The Variation Law of Mineral Composition and Pore Structure in the Shale Oil of Mabei Fengcheng Formation Under the Action of CO2
Abstract
1. Introduction
2. Materials and Methods
2.1. Sample Processing
2.2. Experimental Equipment and Steps
2.3. Experimental Scheme
3. Results
3.1. Lithology-Reservoir Characteristics of the Shale of the Fengcheng Formation in the Mahu Depression
3.1.1. The Mineral Composition of Different Lithologies
3.1.2. Microscopic Pore Strucapproximately Theologies
3.2. Effect of CO2-Water-Rock Reaction on Physical Properties of Shale
3.2.1. The Key Role of CO2
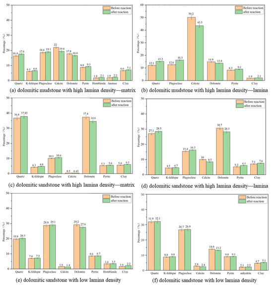
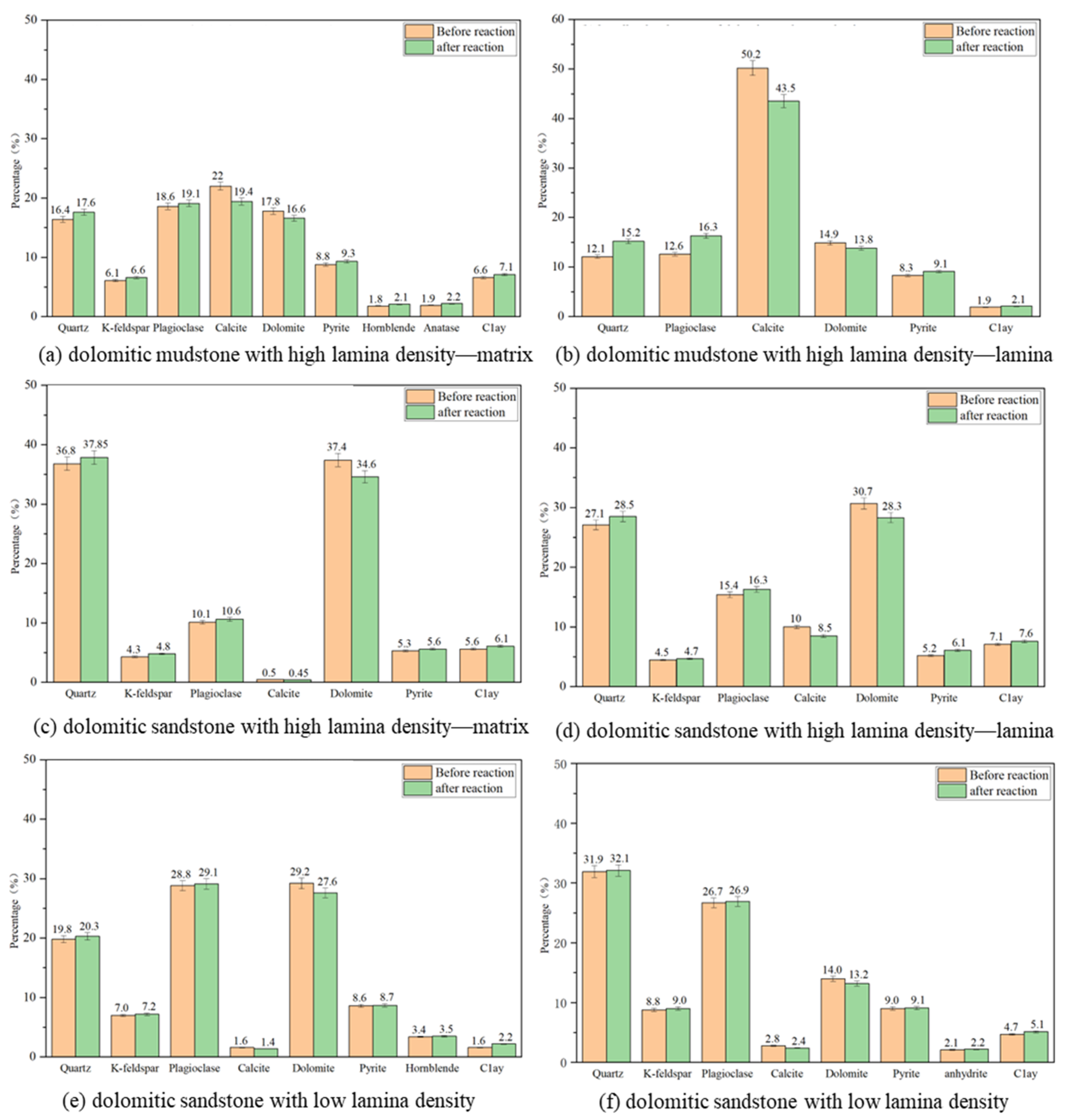
3.2.2. Changes in Mineral Composition
3.2.3. Microscopic Pore Structure Changes
4. Conclusions
5. Knowledge Gaps and Future Perspectives
Supplementary Materials
Author Contributions
Funding
Data Availability Statement
Conflicts of Interest
References
- Liang, X.; Feng, L.; Cao, Y.; Guo, C.; Jia, J.; Chai, H. Critical Thinking of Some Important Indexes of Shale Oil UnconventionalDevelopment Model. Drill. Prod. Technol. 2025, 48, 92–99. [Google Scholar] [CrossRef]
- Zou, C.; Pan, S.; Jing, Z.; Gao, J.; Yang, Z.; Wu, S.; Zhao, Q. Shale oil and gas revolution and its impact. Acta Pet. Sin. 2020, 41, 1–12. [Google Scholar] [CrossRef]
- Hu, W.; Zhang, S.; Xu, S.; Wang, X. Practice, challenges and prospects of oil and gas field development in China. China Pet. Explor. 2024, 29, 1–11. [Google Scholar] [CrossRef]
- Mcmahon, T.P.; Larson, T.E.; Zhang, T.; Shuster, M. Geologic characteristics, exploration and production progress of shale oil and gas in the United States: An overview. Pet. Explor. Dev. 2024, 51, 925–948. [Google Scholar] [CrossRef]
- Wen, Z.; Wang, J.; Wang, Z.; He, Z.; Song, C.; Chen, R.; Liu, X.; Ji, T.; Li, Z. Analysis of the current status of global oil, gas, and associated resources exploration in 2023. Pet. Explor. Dev. 2024, 51, 1465–1479. [Google Scholar] [CrossRef]
- Lei, Q.; Weng, D.; Guan, B.; Shi, J.; Cai, B.; He, C.; Sun, Q.; Huang, R. Shale oil and gas exploitation in China: Technical comparison with US and development suggestions. Pet. Explor. Dev. 2023, 50, 944–954. [Google Scholar] [CrossRef]
- Song, Z.; Zhang, J.; Jin, S.; Liu, C.; Abula, A.; Hou, J.; Ma, L. The occurrences and mobility of shale oil in the pore space of terrestrial shale. Fuel 2024, 374, 132377. [Google Scholar] [CrossRef]
- Li, J.; Li, S.; Li, J.; Li, J.; Yi, X.; Wang, M.; Tian, G.; Wang, J. Status, Experience, and Inspiration of Unconventional Resources Hydraulic Fracturing Technology. In Proceedings of the GOTECH, Dubai, United Arab Emirates, 7–9 May 2024. [Google Scholar]
- Li, P.; Xiong, J.; Yan, Q.; Zhu, Z.; Liu, X.; Wu, J.; Wang, Z.; Zhang, L. Lithological influences to rock mechanical properties of Permian Fengcheng Formation in Mahu Sag, Junggar Basin. Pet. Geol. Exp. 2022, 44, 569–578. [Google Scholar] [CrossRef]
- Ma, C.-F.; Huang, W.-J.; Zhou, J.; Yu, H.-Z.; Song, M.-Y. The genetic mechanism of salt minerals in Fengcheng Formation in Hashan area, northwestern margin of Junggar Basin. Pet. Sci. 2025, 22, 3991–4014. [Google Scholar] [CrossRef]
- Hao, L.; Gan, R.; Pan, L.; Ruan, D.; Liu, C. Key Technology of Volumetric Fracturing in Vertical Wells of Hugely Thick Shale Oil Reservoirs in the Fengcheng Formation of the Mahu Sag. Pet. Drill. Tech. 2021, 49, 99–105. [Google Scholar] [CrossRef]
- Teng, W. Development Path of Integration of Oil and Gas with New Energy in Xinjiang Oilfield under the Background of “Dual Carbon”. Xinjiang Oil Gas 2025, 21, 14–19. [Google Scholar] [CrossRef]
- Zhang, K.; Tao, L.; Chen, W.; Li, B.; Pan, Y.; Zhang, S.; Li, G. Fracturing mechanism, phase transformation, and energy enhancement effect of CO2 fracturing fluids in tight reservoirs. J. Eng. Geol. 2025, 33, 1647–1658. [Google Scholar] [CrossRef]
- Wu, S.; Ge, H.; Li, T.; Wang, X.; Li, N.; Zou, Y.; Gao, K. Characteristics of fractures stimulated by supercritical carbon dioxide fracturing in shale based on acoustic emission monitoring. Int. J. Rock Mech. Min. Sci. 2022, 152, 105065. [Google Scholar] [CrossRef]
- Gao, J.; Wang, H.; Sharma, M. Research progress and prospects of CO2 fracturing for developing unconventional energy sources. Geoenergy Sci. Eng. 2024, 241, 213137. [Google Scholar] [CrossRef]
- Sun, Y.-X.; Wang, X.-L.; Meng, Y.-Z.; Tian, J.-L.; Lu, C.-H. Fracture propagation mechanism and application of supercritical CO2 fracturing in shale: A review. Pet. Sci. 2025, 22, 1625–1652. [Google Scholar] [CrossRef]
- Zeng, F.; Zhang, Q.; Guo, J.; Zeng, B.; Zhang, Y.; He, S. Mechanisms of shale hydration and water block removal. Pet. Explor. Dev. 2021, 48, 646–653. [Google Scholar] [CrossRef]
- Tang, W.; Zhou, F.; Sheng, J.J.; Wang, X.; Jiang, T. Further investigation of CO2 energization fracturing in shale reservoir- from microscopic mechanism to field application. Fuel 2025, 385, 134156. [Google Scholar] [CrossRef]
- Zhong, P.; Liu, C.; Wei, C.; Zhou, W.; Tian, S.; Wu, J. Experimental Study on Etched Fracture Conductivity in Carbonate Rocks for Supercritical CO2 Prepad Acid Fracturing#br#. Xinjiang Oil Gas 2024, 20, 60–69. Available online: http://www.zgxjog.com/CN/Y2024/V20/I4/60 (accessed on 4 November 2025).
- Xiao, W.; Chen, S.; Yi, Y.; Chen, H.; Ren, J. NMR-Based Experiments of Fracturing Fluid Assisted CO2 Huff-n-Puff for Enhancing Shale Oil Recovery. Xinjiang Oil Gas 2024, 20, 83–90. Available online: http://www.zgxjog.com/CN/Y2024/V20/I3/83 (accessed on 4 November 2025).
- Zou, Y.; Li, Y.; Li, S. Influence of CO2 pre-injection on fracture mophology and the petrophysical properties in shale fracturing. Nat. Gas Ind. 2021, 41, 83–94. [Google Scholar] [CrossRef]
- Dai, X.; Wei, J.; Li, Y.; Yang, Y. Study on parameters influencing fracture propagation and the influence of sensitive parameters on CO2 enhanced oil reservoirs in Gulong shale oil. Geoenergy Sci. Eng. 2025, 257, 214197. [Google Scholar] [CrossRef]
- Li, Y.; Zhao, Q.; Yang, Y.; Zhang, F.; Cao, G.; Zhang, L.; Yang, F.; Lu, M. Study and application of CO2 pre-fracturing technology of continental shale oil in Shengli Oilfield. Fault-Block Oil Gas Field 2024, 31, 945–954. [Google Scholar]
- Yang, S.; Cai, M.; Zhang, K.; Cao, D.; Zhao, X.; Liu, S. Research progress and prospect of CO2-water-rock interaction on petrophysi cal properties of CO2 geological sequestration. Pet. Geol. Recovery Effic. 2023, 30, 80–91. [Google Scholar]
- Zhang, L.; Wei, Q.; Liao, G.; Lv, W.; Yang, Y.; Zhao, Y.; Tian, Y. Current Status, Reflections and Prospects of CCUS-EOR Development in China Under the Dual-Carbon Goals. Drill. Prod. Technol. 2025, 48, 10–20. [Google Scholar]
- Tang, Y.; Jia, C.; Chen, F.; He, W.; Zhi, D.; Shan, X.; You, X.; Jiang, L.; Zou, Y.; Wu, T.; et al. Relationship between pore throat structure and crude oil mobility of full particle sequence reservoirs in Permian Fengcheng Formation, Mahu Sag, Junggar Basin, NW China. Pet. Explor. Dev. 2025, 52, 99–111. [Google Scholar] [CrossRef]
- He, W.; Wang, G.; Chen, F.; Ren, H.; Gao, G.; Zou, Y.; Han, Y.; Liu, X.; Yu, X. Pore-throat structures and lower limits of fluid-movable pore-throat radii in conventional and unconventional reservoirs of Fengcheng Formation in Mahu sag, Junggar Basin. Acta Pet. Sin. 2025, 46, 1327–1341. [Google Scholar]
- Feng, Y.; Tang, Y.; Qin, Z.; Yang, S.; Zhou, Y.; Ablimit, Y.; Wang, W.; Bai, Y. Sedimentary characteristics and palaoenvironmental evolution of Fengcheng Formation in the northern slope zone of Mahu sag, Junggar Basin. Acta Pet. Sin. 2025, 46, 1308–1326. [Google Scholar]
- Wang, S.; Wang, G.-W.; Wang, H.-Z.; Liu, M.-J.; Huang, L.-L.; Huang, Y.-Y.; Wang, Z.-S.; Li, S.-Q. Logging evaluation of acoustic anisotropy and its relationship with “sweet spots” in lacustrine shale oil reservoirs: The Fengcheng Formation of the Mahu Sag, China. Pet. Sci. 2025, 22, 3133–3151. [Google Scholar] [CrossRef]
- Zhu, Y.; Wu, S.; Deng, Y.; Liu, L.; Lei, X.; Niu, Y. Pore Throat Structures and Fluid Occurrences of Reservoirs in Fengcheng Formation, Mahu Sag. Xinjiang Pet. Geol. 2024, 45, 286–295. [Google Scholar]
- Lv, J.-H.; Hu, T.; Zhang, W.; Jiang, F.-J.; Xue, J.; Zhang, C.-X.; Qi, Z.-G.; Huang, R.-D.; Hu, M.-L.; Jiang, S. Microscopic oil occurrence in the Permian alkaline lacustrine shales: Fengcheng formation, Mahu Sag, Junggar basin. Pet. Sci. 2025, 22, 1407–1427. [Google Scholar] [CrossRef]
- Li, N.; Jin, Z.; Zhang, S.; Wang, H.; Yang, P.; Zou, Y.; Zhou, T. Micro-mechanical properties of shale due to water/supercritical carbon dioxide-rock interaction. Pet. Explor. Dev. 2023, 50, 872–882. [Google Scholar] [CrossRef]
- Li, J.; Zhang, Q.; Li, Y.; Huo, Y.; Li, C.; Zhang, D.; Lin, K.; Yi, C.; Xue, Y. Combining pore structure types and reservoir forming limits to determine the grading evaluation criteria of Chang 7 tight oil reservoirs in Jiyuan Area, Ordos Basin. Desalination Water Treat. 2023, 314, 339–351. [Google Scholar] [CrossRef]
- Wang, R.; Shi, W.; Xie, X.; Zhang, W.; Qin, S.; Liu, K.; Busbey, A.B. Clay mineral content, type, and their effects on pore throat structure and reservoir properties: Insight from the Permian tight sandstones in the Hangjinqi area, north Ordos Basin, China. Mar. Pet. Geol. 2020, 115, 104281. [Google Scholar] [CrossRef]
- Zhang, M.-B.; Pan, H.-J.; Wang, Y.-G.; Du, M.; Cai, S.-J.; Liu, F.; Ju, M.-X. Seismic pore-type characterization in tight carbonate reservoirs: A case study of the fourth member of Ordovician Majiagou Formation in Ordos Basin, China. Pet. Sci. 2025, 22, 3583–3598. [Google Scholar] [CrossRef]
- Xie, R.; Wang, X.; Zhao, Z.; Zhou, W. First-Principles Calculation of the Electronic Structure and (104) Surface Properties of Calcite Crystals. Met. Mine 2023, 12, 93–98. [Google Scholar] [CrossRef]
- Ning, M.; Liang, Z.; Feng, Y.; Xia, P.; Shen, B.; Wen, H. Current Methodologies and Emerging Trends in Dolomite Research: Review and Perspectives. Acta Sedimentol. Sin. 2025, 43, 1814–1856. [Google Scholar] [CrossRef]
- Gao, H.; Li, X.; Zhu, G.; Li, S.; Wang, R.; Hou, J.; Zhang, J.; Zheng, K. A review of dolomite genesis analysis based on crystal nucleation-growth thermodynamic and kinetic. Earth Sci. Front. 2025, 32, 165–189. [Google Scholar] [CrossRef]
- Zou, Y.; Li, S.; Ma, X.; Zhang, S.; Li, N.; Chen, M. Effects of CO2–brine–rock interaction on porosity/permeability and mechanical properties during supercritical-CO2 fracturing in shale reservoirs. J. Nat. Gas Sci. Eng. 2018, 49, 157–168. [Google Scholar] [CrossRef]
- Zhang, C.; Zhu, P.; Huang, T.; Yan, C.; Liu, J.; Wang, B.; Zhang, B.; Zhang, Y. Study on the influence of CO2-water-rock reactions under reservoir conditions on geochemical properties of sandstone reservoirs. Pet. Reserv. Eval. Dev. 2025, 15, 545–553. [Google Scholar] [CrossRef]
















| Serial Number | lithologic Characters | H2O Injection Volume (mL) | CO2 Injection Volume (mL) | Reaction Time (h) | |
|---|---|---|---|---|---|
| 1 | Dolomitic mudstone with high lamina density | lamina | 62 | 38 | 24 |
| 2 | matrix | ||||
| 3 | Dolomitic mudstone with low lamina density | ||||
| 4 | Dolomitic sandstone with high lamina density | lamina | |||
| 5 | matrix | ||||
| 6 | Dolomitic sandstone with low lamina density | ||||
Disclaimer/Publisher’s Note: The statements, opinions and data contained in all publications are solely those of the individual author(s) and contributor(s) and not of MDPI and/or the editor(s). MDPI and/or the editor(s) disclaim responsibility for any injury to people or property resulting from any ideas, methods, instructions or products referred to in the content. |
© 2025 by the authors. Licensee MDPI, Basel, Switzerland. This article is an open access article distributed under the terms and conditions of the Creative Commons Attribution (CC BY) license (https://creativecommons.org/licenses/by/4.0/).
Share and Cite
Li, J.; Zhang, S.; Liu, K.; Wang, M.; Dong, J.; Yang, L.; Zou, Y. The Variation Law of Mineral Composition and Pore Structure in the Shale Oil of Mabei Fengcheng Formation Under the Action of CO2. Processes 2025, 13, 3985. https://doi.org/10.3390/pr13123985
Li J, Zhang S, Liu K, Wang M, Dong J, Yang L, Zou Y. The Variation Law of Mineral Composition and Pore Structure in the Shale Oil of Mabei Fengcheng Formation Under the Action of CO2. Processes. 2025; 13(12):3985. https://doi.org/10.3390/pr13123985
Chicago/Turabian StyleLi, Jianmin, Shicheng Zhang, Kaixin Liu, Mingxing Wang, Jingfeng Dong, Li Yang, and Yushi Zou. 2025. "The Variation Law of Mineral Composition and Pore Structure in the Shale Oil of Mabei Fengcheng Formation Under the Action of CO2" Processes 13, no. 12: 3985. https://doi.org/10.3390/pr13123985
APA StyleLi, J., Zhang, S., Liu, K., Wang, M., Dong, J., Yang, L., & Zou, Y. (2025). The Variation Law of Mineral Composition and Pore Structure in the Shale Oil of Mabei Fengcheng Formation Under the Action of CO2. Processes, 13(12), 3985. https://doi.org/10.3390/pr13123985
