.A.; Cariño-Cortés, R.; Reyes-Munguía, A. Antioxidant Capacity and Physicochemical Characterization of Microencapsulated Aqueous Extracts of Cinnamon (Cinnamon zeylanicum) by Spray-Dryer. Biointerface Res. Appl. Chem. 2023, 13, 537. [Google Scholar] [CrossRef]
- Papoutsis, K.; Golding, J.B.; Vuong, Q.; Pristijono, P.; Stathopoulos, C.E.; Scarlett, C.J.; Bowyer, M. Encapsulation of Citrus By-Product Extracts by Spray-Drying and Freeze-Drying Using Combinations of Maltodextrin with Soybean Protein and ι-Carrageenan. Foods 2018, 7, 115. [Google Scholar] [CrossRef]
- Kapcum, C.; Uriyapongson, J. Effects of Storage Conditions on Phytochemical and Stability of Purple Corn Cob Extract Powder. Food Sci. Technol. 2018, 38, 301–305. [Google Scholar] [CrossRef]
- Zhang, J.; Zhang, C.; Chen, X.; Quek, S.Y. Effect of Spray Drying on Phenolic Compounds of Cranberry Juice and Their Stability during Storage. J. Food Eng. 2020, 269, 109744. [Google Scholar] [CrossRef]
- Michalska, A.; Wojdyło, A.; Honke, J.; Ciska, E.; Andlauer, W. Drying-Induced Physico-Chemical Changes in Cranberry Products. Food Chem. 2018, 240, 448–455. [Google Scholar] [CrossRef]
- da Costa, R.S.; Teixeira, C.B.; Gabbay Alves, T.V.; Ribeiro-Costa, R.M.; Casazza, A.A.; Aliakbarian, B.; Converti, A.; Silva Júnior, J.O.C.; Perego, P. Optimization of Spray Drying Conditions to Microencapsulate Cupuassu (Theobroma grandiflorum) Seed by-Product Extract. Nat. Prod. Res. 2019, 33, 2600–2608. [Google Scholar] [CrossRef]
- İlhan Dincer, E.; Temiz, H. Investigation of Physicochemical, Microstructure and Antioxidant Properties of Firethorn (Pyracantha coccinea var. lalandi) Microcapsules Produced by Spray-Dried and Freeze-Dried Methods. S. Afr. J. Bot. 2023, 155, 340–354. [Google Scholar] [CrossRef]
- Carra, J.B.; de Matos, R.L.N.; Novelli, A.P.; do Couto, R.O.; Yamashita, F.; Ribeiro, M.A.d.S.; Meurer, E.C.; Verri, W.A.; Casagrande, R.; Georgetti, S.R.; et al. Spray-Drying of Casein/Pectin Bioconjugate Microcapsules Containing Grape (Vitis labrusca) by-Product Extract. Food Chem. 2022, 368, 130817. [Google Scholar] [CrossRef] [PubMed]
- Di Prima, G.; Scurria, A.; Angellotti, G.; Belfiore, E.; Pagliaro, M.; Meneguzzo, F.; De Caro, V.; Ciriminna, R. Grapefruit IntegroPectin Isolation via Spray Drying and via Freeze Drying: A Comparison. Sustain. Chem. Pharm. 2022, 29, 100816. [Google Scholar] [CrossRef]
- Papillo, V.A.; Locatelli, M.; Travaglia, F.; Bordiga, M.; Garino, C.; Arlorio, M.; Coïsson, J.D. Spray-Dried Polyphenolic Extract from Italian Black Rice (Oryza sativa L., var. Artemide) as New Ingredient for Bakery Products. Food Chem. 2018, 269, 603–609. [Google Scholar] [CrossRef]
- Dobroslavić, E.; Elez Garofulić, I.; Zorić, Z.; Pedisić, S.; Roje, M.; Dragović-Uzelac, V. Physicochemical Properties, Antioxidant Capacity, and Bioavailability of Laurus Nobilis L. Leaf Polyphenolic Extracts Microencapsulated by Spray Drying. Foods 2023, 12, 1923. [Google Scholar] [CrossRef]
- Leyva-Jiménez, F.J.; Lozano-Sánchez, J.; Cádiz-Gurrea, M.L.; Fernández-Ochoa, Á.; Arráez-Román, D.; Segura-Carretero, A. Spray-Drying Microencapsulation of Bioactive Compounds from Lemon Verbena Green Extract. Foods 2020, 9, 1547. [Google Scholar] [CrossRef]
- Martínez-Preciado, A.H.; Silva-Jara, J.M.; Flores-Nuño, B.A.; Michel, C.R.; Castellanos-Haro, A.; Macías-Rodríguez, M.E. Microencapsulation by Spray-Dryingcontenido of Manilkara Zapota Pulp and Probiotics (Lactobacillus fermentum A15): Assessment of Shelf-Life in a Food Matrix. Rev. Mex. Ing. Quim. 2021, 20, 635–648. [Google Scholar] [CrossRef]
- Pashazadeh, H.; Zannou, O.; Ghellam, M.; Koca, I.; Galanakis, C.M.; Aldawoud, T.M.S. Optimization and Encapsulation of Phenolic Compounds Extracted from Maize Waste by Freeze-Drying, Spray-Drying, and Microwave-Drying Using Maltodextrin. Foods 2021, 10, 1396. [Google Scholar] [CrossRef]
- Rahmati, E.; Sharifian, F.; Fattahi, M. Process Optimization of Spray-Dried Moldavian Balm (Dracocephalum moldavica L.) Extract Powder. Food Sci. Nutr. 2020, 8, 6580–6591. [Google Scholar] [CrossRef]
- Castro-López, C.; Espinoza-González, C.; Ramos-González, R.; Boone-Villa, V.D.; Aguilar-González, M.A.; Martínez-Ávila, G.C.G.; Aguilar, C.N.; Ventura-Sobrevilla, J.M. Spray-Drying Encapsulation of Microwave-Assisted Extracted Polyphenols from Moringa Oleifera: Influence of Tragacanth, Locust Bean, and Carboxymethyl-Cellulose Formulations. Food Res. Int. 2021, 144, 110291. [Google Scholar] [CrossRef]
- Dadi, D.W.; Emire, S.A.; Hagos, A.D.; Eun, J.B. Effects of Spray Drying Process Parameters on the Physical Properties and Digestibility of the Microencapsulated Product from Moringa Stenopetala Leaves Extract. Cogent Food Agric. 2019, 5, 1690316. [Google Scholar] [CrossRef]
- Cegledi, E.; Garofulić, I.E.; Zorić, Z.; Roje, M.; Dragović-Uzelac, V. Effect of Spray Drying Encapsulation on Nettle Leaf Extract Powder Properties, Polyphenols and Their Bioavailability. Foods 2022, 11, 2852. [Google Scholar] [CrossRef] [PubMed]
- Pan, L.H.; Chen, L.P.; Wu, C.L.; Wang, J.F.; Luo, S.Z.; Luo, J.P.; Zheng, Z. Microencapsulation of Blueberry Anthocyanins by Spray Drying with Soy Protein Isolates/High Methyl Pectin Combination: Physicochemical Properties, Release Behavior in Vitro and Storage Stability. Food Chem. 2022, 395, 133626. [Google Scholar] [CrossRef]
- Gimbun, J.; Nguang, S.L.; Pang, S.F.; Yeong, Y.L.; Kee, K.L.; Chin, S.C. Assessment of Phenolic Compounds Stability and Retention during Spray Drying of Phyllanthus Niruri Extracts. Ind. Eng. Chem. Res. 2019, 58, 752–761. [Google Scholar] [CrossRef]
- Vergara, C.; Pino, M.T.; Zamora, O.; Parada, J.; Pérez, R.; Uribe, M.; Kalazich, J. Microencapsulation of Anthocyanin Extracted from Purple Flesh Cultivated Potatoes by Spray Drying and Its Effects on in Vitro Gastrointestinal Digestion. Molecules 2020, 25, 722. [Google Scholar] [CrossRef]
- Nguyen, Q.D.; Dang, T.T.; Nguyen, T.V.L.; Nguyen, T.T.D.; Nguyen, N.N. Microencapsulation of Roselle (Hibiscus sabdariffa L.) Anthocyanins: Effects of Drying Conditions on Some Physicochemical Properties and Antioxidant Activities of Spray-Dried Powder. Food Sci. Nutr. 2022, 10, 191–203. [Google Scholar] [CrossRef]
- Ballesteros, L.F.; Ramirez, M.J.; Orrego, C.E.; Teixeira, J.A.; Mussatto, S.I. Encapsulation of Antioxidant Phenolic Compounds Extracted from Spent Coffee Grounds by Freeze-Drying and Spray-Drying Using Different Coating Materials. Food Chem. 2017, 237, 623–631. [Google Scholar] [CrossRef]
- López-belchí, M.D.; Caamaño, E.F.; Pascual, G.; Noriega, F.; Fierro-morales, P.; Romero-román, M.E.; Jara, P.; Schoebitz, M.; Serra, I.; Moreno, D.A. Spray-dried Formulations Rich in Malvidin from Tintorera Grape Wastes: Characterization, Stability, and Storage. Processes 2021, 9, 518. [Google Scholar] [CrossRef]
- Ioelovich, M. Study of Hydrophilic Properties of Polysaccharides. Org. Polym. Mater. Res. 2021, 3, 12–23. [Google Scholar] [CrossRef]
- Nowak, J.K.; Sobkowiak, P.; Drzymała-Czyż, S.; Krzyżanowska-Jankowska, P.; Sapiejka, E.; Skorupa, W.; Pogorzelski, A.; Nowicka, A.; Wojsyk-Banaszak, I.; Kurek, S.; et al. Fat-Soluble Vitamin Supplementation Using Liposomes, Cyclodextrins, or Medium-Chain Triglycerides in Cystic Fibrosis: A Randomized Controlled Trial. Nutrients 2021, 13, 4554. [Google Scholar] [CrossRef]
- Mohammed, A.N.; Ishwarya, S.P.; Nisha, P. Nanoemulsion Versus Microemulsion Systems for the Encapsulation of Beetroot Extract: Comparison of Physicochemical Characteristics and Betalain Stability. Food Bioprocess Technol. 2021, 14, 133–150. [Google Scholar] [CrossRef]
- Sentkowska, A.; Biesaga, M.; Pyrzynska, K. Application of Hydrophilic Interaction Liquid Chromatography for the Quantification of Flavonoids in Genista Tinctoria Extract. J. Anal. Methods Chem. 2016, 2016, 3789348. [Google Scholar] [CrossRef] [PubMed]
- Giménez-Andrés, M.; Čopič, A.; Antonny, B. The Many Faces of Amphipathic Helices. Biomolecules 2018, 8, 45. [Google Scholar] [CrossRef] [PubMed]
- Keddar, M.N.; Ballesteros-Gómez, A.; Amiali, M.; Siles, J.A.; Zerrouki, D.; Martín, M.A.; Rubio, S. Efficient Extraction of Hydrophilic and Lipophilic Antioxidants from Microalgae with Supramolecular Solvents. Sep. Purif. Technol. 2020, 251, 117327. [Google Scholar] [CrossRef]
- Premathilaka, R.; Rashidinejad, A.; Golding, M.; Singh, J. Oral Delivery of Hydrophobic Flavonoids and Their Incorporation into Functional Foods: Opportunities and Challenges. Food Hydrocoll. 2022, 128, 107567. [Google Scholar] [CrossRef]
- Boostani, S.; Jafari, S.M. A Comprehensive Review on the Controlled Release of Encapsulated Food Ingredients; Fundamental Concepts to Design and Applications. Trends Food Sci. Technol. 2021, 109, 303–321. [Google Scholar] [CrossRef]
- Jiménez-González, O.; Guerrero-Beltrán, J.Á. Extraction, Microencapsulation, Color Properties, and Experimental Design of Natural Pigments Obtained by Spray Drying. Food Eng. Rev. 2021, 13, 769–811. [Google Scholar] [CrossRef]
- Ziaee, A.; Albadarin, A.B.; Padrela, L.; Femmer, T.; O’Reilly, E.; Walker, G. Spray Drying of Pharmaceuticals and Biopharmaceuticals: Critical Parameters and Experimental Process Optimization Approaches. Eur. J. Pharm. Sci. 2019, 127, 300–318. [Google Scholar] [CrossRef]
- Correâ-Filho, L.C.; Lourenço, M.M.; Moldaõ-Martins, M.; Alves, V.D. Microencapsulation of β-Carotene by Spray Drying: Effect of Wall Material Concentration and Drying Inlet Temperature. Int. J. Food Sci. 2019, 2019, 8914852. [Google Scholar] [CrossRef]
- Obón, J.M.; Luna-Abad, J.P.; Bermejo, B.; Fernández-López, J.A. Thermographic Studies of Cocurrent and Mixed Flow Spray Drying of Heat Sensitive Bioactive Compounds. J. Food Eng. 2020, 268, 109745. [Google Scholar] [CrossRef]
- Shishir, M.R.I.; Chen, W. Trends of Spray Drying: A Critical Review on Drying of Fruit and Vegetable Juices. Trends Food Sci. Technol. 2017, 65, 49–67. [Google Scholar] [CrossRef]
Disclaimer/Publisher’s Note: The statements, opinions and data contained in all publications are solely those of the individual author(s) and contributor(s) and not of MDPI and/or the editor(s). MDPI and/or the editor(s) disclaim responsibility for any injury to people or property resulting from any ideas, methods, instructions or products referred to in the content. |
© 2025 by the author. Licensee MDPI, Basel, Switzerland. This article is an open access article distributed under the terms and conditions of the Creative Commons Attribution (CC BY) license (https://creativecommons.org/licenses/by/4.0/).





