Next Article in Journal
Towards Predictive Maintenance of SAG Mills: Developing a Data-Driven Prognostic Model
Previous Article in Journal
Interfacial Electrostatics of Low Salinity-Enhanced Oil Recovery: A Review of Theoretical Foundations, Applications and Correlation to Experimental Observations
 
 
Font Type:
Arial Georgia Verdana
Font Size:
Aa Aa Aa
Line Spacing:
Column Width:
Background:
Article

Comparative Analysis of Thermal Performance and Geometric Characteristics of Tubes with Rectangular and Triangular Fins

1
Faculty of Education, University of Prishtina, 10000 Prishtina, Kosovo
2
Faculty of Mechanical Engineering, Ss. Cyril and Methodius University, 1000 Skopje, North Macedonia
*
Author to whom correspondence should be addressed.
Processes 2025, 13(10), 3256; https://doi.org/10.3390/pr13103256 (registering DOI)
Submission received: 21 August 2025 / Revised: 7 October 2025 / Accepted: 8 October 2025 / Published: 13 October 2025
(This article belongs to the Section Energy Systems)

Abstract

In thermal engineering applications, finned surfaces are extensively employed to enlarge the effective heat transfer area and thereby enhance the efficiency of heat exchangers. The present study examines cylindrical tubes externally fitted with rectangular and triangular fins under the condition of a constant transverse cross-sectional area and total fin volume. For all five rectangular fin configurations analyzed, the cross-sectional area and total volume were kept constant, while for the five triangular fin configurations, these parameters were also maintained constant but were approximately half of those of the rectangular fins due to geometric characteristics. Both analytical calculations and numerical simulations using ANSYS Fluent were conducted to evaluate thermal performance across different fin thicknesses and heights. Results show that rectangular fins provide up to 9.75% higher heat flux than triangular fins at the optimal thickness; however, this improvement requires nearly a twofold increase in material consumption. The analysis further indicates that most heat transfer occurs near the fin base, where convective efficiency is highest, with effectiveness diminishing along the extended surface. These findings highlight the importance of selecting fin geometries that balance thermal performance with material economy. In conclusion, this study provides practical insights for designing more efficient and cost-effective heat exchangers.

1. Introduction

Heat transfer is a fundamental phenomenon in numerous practical applications of energy conversion, transfer, and utilization. Heat exchangers, with various design solutions, capacities, working fluids, and functional specificities, have broad applications in industries such as steam power plants, chemical and pharmaceutical processing, food production, transportation power systems, refrigeration units, heating, and air conditioning, as well as in other areas, including non-industrial sectors such as high-efficiency medical equipment. The use of new technologies and materials is aimed at enhancing the efficiency and performance of heat exchangers.
The calculation and design of heat exchange systems are linked to the solution of highly complex problems related to heat transfer and the transmission of high-density and high-intensity heat fluxes. Heat exchange devices often employ elements that increase the heat transfer surface, such as fins, ribs, and lamellae, among others. In most cases, it is necessary to apply optimization approaches to determine the optimal parameters of the finned system in order to achieve the required heat fluxes with fin elements of optimal dimensions and minimal volume. This approach helps minimize material consumption during the production of well-profiled finned heat transfer surfaces while ensuring that devices are compact and efficient.
Beyond the geometric optimization, the fluid flow (for instance, air flow) around the finned system results in complex conditions for heat exchange between the finned surface and its surroundings. Therefore, it is crucial to conduct research that combines analytical and numerical methods, focusing on convective heat transfer mechanisms, to improve the efficiency of heat exchange between different surface types and the environment.
Substantial improvements in energy efficiency across various industrial applications can be achieved through the use of more effective heat transfer surfaces. Sahiti (2015) [1] demonstrated that the optimization of fin geometry, particularly the length of pin fins, has a significant impact on the thermal performance of heat exchangers. Kraus, Aziz, and Welty (2001) [2] provide a comprehensive overview of extended surface heat transfer, focusing on the optimization of finned surfaces with diverse geometries such as rectangular, triangular, and trapezoidal profiles. Pardeep et al. (2019) [3] conducted a comprehensive analysis on the influence of fin extensions in heat transfer systems, demonstrating that extending the surface area substantially improves thermal dissipation. This study further emphasizes the pivotal role of material thermal conductivity, geometric configuration, and ambient conditions in determining overall thermal efficiency. Sobamowo (2017) [4] conducted an analytical investigation of the dimensionless temperature distribution in rectangular fins as a function of dimensionless length, considering various values of thermo-geometrical parameters and internal heat generation. Toner and Kılıç (1983) [5] carried out a comparative analysis of the thermal performance of rectangular and triangular fins under both condensation and non-condensation conditions and determined the optimal fin dimensions as a function of the Biot number. Aziz (1994) [6] presented a detailed optimization analysis aimed at determining the optimal dimensions of straight fins, annular fins, and spines with various geometric profiles. Arslanturk (2005) [7] conducted a one-dimensional analysis and optimization study of annular fins with uniform thickness, focusing on the determination of their optimal geometric configuration. Lindstedt and Kaj (2004) [8] analyzed the thermal performance of rectangular, triangular, and trapezoidal fins using both analytical and numerical methods, offering a comparative evaluation of the results. Bunjaku et al. (2023) [9] proposed a methodology for optimizing the thermal performance of different fin geometries, such as rectangular and triangular profiles, while also incorporating the effects of various fin materials.
Building upon these insights into geometric optimization, several studies have additionally investigated the effects of operating conditions and convective mechanisms on fin performance. Kundu and Das (2002) [10] investigated the performance and optimization of straight taper fins under conditions of variable convective heat transfer, considering a linear variation of the heat transfer coefficient along the fin surface. Lee et al. (2016) [11] conducted an experimental investigation on natural convection from vertical cylinders equipped with inclined plate fins, demonstrating that variations in fin inclination angle, number of fins, and base temperature have a significant influence on the thermal resistance and overall cooling performance. Furthermore, Lee et al. (2017) [12] performed a thermal optimization study on horizontal tubes with tilted rectangular fins, emphasizing the crucial role of fin geometry and orientation in enhancing heat transfer rates and minimizing thermal resistance under free convection conditions. Bunjaku and Filkoski (2023) [13] performed an optimization of thermal and geometric parameters of cylindrical fins under natural convection conditions, demonstrating that fin performance can be significantly improved through careful selection of dimensions and material properties. Hameed et al. (2020) [14] investigated various fin geometries under natural convection and confirmed that fin shape strongly governs the thermal performance of heat sinks. Hussein et al. (2022) [15] examined different fin configurations under natural convection and demonstrated that fin geometry is a decisive parameter, with efficiencies consistently above 90%, thereby confirming the strong influence of geometry on overall thermal performance and optimization. Obaid and Hameed (2023) [16] conducted an experimental and numerical investigation under mixed convective conditions and reported that novel fin configurations can substantially enhance the thermal performance of heat sinks, further emphasizing the role of fin geometry in improving heat dissipation efficiency.
More recently, attention has turned toward innovative fin geometries, advanced manufacturing techniques, and novel design strategies aimed at further enhancing thermal performance. Kim (2021) [17] compared various optimized finned annuli with different fin shapes. This study concluded that the finned annuli with variable fin thickness exhibited the best performance compared to the fins of other shapes. A numerical comparison of thermal performances of various design models of rectangular fins having holes has been presented by Meganathan et al. [18]. The authors reported that the rectangular fin having holes provides high heat transfer. Kirincic et al. (2021) [19] conducted a numerical analysis of a shell-and-tube thermal energy storage system incorporating longitudinal fins, based on latent heat utilization. Najim et al. (2022) [20] further compared triangular and rectangular fins in a vertical triple-tube PCM storage system, showing that fin geometry has a decisive impact on natural convection performance. Adhikari et al. (2020) [21] conducted a numerical and experimental study on a heat sink design for natural convection cooling of LED grow lights and showed that fin geometry significantly affects thermal performance. Unger (2021) [22] analyzed additively manufactured finned heat exchanger configurations, demonstrating that innovative fin designs can further enhance natural convection efficiency. Krıshnayatra et al. (2022) [23] conducted a parametric numerical study on finned-tube systems, showing the effects of fin geometry, number, and orientation on natural convection performance. Altun and Ziylan (2019) [24] showed that sinusoidal wavy fins under natural convection enhance heat transfer compared to rectangular fins. Similarly, Andrew and Oyejide (2018) [25] reported that triangular fins with perforations provide higher heat dissipation in natural convection.
Building on the insights provided by previous studies, this work develops a mathematical model based on Bessel’s differential equations to optimize ribbed or profiled heat transfer surfaces. Analytical solutions are obtained for key parameters, including fin efficiency, dimensionless temperature, and optimal geometry. The results are compared with CFD simulations for rectangular and triangular fins attached to cylindrical tubes under identical cross-sectional area and volume conditions. The primary objective is to determine the optimal fin configuration that maximizes heat transfer with minimal material usage, thereby providing practical guidelines for the design of efficient and cost-effective heat exchangers.

2. Materials and Methods

The use of finned systems such as finned heat exchangers, finned tubes, or other fin-integrated components is primarily intended to enhance heat transfer performance. These systems are particularly effective in applications involving fluids with significantly different convective heat transfer coefficients on either side of a thermal boundary. In such cases, the disparity in heat transfer rates can be partially offset by increasing the surface area through the use of fins or similar surface extensions. In practical applications, the ratio of non-finned to finned surface area typically ranges from 1:10 to 1:50, or even higher. Overall, the integration of ribbed or finned surfaces across various industrial processes enhances heat exchange effectiveness and system efficiency by maximizing the available surface area, thereby contributing to greater energy efficiency, lower operational costs, and improved system performance.
Depending on the application, fins are designed and manufactured in many shapes and forms. The most commonly used extended surfaces include straight fins with rectangular or trapezoidal profiles, annular fins with rectangular or triangular cross-sections, and pin fins of cylindrical or conical shape.
These geometries are implemented across a wide range of engineering systems, each with specific operational requirements and design constraints. This applies to a wide range of components used in heating, ventilation, and air conditioning (HVAC) systems, as well as in thermal processing units within manufacturing industries. It also includes applications such as air-cooled housings for electric motors, cooling systems for electronic equipment (e.g., data centers and personal computers), specialized heat exchangers, and solar thermal water-heating systems.
To ensure analytical tractability and consistency with classical fin theory, the assumptions and constraints imposed to define and bound the problem are essential for simplifying the governing equations and enhancing the accuracy of solutions related to fin geometry analysis. Contemporary studies on fin configurations are largely grounded in the foundational works of Murray (1938) and Gardner (1945). These simplifications, commonly known as the Murray–Gardner assumptions, are thoroughly discussed in the work of Kraus et al. (2001) [2]. In the present study, these assumptions are directly applied to the analytical modeling, namely steady-state heat transfer in a homogeneous fin material with constant thermal conductivity, uniform base temperature with perfect thermal contact, constant convective coefficient, and negligible effects of thickness gradients, edge losses, and tip heat transfer. These applied assumptions provide a consistent and simplified framework for evaluating the thermal performance of the fin geometries.

2.1. Rectangular Fin Elements

Basic or primary surfaces and their associated extension elements are collectively referred to as extended surfaces, as opposed to bare surfaces without any attachments. These extension elements may consist of fins, ribs, sheets, lamellae, or other geometric modifications designed to increase the surface area available for heat transfer. A key challenge in the design of efficient heat exchangers lies in the development of methods for heat transfer enhancement, which is critical for achieving optimal device performance. Consequently, the analysis of various fin profiles is essential to identify correlations between geometric parameters and heat transfer intensity.
To illustrate these relationships and to establish the fundamental heat transfer behavior of extended surfaces, a typical fin with a rectangular profile is illustrated in Figure 1. Heat transfer through the fin is governed by the following general form of the differential equation, which characterizes the thermal behavior of extended surfaces:
d 2 θ d x 2 m 2 θ = 0
where
  • θ = TTfluid is the temperature difference between the temperature of the fins’ surface (T) and the temperature of the surrounding air (Tfluid).
  • m = 2 h / k δ is a characteristic parameter.
  • h is the heat transfer coefficient.
  • k is the thermal conductivity of the fin material.
Figure 1. The profile of rectangular fin.
Figure 1. The profile of rectangular fin.
Processes 13 03256 g001
The boundary conditions applied in this model are given below:
θ = θ b f o r x = b k θ x x = 0 = h 2 θ t i p f o r x = 0
where θb is the temperature difference at the base of the fin, and h2 and θtip correspond to the heat transfer coefficient and the temperature difference at the top of the fin.
By considering the boundary conditions in Equation (2) and receipt h2 = 0 to simplify the problem (i.e., neglecting the thermal flux at the tip of the fin), the solution to Equation (1), based on the work of Kraus et al. [2], is obtained in the following form:
θ ( x ) = θ b cosh m x cosh m b
Q ˙ 0 = k · S d θ d x x = 0 = k δ m L θ b tanh ( m b )
In this configuration, the design features a cylindrical tube equipped with rectangular fins mounted on its outer surface (Figure 2). The addition of these fins increases the effective surface area of the tube, thereby enhancing the heat transfer capacity between the two working fluids.
The analysis is carried out for the tube with rectangular fins with thickness δ and the fin height b, while the fin’s length will be marked with L. For the adopted analyzed model, the surface of the fin’s transverse cut is taken as a constant value (Sr = δb = const). The model for Sr = const is essential concerning increasing the efficiency of the finned system.
The heat flux from the tube-finned surface for the 10 rectangular fins is given with the expression:
Q f i n = n δ k L m θ b tanh ( m b )
The heat flux from the non-finned surface, which is situated at the side of the finned system, is expressed as:
Q w a l l = ( π · d n δ ) L h θ b
The overall heat flux is:
Q t o t = Q f i n + Q w a l l = n δ k L m θ b tanh ( m b ) + ( π · d n δ ) L h θ b

2.2. Triangular Fin Elements

In the case of triangular fins, the analysis involves a variable fin profile, as illustrated in Figure 3. In this model, the variation of the temperature gradient along the transverse (orthogonal) direction is neglected, and thus a one-dimensional temperature distribution is assumed for the fin.
The following differential equation characterizes the heat transfer process in triangular fins:
x d 2 θ d x 2 + d θ d x m 2 b θ = 0
where the characteristic fin parameter m is defined as presented in Kraus et al. [2], and b denotes the height of the fin.
The boundary conditions applicable to this model are as follows:
θ = θ b f o r x = b k θ x x = 0 = 0 f o r x = 0
Equation (8) is a modified Bessel differential equation, and its solution, based on the work of Kraus et al. [2], is given by:
θ ( x ) = θ b I 0 ( 2 m b x ) I 0 ( 2 m b )
The heat flux through a triangular fin can be expressed as:
Q ˙ = k · S d θ d x x = b = 2 h L θ b · I 1 ( 2 m b ) m · I 0 ( 2 m b )
Similar to the case of the rectangular finned tube, the modeling approach for the triangular finned tube—characterized by fin thickness δ, fin height b, and fin length L—is presented below, as shown in Figure 4.
The heat flux through the fins and the tube wall is given by the following expressions:
Q f i n = 2 n h θ b L m · I 1 ( 2 m b ) I 0 ( 2 m b )
Q w a l l = ( π d n δ ) L h θ b
The total heat flux is defined by the following relation:
Q t o t = Q f i n + Q w a l l = 2 n h θ b L m · I 1 ( 2 m b ) I 0 ( 2 m b ) + ( π d n δ ) L h θ b

2.3. Numerical Method

2.3.1. Governing Equations

The governing equations consist of the continuity equation, the momentum equations, and the energy equation for the fluid, together with the heat-conduction equation in the solid. They are expressed in Cartesian coordinates (x, y, z). The following equations are solved:
Continuity equation for the steady flow:
ρ u x + ρ v y + ρ w z = 0
Momentum equation:
ρ u u x + v u y + w u z = p x + μ 2 u x 2 + 2 u y 2 + 2 u z 2
ρ u v x + v v y + w v z = p y + μ 2 v x 2 + 2 v y 2 + 2 v z 2
ρ u w x + v w y + w w z = p z + μ 2 w x 2 + 2 w y 2 + 2 w z 2
Energy equation:
u T x + v T y + w T z = α 2 T x 2 + 2 T y 2 + 2 T z 2

2.3.2. Modeling Approach and Assumptions

In the present study, the flow is modeled as laminar, steady, and incompressible, which is justified by the relatively low Reynolds number conditions of the analyzed cases. As a result, no turbulence models or additional transport equations are required, and the governing equations reduce to the standard continuity, momentum, and energy equations presented above. Thermophysical properties are assumed to be constant, radiation and multiphase effects are neglected, and heat transfer from the fin tip is not considered. Gravity effects are included as the driving force for natural convection. These assumptions form the theoretical basis of the CFD model.
These governing equations form the theoretical foundation of the model, and their numerical solution is carried out in ANSYS Fluent 16.2, as described in the following subsection.

2.3.3. Numerical Implementation in ANSYS Fluent

Advanced modeling techniques, such as computational fluid dynamics (CFD), employ numerical simulations to analyze fluid flow and heat transfer phenomena. For several decades, CFD has been extensively used in engineering and scientific research to investigate and predict the behavior of fluids, thermal systems, and their interactions with solid surfaces. In the context of numerical methods, several case studies involving different thermal systems modeled using CFD are presented in [9,12]. In particular, ref. [9] examines rectangular and triangular fins, addressing challenges closely related to those investigated in the present study.
Numerical calculations were performed using ANSYS Fluent 16.2 software, based on the finite volume method with a structured mesh and second-order discretization schemes to ensure accuracy and minimize numerical errors. In addition, the Least Squares Cell Based method was used for gradient evaluation, with second-order schemes for pressure, momentum, and energy to minimize numerical diffusion. The transient, three-dimensional phase-change problem was solved numerically within this framework. For the current computational model, a structured grid was generated, consisting of approximately 6930 to 8500 volume cells and 11,264 to 16,524 nodes for tubes with rectangular fins. For tubes with triangular fins, the mesh comprised 4914 to 8575 volume cells and 8192 to 15,850 nodes. A preliminary mesh sensitivity analysis was conducted using grids of varying densities. The selected mesh was found to be optimal in terms of quality and offered a reasonable compromise between computational cost and accuracy, ensuring solution independence with respect to mesh size.
A structured mesh was employed for all cases, with local refinement near the tube–fin interfaces where the highest thermal gradients occur, in order to adequately resolve the flow and temperature fields while keeping the computational effort within reasonable limits, as shown in Figure 5.
To verify the adequacy of this discretization, a mesh independence study was carried out for both rectangular and triangular fin configurations. The results, summarized in Table 1, indicate that further mesh refinement produced negligible variations in the temperature distribution. This demonstrates that the adopted mesh resolution provides sufficient accuracy while maintaining computational efficiency.
In the present study, the geometric ranges of the models were defined by varying fin thickness between 0.5 and 4 mm and fin height between 3.13 and 25 mm for both rectangular and triangular fins while keeping the transverse cross-sectional area and total fin volume constant. The computational models were created in ANSYS Fluent 16.2 using a structured grid, and mesh sensitivity analysis was conducted to ensure independence of the solution. The applied boundary conditions included a constant base temperature of T0, a uniform ambient temperature of Tamb, and a constant convective heat transfer coefficient h applied to all fin surfaces.
For the analyzed models, the minimal convergence criterion was set to 10−6 for the continuity and momentum equation and to 10−8 for the energy equation. A mesh sensitivity analysis was conducted to minimize numerical uncertainties, while the applied steady-state assumptions further reduced potential instabilities, ensuring reliable results under the specified conditions.
To validate the computational model, the numerical results for temperature distribution and heat flux were compared with analytically derived data. The operating parameters applied in the numerical simulations are consistent with those used in the physical model. In particular, heat transfer from the fin tip is neglected in both cases.
In the CFD simulations, the outer tube surface was assigned a constant convective heat transfer coefficient, while the base temperature was fixed as uniform. Symmetry boundary conditions were imposed along the axial direction. The simulations were performed under steady-state assumptions using a laminar flow model, which is appropriate for the present study due to the low Reynolds number and the nature of the natural convection problem.

3. Results

3.1. Rectangular Fin

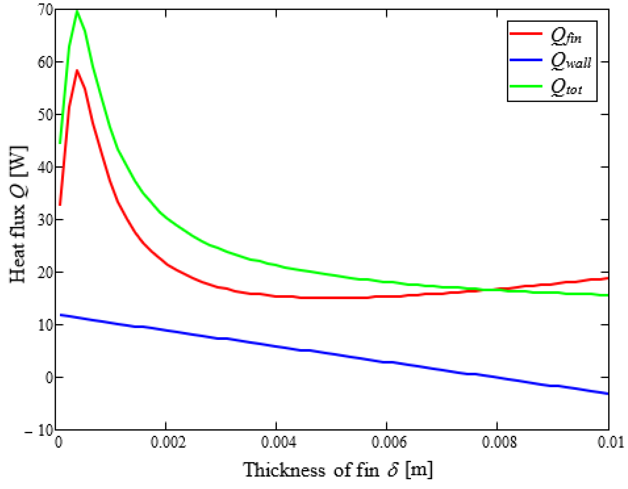
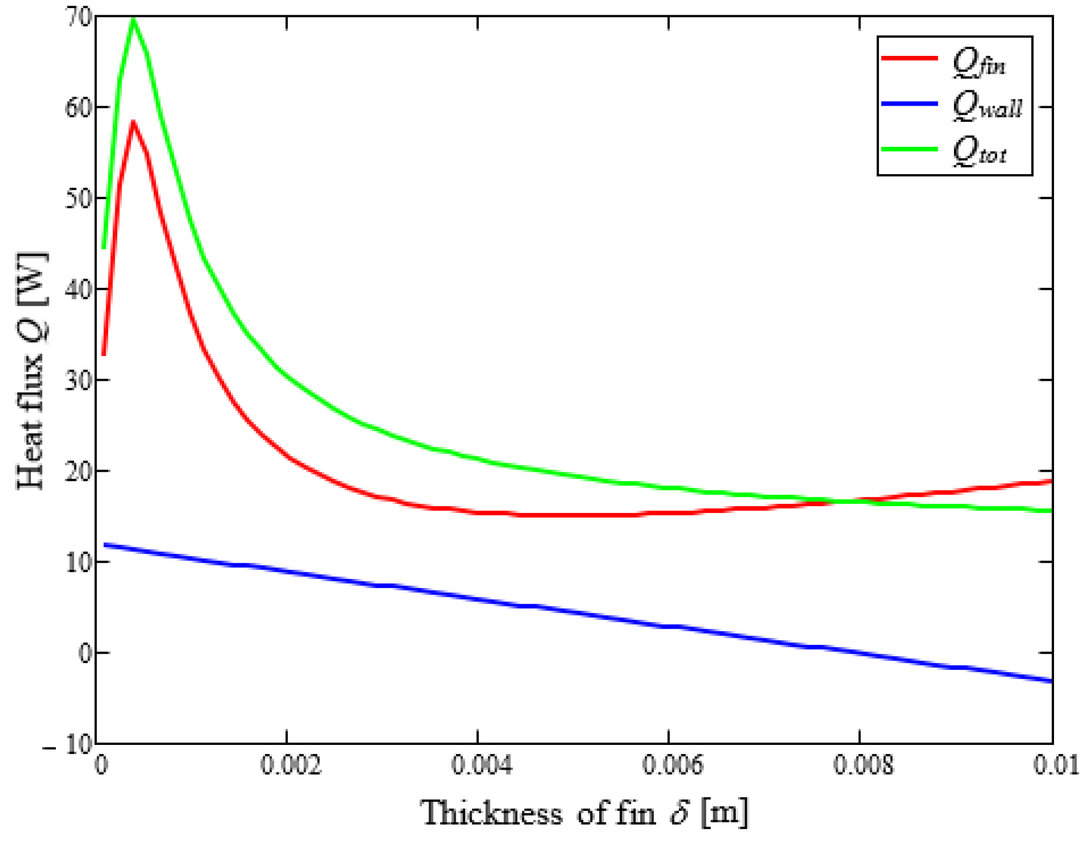
Using the analytical procedure outlined in Section 2.1 and Equations (5)–(7), thermal fluxes were calculated based on the thermal and geometrical parameters listed in Table 2. Figure 6 illustrates the dependence of thermal flux on fin thickness.
According to the diagram, it can be noticed that:
  • By increasing the thickness of the rectangular fin, the overall thermal flux as well as the one of the fin increase in value up to the maximum, and after it decreases, the increasing trend becomes more evident than the decreasing one.
  • The thermal flux of the non-finned surface that is situated at the side of the fins decreases in value as the thickness of the fin increases, as the contact surface with the surrounding ambience decreases.
  • For the thickness of the fin δ > 8 mm for the situation where the number of fins is n = 10 and the diameter is d = 25 mm, there is no space for placing the fins, and the flux Qwall takes a negative value that results from the equation ( π · d n δ ) < 0 .
A comparison of the thermal flux results obtained through analytical and numerical methods, including CFD simulations performed using ANSYS Fluent 16.2, was carried out for the case of a tube with n = 10 attached fins. The comparison was conducted by maintaining a constant cross-sectional area and systematically varying the fin thickness (δ) and height (b). This approach is consistent with the research methodology presented in [26], which addresses similar thermal optimization challenges.
The results of the numerical simulation, carried out using the CFD method under steady-state conditions, demonstrate the temperature distribution along a rectangular steel fin attached to an annular tube. As illustrated in Figure 7, the temperature profile reflects the heat transfer from the base to the tip of the fin for both models previously discussed.
For steel finned tubes, five models were analyzed using both analytical and numerical methods. The corresponding results are summarized in Table 3 and illustrated graphically in Figure 8. The two methods show good agreement, with only minor deviations observed at larger fin thicknesses, where conduction effects become more dominant.
Figure 8 shows an excellent agreement between the results obtained from the analytical and numerical approaches. The observed deviations are minor and are primarily due to differences in the modeling assumptions: the analytical solution is based on a one-dimensional heat transfer model, whereas the numerical results, obtained using CFD, account for the full three-dimensional behavior of the system. Despite this, the consistency between the two sets of results confirms the reliability of the analytical formulation within its range of applicability. Moreover, the reliability of the present findings is further supported by their consistency with previously reported results in the literature under comparable natural convection conditions, including studies on rectangular, triangular, and cylindrical fin configurations.

3.2. Triangular Fin

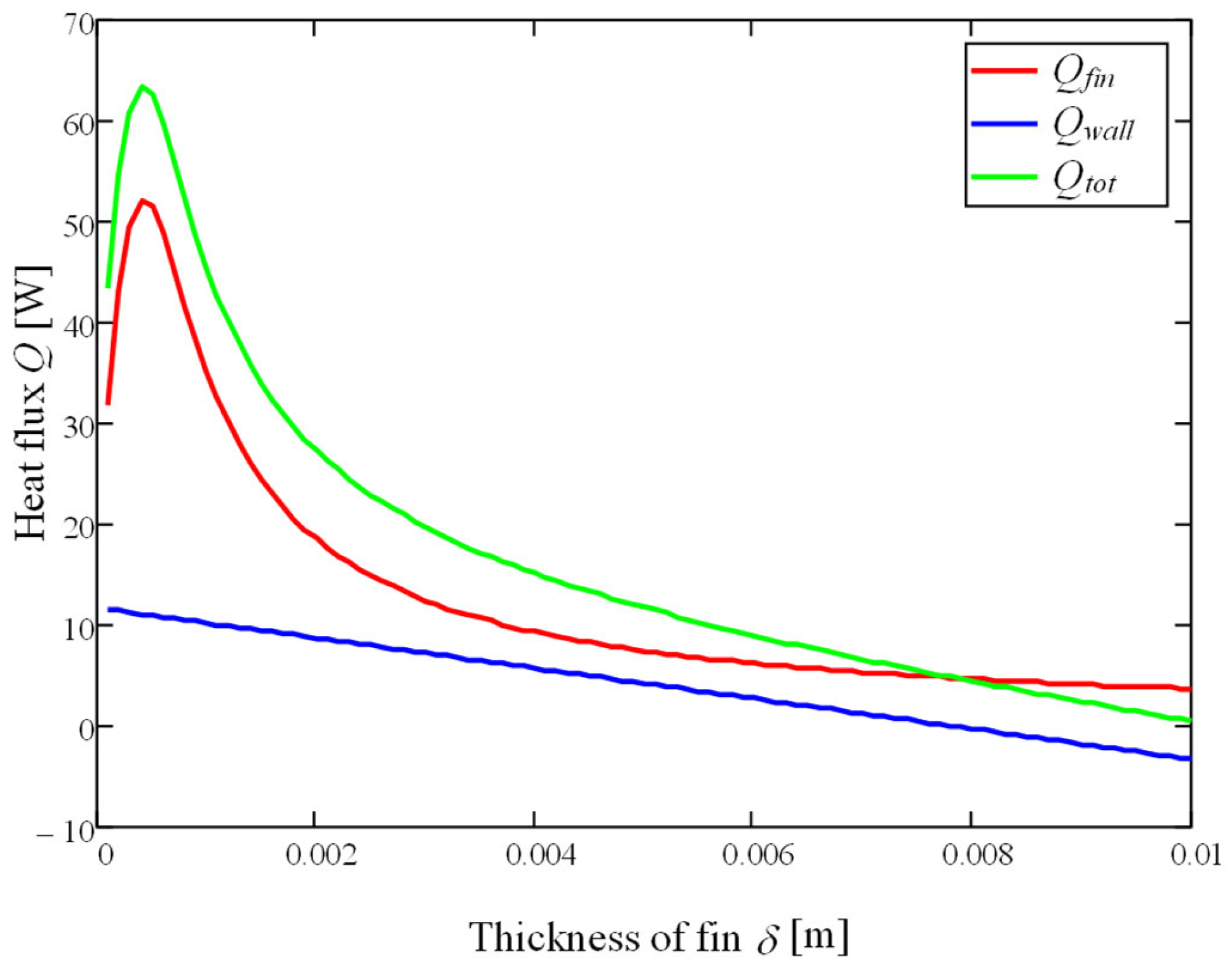
The analytical procedure outlined in Section 2.2, based on Equations (12)–(14) and the thermal and geometrical parameters specified in Table 2, was used to calculate the heat flux as a function of fin thickness. The resulting values are presented graphically in Figure 9.
Similar to the case presented in Section 3.1, Figure 6 shows that increasing the thickness of the triangular fin initially leads to a rise in both the total heat flux and the fin-specific heat flux, reaching a peak value before gradually declining. However, the increasing trend is more pronounced than the subsequent decrease. Furthermore, since the base area of the fins remains constant, for fin thickness values exceeding δ > 8 mm—given n = 10 fins and a tube diameter of d = 25 mm—there is insufficient space to attach the fins, resulting in a negative value for the heat flux Qnf.
Similar to the rectangular fin analysis, the following section presents a comparison between the thermal flux results obtained from the analytical and numerical methods for a configuration with n = 10 fins and a constant cross-sectional area (St = δb/2).
The results of the numerical simulation, carried out using the CFD method under steady-state conditions, demonstrate the temperature distribution along a triangular steel fin attached to an annular tube. As illustrated in Figure 10, the temperature profile reflects the heat transfer from the base to the tip of the fin for both models previously discussed.
For steel tubes equipped with triangular fins, the results obtained from both analytical and numerical methods are presented in Table 4 and illustrated in Figure 11, showing very good agreement and validating the analytical model within the studied parameter range.
Similar to the previous case studies, Figure 11 shows an excellent agreement between the analytical and numerical results, with minor discrepancies. These differences arise from the fundamental modeling assumptions: the analytical method assumes heat flux as a one-dimensional phenomenon, whereas the numerical approach accounts for the full three-dimensional heat transfer behavior.

3.3. Comparison of Heat Flux for Rectangular and Triangular Fins

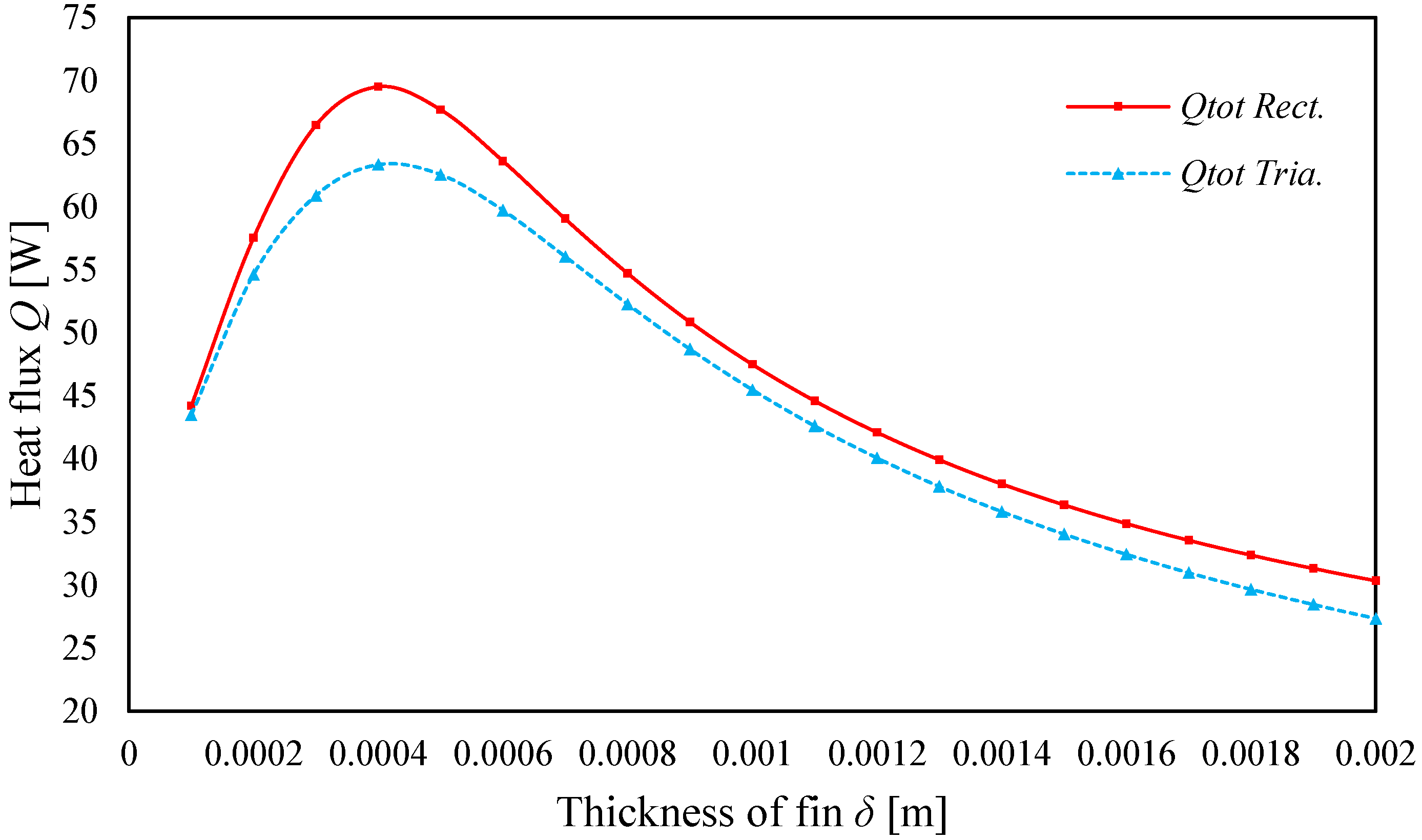
The following analysis presents the total heat fluxes for two cylindrical models equipped with triangular and rectangular fin configurations.
Figure 12 illustrates that the thermal flux associated with both rectangular and triangular fins exhibits a sharp increase with fin thickness up to a certain maximum point. Beyond this point, a gradual decline is observed as the thickness continues to increase under the condition of constant cross-sectional area. In this study, heat flux was selected as the primary evaluation criterion, providing a direct and consistent basis for comparing the thermal performance of the rectangular and triangular finned configurations under constant cross-sectional area and volume constraints. This approach emphasizes the influence of fin geometry on heat transfer while ensuring comparability between the analyzed cases.

4. Conclusions

This study presented a comparative analysis of heat transfer performance in cylindrical tubes equipped with rectangular and triangular fin profiles. The analysis focused on identifying optimal fin thickness and height by maintaining constant values for both the transverse cross-sectional area and total fin volume. Specifically, for all five rectangular fin models the cross-sectional area and total volume were kept constant, whereas for the five triangular fin models these parameters were also maintained constant but were approximately half of those in the rectangular models, reflecting their geometric characteristics. Both analytical and numerical approaches, by using Computational Fluid Dynamics (CFD), were employed to evaluate thermal behavior under varying geometric configurations.
The results indicate that, for a given cross-sectional area and tube dimensions, rectangular fins provide up to 9.75% higher heat flux compared to triangular fins under optimal thickness. However, this improvement in thermal performance comes at the cost of significantly greater material usage, as the volume of rectangular fins was twice that of triangular ones. This highlights a clear trade-off, where higher thermal output is achieved at the expense of material efficiency and cost, suggesting that the practical selection of fin geometries should carefully balance thermal benefits with economic feasibility. These findings confirm that most of the heat transfer occurs near the base of the fin, where convective efficiency is highest, and that this effectiveness decreases along the fin’s extended surface.
This study demonstrates that selecting appropriate fin geometries considering both thermal performance and material volume is crucial for the optimal design of heat exchangers. The proposed methodology provides a practical framework for engineers and designers seeking to enhance heat transfer efficiency while minimizing material costs. It also reinforces the importance of balancing geometric complexity with manufacturing and operational constraints.
In particular, the main contribution of this work lies in providing a systematic comparison between rectangular and triangular fins under identical boundary and volumetric constraints and in demonstrating the trade-off between thermal enhancement and material usage. The combined analytical–numerical methodology proposed here can serve as a reliable framework for similar optimization studies.
While this analysis is based on idealized steady-state conditions and constant material properties, future research should consider transient thermal behavior, temperature-dependent conductivity, and external factors such as fin-tip convection. Moreover, experimental validation is recommended to confirm the accuracy of the numerical and analytical predictions and to further support the practical applicability of the optimized fin configurations in real-world heat exchanger systems.
Future work will also extend the current results by introducing dimensionless performance parameters, such as the Nusselt number, fin efficiency, and the overall heat transfer coefficient, in order to provide a more generalized and comparative evaluation with literature studies.

Author Contributions

Conceptualization, F.B. and R.V.F.; methodology, R.V.F.; software, F.B. and R.V.F.; validation, F.B. and K.B.; formal analysis, R.V.F.; investigation, F.B.; resources, F.B.; data curation, F.B. and R.V.F.; writing—original draft preparation, F.B.; writing—review and editing, K.B.; supervision, R.V.F. All authors have read and agreed to the published version of the manuscript.

Funding

This research received no external funding.

Data Availability Statement

The original contributions presented in this study are included in the article. Further inquiries can be directed to the corresponding author.

Conflicts of Interest

The authors declare no conflicts of interest.

Nomenclature

hheat transfer coefficient, W/(m2K),
bfin height, m
aThermal diffusivity of air, m2/s
Imodified Bessel function of the first kind
dtube diameter, m
kthermal conductivity, W/mK
Llength of the tube, m
mfin performance parameter, m−1
Scross-section in base of fin, m2
Ncharacteristic parameters of the fin
Qheat flux, W
Ttemperature of fin’s surface, K
uair velocity in the x-direction, m/s
vair velocity in the y-direction, m/s
wair velocity in the z-direction, m/s
Greek Symbols
δfin thickness, m
θtemperature difference
Subscripts
bbase of fin
0top of the fin
fluidsurrounding air
nfno fins
wallwall of the tube
tottotal
numnumerical method
analanalytical method

References

  1. Sahiti, N. Interrelation between pin length and heat exchanger performance. Appl. Therm. Eng. 2015, 91, 946–952. [Google Scholar] [CrossRef]
  2. Kraus, A.; Abdul, A.; James, W. Extended Surface Heat Transfer; John Wiley & Sons: Hoboken, NJ, USA, 2001. [Google Scholar]
  3. Pardeep, S.; Harvinder, L.; Baljit Singh, U. Design and Analysis for Heat Transfer through Fin with Extensions. Int. J. Innov. Res. Sci. Eng. Technol. 2014, 3, 12054–12061. [Google Scholar]
  4. Sobamowo, M.G. Analysis of convective longitudinal fin with temperature-dependent thermal conductivity and internal heat generation. Alex. Eng. J. 2017, 56, 1–11. [Google Scholar] [CrossRef]
  5. Toner, M.; Kiliç, A.; Onat, K. Comparison of rectangular and triangular fins when condensation occurs. Wärme-Und Stoffübertragung 1983, 17, 65–72. [Google Scholar] [CrossRef]
  6. Aziz, A. Optimum dimensions of extended surfaces operating in a convective environment. Appl. Mech. Rev. 1992, 45, 155–173. [Google Scholar] [CrossRef]
  7. Arslanturk, C. Simple correlation equations for optimum design of annular fins with uniform thickness. Appl. Therm. Eng. 2005, 25, 2463–2468. [Google Scholar] [CrossRef]
  8. Lindstedt, M.; Lampio, K.; Karvinen, R. Optimal Shapes of Straight Fins and Finned Heat Sinks. J. Heat Transf. 2015, 137, 061006. [Google Scholar] [CrossRef]
  9. Bunjaku, F.; Filkoski, R.V.; Sahiti, N. Thermal Optimisation and Comparison of Geometric Parameters of Rectangular and Triangular Fins with Constant Surfacing. Stroj. Vestn./J. Mech. Eng. 2017, 63, 439–446. [Google Scholar] [CrossRef]
  10. Kundu, B.; Das, P.K. Performance analysis and optimisation of straight taper fins with variable heat transfer coefficient. Int. J. Heat Mass Transf. 2002, 45, 4739–4751. [Google Scholar] [CrossRef]
  11. Lee, J.B.; Kim, H.J.; Kim, D.K. Experimental study of natural convection cooling of vertical cylinders with inclined plate fins. Energies 2016, 9, 391. [Google Scholar] [CrossRef]
  12. Lee, J.B.; Kim, H.J.; Kim, D.K. Thermal optimization of horizontal tubes with tilted rectangular fins under free convection for the cooling of electronic devices. Appl. Sci. 2017, 7, 352. [Google Scholar] [CrossRef]
  13. Bunjaku, F.; Filkoski, R.V. Optimisation of Thermal and Geometric Parameters of Cylindrical Fins during Natural Convection. Energies 2023, 16, 1997. [Google Scholar] [CrossRef]
  14. Hameed, V.M.; Hussein, M.A.; Dhaiban, H.T. Investigating the effect of various fin geometries on the thermal performance of a heat sink under natural convection. Heat Transf. 2020, 49, 5038–5049. [Google Scholar] [CrossRef]
  15. Hussein, M.A.; Hameed, V.M.; Dhaiban, H.T. An implementation study on a heat sink with different fin configurations under natural convective conditions. Case Stud. Therm. Eng. 2022, 30, 101774. [Google Scholar] [CrossRef]
  16. Obaid, A.J.; Hameed, V.M. An experimental and numerical comparison study on a heat sink thermal performance with new fin configuration under mixed convective conditions. S. Afr. J. Chem. Eng. 2023, 44, 81–88. [Google Scholar] [CrossRef]
  17. Kim, D.K. Comparison of optimal thermal performances of finned tube annuli with various fin shapes. Int. J. Heat Mass Transf. 2021, 175, 121402. [Google Scholar] [CrossRef]
  18. Meganathan, S.; Arunkumar, R.; Ponshanmugakumar, A. Numerical analysis of passive heat sink for different shapes. Mater. Today Proc. 2021, 46, 3749–3755. [Google Scholar] [CrossRef]
  19. Kirincic, M.; Trp, A.; Lenic, K. Influence of natural convection during melting and solidification of parafin in a longitudinally finned shell-and-tube latent thermal energy storage on the applicability of developed numerical models. Renew. Energy 2021, 179, 1329–1344. [Google Scholar] [CrossRef]
  20. Najim, F.T.; Kaplan, S.; Mohammed, H.I.; Dulaimi, A.; Abed, A.M.; Ibrahem, R.K.; Al-Qrimli, F.A.; Mahmoud, M.Z.; Awrejcewicz, J.; Pawłowski, W. Evaluation of melting mechanism and natural convection effect in a triplex tube heat storage system with a novel fin arrangement. Sustainability 2022, 14, 10982. [Google Scholar] [CrossRef]
  21. Adhikari, R.; Beyragh, D.; Pahlevani, M.; Wood, D. A numerical and experimental study of a novel heat sink design for natural convection cooling of LED grow lights. Energies 2020, 13, 4046. [Google Scholar] [CrossRef]
  22. Unger, S.; Beyer, M.; Pietruske, H.; Szalinski, L.; Hampel, U. Natural convection heat transfer performance of additively manufactured tube bundle heat exchangers with novel fin design. Heat Mass Transf. 2021, 57, 1193–1203. [Google Scholar] [CrossRef]
  23. Krıshnayatra, G.; Tokas, S.; Kumar, R.; Zunaıd, M. Parametric study of natural convection showing effects of geometry, number and orientation of fins on a finned tube system: A numerical approach. J. Therm. Eng. 2022, 8, 268–285. [Google Scholar] [CrossRef]
  24. Altun, A.H.; Ziylan, O. Experimental investigation of the effects of horizontally oriented vertical sinusoidal wavy fins on heat transfer performance in case of natural convection. Int. J. Heat Mass Transf. 2019, 139, 425–431. [Google Scholar] [CrossRef]
  25. Andrew, O.N.; Oyejide, J.O. Comparative Analysis of Free Natural Convection Heat Transfer on Rectangular and Triangular Fins with and without Perforation. Eur. J. Eng. Technol. Res. 2018, 3, 60–64. [Google Scholar] [CrossRef]
  26. Bunjaku, F. Optimisation of Geometrical and Thermal Parameters of Heat Transfer Finned Surfaces in Natural Convection Conditions. Ph.D. Thesis, Ss. Cyril and Methodius University, Skopje, North Macedonia, 2018. [Google Scholar]
Figure 2. The model of a tube with rectangular fins.
Figure 2. The model of a tube with rectangular fins.
Processes 13 03256 g002
Figure 3. Profile of the triangular fin.
Figure 3. Profile of the triangular fin.
Processes 13 03256 g003
Figure 4. Model of a tube with triangular fins.
Figure 4. Model of a tube with triangular fins.
Processes 13 03256 g004
Figure 5. Structured computational mesh for (a) rectangular fin configuration and (b) triangular fin configuration.
Figure 5. Structured computational mesh for (a) rectangular fin configuration and (b) triangular fin configuration.
Processes 13 03256 g005
Figure 6. The dependence of heat flux on the thickness of finned elements with rectangular fins.
Figure 6. The dependence of heat flux on the thickness of finned elements with rectangular fins.
Processes 13 03256 g006
Figure 7. Temperature profiles of an annular tube with rectangular fins of steel material.
Figure 7. Temperature profiles of an annular tube with rectangular fins of steel material.
Processes 13 03256 g007
Figure 8. Comparison of the analytical and numerical results for heat flux through a finned tube made of steel material with rectangular fins.
Figure 8. Comparison of the analytical and numerical results for heat flux through a finned tube made of steel material with rectangular fins.
Processes 13 03256 g008
Figure 9. Thermal fluxes characteristic for triangular fins (n = 10).
Figure 9. Thermal fluxes characteristic for triangular fins (n = 10).
Processes 13 03256 g009
Figure 10. Temperature profile in annular tube by triangular fin of steel material.
Figure 10. Temperature profile in annular tube by triangular fin of steel material.
Processes 13 03256 g010
Figure 11. Comparison of the analytical and numerical results for heat flux through a finned tube made of steel material with triangular fins.
Figure 11. Comparison of the analytical and numerical results for heat flux through a finned tube made of steel material with triangular fins.
Processes 13 03256 g011
Figure 12. Total fluxes of the rectangular and triangular finned systems.
Figure 12. Total fluxes of the rectangular and triangular finned systems.
Processes 13 03256 g012
Table 1. Grid independence study results.
Table 1. Grid independence study results.
RectangularTriangular
Dimension [mm]Number of NodesNumber of ElementsTemperature Range [K]DimensionNumber of NodesNumber of ElementsTemperature Range [K]
0.5 × 2516,5248500329.96–353.150.5 × 2515,8508575318.95–353.15
1 × 12.513,8067192348.62–353.151 × 12.512,9346954345.98–353.15
2 × 6.2511,1365670352.32–353.152 × 6.2510,6605760352.12–353.15
3 × 4.1712,4627260352.79–353.153 × 4.1796855824352.40–353.15
4 × 3.1311,2646930352.93–353.154 × 3.1381924914352.55–353.15
Table 2. Data for analysis models.
Table 2. Data for analysis models.
Geometrical and Thermal ParametersValue
n—number of fins 10
k—thermal conductivity59 W/mK
h—heat transfer coefficient 25 W/m2K
L—Length of the tube0.1 m
Sr—cross-section area of the rectangular profile1.25 × 10−5 m2
St—cross-section area of the triangular profile0.625 × 10−5 m2
d—diameter of the tube0.025 m
θ—temperature difference60 °C
Table 3. Analytical and numerical values for annular tube with rectangular fins.
Table 3. Analytical and numerical values for annular tube with rectangular fins.
RectangularOuter Diameter of the Tube is d = 25 mm and Tube Length is L = 100 mm, Steel (k = 59 W/mK; h = 25 W/m2K)
Sr = 0.0000125 m2Heat Flux in the Wall of the Tube Q [W]Discrepancy Num./Anal. [%]Heat Flux in the Wall of the Fins Q [W]Discrepancy Num./Anal. [%]Total Heat Flux Q [W]Discrepancy Num./Anal. [%]
Nr.10 Fins with dim. [mm]Anal.Num.Anal.Num.Anal.Num.
10.5 × 2511.03011.009−0.191%56.67055.369−2.350%67.70266.380−1.992%
21 × 12.510.28110.265−0.159%37.23936.926−0.848%47.52047.190−0.699%
32 × 6.258.7818.768−0.148%21.59021.6400.231%30.37130.4100.128%
43 × 4.177.2817.261−0.275%16.94917.1961.436%24.23024.4570.928%
54 × 3.135.7815.745−0.630%15.34615.8233.015%21.12721.5632.022%
Table 4. Analytical and numerical values for annular tube with triangular fins.
Table 4. Analytical and numerical values for annular tube with triangular fins.
TriangularOuter Diameter of the Tube is d = 25 mm and Length of the Tube is L = 100 mm, Steel (k = 59 W/mK; h = 25 W/m2K)
St = 0.00000625 m2Heat Flux in the Wall of the Tube Q [W]Discrepancy Num./Anal. [%]Heat Flux in the Wall of the Fins Q [W]Discrepancy Num./Anal. [%]Total Heat Flux Q [W]Discrepancy Num./Anal. [%]
Nr.10 Fins with dim. [mm]Anal.Num.Anal.Num.Anal.Num.
10.5 × 2511.03011.009−0.191%51.53049.662−3.761%62.56061.490−1.740%
21 × 12.510.28110.265−0.159%35.22034.600−1.792%45.50045.252−0.548%
32 × 6.258.7818.768−0.148%18.59618.8301.243%27.37727.6671.048%
43 × 4.177.2817.261−0.275%12.47013.4907.561%19.75020.7504.819%
54 × 3.135.7815.745−0.630%9.36511.46018.28%15.14617.20011.942%
Disclaimer/Publisher’s Note: The statements, opinions and data contained in all publications are solely those of the individual author(s) and contributor(s) and not of MDPI and/or the editor(s). MDPI and/or the editor(s) disclaim responsibility for any injury to people or property resulting from any ideas, methods, instructions or products referred to in the content.

Share and Cite

MDPI and ACS Style

Bunjaku, F.; Buza, K.; Filkoski, R.V. Comparative Analysis of Thermal Performance and Geometric Characteristics of Tubes with Rectangular and Triangular Fins. Processes 2025, 13, 3256. https://doi.org/10.3390/pr13103256

AMA Style

Bunjaku F, Buza K, Filkoski RV. Comparative Analysis of Thermal Performance and Geometric Characteristics of Tubes with Rectangular and Triangular Fins. Processes. 2025; 13(10):3256. https://doi.org/10.3390/pr13103256

Chicago/Turabian Style

Bunjaku, Florent, Kastriot Buza, and Risto V. Filkoski. 2025. "Comparative Analysis of Thermal Performance and Geometric Characteristics of Tubes with Rectangular and Triangular Fins" Processes 13, no. 10: 3256. https://doi.org/10.3390/pr13103256

APA Style

Bunjaku, F., Buza, K., & Filkoski, R. V. (2025). Comparative Analysis of Thermal Performance and Geometric Characteristics of Tubes with Rectangular and Triangular Fins. Processes, 13(10), 3256. https://doi.org/10.3390/pr13103256

Note that from the first issue of 2016, this journal uses article numbers instead of page numbers. See further details here.

Article Metrics

Back to TopTop