Estimation of Thermophysical Properties as Functions of Temperature in Rapid Radial Solidification of Metallic Alloys
Abstract
1. Introduction
2. Methodology
2.1. The Proposed Inverse Heat Transfer Algorithm
2.2. Estimating the Thermal Diffusivity
2.3. Estimating Interface Temperature Between the Mold and Sample
2.4. Estimating the Heat Flux at the Interface
2.5. Estimating the Thermal Conductivity
2.6. Validation of the Inverse Algorithm Using a Numerical (Virtual) Experiment
2.6.1. Estimating k and α of the Solid and Liquid Phases of High-Purity Aluminum
2.6.2. Estimating the Thermophysical Properties of a Casting Magnesium Alloy
3. Experimental Setup
4. Results and Discussion
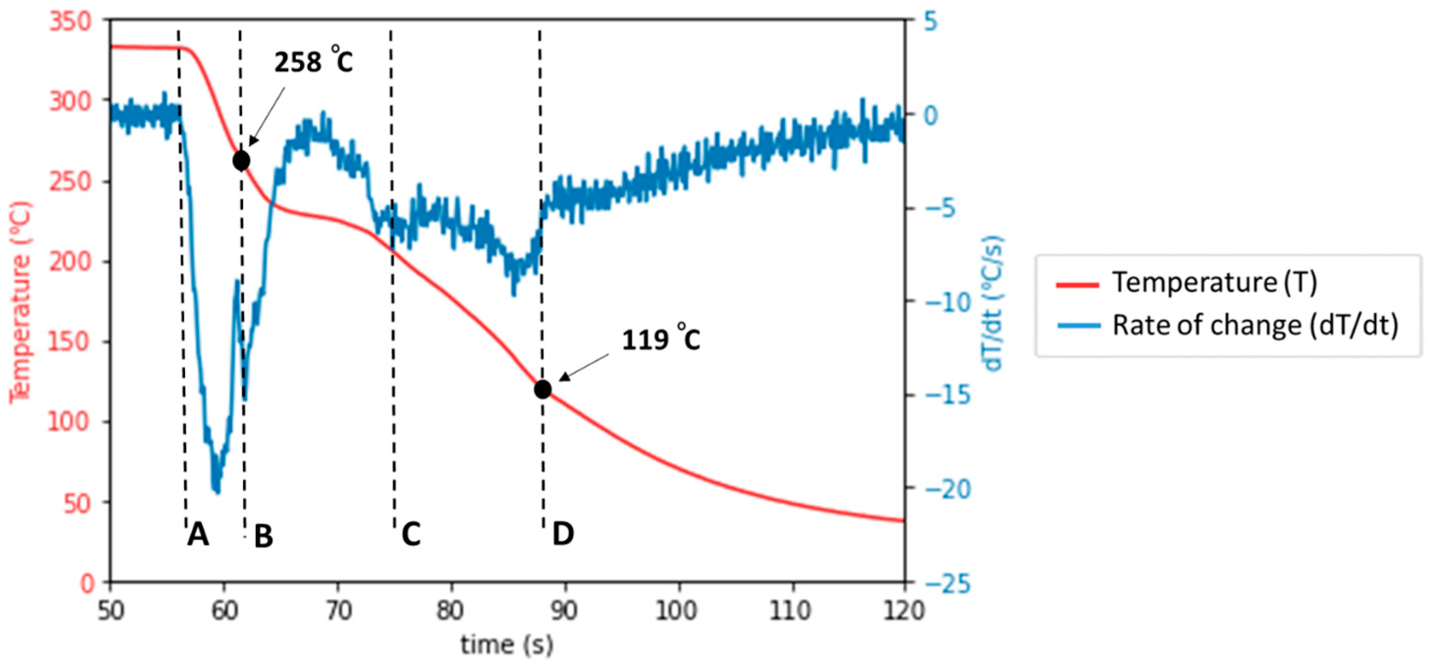
- Point A indicates the beginning of rapid cooling, as the rate of the temperature change curve starts increasing rapidly in magnitude.
- At Point B, solidification begins as indicated by the start of the increase in the rate of temperature change until it reaches its maximum, caused by the release of latent heat during solidification.
- At Point C, solidification is complete at the T5 position, as indicated by the minimum value of the rate of temperature change before it begins to increase again, influenced by the release of latent heat from neighboring positions.
- At Point D, solidification effects and the influence of latent heat from adjacent positions come to an end, signified by the steady rate of temperature change.
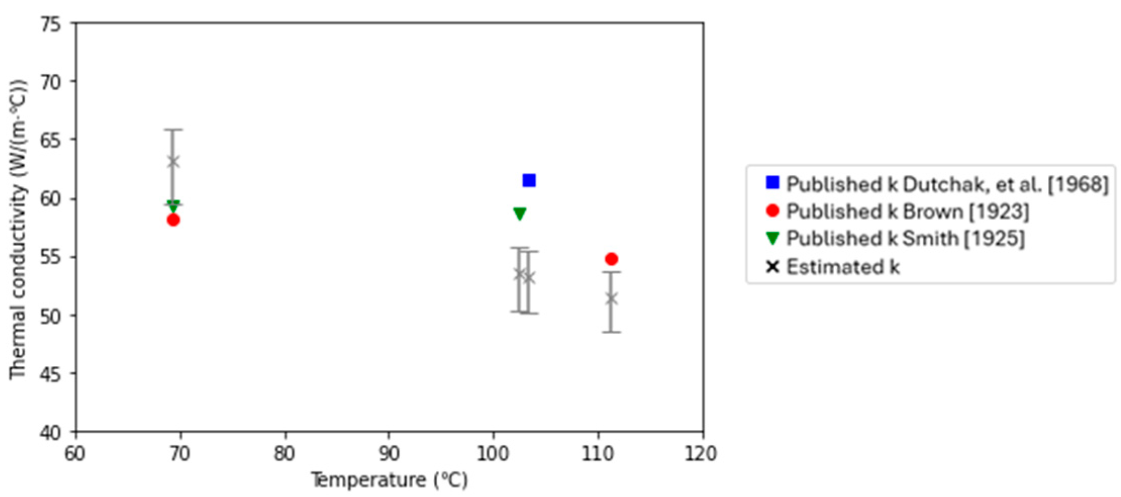
4.1. Estimation of Thermal Conductivity and Thermal Diffusivity for the Solid Phase
4.2. Estimation of Thermal Conductivity and Thermal Diffusivity for the Liquid Phase
4.3. Investigating the Presence of Natural Convection Within the Liquid Phase
4.4. Sensitivity Analysis
4.4.1. The Effect of the Accuracy of Thermocouple Positions on the Estimated Properties
4.4.2. Investigating Temperature Sensing System Accuracy on Thermophysical Properties Estimation
5. Summary and Conclusions
Author Contributions
Funding
Data Availability Statement
Acknowledgments
Conflicts of Interest
Abbreviations
| Nomenclature | |
| [a, b] | Interval range. |
| Cp | Specific heat, J/kg °C. |
| G | Sum of squares error. |
| H | Height, mm. |
| k | Thermal conductivity, W/m °C. |
| n | Iteration index. |
| N | Degree of approximate polynomial. |
| qest | The estimated heat flux. |
| r | Radius, mm. |
| θ | General symbol refers to the value requiring estimation. |
| T | Temperature, °C. |
| Greek symbols | |
| α | Thermal diffusivity, m2/s. |
| [γn,δn] | Updated range in the inverse solver. |
| ε | Infinitesimal value (stop criteria). |
| m | Dynamic viscosity kg/m s. |
| ρ | Density, kg/m3. |
| ρ cp | Volumetric heat capacity, J/m3 °C. |
| ω | The golden ratio, 1.618. |
References
- King, N. Evs Forecast to Account for Two Thirds of Global Light-Vehicle Sales in 2035. Available online: https://ev-volumes.com/news/ev/evs-forecast-to-account-for-two-thirds-of-global-light-vehicle-sales-in-2035/ (accessed on 2 December 2025).
- Razi, F.; Dincer, I. A review of the current state, challenges, opportunities and future directions for implementation of sustainable electric vehicle infrastructure in Canada. J. Energy Storage 2022, 56, 106048. [Google Scholar] [CrossRef]
- The White House. FACT SHEET: President Biden Announces Steps to Drive American Leadership Forward on Clean Cars and Trucks; The White House: Washington, DC, USA, 2021.
- Department for Transport; The Rt Hon Grant Shapps. UK Confirms Pledge for Zero-Emission Hgvs by 2040 and Unveils New Chargepoint Design; Department for Transport: London, UK, 2021.
- Wazeer, A.; Das, A.; Abeykoon, C.; Sinha, A.; Karmakar, A. Composites for electric vehicles and automotive sector: A review. Green Energy Intell. Transp. 2023, 2, 100043. [Google Scholar] [CrossRef]
- Luo, A.A.; Sachdev, A.K.; Apelian, D. Alloy development and process innovations for light metals casting. J. Mater. Process. Tech. 2022, 306, 117606. [Google Scholar] [CrossRef]
- Lee, S.; Ham, H.J.; Kwon, S.Y.; Kim, S.W.; Suh, C.M. Thermal Conductivity of Magnesium Alloys in the Temperature Range from −125 °C to 400 °C. Int. J. Thermophys. 2012, 34, 2343–2350. [Google Scholar] [CrossRef]
- Ozawa, T. Temperature modulated differential scanning caIorimetry-appIicabiIity and Iimitation. Pure Appl. Chem. 1997, 69, 2571–2580. [Google Scholar] [CrossRef]
- Bazhenov, V.E.; Koltygin, A.V.; Sung, M.C.; Park, S.H.; Titov, A.Y.; Bautin, V.A.; Matveev, S.V.; Belov, M.V.; Belov, V.D.; Malyutin, K.V. Design of Mg–Zn–Si–Ca casting magnesium alloy with high thermal conductivity. J. Magnes. Alloys 2020, 8, 184–191. [Google Scholar] [CrossRef]
- Ruoho, M.; Valset, K.; Finstad, T.; Tittonen, I. Measurement of thin film thermal conductivity using the laser flash method. Nanotechnology 2015, 26, 195706. [Google Scholar] [CrossRef]
- Park, Y.H.; Ku, D.Y.; Ahn, M.Y.; Lee, Y.; Cho, S. Measurement of thermal conductivity of Li2TiO3 pebble bed by laser flash method. Fusion Eng. Des. 2019, 146, 950–954. [Google Scholar] [CrossRef]
- Trofimov, A.A.; Atchley, J.; Shrestha, S.S.; Desjarlais, A.O.; Wang, H. Evaluation of measuring thermal conductivity of isotropic and anisotropic thermally insulating materials by transient plane source (Hot Disk) technique. J. Porous Mater. 2020, 27, 1791–1800. [Google Scholar] [CrossRef]
- Rodríguez-Pérez, M.A.; Reglero, J.A.; Lehmhus, D.; Wichmann, M.; De Saja, J.A.; Fernández, A. The Transient Plane Source Technique (TPS) to Measure Thermal Conductivity and Its Potential as a Tool to Detect In-Homogeneities in Metal Foams. In Proceedings of the International Conference “ADVANCED METALLIC MATERIALS”, Smolenice, Slovakia, 5–7 November 2003. [Google Scholar]
- Zhang, Y.; Zhu, W.; Hui, F.; Lanza, M.; Borca-Tasciuc, T.; Muñoz Rojo, M. A Review on Principles and Applications of Scanning Thermal Microscopy (SThM). Adv. Funct. Mater. 2019, 30, 1900892. [Google Scholar] [CrossRef]
- Asnin, V.M.; Pollak, F.H.; Ramer, J.; Schurman, M.; Ferguson, I. High spatial resolution thermal conductivity of lateral epitaxial overgrown GaN/sapphire (0001) using a scanning thermal microscope. Appl. Phys. Lett. 1999, 75, 1240–1242. [Google Scholar] [CrossRef]
- Yang, I.; Kim, D. Uncertainty of thermal conductivity measurement at high temperatures using guarded hot plate apparatus. Int. J. Heat Mass Transf. 2022, 198, 123434. [Google Scholar] [CrossRef]
- Chiba, H.; Ogushi, T.; Nakajima, H.; Torii, K.; Tomimura, T.; Ono, F. Steady state comparative-longitudinal heat flow method using specimen of different thicknesses for measuring thermal conductivity of lotus-type porous metals. J. Appl. Phys. 2008, 103, 013515. [Google Scholar] [CrossRef]
- Monde, M.; Arima, H.; Mitsutake, Y. Analytical approach with Laplace transform to the inverse problem of one-dimensional heat conduction transfer: Application to second and third boundary conditions. Heat Transf.-Asian Res. 2003, 32, 29–41. [Google Scholar] [CrossRef]
- Lachheb, M.; Karkri, M.; Albouchi, F.; Mzali, F.; Nasrallah, S.B. Thermophysical properties estimation of paraffin/graphite composite phase change material using an inverse method. Energy Convers. Manag. 2014, 82, 229–237. [Google Scholar] [CrossRef]
- Trigui, A.; Karkri, M.; Pena, L.; Boudaya, C.; Candau, Y.; Bouffi, S.; Vilaseca, F. Thermal and mechanical properties of maize fibres–high density polyethylene biocomposites. J. Compos. Mater. 2012, 47, 1387–1397. [Google Scholar] [CrossRef]
- Basily, R.; Hamed, M.; Shankar, S. On Estimating Thermophysical Properties of Liquid Metals. In Proceedings of the Fourteen International Conference on Thermal Engineering: Theory and Applications, Yalova, Turkiye, 25–27 May 2023. [Google Scholar]
- Basily, R.; Teamah, A.M.; Hamed, M.S.; Shankar, S. Estimation of Thermo-physical Properties of Metallic Alloys. In Proceedings of the International Conference on Thermal Engineering, Tashkent, Uzbekistan, 28 May–1 June 2024. [Google Scholar]
- Mefreh, M.; Teamah, A.M.; Shankar, S.; Hamed, M. On the Determination of Thermophysical Properties of Casting Aluminium Alloys. In Proceedings of the International Conference on Thermal Engineering, Bucharest, Romania, 18–20 June 2025. [Google Scholar]
- Han, L.; Chen, X.; Wang, Q.; Chen, Y.; Xu, M.; Wu, L.; Chen, C.; Lu, P.; Guan, P. Neural network potential for studying the thermal conductivity of Sn. Comput. Mater. Sci. 2021, 200, 110829. [Google Scholar] [CrossRef]
- Elsheikh, A.H.; Sharshir, S.W.; Ismail, A.S.; Sathyamurthy, R.; Abdelhamid, T.; Edreis, E.M.; Kabeel, A.E.; Haiou, Z. An artificial neural network based approach for prediction the thermal conductivity of nanofluids. SN Appl. Sci. 2020, 2, 235. [Google Scholar] [CrossRef]
- Chauhan, R.; Sharma, S.; Pachauri, R.; Dumka, P.; Mishra, D.R. Experimental and theoretical evaluation of thermophysical properties for moist air within solar still by using different algorithms of artificial neural network. J. Energy Storage 2020, 30, 101408. [Google Scholar] [CrossRef]
- Reoyo-Prats, R.; Grieu, S.; Faugeroux, O.; Claudet, B. A novel ANN-based method for simultaneous estimation of thermophysical properties using experimental photothermal data. Eur. Phys. J. Appl. 2021, 93, 10901. [Google Scholar] [CrossRef]
- Trovant, M.; Argyropoulos, S. Finding Boundary Conditions: A Coupling Strategy for the Modeling of Metal Casting Processes: Part I. Experimental Study and Correlation Development. Metall. Mater. Trans. 2000, 31, 75–86. [Google Scholar] [CrossRef]
- Basily, R. Determination of Temperature-Dependent Thermophysical Properties During Rapid Solidification of Metallic Alloys. Master’s Thesis, McMaster University, Hamilton, ON, Canada, 2024. [Google Scholar]
- Leitner, M.; Leitner, T.; Schmon, A.; Aziz, K.; Pottlacher, G. Thermophysical Properties of Liquid Aluminum. Metall. Mater. Trans. A 2017, 48, 3036–3045. [Google Scholar] [CrossRef]
- Dutchak, Y.I.; Osipenko, V.P.; Panasyuk, P.V. Thermal Conductivity of Sn-Bi Alloys in Solid and Liquid States. Sov. Phys. J. 1968, 11, 145–147. [Google Scholar] [CrossRef]
- Brown, W.B. Thermal Conductivities of Some Metals in the Solid and Liquid States. Phys. Rev. 1923, 22, 171–179. [Google Scholar] [CrossRef]
- Smith, A.W. Thermal Conductivities of Alloys; Ohio State University Engineering Experiment Station: Columbus, OH, USA, 1925; Bulletin No. 31; Available online: https://primo.pugetsound.edu/discovery/fulldisplay?docid=alma99150740460001451&context=L&vid=01ALLIANCE_UPUGS:UPUGS&lang=en&search_scope=Everything&adaptor=Local%20Search%20Engine&tab=Everything&query=title,exact,The%20Ohio%20State%20University,%20the%20Engineering%20Experiment%20Station.%20Bulletin%20no.%2030.%20%5Bi.e.%2031%5D%20October%2015,%201925.%20%5BEngineering%20series%5D,AND&mode=advanced&offset=0 (accessed on 2 December 2025).
- Wang, L.; Xian, A.-P. Density Measurement of Sn-40Pb, Sn-57Bi, and Sn-9Zn by Indirect Archimedean Method. J. Electron. Mater. 2005, 34, 1414–1419. [Google Scholar] [CrossRef]
- Kramer, W.; Nölting, J. Anomale spezifische wärmen und fehlordnung der metalle indium. Acta Metall. 1972, 20, 1353–1359. [Google Scholar] [CrossRef]
- Savchenko, I.; Stankus, S.; Agadjanovb, A. Measurement of Liquid Tin Heat Transfer Coefficients within the Temperature Range of 506–1170 K. Thermophys. Prop. Mater. 2010, 49, 506–511. [Google Scholar] [CrossRef]
- Gancarz, T.; Gąsior, W.; Henein, H. Physicochemical Properties of Sb, Sn, Zn, and Sb–Sn System. Int. J. Thermophys. 2013, 34, 250–266. [Google Scholar] [CrossRef]
- Chen, H.S.; Turnbull, D. The Specific heat of tin and gallium in their stable and undercooled pure liquid states. Acta Met. 1968, 16, 369–373. [Google Scholar] [CrossRef]
- Chapman, T.W. The heat capacity of liquid metals. Mater. Sci. Eng. 1966, 1, 65–69. [Google Scholar] [CrossRef]
- Rothwell, E. Copper and its Alloys in Early Times. J. Inst. Met. 1962, 90, 38–94. [Google Scholar]
- Lucas, L. Specific Volume of Molten Metals and Alloys at Elevated Temperatures—Part 1. Mem. Sci. Rev. Metall. 1964, 61, 1–24. Available online: https://chemport-n.cas.org/chemport-n/?APP=ftslink&action=reflink&origin=npg&version=1.0&coi=1%3ACAS%3A528%3ADyaF2cXktVaksbY%3D&md5=80a94cb2ba104c6347d3e7d4f97c76c2 (accessed on 2 December 2025).





























| Domain | Boundary Conditions | The Sum of Squares Differences, G | |
|---|---|---|---|
| 3 | |||
| Thermal Diffusivity | Thermal Conductivity | |||
|---|---|---|---|---|
| (m2/s) | Maximum Difference % | (W·m/°C) | Maximum Difference % | |
| Liquid phase | 8.41 × 10−8 | 0.7 | 0.07 | 0.2 |
| Solid phase | 5.44 × 10−8 | 0.3 | 0.09 | 0.023 |
| Thermal Diffusivity | Thermal Conductivity | |||
|---|---|---|---|---|
| (m2/s) | Maximum Difference % | (W·m/°C) | Maximum Difference % | |
| Mg-Zn-Si-Ca casting alloy | 1.98 × 10−7 | 0.72 | 0.54 | 1.02 |
| Thermocouple No. | Designed Position (mm) | Actual Position (mm) |
|---|---|---|
| 1 | 0 | 0 |
| 2 | 10 | 10.25 |
| 3 | 18 | 17.93 |
| 4 | 20 | 22.9 |
| 5 | 22 | 23.3 |
| Temperature °C | Ref. Number | Av. k_Ref. W/m °C | k_Est. W/m °C | Difference % |
|---|---|---|---|---|
| 69 | [32,33] | 58.64 | 63.22 | +7.8 |
| 102 | [33] | 58.62 | 53.43 | −8.9 |
| 103 | [31] | 61.55 | 53.18 | −13.6 |
| 111 | [32] | 54.73 | 51.46 | −5.9 |
| Temperature °C | Ref. Number | Av. α_Ref. m2/s | α_Est. m2/s | Difference % |
|---|---|---|---|---|
| 69 | [32,33] | 3.45 × 10−5 | 3.33 × 10−5 | −3.5 |
| 102 | [33] | 3.41 × 10−5 | 3.48 × 10−5 | +2.1 |
| 103 | [31] | 3.58 × 10−5 | 3.494 × 10−5 | −2.4 |
| 111 | [32] | 3.17 × 10−5 | 3.49 × 10−5 | +10.1 |
| Temperature °C | Ref. Number | Av. k_Ref. W/m °C | k_Est. W/m °C | Difference % |
|---|---|---|---|---|
| 270 | [32,36] | 31.8 | 40.03 | +25.8 |
| 280 | [36] | 29.7 | 37.58 | +26.6 |
| 290 | [36] | 30.1 | 33.33 | +10.7 |
| 290.7 | [32] | 31.56 | 32.89 | +7.6 |
| 300 | [31] | 30.16 | 31.06 | +2.9 |
| 301.5 | [36] | 30.3 | 30.53 | +0.8 |
| Temperature °C | Ref. Number | Av. α_Ref. m2/s | α_Est. m2/s | Difference % |
|---|---|---|---|---|
| 270 | [32,36] | 1.85 × 10−5 | 1.76 × 10−5 | −4.9 |
| 280 | [36] | 1.75 × 10−5 | 2.34 × 10−5 | +33.7 |
| 290 | [36] | 1.78 × 10−5 | 2.38 × 10−5 | +33.7 |
| 290.7 | [32] | 1.83 × 10−5 | 2.35 × 10−5 | +28.4 |
| 300 | [31] | 1.76 × 10−5 | 2.09 × 10−5 | +18.7 |
| 301.5 | [36] | 1.8 × 10−5 | 2.03 × 10−5 | +12.7 |
| Temperature °C | Thermal Conductivity W/m °C | Density kg/m3 | Specific Heat J/kg °C | Dynamic Viscosity kg/m s |
|---|---|---|---|---|
| 249 | 29.60 | 6978 | 245 | 1.86386 × 10−3 |
| 269 | 29.60 | 6967 | 244 | 1.78720 × 10−3 |
| 284 | 29.72 | 6955 | 243 | 1.73793 × 10−3 |
| 300 | 29.85 | 6943 | 242 | 1.68678 × 10−3 |
| 319 | 30.34 | 6932 | 241 | 1.62442 × 10−3 |
| 349 | 31.21 | 6916 | 239 | 1.53448 × 10−3 |
Disclaimer/Publisher’s Note: The statements, opinions and data contained in all publications are solely those of the individual author(s) and contributor(s) and not of MDPI and/or the editor(s). MDPI and/or the editor(s) disclaim responsibility for any injury to people or property resulting from any ideas, methods, instructions or products referred to in the content. |
© 2025 by the authors. Licensee MDPI, Basel, Switzerland. This article is an open access article distributed under the terms and conditions of the Creative Commons Attribution (CC BY) license (https://creativecommons.org/licenses/by/4.0/).
Share and Cite
Basily, R.; Teamah, A.M.; Hamed, M.S.; Shankar, S. Estimation of Thermophysical Properties as Functions of Temperature in Rapid Radial Solidification of Metallic Alloys. Processes 2025, 13, 3939. https://doi.org/10.3390/pr13123939
Basily R, Teamah AM, Hamed MS, Shankar S. Estimation of Thermophysical Properties as Functions of Temperature in Rapid Radial Solidification of Metallic Alloys. Processes. 2025; 13(12):3939. https://doi.org/10.3390/pr13123939
Chicago/Turabian StyleBasily, Remon, Ahmed M. Teamah, Mohamed S. Hamed, and Sumanth Shankar. 2025. "Estimation of Thermophysical Properties as Functions of Temperature in Rapid Radial Solidification of Metallic Alloys" Processes 13, no. 12: 3939. https://doi.org/10.3390/pr13123939
APA StyleBasily, R., Teamah, A. M., Hamed, M. S., & Shankar, S. (2025). Estimation of Thermophysical Properties as Functions of Temperature in Rapid Radial Solidification of Metallic Alloys. Processes, 13(12), 3939. https://doi.org/10.3390/pr13123939

