Next Article in Journal
A Comprehensive Review of Research on Pulsating Beds
Previous Article in Journal
Catalytic Degradation of Polystyrene at Low Temperature over a Mo–W–Fe–Ni Carbide–Alloy Catalyst
Previous Article in Special Issue
Characterization of Key Odorants in Hemp Seed Oil Extracted from the Hemp Seeds Roasted Under Various Conditions
 
 
Font Type:
Arial Georgia Verdana
Font Size:
Aa Aa Aa
Line Spacing:
Column Width:
Background:
Article

Accelerated Solvent Extraction, Chemical Modification, and Free-Radical Polymerization of Canola (Brassica napus), Carinata (Brassica carinata), and Crambe (Crambe abyssinica) Oils

by
Laura Ciciliano
1,
Gabriel Ferreira da Silva Brito
1,
Letícia Karen dos Santos
2,
Simone Palma Favaro
2 and
Fabricio Machado
1,*
1
Institute of Chemistry, University of Brasília, Campus Universitário Darcy Ribeiro, Brasília 70910-900, DF, Brazil
2
Embrapa Agroenergy, Parque Estação Biológica, PqEB s/n, W3 Norte, Brasília 70770-901, DF, Brazil
*
Author to whom correspondence should be addressed.
Processes 2025, 13(12), 3901; https://doi.org/10.3390/pr13123901
Submission received: 3 November 2025 / Revised: 25 November 2025 / Accepted: 1 December 2025 / Published: 2 December 2025
(This article belongs to the Special Issue Advanced Technologies for Vegetable Oil Extraction)

Abstract

This study compares the chemical modification and polymerization behavior of canola, carinata, and crambe oils to evaluate their suitability as renewable building blocks for polymer synthesis. The vegetable oils were characterized in terms of fatty-acid composition and oxidative stability, and the data showed distinct profiles: canola with 0% erucic acid, carinata around 42.08%, and crambe reaching 56.25%, differences that end up influencing how each one responds during the modification steps. Epoxidation and acrylation were confirmed by 1H NMR, 13C NMR, and FTIR-ATR, mainly through the disappearance of the olefinic peaks and the appearance of oxirane- and acrylate-related signals (some of them quite clear, others less pronounced). After acrylation, the oils were subjected to solution polymerization, forming bulk crosslinked materials, whose properties reflected their original fatty-acid profiles: the canola-based polymer reached the highest glass transition temperature (Tg), 47.73 °C, followed by the carinata-based polymer (Tg = 41.86 °C), while the crambe-derived polymer, with lower functionality due to its high erucic acid content, showed a much lower Tg of 20.26 °C. Altogether, these differences highlight how variations in fatty-acid composition subtly shape the efficiency of functionalization and the architecture of the resulting networks. The polymers obtained here point to potential uses in renewable coatings, thermoset resins, and other applications that depend on bio-based crosslinked materials.

1. Introduction

Brazilian agribusiness has increasingly shown interest in the development of new crops, due to the agricultural aptitude of the country for the expansion of the cultivation of native and exotic species, to meet diverse market demands [1]. Oilseed species of the Brassicaceae family, canola (Brassica napus), carinata (Brassica carinata), and crambe (Crambe abyssinica), although they have their own characteristics, share a high oil content and growing interest in the domestic agricultural scenario, mainly as a second-season crop. Moreover, their oils and co-products have the potential for various commercial applications [2].
The polymerization of vegetable oils is known to be a more sustainable alternative to those derived from petrochemical sources [3]. The study and characterization of polymers produced from vegetable oils enable the development of technologies capable of improving their performance according to the final application [3]. Thus, the different fatty acid profiles of the above-mentioned oilseeds are remarkable assets to several industrial applications because bio-based polymers obtained from them will result in distinct products that are able to achieve diversified demands.
With the advent of World War II, there was an increased demand for lubricants for steam-powered warships and merchant ships. This factor was fundamental to the expansion of rapeseed cultivation in Canada [4]. In this period of expansion of rapeseed, several varieties were developed for specific purposes. Varieties were developed from different species such as Brassica napus, B. rapa, B. oleracea, B. juncea, and B. carinata [5,6].
Among the varieties developed, there was great interest in the cultivars that had a low percentage of erucic acid and glucosinolates. Canola (Brassica napus L. var. oleifera) cultivated in Brazil and other regions of the world is the result of the hybridization of two rapeseed variants to B. oleraceae and B. juncea [6].
The variant known as B. Carinata, or Ethiopian mustard, arose from the hybridization of the variants B. oleracea and B. nigra. Carinata oil is predominantly rich in erucic acid, which makes this oil a desirable industrial feedstock for producing biobased materials. Other characteristics, such as low demand for water and good adaptability in relation to different climates, make its cultivation attractive. The oil extracted from carinata is not of interest to the food industry; however, in the southeastern United States, carinata has been used primarily as a winter crop alternative for biofuel production [7].
Crambe (Crambe abyssinica) is an unconventional oilseed that also belongs to the Brassicaceae family. The oil extracted from crambe contains approximately 50 to 65% of erucic acid, so it is not recommended for human consumption [8]. Due to its composition, this kind of oil is suitable for the plastics, lubricants, and biodiesel industries.
From its oil, erucamide is also obtained, a substance resulting from the condensation of the carboxylic acid group of erucic acid with ammonia, which is used in the preparation of cosmetics and in several industrial segments as a sliding additive [9].
Accelerated solvent extraction (ASE) is a versatile process that combines high pressure and high temperature, using organic or aqueous solvents to achieve exhaustive and highly efficient extraction. The elevated temperature decreases the viscosity of the analyte, allowing better interaction with the solvent. Meanwhile, the high pressure allows the organic solvent used to remain in its liquid form even at temperatures above its boiling point [10]. Both parameters provide other characteristics that enhance the interaction of the solvent with the matrix, resulting in a method that, when compared to the classic Soxhlet method, has some advantages, such as the shorter extraction time, lower solvent consumption, and less waste generated [11].
Polymers obtained from vegetable oils are of increasing interest because they may have similar characteristics to polymers of petrochemical origin and can become a sustainable alternative to replace them [12]. In order to enhance the applicability of vegetable oils in the field of polymerization, their reactivity can be increased, leading to more effective consumption during polymerization. The introduction of new reactive functional groups to the molecule, endowing the resulting molecule with additional functionality that favors its polymerization via the free-radical route, can be regarded as an efficient approach. In this way, fatty acids that have unsaturation in their chains become more apt to form building blocks well-suited for undergoing polymerization [13].
Considering the agronomic relevance, distinct fatty acid profiles, and growing industrial interest in canola, carinata, and crambe oils, particularly due to their high erucic acid content and non-food applications, this study explores their potential as renewable feedstocks for polymer synthesis. After extraction and physicochemical characterization, the oils underwent targeted chemical modification through epoxidation, followed by acrylation, aiming to introduce acrylic acid moieties and enhance their reactivity for free-radical polymerization. The modified oils were then subjected to solution polymerization, and the resulting polymers were thoroughly characterized to assess their viability as sustainable alternatives to petrochemical-based materials. This study compares the chemical characteristics of canola, carinata, and crambe oils to evaluate their suitability as renewable raw materials for the development of bio-based polymeric materials.

2. Materials and Methods

The canola and carinata grains were provided by the Advanta company, and the crambe grains were provided by Cooperativa Agrícola do Rio Preto—COARP, Planaltina/DF, Brazil.

2.1. Oil Extraction

The oils were extracted using the same procedure for the three species: canola, carinata, and crambe. Initially, the grains were ground (IKA A11—IKA Brasil, Campinas, São Paulo, Brazil) and classified on a sieve (850 μm aperture, 20 mesh, stainless steel), and then taken to an oven at 60 °C for 24 h to reduce the moisture present in the grains.
The oils were extracted using an accelerated solvent extractor (ASE) (Thermo Scientific Dionex ASE350 — Thermo Fisher Scientific Inc., Waltham, MA, USA). The extractor cells were prepared with a cellulose filter at their base and filled with previously ground and dried grains up to the recommended height. The organic solvent used was hexane. The equipment parameters were set to the following configuration: 70 °C, heating for 15 min, 5 cycles, rinsing with 100% volume, and a 30 s purge. The resulting mixture of oil/solvent went through an evaporation process in a water bath at 45 °C to separate the hexane. The extracted oil was then weighed and stored at −4 °C until characterization, chemical modification, and polymerization.
The oil content of the grain samples was determined using Ankom XT15 equipment (ANKOM Technology, Macedon, NY, USA) [14]. The ground sample was previously weighed and sealed in chemically inert filter bags. Extraction took place by direct contact of the solvent (petroleum ether) with the sample under pressure and at high temperature for 2 h. This extraction is considered exhaustive and therefore provides the parameters for calculating the oil content as shown in Equation (1):
Oil   content   ( % )   =   ( SM dry   +   FB )     ( SM delipidated   +   FB )   SM wet · 100
where SM dry corresponds to the dry sample mass, SM delipidated is the delipidated sample mass, SM wet stands for the initial wet sample mass, and FB is the filter bag.
To calculate the mass balance of process yields, the extraction efficiency of the oil obtained from the ASE was also calculated. This calculation considers the total content given by Ankom and the quantity obtained in the ASE, as shown in Equation (2):
Extraction   efficiency   ( % ) =   Mass   of   extracted   oil pre   extraction   sample   mass · oil   content · 100

2.2. Characterization of the Vegetable Oils

The oils extracted from the grains were characterized using compositional and spectroscopic analyses, including oxidative stability, fatty acid profiling, Nuclear Magnetic Resonance (NMR), and Fourier Transform Infrared (FTIR) spectroscopy.

2.2.1. Oxidative Stability

The oxidative stability analyses of the oil samples were performed in accordance with ISO 6886:2016 using the Metrohm oxidation stability analyzer model Rancimat 873, which measured the induction period (IP) of 3 g of oil sample heated to 110 ± 0.1 °C at an air flow of 20 L·h−1 [15]. The induction period was determined by obtaining the time-conductivity curve and projecting the intersection on the time axis. The induction period was expressed in hours (h).

2.2.2. Fatty Acid Compositional Profile

The analysis of the fatty acid compositional profile of canola, carinata, and crambe oils was performed by using extraction and methylation directly in the whole grain sample; therefore, the extracted oil was not used. For direct determination in the matrix, the grains were homogenized (IKA A11—IKA Brasil, Campinas, São Paulo, Brazil) and dried at 105 ± 3 °C for 1 h, and 50 mg of the sample proceeded to the oil extraction step with hexane at 90 °C for 90 min. After the oil extraction, the experimental protocol followed the method according to ISO 12966-2:2017 [16]. The separation and identification of the fatty acid esters were performed in a gas chromatograph, coupled to a flame ionization detector (DIC) (Shimadzu, GC2010—Shimadzu do Brasil Comércio Ltda., Barueri, São Paulo, Brazil) using the SLB-IL111 column (100 m × 0.25 mm, 0.2 µm Supelco, Bellefonte, PA, USA).

2.3. Polymerization

Before starting the polymerization, it was necessary to modify the vegetable oils by modifications in their fatty acid chains. Therefore, as they all have a high fraction of unsaturated fatty acids in their composition, the oils first underwent an epoxidation, with the intention of forming the epoxide ring. Then the acrylation process took place, which consists of using acrylic acid to promote the ring opening of the epoxidized fatty acid, leading to the formation of acrylate fatty acids that are promptly polymerizable through the free-radical polymerization process.
The epoxidation and acrylation procedures were performed in the same way for the three evaluated oils under study, adapted from the procedures and proportions used by Neto et al. [17] and described below. For the proper characterization and monitoring of the processes, 13C NMR and FTIR-ATR analyses were performed using the same conditions as the analyses performed in the characterization of the oils.

2.3.1. Epoxidation

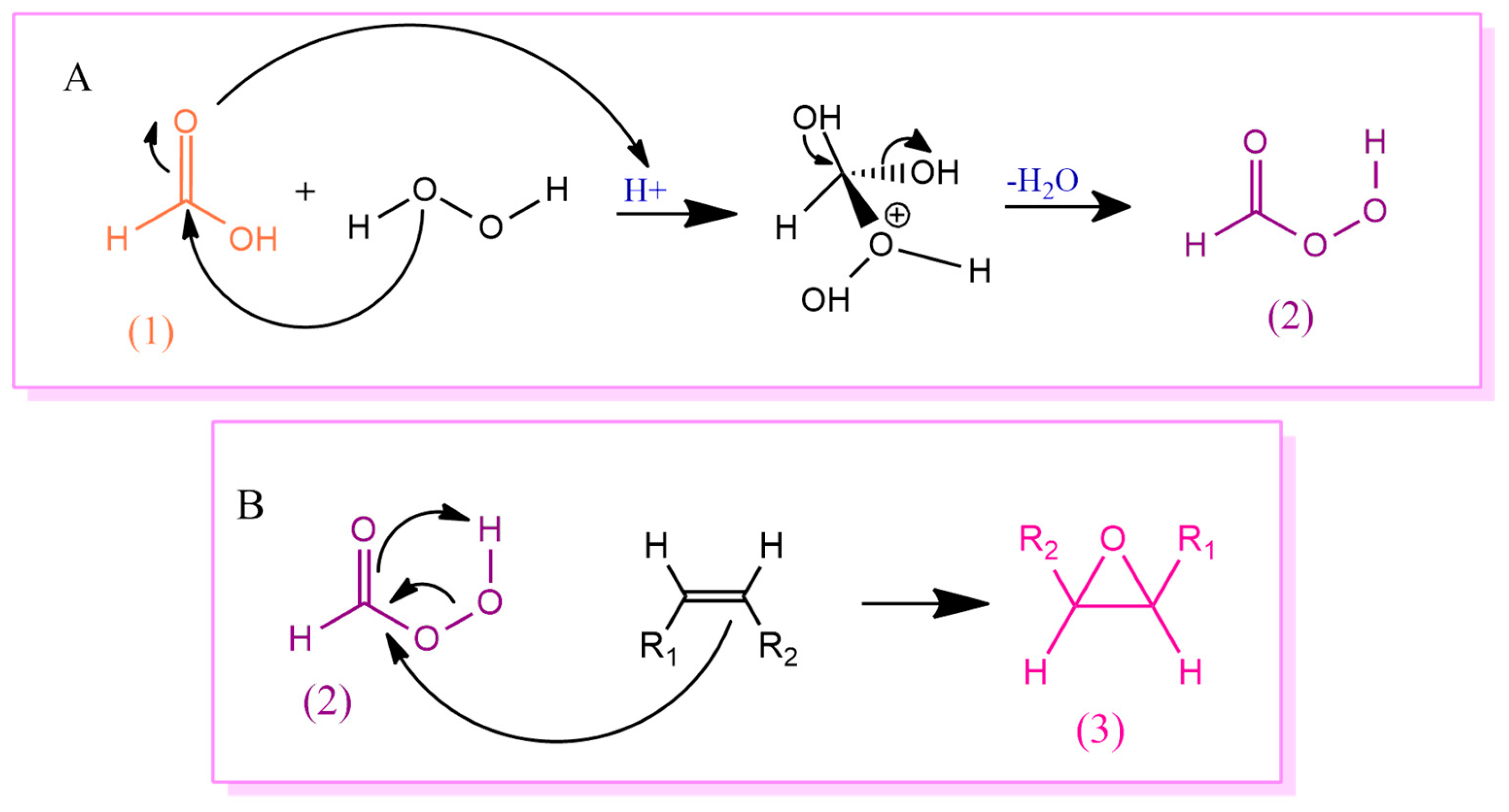
Starting with the epoxidation step, 20 g of each oil was weighed and added to 180 mL of toluene in a three-mouthed flask. Next, 11.86 g of formic acid was added, and the system was kept under reflux and stirred at 1200 rpm. An amount of 50 mL of hydrogen peroxide (35%) was added slowly over 50 min. The mixture was then left under vigorous stirring and reflux for 24 h. Washing was then carried out to separate the organic phase using a separating funnel. After that, 150 mL of a saturated sodium bicarbonate solution was added, divided into three intervals, followed by 150 mL of deionized water, also in three intervals.
Magnesium sulfate was added to the already separated organic phase, and the solution was left to stand for 12 h. Finally, the solution was filtered and roto-evaporated to remove the toluene present (Solution 1). Figure 1 shows the mechanism of epoxide formation from the unsaturation of the fatty acid. As vegetable oils are composed of a few fatty acids, it is understood that the epoxidation reaction occurs in both monounsaturated and polyunsaturated fatty acids, despite the different composition in the studied oils. However, it is known that in the composition of canola oil, oleic acid is the majority, while in carinata and crambe oils, erucic acid is predominant.

2.3.2. Acrylation

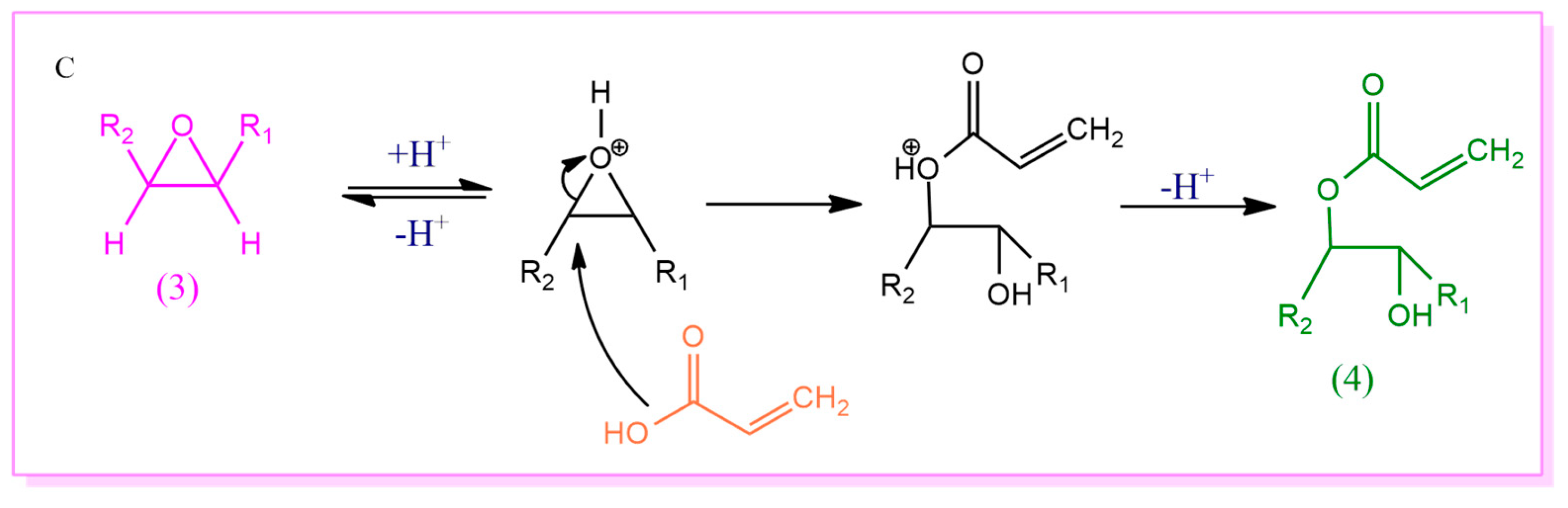
The acrylation mechanism of the epoxidized fatty acid is illustrated in Figure 2. The acrylation step began with Solution 1 under stirring, in which acrylic acid was added in a ratio of 2:1 (acrylic acid: epoxidized product) and approximately 400 ppm of hydroquinone. The solution was then allowed to stir at 100 °C for 6 h. Then, the organic phase was separated with the aid of the separation funnel, adding 300 mL of diethyl ether in three intervals and 150 mL of a saturated sodium bicarbonate solution, also in three intervals. In the separated organic phase, magnesium sulfate was added and allowed to stand for 12 h before starting filtration. It was then evaporated for the removal of the diethyl ether. With the obtained product, it was possible to start polymerization.

2.3.3. Solution Polymerization

The polymerizations were carried out in a 50 mL round-bottom flask with 50% monomer using toluene as solvent and 1% benzoyl peroxide as initiator in relation to the monomer. The solution was purged with nitrogen gas under magnetic stirring and heated at 85 °C in an oil bath for 4 h. The temperature and reaction time were selected based on preliminary trials showing that these conditions afforded complete formation of a fully crosslinked bulk material with no remaining liquid phase. After the reaction period, 2 drops of a 3 g/L hydroquinone solution were added, and the resulting material was dried at 60 °C in an oven for 24 h. For the proper characterization and monitoring of the processes, 13C NMR and FTIR-ATR analyses were performed using the same conditions as the analyses performed in the characterization of the oils.

2.4. Characterization Techniques

2.4.1. Thermogravimetric Analysis (TG)

Thermogravimetric analysis (TG) seeks to monitor the mass variation in the analyte as a function of temperature. The analysis was performed using a Shimadzu DTG-60H with about 10 mg of sample in a platinum crucible, with a heating rate of 10 °C·min−1 and under a nitrogen atmosphere with a flow rate of 30 mL·min−1.

2.4.2. Differential Scanning Calorimetry (DSC)

The behavior of the products obtained at the end of the polymerizations was studied by differential scanning calorimetry (DSC). DSC curves were determined using a Shimadzu DSC-60 instrument, with approximately 7–8 mg of sample, in a temperature range of −80 °C to 200 °C. The heating/cooling rate was 10 °C per minute under a helium atmosphere with a flow rate of 30 mL·min−1, in which the glass transition temperature was obtained in the second heating ramp.

2.4.3. Nuclear Magnetic Resonance (NMR)

Nuclear Magnetic Resonance (NMR) 600 MHz of 1H and 13C was performed on crude oil samples and during the modification steps to monitor the results. It was used as a solvent, deuterated chloroform (CDCL3). The spectra were obtained using a Bruker Ascend 600 (14 T) spectrometer equipped with a 5 mm probe operating at 600 MHz.

2.4.4. Fourier Transform Infrared (FTIR) Spectroscopy

Fourier Transform Infrared (FTIR) spectroscopy was performed using the equipment Alpha II (Bruker Optik GmbH, Ettlingen, Baden-Württemberg, Germany), equipped with an attenuated total reflectance accessory [18]. The spectra were acquired with a resolution of 4 cm−1, using 32 scans for the samples and 32 scans. The attenuated total reflectance (ATR) mode was selected to enable direct analysis of the oils and intermediates without additional sample preparation.

3. Results and Discussion

3.1. Characterization of the Oils

Canola, carinata, and crambe oils were extracted in batches. The physical aspects related to canola, carinata, and crambe plants, as well as their seeds and the extracted oils, can be observed in Figures S1–S3, respectively. For all three oils, a mass balance was made to determine the percentage yield of the extraction, as can be seen in Table 1. The percentage oil content is shown in Table 1, and the data obtained are in accordance with those found in the literature [2,7,8,19].

3.1.1. Oxidative Stability of the Vegetable Oils

The oils from the species in this study have a high percentage of unsaturated substances in their composition, which favors the oxidation of the oils and consequently affects their quality and the quality of their by-products [20,21]. Thus, the oxidative stability of the oils extracted from canola, carinata, and crambe was assessed, with the value expressed in hours, which represents the oxidation time until the oil begins to be considered rancid or begins to show characteristics such as darkening, increased viscosity, foam formation, and smoke [20]. The data obtained is shown in Table 1.
All oils analyzed have a high percentage of unsaturated fatty acids in their composition (Table 2). From the data obtained, it was possible to observe that the oxidative stability of crambe oil stands out in relation to the other oils under study, managing to stay up to 25.46 h under constant heating without its compounds starting to oxidize.
The increased oxidative stability of crambe oil can be attributed to its high erucic acid content and to the presence of natural antioxidants such as γ-tocopherol and β-sitosterol, which reduce the susceptibility to lipid peroxidation [22].

3.1.2. Fatty Acids Profile

The results obtained in the chromatograms (Figures S4–S6) were expressed in relative percentage of fatty acids in the sample, and the data are organized in Table 2. The values obtained are in accordance with the range of values found in the literature [7,23].

3.2. Chemical Structural Modification

The infrared analysis (FTIR) was performed between the modification steps and the initial oil, so it was possible to compare and confirm the epoxidation and acrylation of the oil. Figure 3 shows the spectrum corresponding to canola oil, the spectrum corresponding to oil after epoxidation, and the spectrum after the acrylation step.
A vegetable oil is composed mostly of esters derived from glycerol; these have several types of fatty acids in their composition, which is a characteristic of each plant species. Therefore, the spectrum obtained by FTIR analyses is a portrait of the different compositions and is not just a single molecule.
When analyzing the spectrum referring to canola oil, it is possible to identify the presence of the characteristic bands of carboxylic acid in the regions of 1739.49 cm−1, related to the stretches ν(–C=O). The region where it was expected to point out the peak, referring to the C=C bond, does not present itself in a pronounced manner.
Epoxidation can be identified in the spectrum by the presence of the absorption range that occurs at 880–805 cm−1, referring to the -C-O-C bond, and it is possible to identify its presence at 844.68 cm−1, confirming that there was the formation of the oxiranic ring.
Acrylation can be confirmed by comparing the FTIR spectrum for the epoxidized oil with the FTIR spectrum for the acrylated oil, where the presence of the vinyl –C=C bond refers to the acrylate group at 1635 cm−1, 1731.44 cm−1, corresponding to the carbonyl stretching signal (–C=O). In addition, the band at 844.68 cm−1 is no longer identified in the spectrum [17].
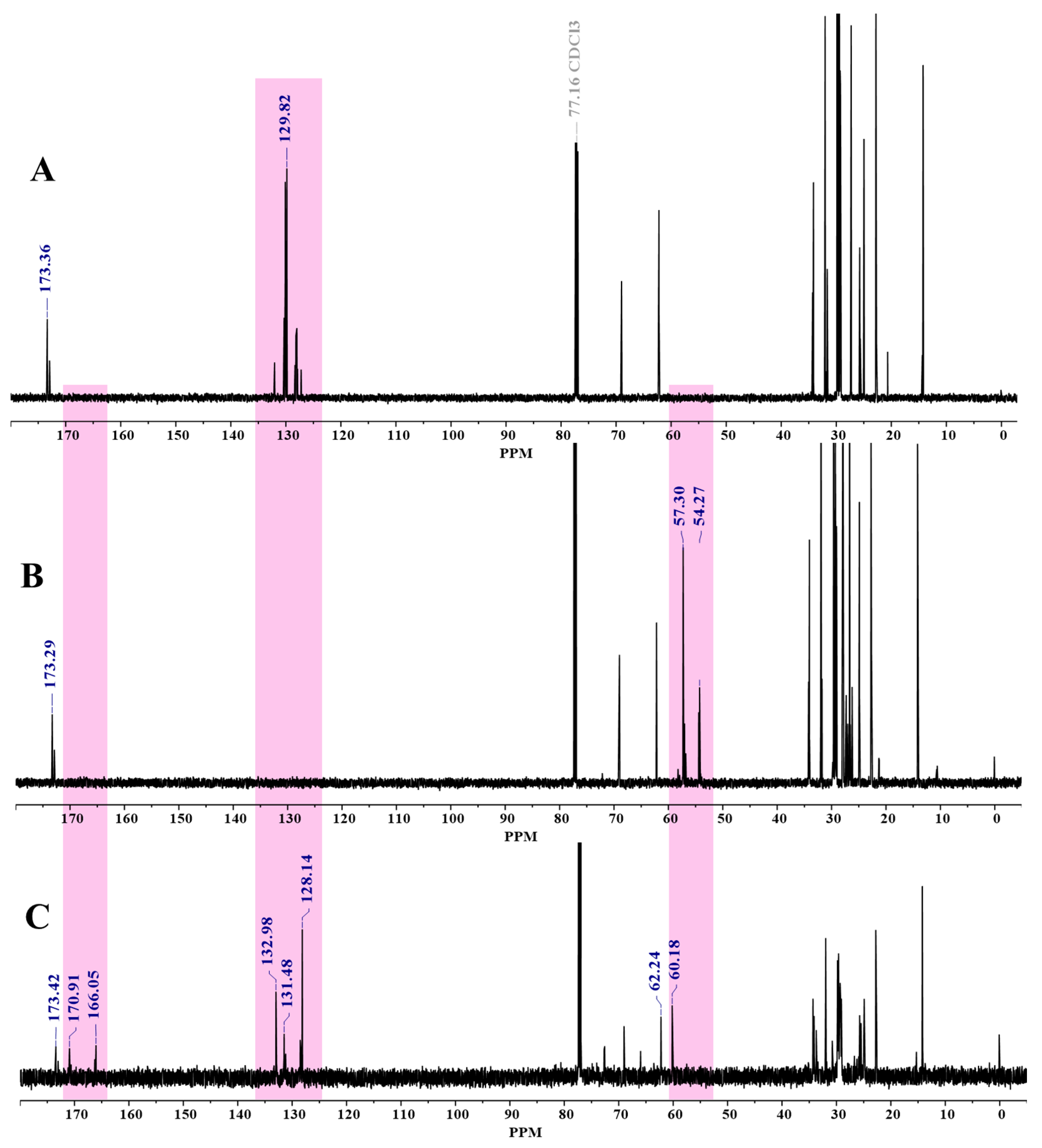
The 13C NMR analysis (Figure 4) was performed to confirm the formation of the epoxide. Thus, it is possible to identify the signals that indicate the –C=C bond in a spectrum referring to the double bonds of the fatty acid chains of canola oil in the region of 130 ppm. These same signals are no longer seen after epoxidation in Figure 4B. Confirming that the double bonds between the carbons have been broken. In addition, signs in the region of 50 to 80 ppm concerning the formation of the epoxide (C–O bond) appeared. Signals between 170 and 180 ppm refer to carboxylic acid.
The 13C NMR was also carried out to confirm the acrylation process, as can be seen in Figure 4C. It was possible to observe that the signals referring to the double bond (–C=C) of acrylic acid are present in the 130 ppm region, which were not present in the 13C NMR spectrum of the epoxidized oil. Signals relating to carboxylic acid are also present in the 170 to 180 ppm range [24]. The modifications carried out on carinata and crambe oils were confirmed (Figures S7–S12), and the polymerization step was subsequently performed.

3.3. Polymers

The polymerization under these conditions led to the formation of bulk crosslinked polymers, with no visible residual liquid phase. The polymer formed from acrylated canola oil had a slightly translucent appearance, yet with a faint yellowish hue, as shown in Figure S13. From the thermogravimetric analysis (Figure S14), it was possible to observe that the material begins to suffer constant mass losses from 213 °C, becoming more intense from 300 °C, and with greater mass loss at 333.94 °C. The DSC (Figure S15) corresponds to the second heating ramp. From the analysis, it was possible to determine the glass transition temperature of the product at 47.73 °C (midpoint).
It was possible to perform the FTIR of the sample, as can be seen in Figure 5. The carbonyl stretch can be observed by the signal at 1731.79 cm−1. It is still possible to observe the presence of the signal referring to the -CH2 bending vibration at 1459.24 cm−1. In addition to the group -C–O stretch at 1164.80 cm−1. The presence of bands in the region of 1000–1300 cm−1 is related to the ester group. Another point worth mentioning is the marked reduction in the vinyl C=C absorption around 1635 cm−1 [17]. This band is characteristic of the acrylate groups before the polymerization, and its disappearance after the reaction indicates that the double bonds were consumed, which is a strong indication that polymerization did occur. Thus, it is possible to define the polymer produced from the acrylated canola oil monomer as a polyester, since in its spectrum were identified signals referring to the bond C=O and C–O.
From the carinata polymer (Figure S16), thermogravimetric analysis (Figure S17), it was possible to understand the degradation of the polymer compound formed. The Derivative Thermogravimetric Analysis (DTG) curve allows events to be distinguished more clearly, so it was used to identify mass loss events more precisely. The first mass loss event occurred in the 150 to 200 °C range and was related to the degradation of the compound’s smaller chains. The second and main mass loss event occurs between 300 and 500 °C. The DSC (Figure S18) corresponds to the second heating curve. From the analysis, it was possible to determine the glass transition temperature of the product at 41.86 °C.
The FTIR analysis of the carinata polymer (Figure S19) shows that the stretching of the carbonyl can be observed by the signal at 1729.85 cm−1. It is also possible to observe the presence of the -CH2 bond bending signal at 1458.16 cm−1. As well as the C–O stretching band at 1162.88 cm−1. The marked reduction in the vinyl C=C absorption around 1635 cm−1 indicates that the double bonds were consumed, which is a strong indication that polymerization did occur [17]. The presence of bands in the 1000–1300 cm−1 region is related to the ester group. It is therefore possible to define the polymer produced from the carinata oil monomer as a polyester, since signals relating to the C=O and C–O bonds were identified in its spectrum.
For the crambe polymer (Figure S20), TG, DSC, and FTIR analyses were carried out on the polymeric material formed (Figures S21–S23). From the thermogravimetric analysis, it was possible to observe that the material begins to suffer constant mass losses from 250 °C onwards, becoming more intense from 350 °C onwards. The mass loss becomes more intense at 410.47 °C. The glass transition temperature of the product determined by DSC was 20.26 °C.
Finally, the FTIR analysis of the crambe polymer formed indicates the presence of the stretching of the carbonyl can be observed by the signal at 1737.84 cm−1. It is also possible to observe the presence of a signal related to the bending of the -CH2 bond at 1460.36 cm−1. As well as the stretching of the –C–O group at 1162.88 cm−1. The presence of bands in the 1000–1300 cm−1 region is related to the ester group. The marked reduction in the vinyl C=C absorption around 1635 cm−1 indicates that the double bonds were consumed, which is a strong indication that polymerization did occur [17]. It is therefore possible to define the polymer produced from the crambe oil monomer as a polyester, since signals relating to the C=O and C–O bonds were identified in its spectrum.
In general, the behavior observed for the polymers obtained follows what has been reported for materials derived from chemically modified vegetable oils, such as those prepared from acrylated epoxidized soybean oil. Studies have shown that oils with higher unsaturation and a greater incorporation of acrylate or epoxy groups tend to form more tightly crosslinked networks, which usually results in higher glass transition temperatures, although the exact magnitude of the effect may shift slightly depending on the monomer structure and the polymerization conditions used in each case [25]. Similar relationships between functional group content, network rigidity, and Tg were also noted in more recent work involving modified soybean oil acrylates for additive manufacturing [26]. These patterns align well with our findings, since canola and carinata oils, both richer in polyunsaturated fatty acids, produced polymers with comparatively higher Tg values, while the polymer derived from crambe oil, dominated by long-chain monounsaturated erucic acid, showed a much lower Tg, consistent with the formation of a less densely connected network.
It is important to highlight that the present study did not include purification steps or quantitative determination of residual monomer after polymerization, which inherently limits the extent to which conversion and network formation can be assessed with full rigor. Although the formation of fully crosslinked bulk materials with no remaining liquid phase suggests high monomer conversion under the selected conditions, complementary analyses such as solvent extraction tests or quantitative residual monomer measurements would allow a more precise evaluation of the extent of reaction and network integrity. Likewise, the acrylic acid-to-epoxide ratio (2:1) employed during the acrylation step was selected based on conditions commonly reported in the literature but was not systematically optimized within this study. Since acrylation efficiency was evaluated qualitatively rather than quantitatively, the influence of different acrylic acid ratios on the degree of functionalization and, consequently, on the thermal, mechanical, and structural properties of the resulting polymers remains an open question. For these reasons, future work should incorporate systematic optimization of the acrylation conditions, including variation in the acrylic acid excess, alongside quantitative analyses of functional group incorporation and monomer conversion, to better elucidate structure-property relationships in these bio-based polymer networks.

4. Conclusions

The growing demand for sustainable materials with a lower environmental impact has fueled the development of alternatives to the petrochemical industry. In this context, vegetable oils have emerged as a promising renewable feedstock, primarily due to their broad availability, low cost, high biodegradability, and remarkable chemical versatility.
Through this study, it was possible to characterize and describe the composition of oils extracted from canola, carinata, and crambe. The chemical modifications applied to these oils, specifically the epoxidation and acrylation reactions, were successfully performed and confirmed through analytical techniques.
Based on the experimental data obtained in this work, these vegetable oils demonstrate remarkable potential for applications in the biopolymer industry. The monomers derived from canola, carinata, and crambe oils formed bulk crosslinked bio-based polymers under the selected conditions.

Supplementary Materials

The following supporting information can be downloaded at: https://www.mdpi.com/article/10.3390/pr13123901/s1, Figure S1: plant aspects (a) of grains (b) and canola crude oil (c). Figure S2: Aspects of the plant (a), the grains (b), and the crude oil of carinata (c). Figure S3: Aspects of plant (a), grain (b) and crude oil of crambe (c); Figure S4: Chromatogram of the fatty acid profile of canola oil; Figure S5: Chromatogram of the fatty acid profile of carinata oil; Figure S6: Chromatogram of the fatty acid profile of crambe oil; Figure S7: FTIR-ATR spectra (blue) carinata oil; (red) epoxidized carinata oil, (black) acrylated carinata oil; Figure S8: 13C NMR (a) carinata oil (b) carinata oil after epoxidation; Figure S9: 13C NMR of carinata oil after acrylation; Figure S10: FTIR-ATR spectra (blue) crambe oil; (red) epoxidized crambe oil, (black) acrylated crambe oil; Figure S11: 13C NMR (A) crambe oil (B) crambe oil after epoxidation; Figure S12: 13C NMR (c) crambe oil after acrylation; Figure S13: Product of solution polymerization from the monomer of canola oil; Figure S14: TG of the solution polymerization product of canola oil monomer; Figure S15: DSC of the solution polymerization product of canola oil monomer; Figure S16: Product of solution polymerization of carinata oil monomer; Figure S17: TG of the solution polymerization product of carinata oil monomer; Figure S18: DSC of the solution polymerization product of carinata oil monomer; Figure S19: FTIR-ATR spectra (red) acrylated carinata monomer, (black) carinata polymer; Figure S20: Solution polymerization product from the crambe oil monomer; Figure S21: TG of the solution polymerization product of crambe oil monomer; Figure S22: DSC of the solution polymerization product of crambe oil monomer; Figure S23: FTIR-ATR spectra (red) acrylated crambe monomer, (black) crambe polymer.

Author Contributions

Conceptualization, F.M. and S.P.F.; methodology and validation, L.C., G.F.d.S.B., L.K.d.S., S.P.F. and F.M.; formal analysis and investigation, L.C., G.F.d.S.B. and L.K.d.S.; resources, F.M. and S.P.F.; writing—original draft preparation, and writing—review and editing, L.C., G.F.d.S.B., L.K.d.S., S.P.F. and F.M.; supervision, funding acquisition, and project administration, F.M. and S.P.F. All authors have read and agreed to the published version of the manuscript.

Funding

This work was partially supported by Conselho Nacional de Desenvolvimento Científico e Tecnológico (CNPq)—Process 310829/2021-6, Coordenação de Aperfeiçoamento de Pessoal de Nível Superior (CAPES)—Finance Code 001. The authors thank Fundação de Apoio à Pesquisa do Distrito Federal (FAPDF) for providing research support.

Data Availability Statement

The original contributions presented in this study are included in the article/Supplementary Materials. Further inquiries can be directed to the corresponding author.

Conflicts of Interest

The authors declare no conflicts of interest.

References

  1. Pereira, P.A.A.; Martha, G.B.; Santana, C.A.M.; Alves, E. The development of Brazilian agriculture: Future technological challenges and opportunities. Agric. Food Secur. 2012, 1, 4. [Google Scholar] [CrossRef]
  2. Zanetti, F.; Vamerali, T.; Mosca, G. Yield and oil variability in modern varieties of high-erucic winter oilseed rape (Brassica napus L. var. oleifera) and Ethiopian mustard (Brassica carinata A. Braun) under reduced agricultural inputs. Ind. Crops Prod. 2009, 30, 265–270. [Google Scholar] [CrossRef]
  3. Islam, M.R.; Beg, M.D.H.; Jamari, S.S. Development of vegetable-oil-based polymers. J. Appl. Polym. Sci. 2014, 131, 40787. [Google Scholar] [CrossRef]
  4. Bell, J.M. From Rapeseed to Canola: A Brief History of Research for Superior Meal and Edible Oil1. Poult. Sci. 1982, 61, 613–622. [Google Scholar] [CrossRef]
  5. Carlsson, A.; Clayton, D.; Salentijn, E.; Toonen, M.; Stymne, S.; Dyer, W.; Bowles, D. Oil Crop Platforms for Industrial Uses. Outputs from the EPOBIO Projects; Antony Rowe Ltd.: Chippenham, UK, 2007.
  6. Xue, J.-Y.; Wang, Y.; Chen, M.; Dong, S.; Shao, Z.-Q.; Liu, Y. Maternal Inheritance of U’s Triangle and Evolutionary Process of Brassica Mitochondrial Genomes. Front. Plant Sci. 2020, 11, 805. [Google Scholar] [CrossRef]
  7. Seepaul, R.; Kumar, S.; Iboyi, J.E.; Bashyal, M.; Stansly, T.L.; Bennett, R.; Boote, K.J.; Mulvaney, M.J.; Small, I.M.; George, S.; et al. Brassica carinata: Biology and agronomy as a biofuel crop. GCB Bioenergy 2021, 13, 582–599. [Google Scholar] [CrossRef]
  8. Samarappuli, D.; Zanetti, F.; Berzuini, S.; Berti, M.T. Crambe (Crambe abyssinica Hochst): A Non-Food Oilseed Crop with Great Potential: A Review. Agronomy 2020, 10, 1380. [Google Scholar] [CrossRef]
  9. Falasca, S.L.; Flores, N.; Lamas, M.C.; Carballo, S.M.; Anschau, A. Crambe abyssinica: An almost unknown crop with a promissory future to produce biodiesel in Argentina. Int. J. Hydrogen Energy 2010, 35, 5808–5812. [Google Scholar] [CrossRef]
  10. Richter, B.E.; Jones, B.A.; Ezzell, J.L.; Porter, N.L.; Avdalovic, N.; Pohl, C. Accelerated Solvent Extraction:  A Technique for Sample Preparation. Anal. Chem. 1996, 68, 1033–1039. [Google Scholar] [CrossRef]
  11. Gan, J.; Papiernik, S.K.; Koskinen, W.C.; Yates, S.R. Evaluation of Accelerated Solvent Extraction (ASE) for Analysis of Pesticide Residues in Soil. Environ. Sci. Technol. 1999, 33, 3249–3253. [Google Scholar] [CrossRef]
  12. Lligadas, G.; Ronda, J.C.; Galià, M.; Cádiz, V. Renewable polymeric materials from vegetable oils: A perspective. Mater. Today 2013, 16, 337–343. [Google Scholar] [CrossRef]
  13. Gaglieri, C.; Alarcon, R.T.; de Moura, A.; Bannach, G. Vegetable oils as monomeric and polymeric materials: A graphical review. Curr. Res. Green Sustain. Chem. 2022, 5, 100343. [Google Scholar] [CrossRef]
  14. AOCS. Approved Procedure Am 5-04, Rapid Determination of Oil/Fat Utilizing High Temperature Solvent Extraction; ANKOM Technology: Macedon, NY, USA, 2004. [Google Scholar]
  15. ISO: 6886:2016; Animal and Vegetable Fats and Oils—Determination of Oxidative Stability (Accelerated Oxidation Test). International Organization for Standardization: Geneva, Switzerland, 2016.
  16. ISO: 12966-2:2017; Animal and Vegetable Fats and Oils—Gas Chromatography of Fatty Acid Methyl Esters—Part 2: Preparation of Methyl Esters of Fatty Acids. International Organization for Standardization: Geneva, Switzerland, 2017.
  17. Neto, W.S.; Dutra, G.V.S.; Jensen, A.T.; Araújo, O.A.; Garg, V.; de Oliveira, A.C.; Valadares, L.F.; de Souza, F.G.; Machado, F. Superparamagnetic nanoparticles stabilized with free-radical polymerizable oleic acid-based coating. J. Alloys Compd. 2018, 739, 1025–1036. [Google Scholar] [CrossRef]
  18. Boerema, A.; Peeters, A.; Swolfs, S.; Vandevenne, F.; Jacobs, S.; Staes, J.; Meire, P. Soybean Trade: Balancing Environmental and Socio-Economic Impacts of an Intercontinental Market. PLoS ONE 2016, 11, e0155222. [Google Scholar] [CrossRef]
  19. Confortin, T.C.; Todero, I.; Luft, L.; Ugalde, G.A.; Mazutti, M.A.; Oliveira, Z.B.; Bottega, E.L.; Knies, A.E.; Zabot, G.L.; Tres, M.V. Oil yields, protein contents, and cost of manufacturing of oil obtained from different hybrids and sowing dates of canola. J. Environ. Chem. Eng. 2019, 7, 102972. [Google Scholar] [CrossRef]
  20. Martín-Cabrejas, I.; Goicoechea-Oses, E. Effect of garlic essential oil on sunflower oil oxidative stability during accelerated storage studied by FTIR spectroscopy. Food Biosci. 2024, 62, 105012. [Google Scholar] [CrossRef]
  21. Belhoussaine, O.; El Kourchi, C.; Mohammed, A.; El Yadini, A.; Ullah, R.; Iqbal, Z.; Goh, K.W.; Gallo, M.; Harhar, H.; Bouyahya, A.; et al. Unveiling the oxidative stability, phytochemical richness, and nutritional integrity of cold-pressed Linum usitatissimum oil under UV exposure. Food Chem. X 2024, 24, 101785. [Google Scholar] [CrossRef]
  22. da Silva, J.M.; Stevanato, N.; Raspe, D.T.; da Silva, T.R.B.; Silva, C.d. Oil from crambe seeds treated with different resistance inducers: Oil yield and chemical characterization. Acta Scientiarum. Agron. 2024, 46, e65159. [Google Scholar] [CrossRef]
  23. Singh, S.P.; Singh, D. Biodiesel production through the use of different sources and characterization of oils and their esters as the substitute of diesel: A review. Renew. Sustain. Energy Rev. 2010, 14, 200–216. [Google Scholar] [CrossRef]
  24. Araruna, T.; Sousa, J.F.; Kruger, R.H.; Machado, A.H.L.; Machado, F. Eco-friendly Development of New Biodegradable and Renewable Polymers Based on Di(meth)Acrylated and Acrylamidated Monomers Derived from Limonene Dioxide. J. Polym. Environ. 2024, 32, 6576–6602. [Google Scholar] [CrossRef]
  25. Zhang, C.; Yan, M.; Cochran, E.W.; Kessler, M.R. Biorenewable polymers based on acrylated epoxidized soybean oil and methacrylated vanillin. Mater. Today Commun. 2015, 5, 18–22. [Google Scholar] [CrossRef]
  26. Bodhak, C.; Patel, T.; Sahu, P.; Gupta, R.K. Soybean Oil-Derived Acrylate/Methacrylate Ether for High-Resolution Additive Manufacturing. ACS Appl. Polym. Mater. 2024, 6, 12886–12896. [Google Scholar] [CrossRef]
Figure 1. (A) mechanism of formation of performic acid; (B) mechanism of formation of epoxidized fatty acid; (1) formic acid; (2) performic acid; (3) epoxide.
Figure 1. (A) mechanism of formation of performic acid; (B) mechanism of formation of epoxidized fatty acid; (1) formic acid; (2) performic acid; (3) epoxide.
Processes 13 03901 g001
Figure 2. Mechanism of acrylation of epoxidized fatty acid: (3) epoxidized fatty acid, (4) acrylated fatty acid.
Figure 2. Mechanism of acrylation of epoxidized fatty acid: (3) epoxidized fatty acid, (4) acrylated fatty acid.
Processes 13 03901 g002
Figure 3. FTIR spectra of canola oil, epoxidized canola oil, and acrylated canola oil.
Figure 3. FTIR spectra of canola oil, epoxidized canola oil, and acrylated canola oil.
Processes 13 03901 g003
Figure 4. 13C NMR (A) canola oil, (B) epoxidized canola oil, (C) acrylated canola oil.
Figure 4. 13C NMR (A) canola oil, (B) epoxidized canola oil, (C) acrylated canola oil.
Processes 13 03901 g004
Figure 5. FTIR-ATR spectrum of the canola acrylated monomer and canola polymer.
Figure 5. FTIR-ATR spectrum of the canola acrylated monomer and canola polymer.
Processes 13 03901 g005
Table 1. Extraction yield, oil content, and oxidative stability.
Table 1. Extraction yield, oil content, and oxidative stability.
SampleExtraction Efficiency (%)Oil Content (%) (m/m)Oxidative Stability Time (Hours)
Canola34.4337.408.66
Carinata33.4135.389.61
Crambe37.8935.1325.46
Table 2. Fatty acids profile.
Table 2. Fatty acids profile.
Fatty AcidCanolaCarinataCrambe
Caprylic0.06NDND
Capric0.01NDND
Lauric0.190.100.10
Myristic0.110.080.09
Palmitic4.503.001.86
Palmitoleic0.200.110.13
Stearic1.710.910.87
Oleic62.119.9617.58
Linoleic20.2317.857.93
Linoleiladic0.03NDND
α-Linolenic9.7419.999.31
γ-Linolenic0.040.05ND
Arachidic0.610.780.96
GodoicNDNDND
Arachidonic0.010.01ND
Eicosapentaenoic0.180.590.69
11,14-Eicosadienoic0.131.080.24
Behenic0.340.721.87
ErucicND42.0856.25
13,16-Docosadienoic0.031.350.56
Clupanodonic0.010.01ND
Nervonic0.180.590.69
∑ Unsaturated Fatty acids (%)92.8294.4294.23
Disclaimer/Publisher’s Note: The statements, opinions and data contained in all publications are solely those of the individual author(s) and contributor(s) and not of MDPI and/or the editor(s). MDPI and/or the editor(s) disclaim responsibility for any injury to people or property resulting from any ideas, methods, instructions or products referred to in the content.

Share and Cite

MDPI and ACS Style

Ciciliano, L.; Brito, G.F.d.S.; Santos, L.K.d.; Favaro, S.P.; Machado, F. Accelerated Solvent Extraction, Chemical Modification, and Free-Radical Polymerization of Canola (Brassica napus), Carinata (Brassica carinata), and Crambe (Crambe abyssinica) Oils. Processes 2025, 13, 3901. https://doi.org/10.3390/pr13123901

AMA Style

Ciciliano L, Brito GFdS, Santos LKd, Favaro SP, Machado F. Accelerated Solvent Extraction, Chemical Modification, and Free-Radical Polymerization of Canola (Brassica napus), Carinata (Brassica carinata), and Crambe (Crambe abyssinica) Oils. Processes. 2025; 13(12):3901. https://doi.org/10.3390/pr13123901

Chicago/Turabian Style

Ciciliano, Laura, Gabriel Ferreira da Silva Brito, Letícia Karen dos Santos, Simone Palma Favaro, and Fabricio Machado. 2025. "Accelerated Solvent Extraction, Chemical Modification, and Free-Radical Polymerization of Canola (Brassica napus), Carinata (Brassica carinata), and Crambe (Crambe abyssinica) Oils" Processes 13, no. 12: 3901. https://doi.org/10.3390/pr13123901

APA Style

Ciciliano, L., Brito, G. F. d. S., Santos, L. K. d., Favaro, S. P., & Machado, F. (2025). Accelerated Solvent Extraction, Chemical Modification, and Free-Radical Polymerization of Canola (Brassica napus), Carinata (Brassica carinata), and Crambe (Crambe abyssinica) Oils. Processes, 13(12), 3901. https://doi.org/10.3390/pr13123901

Note that from the first issue of 2016, this journal uses article numbers instead of page numbers. See further details here.

Article Metrics

Back to TopTop