Abstract
In industrial operations, fluid transport within activated carbon—as one kind of porous media—often involves nonlinear instabilities, notably Rayleigh–Taylor instability (RTI). Herein it has been investigated for the flows in its intrinsic model to analyze the generation of adverse factors in practical applications. By studying the mechanism of force influence, it can explore how porous medium parameters impact RTI dynamics. The results show that horizontal forces dominate RTI’s initial evolution, with porosity influencing peak flow velocity timing delays (0% to 22.39% delay). The varying pore scales, delays peak velocity timing (7.63% to 1.46% delay) during initial stages, converging at later stages. Notably, the vortex line rupture at ε = 0.999 triggers Taylor vortex formation, enhancing velocity by 9.8816 times and promoting bidirectional mass transfer. This study enhances understanding of mass transfer efficiency of catalyst in industrial applications, enabling tailored porous media designs for optimized heat and mass transfer.
1. Introduction
The study of fluid dynamics in porous media has garnered significant attention in recent years due to its widespread applications across various fields, including petroleum engineering, cooling systems, geothermal energy extraction, and so on [1,2,3]. Activated carbon is a substance with strong adsorption capacity, which can adsorb various harmful gases and particulate matter. Adding activated carbon to fluidized bed boilers is commonly used to reduce pollutant emissions, minimize ash accumulation inside the boiler, improve operational stability, and extend boiler lifespan. Its performance is fundamentally dependent on mass transfer efficiency, which is closely related to the internal flow characteristics. Rayleigh–Taylor instability (RTI), a typical fluid interface instability phenomenon, occurs between the interface of two fluids with different densities. It controls the mixing and transport of the entrainable fluid at interfaces with different densities, significantly affecting the mass transfer process. Therefore, studying the evolution of Rayleigh–Taylor instability within activated carbon can provide new perspectives and methods for optimizing mass transfer behavior.
RTI is characterized by the interpenetration of heavier and lighter fluids influenced by gravity and interfacial tension, and it has been extensively studied in non-porous environments [4]. The complex interplay between the structural characteristics of porous media, such as porosity and permeability, poses significant challenges for both theoretical and experimental investigations of RTI. Recent advancements in computational fluid dynamics, particularly the lattice Boltzmann method (LBM), have emerged as powerful tools for simulating fluid flow and transport processes in porous media [4,5,6,7]. Shijin D. [8] simulated the RTI phenomenon in the case of the slip boundary of the generalized N–S equation (Navier–Stokes equation). To accurately capture the complex interactions between the porosity, permeability, and fluid dynamics of the medium, the study needs to appropriately select the time step, grid size, and suitable physical models (such as boundary conditions), while a proper verification method should be used to validate the LBM model. For example, the LBM simulations under high Reynolds number face challenges regarding time steps, grid resolution, and model parameter settings. Hong L. [9] improved the phase-field lattice Boltzmann method and conducted high-resolution direct numerical simulations of multi-mode immiscible Rayleigh–Taylor instability (RTI) at a low Atwood number (At = 0.1). This work extended the range of Reynolds numbers for which LBM can accurately capture RTI flow and provided recommendations on the grid resolution and boundary conditions in simulation. Besides, Rui L. [10] simulated the concentration evolution of hydroxides during the charging process of a zinc-nickel single-liquid flow battery cathode using the LBM and velocity-concentration dual-distribution model. It has revealed the dynamic processes of ions and protons during charging and extended the model’s applicability. The method of using has simulated the flow of a specific substance within a selected region, which is suitable for processes within fixed solid-formed porous media where reactions occur. However, this study provides accurate results in a specific region, and the overall flow pattern can only be inferred in a general manner. For the research topic of activated carbon water purification herein, it is necessary to predict the internal flow behavior within a large-scale porous media to obtain the flow results. And the primary focus is on adsorption and other related effects, without considering changes in the concentration of reaction products.
Therefore, we consider using the volume averaging method to study the averaged range separately, namely the REV (representative elementary volume). The resulting model does not rely on a specific microscopic particle distribution but instead describes the behavior of the overall medium. This approach can be applied to various types of porous media, including but not limited to soil, rocks, battery electrodes, and filtration materials. And while appropriately selecting the time step, grid size, and suitable physical models (such as boundary conditions), the dual-distribution model provides a good control approach. And the further improvements to the model are also required to ensure the accuracy of the LBM simulation on RTI in activated carbon.
In addition to designing the accuracy and rationality of simulations, many studies have also selected different parameters to predict or evaluate instability phenomena. Several studies have sought to elucidate how the properties of porous media influence fluid instabilities by discussing finger position, flow regimes, or flow rate, including the studies focused on buoyancy-driven flows and fingering instabilities [11,12,13] or building methods [14,15,16]. However, in many cases, the evolution of forces determines the changing trends of flow within porous media. A comprehensive analysis of the force mechanisms driving and modulating RTI in porous media, particularly in activated carbon applications, remains insufficient. To address this gap, this study aims to simulate the evolution of RTI within activated carbon at the mesoscopic scale using the LBM and to predict the resulting internal flow dynamics. The theoretical foundation is provided by the generalized Navier–Stokes (N–S) equations, which incorporate additional terms to account for the influence of the porous matrix on fluid behavior. Considering the diverse porosity and pore size (key factors influencing permeability) characteristics of activated carbon, this study systematically investigates the effects of these two properties on RTI flow behavior, especially in flow and force. By elucidating how porous media properties govern the development and evolution of RTI, this research provides a deeper understanding of the underlying mechanisms and offers valuable insights for optimizing fluid dynamics in porous media. The findings not only advance the fundamental understanding of RTI but also have practical implications for enhancing mass transfer in industrial applications, such as environmental remediation and energy storage. Furthermore, a deeper understanding of fluid mixing and transport within activated carbon can provide valuable information for designing remediation strategies for contaminated sites in environmental engineering.
In summary, this study represents a significant advancement in elucidating the complex interplay between fluid dynamics and the properties of activated carbon in the context of RTI. By revealing the impact of instability on fluid interfaces and flow structures, this study enables a more accurate description of concentration distribution and mass transfer rates, thereby improving the predictive accuracy of mass transfer models. Furthermore, investigating the evolution of RTI facilitates the optimization of activated carbon’s pore structure design, such as by controlling pore size and distribution to suppress or harness instability, ultimately enhancing mass transfer efficiency. By leveraging the capabilities of the LBM, this research elucidates the complex interplay between fluid dynamics and the properties of activated carbon, offering new insights into the force mechanisms governing RTI in activated carbon and other porous media. These findings not only advance fundamental understanding but also provide theoretical guidance and technical support for practical applications in environmental management, energy, and chemical engineering, thereby bridging the gap between fundamental research and real-world engineering challenges.
2. Model Description
2.1. Flow Model
The convection diffusion of fluid in porous media can be described by the generalized Navier–Stokes equation coupled with the convection diffusion equation. The fluid flow is also calculated in the model Nithiarasu [17] proposed, containing a linear drag term (Darcy), a viscous term (Brinkman), and a nonlinear drag term (Forchheimer), finally in this research, which is expressed in the LBGK (lattice Bhatnagar–Gross–Krook) model. The fluid heat transfer is described by a temperature-dependent convection diffusion equation. The specific form of the equation set is as follows:
where is effective viscosity, as , heat capacity ratio of wall to fluid , is the density of the fluid, is the physical density of the wall, is the specific heat at constant pressure of the fluid, is the specific heat at constant pressure of the wall. is the thermal diffusivity coefficient, as , The effective thermal conductivity , is the stagnation thermal conductivity, and is the thermal conductivity caused by thermal dispersion. u is the velocity of the fluid and is the porosity. F is the total force including medium resistance and external force:
where is the fluid viscosity coefficient, and G is the external volume force. In the definition of total force in Formula (4), the first term on the right side of the equation is linear medium resistance (Darcy), and the second term on the right side of the equation is nonlinear medium resistance (Forchheimer). The structural function is also involved .
To control the pore size dp, the permeability K of the porous medium in this paper is expressed using the Ergun empirical formula [18]:
where Dp represents the particle scale, and then to be measured in [mm]. In this model, dp = 0.414 Dp, so the relationships between dp and K is K ∝ dp2.
A double-distribution model has been employed to solve the velocity and temperature fields separately. The evolution equation is:
where is the velocity distribution function, and the equilibrium distribution function is expressed as [19]:
where is the relaxation time, is the macroscopic density, and the force term Fi is expressed as:
The D2Q9 (two-dimensional nine-velocity) model is a commonly used discrete velocity model (DVM), typically employed in the LBM for fluid dynamics simulations, in which fluid particles move on a two-dimensional lattice grid and have nine possible velocity directions. The schematic diagram is shown in Figure 1. In the LBGK model with D2Q9 [20], the discrete velocity , and is a unit direction vector, which takes the following form:
where , and the value of the weight coefficient is determined based on the requirements of fluid uniformity and symmetry. In order to ensure the accuracy and stability of the simulation results, of the D2Q9 model is as follows:
Figure 1.
D2Q9 (two-dimensional nine-velocity) model.
These weighting values ensure that the D2Q9 model exhibits consistent physical behavior in all directions, maintaining symmetry and uniformity. This guarantees the conservation of mass, momentum, and energy during simulations while also providing stable numerical results and accurately capturing fluid dynamic behaviors.
The macroscopic density and velocity are calculated using the following equations:
The permeability density is defined as:
In the calculation of the velocity distribution, the effective kinematic viscosity coefficient , which is related to the relaxation time , is given by the following equation:
For solving the temperature-dependent convection–diffusion equation, its evolution equation is:
where is the temperature distribution function, and is the weight coefficient, and the equilibrium distribution function of temperature is:
In the calculation of the temperature distribution, the diffusion coefficient D is related to the relaxation time , is given by the following equation:
The LBGK model simplifies parameter adjustment and extends the range of model applications flexibly by associating effective viscosity coefficients and diffusivity coefficients with relaxation time while maintaining physical consistency and numerical stability. Furthermore, since the relaxation time essentially reflects the timescale of particle collision and recovery of equilibrium, it is consistent with the microscopic dynamics of viscosity and thermal diffusion, ensuring that the model has a clear physical meaning. Equations (6) and (15) involved in this model can be expanded using the Chapman–Enskog method into Equations (1)–(3), demonstrating the strict recovery of the Navier–Stokes equations and the heat equation, thereby validating the theoretical correctness of the relationship between relaxation time and transport coefficients.
2.2. Model Validation
Guo Z. L. proposed a method to validate the REV-scale lattice Boltzmann model, which has been applied in various studies [21]. Therefore, this paper also selects this method to verify the accuracy of the established model.
The system settings are as follows: The upper and lower interfaces of the porous medium are impermeable plates. The grid size is set to Nx × Ny = 64 × 8, and the density of the entire field is set to 1.0. The initial flow field model is driven by a constant force, with the boundary velocity set to 0.1. The upper and lower boundaries are treated using the half-way bounce-back scheme. Figure 2 shows the agreement between the analytical solution and the numerical results based on the model proposed herein. The error between the simulation data and the literature data in the figure does not exceed 3%, indicating that the flow model is both effective and accurate, thus demonstrating the model’s accuracy preliminarily.
Figure 2.
Dimensionless velocity profiles between impermeable plates.
To validate the accuracy of the lattice Boltzmann equation (LBE) model for fluid convection and diffusion in porous media at the REV scale, this study performs numerical simulations of natural convection in a closed square cavity with varying dimensionless parameters. The simulation results are compared with existing literature. The temperatures on the left and right walls of the cavity are set to and , with the initial flow field at rest and Pr = 1.0. The grid size used is Nx × Ny = 128 × 128. For this problem, the average Nusselt number (Nu) on the cold wall is used to quantify the convective heat transfer intensity. The formula for calculating the average Nusselt number on the cold wall is given as follows [17].
Table 1 presents the average Nusselt number on the cold wall for K = 10−2 and 10−4 at different Ra numbers. The results show that the LBE model’s numerical predictions at the REV scale align well with those from literature [17], with errors within 3%, indicating the model’s accuracy in describing fluid flow and diffusion in porous media.
Table 1.
Comparison of the average Nusselt number on the hot wall under different conditions (a: LBE simulation results; b: results from literature [17]).
2.3. Numerical Model of RTI
The correctness of the LBE model was proven in the previous section. In this section, the LBE model is used to solve the coupled system of governing equations for the generalized N–S equations and the convection–diffusion equation to study the RTI phenomenon in porous media. The model allows for the independent analysis of the effects of porosity and permeability on the RTI phenomenon. Since permeability is related to pore size, the model is further optimized to be applicable to the simulation and analysis of RTI in porous media relevant to this study.
2.3.1. Boundary Treatment
The periodic unit in the porous medium has been simulated. Two miscible fluids have different densities at different temperatures; after disturbance at the interface, the RTI occurs. In the simulation, the left and right boundaries of the model are treated using periodic boundary conditions, expressed as:
The upper and lower boundaries are treated using the half-way bounce-back scheme. Ladd [22] proposed a half-step bounce-back scheme suitable for general moving boundaries. The fixed boundary can be located at the midpoint of the lattice nodes, with second-order accuracy, expressed as:
where represent the original and reflected velocity directions pointing towards the wall, respectively. After the half-bounce, the velocity direction at that lattice point reverses, and is the wall velocity, is the weight coefficient of the equilibrium distribution function.
The collision and streaming steps in the model evolution equation are [23]:
The non-equilibrium extrapolation scheme has second-order accuracy, strong applicability, and good numerical stability. It is assumed that O is on the boundary, C is inside the flow field, and P is outside the flow field. According to the extrapolation format, which divides the distribution function on the boundary into equilibrium and non-equilibrium states, the O distribution function of a lattice point on the boundary can be expressed as:
This study is based on the porous medium seepage model, introducing a reasonable range of activated carbon porosity and calculating the appropriate permeability based on the pore size, thereby improving and adapting the model for liquid-liquid applications in activated carbon reactors. The schematic diagram of the distribution area and selected configuration source of activated carbon in the straight tube reactor is shown in Figure 3. The simulated real-world application involves a cylindrical reactor filled with activated carbon. Initially, a portion of cold fluid is present in the upper part of the cylinder, separated by a barrier. Hot fluid is then introduced from the bottom of the cylinder. After the barrier is removed, the RTI phenomenon occurs inside the activated carbon. Through controlling the conditions, the fluid within the activated carbon undergoes full convective mixing, followed by the discharge of part of the fluid, and the process is repeated.
Figure 3.
Distribution area and selected configuration source of activated carbon in straight tube reactor. (The green arrow indicating the direction of partition closure, and the green box represents the partition and the bottom valve, while the red box highlights the selected region of activated carbon inside the reactor and its microscopic image.).
It is noteworthy that during the process, two fluids of different temperatures interact within the porous medium without any external force or flow velocity except for gravity, with adiabatic walls at the top and bottom having zero velocity. The advantage of this reactor lies in its reliance on RTI as the driving force, eliminating the need for stirring and additional heating. Moreover, the reactor’s size is larger than that of microchannel reactors, making it promising for applications such as active fluid or biomass reactions. The study primarily focuses on the qualitative analysis of the RTI evolution behavior inside activated carbon at this aspect ratio. Using periodic boundary conditions on the left and right boundaries reduces the accuracy loss caused by wall effects and provides a reference for future studies on scaling up the reactor size.
2.3.2. Feature Parameter Processing
Here, assuming that density is constant in both the time derivative and convective terms, flow is driven by buoyancy, so we used the Boussinesq approximation, in which all fluid parameters, except for body forces, can be considered constants. The system can be described by the following set of dimensionless equations:
where u is the fluid velocity, ϵ is the porosity of the porous medium, and F is the sum of the resistance of the porous medium and the gravitational forces caused by the density difference, given by:
In this equation, Pr is the Prandtl number, which is the ratio of the kinematic viscosity and the temperature diffusion coefficient, representing the relative relationship between momentum diffusion and molecular diffusion; Ra is the Rayleigh number, representing the relative magnitude of the convective rate to the diffusive rate; Da is the Darcy number, a parameter representing the permeability of the porous medium. And the dimensionless characteristic parameters of the generalized N–S equations include the Reynolds number (Re) and viscosity ratio (J). The definitions of the above dimensionless parameters are as follows:
where ν is the fluid kinematic viscosity, α is the fluid diffusion coefficient, g is the gravitational acceleration, is the temperature expansion coefficient, K is the permeability of the porous media, and L is the characteristic length. The characteristic velocity U and characteristic time T are:
According to the definition of F, the ratio of nonlinear to linear resistance is:
when Re or Da is small, the nonlinear resistance term can almost be neglected in the calculation of seepage phenomena.
The initial positions of hot and cold fluids affect the subsequent viscous behavior of Rayleigh–Taylor instability (RTI), but the conditions for RTI mainly depend on porosity and permeability. This study focuses on the impact of porosity and pore size on RTI in the flow, force, and mass fields. The main focus of this research is to improve the model for activated carbon applications. The role of initial fluid positions will be explored in future studies. In the straight pipe reactor considered in this study, the partition is placed in the center of the simulation area, with equal proportions of hot and cold fluids (50% each) at the start of RTI. The interface disturbance stream function is given by:
Initially, the density of the entire field is set to 1.0, with no external forces or additional flow velocities applied. The model features periodic boundaries on the left and right sides, while the upper and lower boundaries are defined as adiabatic walls with a velocity of 0 m/s. The temperatures of two fluids in the porous medium are denoted as Tc and Th (Tc < Th), then to be measured in [°C].
The porous medium has a length of Lx and a width of Ly, with the horizontal direction represented by x and the vertical direction by y. Inside the medium, two miscible fluids are present, both treated as incompressible. Fluid 1, which is the hotter fluid, is positioned below fluid 2, the colder fluid. Initially, both fluids are at rest relative to each other. Figure 3 has shown the distribution area and selected configuration source of activated carbon in the straight tube reactor.
2.4. Grid Independence Verification
The grid independence verification is shown in Figure 4. It shows the fluid temperature profiles at the same proportional position with a ratio of 1:4 at time t = 5 for different grid numbers: 200 × 800 = 160,000, 256 × 1024 = 262,144, and 300 × 1200 = 360,000. The grid independence verification reveals that the temperature obtained with 262,144 and 360,000 grid numbers are essentially the same.
Figure 4.
Grid independence verification.
Therefore, 262,144 grid numbers are sufficient to achieve the required accuracy, and this number is selected for data simulation. When the relative position is 0.2 times the length position, the difference ratio between the small grid and the maximum grid is 2.349%, while the difference ratio between the selected grid and the latter is 1.424%. Similarly, at the position of l/Ly = 0.4, the difference ratio of the small grid is 1.654%, while the one of the selected grid is only 0.629%. So here the model with the grid of Nx × Ny = 256 × 1024 has been selected to simulate, which ensures accuracy and reduces computational difficulty.
3. Results
The influence in force of different porosities and pore scales has been investigated herein. The parameters selected for the numerical simulation are as follows: Pr = 1.0, Ra = 106, , with porosities ranging from 0.2 to 0.999 (ε = 0.999 called hollow media, here equal to no media), and pore sizes (dp) ranging from 0.1 to 0.6. The corresponding permeability (K) has been calculated based on Equation (5). The temperatures are defined as Th = 0.5 °C, Tc = −0.5 °C to ensure a uniform density trend at non-interface locations, facilitating the simulation of the behavior of two miscible fluids, as shown in Figure 5. Figure 5a represents the geometry of the system, and Figure 5b represents the mesh in the simulation.
Figure 5.
Geometry of the flow and mesh. (a) Geometry of system. (b) Geometry of mesh in simulation.
The pore structure of porous media is generally very complex, and it is difficult to obtain its fine structure [24,25]. The study is based on mesoscopic, so active control of parameters can be achieved to incorporate the characteristics of activated carbon. To ensure rationality, a simulation of activated carbon with a porosity of 0.3, 0.6, and 0.999 (equal to no media) is first conducted to observe its internal RT evolution and then compared with the results of hollow media. The results are shown in Figure 6, Figure 7 and Figure 8.
Figure 6.
RT time sequence of temperature in ε = 0.3 (t = 1, 2, 3, 4, 5, 8).
Figure 7.
RT time sequence of temperature in ε = 0.6 (t = 1, 2, 3, 4, 5, 8).
Figure 8.
RT time sequence of temperature in hollow media (t = 1, 2, 3, 4, 5, 8).
The center temperature of the finger and bubble formed by convective diffusion of two fluids is approximately zero. After the effect of viscosity and adjacent convection, the shape of the fluid bubble is gradually slender until mixing completely. When porosity of porous media is at the initial stage with the media in ε = 0.3 and hollow media, the fluid RTI phenomenon is basically the same. And the change in porosity has little effect on the instability phenomenon. This is because, during the initial phase, fluid motion is primarily driven by density differences and initial perturbations, while the resistance effect of the porous media has not yet significantly influenced the overall behavior. However, as time progresses, the impact of porosity becomes more pronounced. In high-porosity media, the resistance is lower, and the effect of gravity on the fluid is more significant, leading to smoother fluid flow and an earlier onset of instability. In contrast, in low-porosity media, the higher resistance suppresses fluid flow, delaying the onset of instability. Additionally, the faster fluid mixing in high-porosity media further accelerates the development of instability. As a result, RTI under the condition of large porosity appears earlier than that under the condition of small porosity. Due to the downward action of gravity, the heavier liquid gradually forms a fluid similar to a finger, which flows unstably to the area where the light fluid is located, and the unstable phenomenon of the light fluid bulging upward is reflected quickly. In the later convection process, the seepage velocity of the two fluids is also faster under the condition of large porosity. Therefore, porosity primarily affects the onset time of instability and the speed of fluid convection, while its influence on the similarity of the initial stage is minimal. This difference arises from the varying resistance effects of porous media on fluid motion and the response speed of fluid behavior under gravity-driven conditions.
The effect on RTI from porosity is mainly reflected during the time for the overall system to turn from unstable into stable status. As porosity increases, the resistance from the porous media on the flow (working on F) weakens, especially under gravity. The parameter values appear to be more influenced by backflow caused by instability. At t = 5, RTI occurs, causing the data trend to differ significantly from others. Due to mutual solubility and mixing of the fluids in the RTI zone under flow action, with the streamlines affected by opposing vortices (seems like one mushroom), leading to complex flow. Without porous media, the flow is unobstructed, and RTI development is completely free. As a result, the flow process deepens at the same time step. In combination, the time required to obtain the same process is about 1~3 times different from that for the development of RTI in porosity of 0.6 than without media. It can be concluded that the change of porosity has an impact on the time of occurrence of the RTI process and the speed of fluid convection after instability.
The numerical results of axial and radial velocity at different grid heights (0.4Ly, 0.5Ly, and 0.6Ly) have been shown in Figure 9 and Figure 10 about the RTI occurrence and development in t = 5 as the media in ε = 0.6 and hollow media (equal to no media). The fluid with higher density is relatively stable above the fluid with lower density in the initial stage. The fluid is considered as natural convection in hollow media. It can be seen that when t = 5, the fluid without a porous medium has undergone relatively obvious mass transfer, indicating that RTI has occurred, while at the same time in ε = 0.6, there is no significant change in fluid shape at the interface. Comparing the time steps required to reach the same manifold at the interface of the two conditions, it is found the porosity of 0.6 is nearly 1.8 times longer than that of no porous media. In the convection process, the seepage velocity of the two fluids is faster under the condition of large porosity. It is because the influence of the big porosity leads to the decrease in the resistance force between two fluids under gravity. The instability occurred early, and the fluid convection velocity after instability becomes fast, so the time duration has been shortened in bigger porosity.
Figure 9.
(a) u diagram in ε = 0.6. (b) u diagram in hollow media.
Figure 10.
(a) v diagram in ε = 0.6. (b) v diagram in hollow media.
The presence of porous media significantly affects fluid interactions by reducing friction and resistance between fluids under gravity. While increased porosity may promote mixing, it also slows fluid velocity within the medium, particularly under gravity, due to added resistance, thus slowing RTI progression. However, higher porosity regions, with lower resistance, accelerate mixing by facilitating interactions between counter-rotating vortices and flow lines, enhancing fluid mixing despite slower RTI development. In regions of higher porosity, the increased fluid velocity leads to faster mass transfer and stronger interactions. Higher porosity also destabilizes fluid interfaces, making early fluid instabilities (such as RTI) more likely to occur and intensify. This is due to reduced resistance between fluids, which enables instabilities to develop earlier and more rapidly.
These findings provide valuable insights into fluid behavior in porous media, particularly for geological formations and engineering filtration systems. In geological formations, higher porosity accelerates fluid convection and instability, influencing subsurface fluid migration and distribution. In filtration systems, porosity’s effect on fluid flow and mixing is crucial for optimizing filtration efficiency. Larger porosity may reduce resistance and enhance fluid penetration but could also accelerate instability. Understanding porosity’s impact helps design more efficient filtration systems, reduce energy consumption, and optimize fluid distribution and mixing.
The evolutionary results are consistent with common sense, indicating that the model and simulation results are reasonable. Due to the wide range of porosity of activated carbon, porosity is the primary topic of discussion in this article to investigate the influence mechanism of force and eddy current effects on RTI. Next, we will discuss the simulation results of media with different porosities.
3.1. Effect of Porosity
The RTI in activated carbon under varying porosity conditions shares similarities with the diffusion of volatile fatty acids (VFAs) into concrete waste. Trancone G. [26] studied the bioleaching of concrete waste using dark fermentation (DF) and moving bed biofilm reactors (MBBR), where VFAs dissolve calcium-based compounds, reducing the concrete’s weight and volume. This bioleaching process is analogous to fluid permeation and mixing in activated carbon pores. Akin to high VFA concentrations, high-porosity activated carbon enhances the dissolution of calcium-based compounds, leading to greater weight and volume reduction. Conversely, low-porosity activated carbon results in less effective dissolution. Simulating activated carbon at different porosity levels allows observation of RT instability manifestations, such as interface wave generation, mixing layer thickness, and mixing rates. These simulations not only aid in understanding activated carbon’s performance but also provide a theoretical basis for optimizing its structure and functionality. Due to the uneven proportion of solids formed by porous media or the influence of compression processes on activated carbon, its porosity will change. For activated carbon alone, its porosity range before expansion is generally around 0.6 to 0.9, with a very small number of cases having a porosity of 0.2. To obtain more specific simulation results for comparison, this section comprehensively compares and analyzes the results of flow and force under different porosities with a dp of 0.2 and explores the influence mechanism of the internal force field of activated carbon on flow under various conditions.
Figure 11 and Figure 12 present the temperature contours, streamlines, horizontal force component distributions, force lines, and density fields for the convective diffusion at porosities of 0.2 and 0.4 for t = 10, t = 50, and t = 100 (t = temp/1000; the time is measured in [s]). In the figures, red represents high values of the studied quantity, while blue represents low values. The studied quantities in figures a, b, and c correspond to temperature, horizontal force, and density, respectively. Observations indicate that at low porosities, the streamlines and density distributions at the interface are uniform and consistent. Under low-porosity conditions, the primary reason RTI does not develop is the significantly increased resistance of the porous media to fluid motion. This resistance suppresses fluid flow and interfacial disturbances, resulting in uniform and constant streamline and density distributions at the interface. And it is difficult for the fluid to form significant perturbations or interfacial waves, thereby maintaining a relatively balanced state. The lack of sufficient driving forces (such as buoyancy or inertial forces) prevents the breakdown of this equilibrium. A stable linear heat transfer interface and regular vortex structures form, indicating that fluid motion is dominated by conduction rather than convection, further suppressing the development of instability. At the same time, minor disturbances are quickly dissipated under the effect of resistance, preventing their amplification into significant RTI phenomena. Furthermore, the stable and paired distribution of horizontal forces further constrains unstable fluid motion. Therefore, under these conditions, RTI is unlikely to initiate or develop. In contrast, at a porosity of 0.6, changes in various parameters remain insignificant over time. This is due to the increased resistance experienced by fluids in the media at lower porosity, requiring more time or additional perturbations to disrupt a relatively balanced state.
Figure 11.
Evolution of RTI at ε = 0.2 for time t = 10, 50, 100. ((a) Temperature, (b) streamlines and horizontal force distribution, (c) force lines and density distribution).
Figure 12.
Evolution of RTI at ε = 0.4 for time t = 10, 50, 100. ((a) Temperature, (b) streamlines and horizontal force distribution, (c) force lines and density distribution).
Notably, at a porosity of 0.2, a straight heat transfer interface gradually forms. Figure 11 shows regular vortices at the interface, with relatively stable horizontal forces appearing in pairs. This stable state facilitates heat exchange between miscible fluids at the interface, rather than convection following the formation of fingers, indicating that the RTI phenomenon has not yet initiated.
Figure 13, Figure 14 and Figure 15 depict the results of temperature, streamlines, horizontal force, and density in the media of porosity of 0.6 and 0.8 with the same pore size and in the hollow media at time intervals of t = 10, 50, and 100. For the porous media with moderate porosities, the evolution process occurred relatively quickly. As the RTI process progresses, fluid within the bubbles at the interface gradually rises to collide with the upper interface, facilitating the splitting of fluids near the interface and the formation of new vortices. This action pushes more fluid particles outward from the vortex lines, away from the interface. The density distribution indicates a more concentrated particle distribution at the upper and lower interfaces of the cavity.
Figure 13.
Evolution of RTI at ε = 0.6 for time t = 10, 50, 100. ((a) Temperature, (b) streamlines and horizontal force distribution, (c) force lines and density distribution).
Figure 14.
Evolution of RTI at ε = 0.8 for time t = 10, 50, 100. ((a) Temperature, (b) streamlines and horizontal force distribution, (c) force lines and density distribution).
Figure 15.
Evolution of RTI at hollow media for time t = 10, 50, 100. ((a) Temperature, (b) streamlines and horizontal force distribution, (c) force lines and density distribution).
Notably, at t = 100, the hollow media exhibits a state resembling wavelike Taylor vortices, with the horizontal force distribution showing symmetry about the central axis. Adjacent circumferential waves in the horizontal direction exhibit opposite vortex line orientations. This state enhances mass transfer between vortices, while the density contour plot indicates a steep decline in particle density near the original interface compared to the surrounding areas, as particle density is highest in the model.
Through a comparative analysis of flow and force in porous media under different porosities, the study reveals that porosity significantly influences fluid motion and instability development. At low porosity, the high resistance of the porous media suppresses fluid flow, resulting in uniform streamline and density distributions, preventing RTI development. Due to the high resistance, the fluid struggles to generate significant perturbations or interfacial waves, maintaining a balanced state. The formation of a stable linear heat transfer interface and regular vortex structures suggests that heat conduction dominates over convection, further inhibiting instability. At higher porosities (e.g., 0.6 and above), fluid motion becomes more dynamic, allowing RTI to develop and form new vortices, which concentrate particle density at the upper and lower interfaces. Hollow media at high porosity exhibit wave-like Taylor vortices, enhancing mass transfer efficiency. Understanding this phenomenon can improve mass transfer efficiency in industrial applications by facilitating the provision of working fluids that enhance mass transfer and selectively block it, allowing only heat transfer through the continuous exchange of different media. In summary, porosity plays a crucial role in fluid flow and heat exchange, improving mass transfer and optimizing thermal processes in industrial applications.
3.2. Effect of Pore Size
In addition to porosity, permeability is an important factor affecting the flow velocity and linear and nonlinear resistance in a medium. According to the equation introduced in Section 2, it can be seen that the permeability K is related to porosity and particle size (related to pore size). In the design of activated carbon, pore size is a key parameter that affects fluid permeability and mass transfer efficiency. K is proportional to the square of the pore size (K ∝ dp2). This means that as the pore size increases, the permeability increases significantly. Pore size has a direct impact on flow resistance from channels and on nonlinear resistance from force. In small pore size, the nonlinear effects (such as turbulence or vortices) of fluid flow are more pronounced, which further increases flow resistance. In contrast, fluid flow in larger pores approaches laminar flow, with weakened nonlinear effects and relatively lower flow resistance. And both porosity and pore size jointly determine the permeability and flow resistance characteristics of a porous media. Under the same permeability, changes in porosity indirectly affect flow resistance by adjusting pore size. Conversely, under the same porosity, changes in pore size directly affect flow resistance by altering permeability. Therefore, even with higher porosity, if the pore size is smaller, the flow resistance of the fluid may still be relatively high.
This section focuses on the simulation analysis of general activated carbon based on a medium with a porosity of 0.6 and compares the force and its influence results under different pore sizes. It considers the impact of six pore sizes on the RTI process in dp = 0.1, 0.2, 0.3, 0.4, 0.5, and 0.6 [mm], corresponding to permeability values of K = 9 × 10−5, 3.6 × 10−4, 8.1 × 10−4, 1.44 × 10−3, 2.25 × 10−3, 3.24 × 10−3. Figure 16, Figure 17 and Figure 18 presented the temperature contours, streamlines, and horizontal force component contours in t = 10, 50, and 100. Figure a shows the temperature cloud map, while Figure b shows the streamlines and horizontal force distribution for dp = 0.1 to 0.6. In the figures, red represents high values of the studied quantity, while blue represents low values. The studied quantities in figures a and b correspond to temperature and horizontal force, respectively. Figure 19 presented the results of force lines and density distribution for dp = 0.1~0.6 at two developing times, where Figure 19a represents the results at t = 10, and Figure 19b represents the results at t = 100. In the Figure 19, red represents high values of density, while blue represents low values.
Figure 16.
Evolution of RTI at dp = 0.1~0.6 as t = 10. ((a) Temperature, (b) streamlines and horizontal force distribution).
Figure 17.
Evolution of RTI at dp = 0.1~0.6 as t = 50. ((a) Temperature, (b) streamlines and horizontal force distribution).
Figure 18.
Evolution of RTI at dp = 0.1~0.6 as t = 100. ((a) Temperature, (b) streamlines and horizontal force distribution).
Figure 19.
Force lines and density contours at dp = 0.1~0.6 ((a) t = 10, (b) t = 100).
Observations indicate that for the same porous media, changes in pore sizes have a more significant impact on horizontal forces. At t = 10, when the dp is greater than 0.2, the development progress of RT is similar between the working conditions, and the trend of streamlines is basically the same. The horizontal force also concentrates in the middle finger-shaped fluid formation area to form force vortices, while under the action of force, fluid particles are mainly concentrated in the middle area. With the passage of time, the dp working conditions can be roughly divided into three categories. As dp < 0.3, the RT viscous fingerings developed slowly, thus not touching the top surface, but the miscible displacement has already occurred at the edges of the fingers. When 0.3 ≤ dp ≤ 0.4, the temperature cloud map shows obvious differences in development depth, but the flow streamlines are basically a pair of vortices. The peak and valley distribution positions of horizontal forces are the same, but the value of internal forces in the region is greater in the working condition with dp = 0.3. The difference between the two operating conditions with dp > 0.4 is not significant.
At t = 100, the three fields of the working condition with dp > 0.2 are similar. Significantly, at larger pore sizes, the flow dynamics are dominated by vortex structures and patterns generated during the flow process. When dp ≥ 0.3, the degree of variation in operating conditions becomes less pronounced, and with increasing development time, its influence on temperature, streamlines, and density diminishes. Further discussion is provided through quantitative analysis below.
When dp exceeds a specific threshold (dp > 0.4), the influence of further increasing dp on flow resistance and hydrodynamic behavior gradually becomes negligible. According to the Ergun equation, an increase in dp significantly enhances the permeability of the media, thereby reducing flow resistance. However, once dp exceeds the threshold, inertial forces (proportional to the square of the flow velocity) gradually replace viscous forces (linearly related to the flow velocity) as the dominant mechanism governing the flow. The flow state of the fluid approaches that of open-channel flow, and the restrictive effect of the porous media’s microstructure on the flow diminishes. As a result, further increases in dp contribute to a saturation effect in resistance variation. The similarity in mass transfer for dp > 0.4 in Figure 19 further validates this threshold effect. It indicates that under large dp conditions, flow field characteristics (such as vortex structures and force distributions) tend to stabilize, with significant reductions in observed differences.
The study is crucial for simulating activated carbon in straight-tube reactors, particularly in optimizing the balance between adsorption efficiency and flow resistance. The study shows that activated carbon particles with dp ≈ 0.3 achieve the optimal balance between high surface area (increasing adsorption efficiency) and low flow resistance. This finding directly informs the design of activated carbon in straight-tube reactors: at low dp (dp < 0.3), high resistance delays pollutant diffusion but may cause local concentration buildup; at high dp (dp ≥ 0.4), high permeability facilitates rapid fluid exchange but may reduce adsorption efficiency. Thus, activated carbon particles with dp ≈ 0.3 are ideal for scenarios requiring efficient adsorption and stable flow, such as wastewater treatment or gas purification. In environmental applications, for example, in pollutant migration, low dp media (dp < 0.3) delay pollutant diffusion but may cause concentration buildup, while high dp media (dp ≥ 0.4) are suited for rapid fluid exchange. In engineering applications of chemical reactors, low dp media are suited for precise fluid distribution, though their high pressure drop may increase energy consumption; high dp media are suitable for high flow demands, but mechanical strength and clogging risks must be considered. These findings reveal the nonlinear relationship between dp and flow behavior in porous media, offering a theoretical basis for optimization design.
Additionally, the dp threshold can avoid excessive particle size increases, thus reducing cost or performance redundancy, or require multi-parameter optimization considering porosity and dp synergy. For example, in smart responsive materials, real-time adjustment of equivalent dp via external stimuli (e.g., temperature, electric field) enables on-demand flow control to optimize reactor performance. In practical engineering, activated carbon adsorption design can use the dp ≈ 0.3 conclusion to balance adsorption efficiency and flow resistance; in scenarios like geothermal reservoir enhancement, injecting proppants to increase dp requires strict control of the threshold to avoid stability issues from excessive fracture extension. In conclusion, this study enhances the understanding of fluid dynamics in porous media and provides scientific support for optimizing activated carbon design in straight-tube reactors, with broad environmental and engineering applications.
4. Discussion
In Section 3, we compared the results of the influence of activated carbon porosity and pore size on force, temperature, and flow. In fact, whether it is changes in porosity or pore size, what ultimately changes is the resistance to fluid flow inside activated carbon. It causes the changing force field and the resulting eddy current effect to affect the final flow result, resulting in the process of the RT instability phenomenon. Qualitative analysis can provide intuitive results, but it is difficult to provide specific data on the degree of change. So, in this chapter, we will start from a quantitative analysis perspective to explore the specific changes in RT caused by the effects of porosity and pore size on the changes in horizontal force Fx and flow velocity.
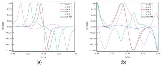
4.1. Analysis on Effect of Porosity
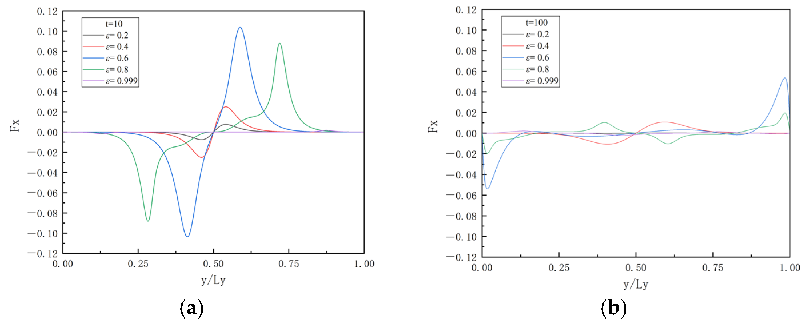
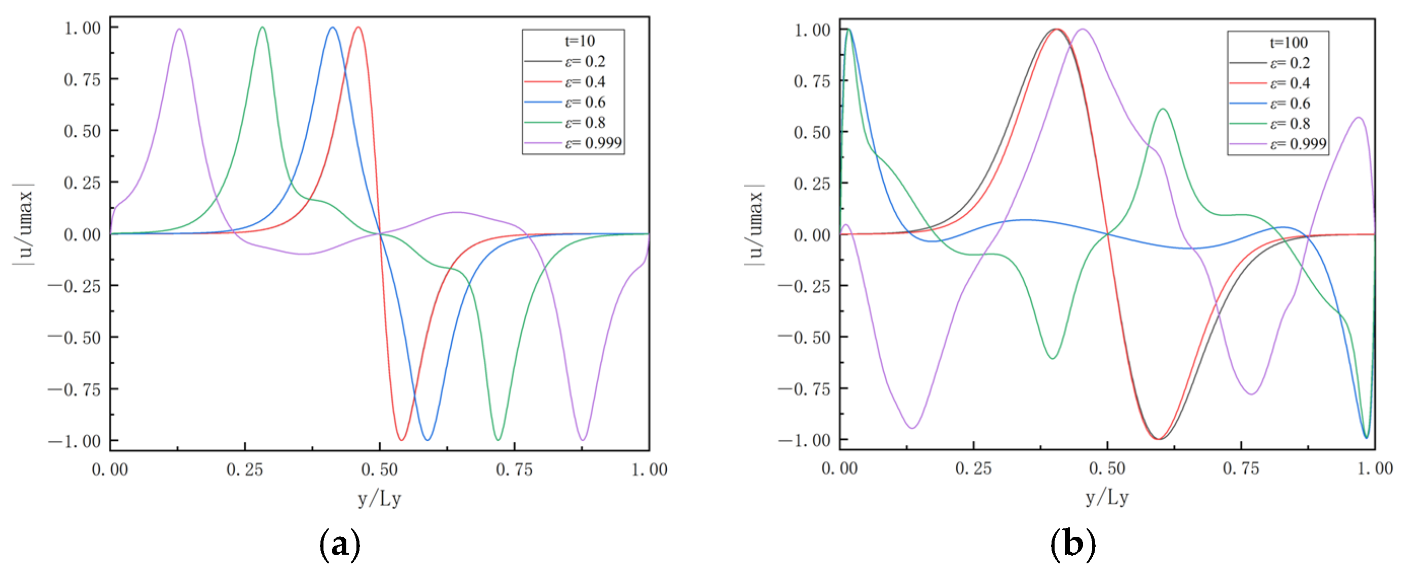
Analyzing data at the same longitude (x/Lx = 0.25), Figure 20 and Figure 21 show the results of Fx and |u/umax| values in various positions for five different porosities, where Figure a shows the horizontal force for different porosities (ε = 0.2, 0.4, 0.6, 0.8) and no media (ε = 0.999) at the same longitude (x/Lx = 0.25) across the entire axial scale at t = 10, while Figure b shows the horizontal force results at t = 100. At the same longitude (x/Lx = 0.25), despite varying porosities, the force distribution (Fx) and horizontal velocity (|u/umax|) both exhibit symmetry relative to the center point. This symmetry originates from the development pattern of RTI in porous media. In low-porosity media, the fluid seepage resistance is relatively high, resulting in slower flow development. In contrast, in high-porosity media, the fluid seepage resistance is minimal, allowing the flow to rapidly convect along the direction of gravity and form symmetric vortex structures.
Figure 20.
Plots of y/Ly-Fx for five porosities ((a) t = 10, (b) t = 100).
Figure 21.
Plots of y/Ly-|u/umax| for five porosities ((a) t = 10, (b) t = 100).
At t = 10, the generation of symmetric forces causes a symmetrical distribution of horizontal velocities. This symmetry is indicative of a balanced pressure difference within the system, influenced by the media’s porosity. As porosity increases, the delay in extrema velocity suggests a smoother, less resistive flow path, which impacts how fluid is distributed and how fast the flow reaches its peak velocity. The force distributions, although symmetric, become less pronounced as porosity increases, leading to smoother velocity profiles and more evenly distributed flow. Influenced by these forces, the positions where the flow velocity reaches its extrema are delayed by 0%, 8.84%, 22.39%, and 21.82%, respectively, as the porosity increases from 0.2 to 0.999. The simulation results between the porosity of 0.2 and no media are consistent with the resistance effect predicted by the Darcy–Forchheimer model, also verifying the accuracy of the resistance term in the model.
At t = 100, the behavior evolves as the vortex structures in low-porosity media are much more stable and resistant to rupture, whereas in high-porosity media, the flow is less hindered by resistance, leading to the rupture of vortex lines and the development of Taylor vortices, accelerating mass transfer between vortices. The maximum speed can be 9.8816 times that of other operating conditions, accompanied by the generation of oppositely directed transverse wave-shaped mass transfer.
During the two stages of RTI development, medium-porosity media are most affected by horizontal forces, while fluids in low-porosity media face greater seepage resistance, resulting in slower development with similar patterns. Hollow media, experiencing minimal resistance to fluid seepage, develop convection rapidly along the direction of gravity, generating near-zero horizontal forces initially and achieving peak horizontal velocities more quickly. The symmetry of RTI-generated fingers shows that the relative distance of extreme values increases with porosity. Combined with the previous evolution plots, it can be observed that, unlike the single vortex pair in other streamline plots, ε = 0.8 has already generated four pairs of horizontal forces (i.e., two vortex pairs) at this point, while the vortex lines for ε = 0.999 have broken down, resulting in instantaneous horizontal flow velocities far exceeding those in other conditions.
The study of porosity highlights how porosity affects mass transfer and fluid dynamics, offering guidance for designing and optimizing activated carbon-based systems. Performance can be enhanced by focusing on the nonlinear effects of porosity on flow and mass transfer, using porosity gradation, vortex control, and dynamic response integration. Activated carbon with porosity between 0.3 and 0.6 balances high surface area with moderate flow resistance, preventing concentration accumulation or excessive pressure drop in adsorption. Gradient porosity design (such as core–shell structure) optimizes microstructure and regulates vortex behavior to enhance mass transfer efficiency, such as preventing dead zones in gas purification reactors. Although these strategies focus on activated carbon, the porosity–vortex–mass transfer principles apply to other porous systems. In filtration, low-porosity media (ε < 0.4) delay diffusion but risk local concentration accumulation. High-porosity media (ε ≥ 0.8) enhance backwashing efficiency through rapid fluid exchange. In enhanced oil recovery, medium-porosity media (ε = 0.4–0.8) balance permeability and strength, optimizing water/gas injection to improve recovery.
These findings show that porosity selection directly impacts mass transfer and flow control, supporting multi-scale optimization of activated carbon systems for improved adsorption efficiency and energy reduction in reactors. They also expand the potential of porous media in environmental and energy engineering, offering key design parameters for system development.
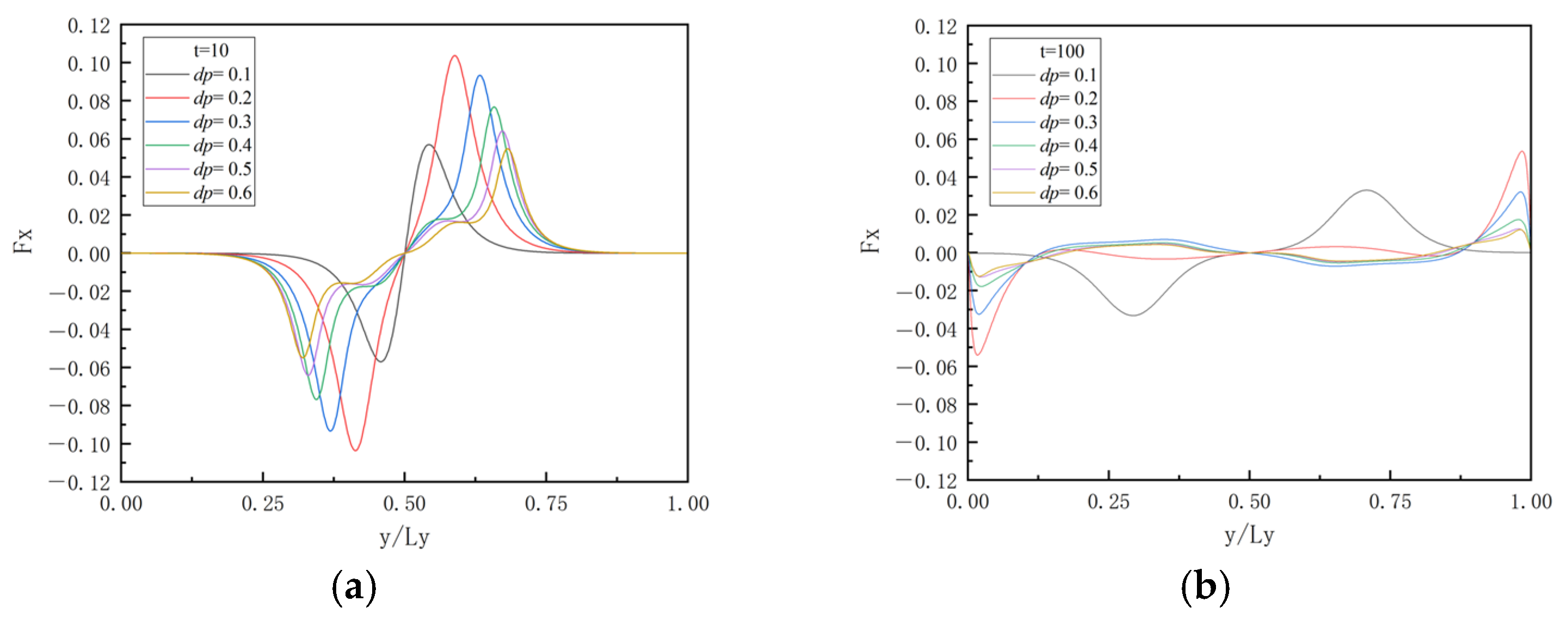
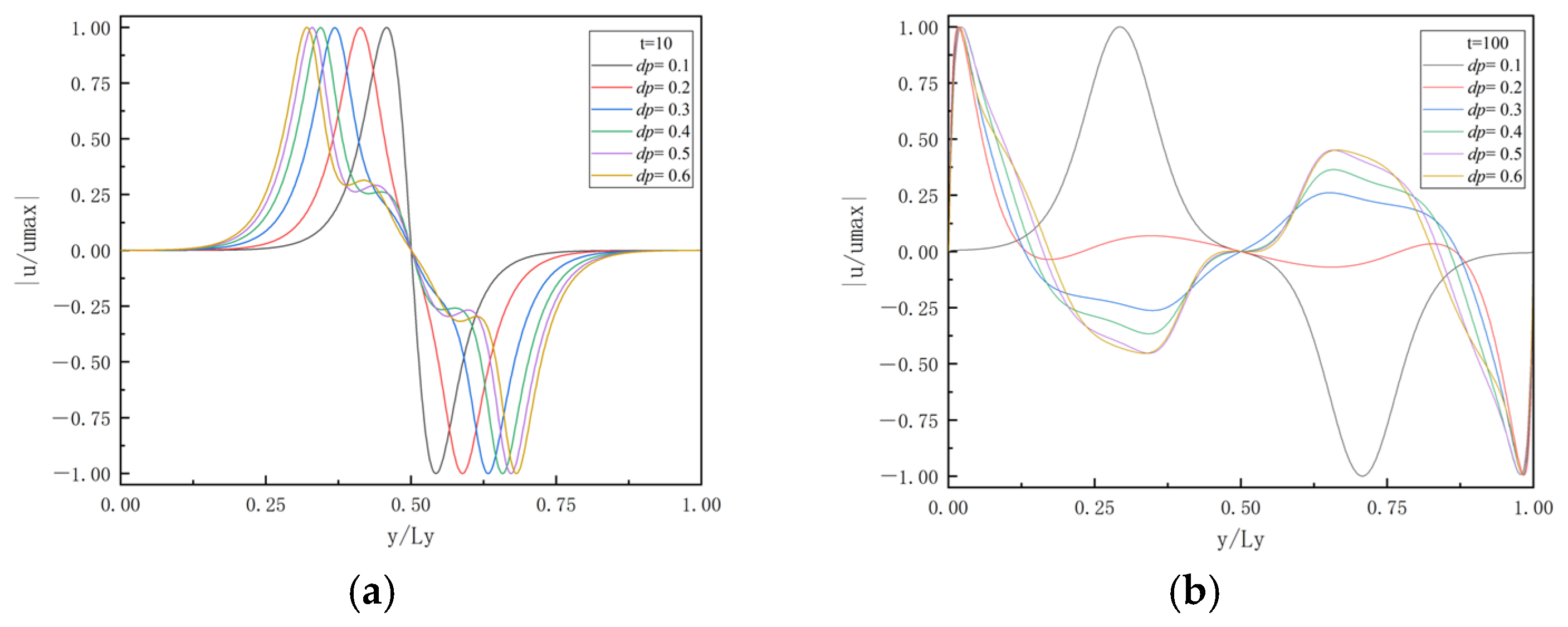
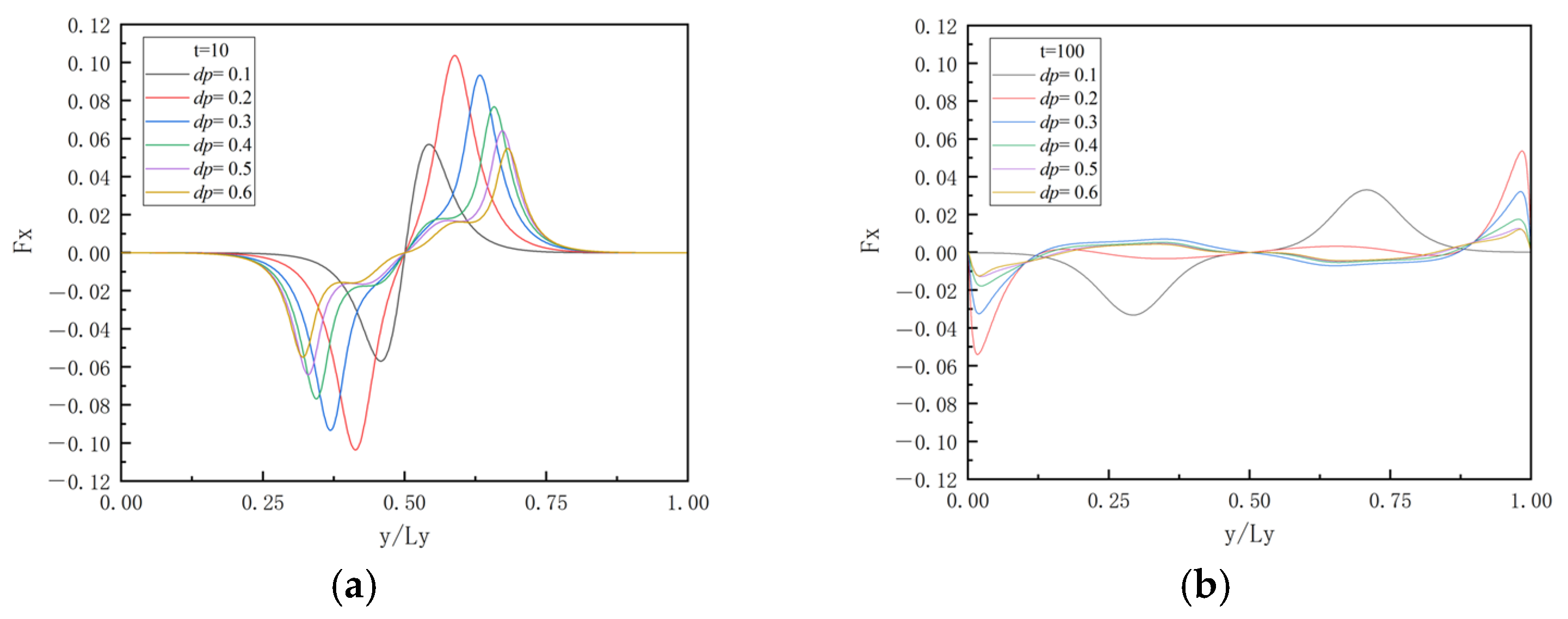
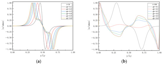
4.2. Analysis on Effect of Pore Size
Using data analysis at the same longitude (x/Lx = 0.25), Figure 22 and Figure 23 present the results of Fx and |u/umax| at various positions for different pore sizes in the same porous media, where Figure a shows the horizontal force for each pore size (dp = 0.1–0.6 mm) at the same longitude (x/Lx = 0.25) across the entire axial scale at t = 10, and Figure b shows the horizontal force results of each situation at t = 100. Altering the pore scale does not modify the model structure or the disturbance effects, thus preserving the symmetry of the forces. Influenced by forces, the positions where the flow velocity reaches its extrema are delayed by 7.63%, 3.85%, 2.22%, and 1.46%, respectively, as dp increases from 0.1 to 0.6.
Figure 22.
Plots of y/Ly-Fx for different pore sizes ((a) t = 10, (b) t = 100).
Figure 23.
Plots of y/Ly-|u/umax| for different pore sizes ((a) t = 10, (b) t = 100).
At t = 100, combining with the previous evolution figures, it can be observed that unlike the results for dp = 0.1 and dp = 0.2, when dp ≥ 0.3, two pairs of vortices have already formed at this time. Despite the increase in dp, the development is sufficiently advanced that the force field results and flow field outcomes are nearly identical. And the results of dp ≥ 0.3 develop similarly, indicating similar flow patterns in Figure 23b. The conclusions are almost the same as the results above.
Comparing the results at the same latitude under different pore scales, due to the presence of inverse symmetry, only the upper half of the latitude values are analyzed. Figure 24 shows the Fx corresponding to different pore sizes and time instances for the same porous media, using data from y/Ly = 0.1 to 0.5 at the middle of the model. Figure 24a shows the relationships between dp and Fx at the point of x/Lx = 0.25 for different latitudes (y/Ly = 0.1, 0.2, 0.3, 0.4, and 0.5) at t = 10, while Figure 24b shows the results for the same points at t = 100. Under the influence of varying pore sizes, the evolution of RTI morphology from sharp to rounded is closely related to the redistribution of horizontal forces. During the initial stages of RTI development, the bubbles generated by the instability have not yet propagated far from the interface, and the fluid particles are primarily subjected to gravity, with the horizontal component of force approaching 0. From the perspective of dp changes, at low pore scales (dp < 0.3), small pores result in low permeability (K ∝ dp2), leading to high fluid seepage resistance and slower RTI development. Under these conditions, the fluid interface is dominated by gravity, forming sharp fingering structures. The horizontal force distribution is concentrated in narrow regions, near the interface, manifesting as a localized high-gradient force field (Figure 24a). The high-gradient force field drives rapid vertical motion of fluid particles, while momentum exchange in the horizontal direction is restricted, resulting in sharp interfacial shapes. For high pore scales (dp ≥ 0.3), as dp increases, permeability significantly improves, and fluid resistance decreases. The flow regime transitions from confined laminar flow to more freely developed vortices, with enhanced symmetry in horizontal force distribution (Figure 24b). So, the fluid particles gain more momentum in the horizontal direction, and the formation of vortex structures promotes more uniform interfacial diffusion, leading to a gradual rounding of the RTI shape. Meanwhile, when dp is large enough, the development is sufficiently advanced at the same time, resulting in similar horizontal force outcomes at the same latitude.
Figure 24.
Plots of dp-Fx at different latitudes and pore sizes ((a) t = 10, (b) t = 100).
The particles at the interface experience collisions and compressions due to the density difference between the upper and lower fluids, resulting in a relatively balanced horizontal force. Fluid particles near the interface are more influenced by the traction accompanying the RTI, especially with a slight increase in dp when it is relatively small, causing the RTI shape to gradually become rounded from sharp, and a sudden change in the horizontal force occurs. The mechanism and sudden change of horizontal force with varying dp in the figure are related to the dynamic response of the horizontal force component and its nonlinear relationship with the pore scale. At t = 10, when dp is small (dp = 0.1), the fluid is primarily driven by vertical gravity, and the horizontal force component is nearly zero (Figure 24a). And the RTI has not fully developed, and lateral momentum exchange among fluid particles is weak, resulting in a sharp interface shape. When dp exceeds the threshold (0.3), the nonlinear increase in permeability significantly reduces flow resistance, and the fluid accelerates vortex formation, causing a redistribution of horizontal force due to momentum exchange between vortices. So at dp = 0.4, a sudden change in horizontal force appears near the interface (Figure 24a), corresponding to the transition of the RTI shape from sharp to rounded. This sudden change results from the transition in the flow state—from vertically dominated constrained flow to vortex-driven mixing flow. As dp increases further and permeability approaches open channel conditions, at dp = 0.6, flow resistance becomes negligible. The horizontal force distribution becomes symmetric and uniform, the interface shape is fully rounded, and the mass transfer efficiency between vortices reaches its peak.
The study uncovers the nonlinear control of flow resistance through permeability via dp, linking RTI development to interface shape. Vortex formation and breakdown at higher porosities, like Taylor vortices, enhance mass transfer, offering insights for optimizing porous media mixing. For activated carbon fluid separation, dp ≈ 0.3 balances adsorption efficiency and flow resistance, while thermosensitive materials allow dynamic porosity adjustment, improving separation efficiency and adapting to pollutant load changes. These findings also have other practical applications, such as in CO2 sequestration, where dp ≥ 0.3 improves fluid mixing and reduces the risk of finger-like intrusion. In chemical reactors, high-porosity media (dp ≥ 0.4) enhance vortex breakdown, promoting reactant mixing and improving reactor efficiency. By regulating permeability and flow resistance, dp profoundly influences RTI dynamics and horizontal force distribution. Low dp favors sharp interfaces and high-gradient force fields, while high dp promotes vortex-driven flow, enhancing mass transfer. These insights are key for designing porous media in applications requiring efficient mixing and flow stability, such as in geological sequestration and fluid separation.
5. Conclusions
This numerical study investigates the force mechanisms and eddy current effects of Rayleigh–Taylor instability (RTI) in the intrinsic model of activated carbon, employing the lattice Boltzmann method (LBM). The results reveal that porosity and pore size (dp) significantly influence fluid dynamics, mass transfer, and instability development in porous media. The results indicate:
- (1)
- Low porosity (ε < 0.3) suppresses RTI due to high fluid resistance, resulting in uniform streamline and density distributions. Heat transfer is dominated by conduction, and stable vortex structures prevent instability initiation. High porosity (ε ≥ 0.6) facilitates RTI development, with vortex formation and rupture enhancing mass transfer. In the initial stage of RTI development (t = 10), influenced by these forces, the positions where the flow velocity reaches its extrema are delayed by 0%, 8.84%, 22.39%, and 21.82%, respectively, as the porosity increases from 0.2 to 0.999. After a certain duration of RTI development (t = 100), the vortex lines at big-pore media have ruptured in force charts. At ε = 0.999, Taylor vortices emerge, increasing flow velocity by up to 9.88 times and promoting bidirectional mass transfer. Medium media are most affected by horizontal forces, while small-pore media exhibited higher resistance, resulting in slower and similar patterns. Hollow media generate near-zero horizontal forces during the initial stages of RTI development. The study of this phenomenon can aid in enhancing mass transfer efficiency in industrial applications and achieving the on-demand provision of working fluids for enhanced mass transfer and heat transfer without mass transfer through continuous exchange of different porous media.
- (2)
- Low dp (dp < 0.3) leads to high resistance and sharp interfacial structures, delaying RTI development. High dp (dp ≥ 0.3) reduces resistance, enabling vortex-driven flow and smoother interfaces. Above dp = 0.4, further increases in dp have negligible effects on flow resistance, as inertial forces dominate viscous forces. Influenced by forces, the positions where the flow velocity reaches its extrema are delayed by 7.63%, 3.85%, 2.22%, and 1.46%, respectively, as dp increases from 0.1 to 0.6. The decrease in relative position changes indicates that flow results gradually converge as dp increases. After enough time growing, the development is sufficiently advanced, resulting in nearly identical force field outcomes.
- (3)
- Horizontal forces exhibit symmetry and redistribute with increasing dp, transitioning from sharp to rounded RTI shapes. At dp ≥ 0.3, vortex structures enhance momentum exchange, leading to balanced horizontal forces and efficient mass transfer. The threshold effect at dp ≈ 0.3 highlights the nonlinear relationship between pore size and flow resistance, providing a basis for optimizing porous media design.
- (4)
- In implications for activated carbon applications, it has been investigated that activated carbon with dp ≈ 0.3 balances adsorption efficiency and flow resistance, making it ideal for pollutant adsorption and gas purification. Furthermore, dynamic control of porosity through external stimuli (e.g., temperature, electric fields) enables real-time optimization of flow behavior in smart responsive materials.
In summary, this research elucidates the complex interplay between porosity, pore scale, and fluid dynamics in activated carbon, offering theoretical insights and practical guidelines for optimizing mass transfer and flow control in industrial applications. The findings underscore the importance of porosity and pore size in designing efficient porous media systems, with broad implications for environmental engineering, chemical reactors, and energy storage.
Author Contributions
L.Y. responsible for resources, formal analysis, program compilation and writing original draft; Q.Z. responsible for, resources, formal analysis, writing—review and editing; Y.W. responsible for methodology, project administration; Z.Y. responsible for investigation and resources; H.H. responsible for resources, formal analysis. All authors have read and agreed to the published version of the manuscript.
Funding
This research was funded by National Natural Science Foundation of China (NSFC), with the project leader and important participant being Li Ye. The funding types are the Young Scientists Fund (Project No. 51306122) and the General Program (Project No. 52376068), both of which can be verified through the NSFC official website.
Data Availability Statement
The original contributions presented in this study are included in the article.
Conflicts of Interest
The authors declare no conflicts of interest.
Abbreviations
The following abbreviations are used in this manuscript:
| RTI | Rayleigh–Taylor Instability |
| LBM | Lattice Boltzmann method |
References
- Cao, R. Mechanical energy loss and Rayleigh-Taylor instability in free discharge of vertical sharp-edged orifices. J. Chem. Eng. Res. Des. 2023, 190, 282–295. [Google Scholar] [CrossRef]
- Boyaci, A.; Banerjee, A. Transition to plastic regime for Rayleigh-Taylor instability in soft solids. J. Phys. Rev. E 2024, 109, 055103. [Google Scholar] [CrossRef] [PubMed]
- Wang, J.; Li, H.; Guo, W.; Wang, Z.; Du, T.; Wang, Y.; Abe, A.; Huang, C. Rayleigh–Taylor instability of cylindrical water droplet induced by laser-produced cavitation bubble. J. Fluid Mech. 2021, 919, A42. [Google Scholar] [CrossRef]
- Zhou, Y. Rayleigh-Taylor and Richtmyer-Meshkov instability: Similarity and difference. J. Phys. Plasmas 2017, 24, 055601. [Google Scholar]
- Pan, C.; Hilpert, M.; Miller, C.T. Lattice-Boltzmann simulation of two-phase flow in porous media. J. Water Resour. Res. 2006, 42, W01412. [Google Scholar] [CrossRef]
- Li, J.; Yang, J. Local volume-conservation-improved diffuse interface model for simulation of Rayleigh–Plateau fluid instability. J. Comput. Phys. Commun. 2024, 296, 109050. [Google Scholar] [CrossRef]
- Su, Q. On the Transition of the Rayleigh-Taylor Instability in 2d Water Waves with Point Vortices. J. Ann. PDE 2023, 9, 2. [Google Scholar] [CrossRef]
- Ding, S.; Ji, Z.; Li, Q. Rayleigh–Taylor instability for non-homogeneous incompressible fluids with Navier-slip boundary conditions. J. Math. Methods Appl. Sci. 2020, 43, 6338–6362. [Google Scholar] [CrossRef]
- Hong, L. Direct numerical simulations of multi-mode immiscible Rayleigh-Taylor instability with high Reynolds numbers. J. Phys. Fluids 2019, 31, 112104. [Google Scholar]
- Liu, R.; Yao, S.; Xu, L.; Sun, Z.; Cheng, J. Transient simulation of porous cathodes of zinc-nickel single-flow batteries based on lattice Boltzmann method. J. Energy Storage 2020, 32, 101937. [Google Scholar] [CrossRef]
- Scovazzi, G.; Gerstenberger, A.; Collis, S.S. A discontinuous Galerkin method for gravity-driven viscous fingering instabilities in porous media. J. Comput. Phys. 2013, 233, 373–399. [Google Scholar] [CrossRef]
- Zhang, T.; Juanes, R. Dynamics of viscous fingering in porous media: Pore-scale simulations and upscaling. J. Adv. Water Resour. 2015, 38, 969–981. [Google Scholar]
- Lu, C.; Zhang, M.; Luo, K.; Wu, J.; Yi, H. Rayleigh–Bénard instability in the presence of phase boundary and shear—CORRIGENDUM. J. Fluid Mech. 2023, 975, E3. [Google Scholar] [CrossRef]
- Zhou, D.; Huang, R. Numerical simulation of Rayleigh-Taylor instability in porous media using a phase-field model. J. Fluid Mech. 2010, 651, 455–490. [Google Scholar]
- Ma, Y.; Xiao, X.; Li, W.; Desbrun, M.; Liu, X. Hybrid LBM-FVM solver for two-phase flow simulation. J. Comput. Phys. 2024, 506, 112920. [Google Scholar] [CrossRef]
- Yos, P.S.; Takayuki, A. A filtered cumulant lattice Boltzmann method for violent two-phase flows. J. Comput. Phys. 2019, 390, 93–120. [Google Scholar]
- Nithiarasu, P.; Seetharamu, K.N.; Sundararajan, T. Natural convective heat transfer in a fluid saturated variable porosity medium. J. Int. J. Heat Mass Transf. 1997, 40, 3955–3967. [Google Scholar] [CrossRef]
- Ergun, S.; Orning, A.A. Fluid flow through randomly packed columns and fluidized beds. Ind. Eng. Chem. 1949, 41, 1179–1184. [Google Scholar] [CrossRef]
- Ren, J.J.; Guo, P.; Guo, Z.L.; Wang, Z.H. A lattice Boltzmann model for simulating gas flow in Kerogen pores. J. Transp. Porous Media 2015, 106, 285–301. [Google Scholar] [CrossRef]
- Zhang, T.; Li, X.F.; Wang, X.Z.; Li, J.; Li, W.; Zhao, W.; Yao, T.F. Modelling the water transport behavior in organic-rich nanoporous shale with generalized lattice Boltzmann method. J. Int. J. Heat Mass Transf. 2018, 127, 123–134. [Google Scholar] [CrossRef]
- Fu, D.; Li, Y.; Zhao, J.; Jiang, Y.; Chen, X.; Xu, W. Seepage law of shale gas reservoir based on lattice Boltzmann method. J. Lithol. Oil Gas Reserv. 2020, 32, 151–160. [Google Scholar]
- Ladd, A.J.C. Numerical simulations of particulate suspensions via a discretized Boltzmann equation. 1. Theoretical foundation. J. Fluid Mech. 1994, 271, 285–309. [Google Scholar] [CrossRef]
- Zhao, J.; Fu, D.; Li, Y.; Jiang, Y.; Xu, W.; Chen, X. REV-scale simulation of gas transport in shale matrix with lattice Boltzmann method. J. Nat. Gas Sci. Eng. 2018, 57, 224–237. [Google Scholar] [CrossRef]
- Marina, T.; Natalia, C.; Antonina, C. Different-Scale Simulation of Flows in Porous Media. J. EPJ Web Conf. 2021, 248, 01016. [Google Scholar]
- Alhejaili, W.; Aly, M.A. Artificial intelligence and numerical simulations for Cattaneo–Christov heat and mass fluxes of nano-encapsulated phase change materials in a zigzag porous cavity. J. Energy Storage 2024, 90, 111750. [Google Scholar] [CrossRef]
- Trancone, G.; Policastro, G.; Spasiano, D. Treatment of concrete waste from construction and demolition activities: Application of organic acids from continuous dark fermentation in moving bed biofilm reactors. J. Chem. Eng. J. 2025, 505, 159536. [Google Scholar] [CrossRef]
Disclaimer/Publisher’s Note: The statements, opinions and data contained in all publications are solely those of the individual author(s) and contributor(s) and not of MDPI and/or the editor(s). MDPI and/or the editor(s) disclaim responsibility for any injury to people or property resulting from any ideas, methods, instructions or products referred to in the content. |
© 2025 by the authors. Licensee MDPI, Basel, Switzerland. This article is an open access article distributed under the terms and conditions of the Creative Commons Attribution (CC BY) license (https://creativecommons.org/licenses/by/4.0/).























