Next Article in Journal
Life Cycle Assessment of a Cu/Fe-Pillared Clay Catalyzed Photo-Fenton Process for Paracetamol Removal
Previous Article in Journal
Integrating Acheta domesticus into Cocoa Cream Products: Nutritional Enhancement and Impact on Technological Properties
 
 
Font Type:
Arial Georgia Verdana
Font Size:
Aa Aa Aa
Line Spacing:
Column Width:
Background:
Article

Stability Boundary Analysis and Design Considerations for Power Hardware-in-the-Loop Simulations of Grid-Following Inverters Under Weak and Stiff Grids

by
Nancy Visairo-Cruz
,
Juan Segundo Ramirez
*,
Ciro Nuñez-Gutierrez
,
Yuniel León Ruiz
and
Diego Mauricio Gómez Cabriales
Center for Research and Graduate Studies, Universidad Autónoma de San Luis Potosí, San Luis Potosí 78290, Mexico
*
Author to whom correspondence should be addressed.
Processes 2025, 13(10), 3163; https://doi.org/10.3390/pr13103163
Submission received: 19 August 2025 / Revised: 29 September 2025 / Accepted: 1 October 2025 / Published: 4 October 2025
(This article belongs to the Section Energy Systems)

Abstract

As stability is one of the most important property of any system, studying it is paramount when performing a power-hardware-in-the-loop simulation in an experimental setup. To guarantee the proper operation of such a system, a thorough understanding of the critical issues regarding the dynamics of the power amplifier, the real-time simulated system and the hardware under test is required. Thus, this paper provides a detailed analysis of the correct design of the real-time simulation modeling for the secure and reliable execution of power-hardware-in-the-loop simulations involving power electronic devices in an experimental setup. Specifically, the stability region of a power-hardware-in-the-loop simulation in an experimental AC microgrid setup involving two parallel three-phase grid-following inverters with LCL filters is studied. Through experimental testing, the stability boundaries of the power-hardware-in-the-loop simulation in the experimental setup is determined, demonstrating a direct relationship between the short-circuit ratio of the utility grid and the cutoff frequency of the feedback current filter. Experimental evidence confirms the capability of the AC microgrid setup to achieve smooth transitions between diverse operating conditions and determine stability boundaries with parameter variations. This research provides practical design guidelines for modeling and the real-time simulation to ensure stability in the power-hardware-in-the-loop simulations in experimental setups involving actual grid-following inverters, specifically using an Opal-RT platform with a voltage-source ideal transformer model and parameter variations in the short-circuit ratio from 2 to 20, the line impedance ratio X / R from 7 to 10, and the feedback-current-filter cutoff frequency from 100 to 1000 kHz.

1. Introduction

In recent years, microgrids have gained attention to enhance the resilience of the power grid [1], while also complementing conventional power systems through flexible operation and allowing off-grid electrification [2]. Understanding that energy demand has been consistently growing worldwide, microgrids are effective solutions for boosting the integration of renewable resources into the electric power system and supporting traditional generation resources to maintain a continuous supply most times. There are two operating modes for a microgrid, (1) island configuration and (2) grid-connected structure, each with its own specific requirements. The general control scheme for the correct functioning of the system in each case is different, and this fact increases the complexity of the power system operation. In addition, in certain cases, the power electronic inverter should provide some ancillary services as one of the core components, such as (1) inertia emulation, (2) power oscillation damping, and (3) unbalance compensation [3].
Furthermore, the number of microgrids has been continuously increasing, making the electrical power system more complex. The complexity of such infrastructures is considerable when they are interconnected, through sophisticated communication protocols required to deliver sustainable and secure renewable resources at an affordable price [4]. In addition, modeling AC microgrids is a challenge when they are included as an asset in the analysis of an electrical power system, considering that their testing systems need to be as realistic as possible. Therefore, there are several critical aspects that the power electronics designer must consider before deploying in an actual facility. In this way, studying the behavior of the inverter-based generation resources and their controllers is crucial.
In pursuit of this, test systems are generally characterized by three essential properties: (1) test coverage, (2) fidelity, and (3) cost. Assessment of microgrids using professional software such as MATLAB R2022A, PSIM v21.1, and PSCAD V50 provides an effective tool; however, model accuracy and long simulation times can become limiting factors in several applications. True fidelity can only be attained when analytical and experimental studies are ultimately validated in the actual full-scale system. Nevertheless, test coverage remains constrained due to the risks posed to real components. In this context, the Power-Hardware-in-the-Loop (PHIL) simulations in experimental setups remains a valuable tool for the present and the near future [4,5,6,7,8]. PHIL simulation in an experimental setup is described as an advanced closed-loop technique in which the hardware under test (HUT) is coupled with a real-time simulated model. The main parts of a PHIL simulation in an experimental setup are the HUT, the power interface (also known as the power amplifier), and the real-time simulator (RTS). The success of an analysis of a PHIL simulation in an experimental setup involves several challenges, such as the stability of the interface algorithm (IA), the accuracy, and the bandwidth.
Thus, different strategies have been adopted to analyze these challenges in the context of a PHIL simulation in an experimental setup. The authors in [8,9] focus on examining accurate and stable real-time simulations of integrated power electronic devices and power systems, presenting analytical stability that ensures safe operation of the whole system. It presents an in-depth dissertation of different interface algorithms for PHIL simulation emphasizing numerical stability and accuracy. The documents introduce the Multirate Partitioning (MRP) interface algorithm, which uses multiple time steps for the real-time simulated subsystems, depending on proximity to the power amplifier. Compared to single rate methods, the MRP interface proves to be a promising solution to enhance accuracy, even during transients. Unlike the switched power amplifier that is studied in this paper, the experimental setup in [8,9] includes multiple linear power amplifiers to validate the fidelity of the PHIL simulation waveforms, with time steps ranging between 1 μ s and 50 μ s .
The paper in [10] presents a stability analysis varying the total time delay and the cutoff frequency of the low-pass filter. It shows that the cutoff frequency and the ideal transformer model (ITM) interface algorithm are crucial to preserve the stability of the PHIL simulation, considering an RL circuit as the HUT. Instead, in this paper, the experimental stability analysis is focused on variations of the short-circuit ratio and the line impedance ratio X / R in order to select the correct feedback-current-filter cutoff frequency when evaluating weak and stiff utility grids. Reference [11] addresses the stability considering an open-loop VSI power amplifier without an output filter and uses a DSP for the real-time simulation modeling of a synchronous machine, with an RL load as the HUT. It studies stability boundaries with parameter variations of the RL load and the X / R ratio of the synchronous machine. This paper is devoted to evaluate the performance of its proposed power amplifier and the real-time digital modeling, and it does not includes power electronics in the HUT. For nonlinear behaviors, in [12], it is recommended to integrate the ideal transformer model (ITM) and the partial circuit duplication (PCD) interface algorithms, thereby the damping impedance method (DIM) interface algorithm provides both high stability and good accuracy, as long as the damping impedance is close to the actual impedance of the HUT for a RL circuit and a diode rectifier. This paper explores the V-ITM method for evaluating actual parallel three-phase grid-following inverters, according the study presented in [12].
The work in [13] studies a PHIL simulation in an experimental setup that includes both linear and switched power amplifiers to test a commercial on-board charger. This configuration provides sufficient flexibility to build within an RTDS both a battery emulator (BE) for the DC side and a grid emulator (GE) for the ac side, using the RSCAD interface. The GE uses a 900 W A.E. Techron linear power amplifier to reproduce grid voltages/current at the HUT terminals. On the BE path, a bidirectional switch-mode power amplifier emulates lithium-ion battery behavior. Although the authors carried out a stability analysis for specific values of the device under test impedance ( Z D U T ), the proposal lacks a broader bandwidth for the equivalent grid impedance.
The proposal in [14] develops a stability analysis considering the voltage-source ITM interface algorithm and an RTDS NovaCor platform digitally linked to the power amplifiers via the AURORA optical-fiber protocol. Two types of four-quadrant power amplifier are considered using a resistive load as the HUT in a first scenario, and a three-phase photovoltaic (PV) inverter in a second scenario. Stability analysis is addressed on the basis of the two power amplifiers, and it is demonstrated that a basic approach to guarantee stability is feedback current filtering. Based on open-loop discrete-time impedance frequency response, the method in [15] can be used to determine (without calculating closed-loop transfer function) if a closed-loop system will be stable and to find out which factor will have a dominant effect on stability. Despite the contributions of the works in [14,15], the experimental boundaries of the feedback current filter are not investigated.
In general, to fulfill the requirements of PHIL simulations in experimental setups, the RTS is expected to be accurate enough to reproduce the voltages and currents of the HUT (physical system) within a predefined time step. In this context, a PHIL simulation in an experimental setup is preferably suitable for performing a large number of tests in various industrial fields. For example, one application of the real-time simulation is the realistic representation of flexible alternating current transmission systems (FACTS), which is required for the optimal tuning of the controller parameters, leading to fewer issues at the commissioning stage. An industrial practice among FACTS manufacturers is the use of RTS for dynamic performance evaluation and factory acceptance tests (FAT) [5]. A specific application in the field of AC microgrids is the PHIL simulation in an experimental setup described in [1], where this concept was used to develop several projects, including grid-forming inverters.
The design of a PHIL simulation in an experimental setup lies in the IA, which is selected according to the software and hardware setup. IAs have been extensively examined in the past; some commonly used methods include: (1) the ideal transformer model (ITM), (2) partial circuit duplication (PCD), and (3) the damping impedance method (DIM) [16]. Different techniques emerge in the literature to maximize the accuracy of a PHIL simulation, such as (1) feedback control, (2) feedback current filtering, (3) phase compensation, and (4) impedance matching [17]. However, when designing an optimal interface algorithm for an AC microgrid test bench, it is also important to consider the operating mode of the inverters, i.e., grid-following or grid-forming modes; therefore, it is recommended to identify the components of the PHIL simulation in the experimental setup and establish the strategy to ensure stability.
The grid-following inverter tends to achieve better performance when using the voltage-source version of the ITM [18,19]. The source version ITM is based on the variable to be controlled. Therefore, in the grid-following mode, the main variable to be controlled is the output current, and the active and reactive powers are only used to build the reference signals in the dq frame. Through this technique, the inverter behaves as a current source that is independent on the voltage applied at the PCC, which is controlled by the power amplifier when using the voltage-source ITM interface algorithm. Unlike the grid-following inverter, the grid-forming inverter is intended to track the voltage at the PCC, and under this scenario the power amplifier should be modeled as a current type interface algorithm. Another method for the grid-forming inverters is considered in [20], where the PCD is used as the IA with a real-time simulated model of the physical devices. Thus, the HUT modeling represents one of the more critical issues. Recently, in [21], a new PHIL interface strategy was adopted to enhance the stability of the closed-loop system in the context of a grid-forming inverter for a microgrid setup.
In our laboratory, a PHIL simulation in an experimental setup has been commissioned to study the operation of modern electric power systems with power electronic devices. In this particular case, the performance of an AC microgrid test bench with two parallel grid-following inverters is evaluated. The success of the PHIL simulation in an experimental setup depends on the right selection of the interface algorithm for the interconnection between the software and hardware involved in the PHIL simulation and the right real-time simulation modeling. The study focuses on exploring the stability region of the AC microgrid while taking into account the necessary accuracy and bandwidth to ensure a safe PHIL simulation. This paper demonstrates that the stability of the entire AC microgrid can be compromised by uncontrolled changes in the utility grid and that stability is sensitive to the bandwidth of the feedback current filter. Thus, the main contributions of this paper are:
  • Through experimental testing, the stability boundaries for the PHIL simulation in the experimental setup for an AC microgrid is determined, demonstrating a direct relationship between the utility-grid short-circuit ratio and the feedback-current-filter cutoff frequency.
  • As well, this paper provides a thorough discussion of the correct design of the three real-time simulation subsystems for running secure and reliable PHIL simulations in an experimental setup involving power electronic devices.
Then, some guidelines for modeling and real-time simulation using a Opal-RT platform are established to guarantee a successful PHIL simulation in an experimental AC microgrid setup.
The paper is structured as follows. Section 2 describes the AC microgrid under study and specifies the real-time simulation modeling for the utility grid. Section 3 presents the real-time simulation modeling related to the interconnection process. Section 4 describes the three subsystems involved in the real-time simulation modeling and the parameters necessary to run the PHIL simulation in an experimental setup. Section 5 is dedicated to exploring the stability region by varying three parameters of the AC microgrid. Two case studies are developed to obtain crucial guidelines to ensure a successful PHIL simulation in an experimental setup. Section 6 focuses on the findings about the real-time simulation modeling and stability boundary of the PHIL simulation in the experimental setup of the AC microgrid, and a selection of state-of-the-art articles is shown in a table that includes the main issues addressed in this paper to achieve successful experiments. Finally, the conclusions are given in Section 7.

2. AC Microgrid Test Bench Description

Figure 1 describes the AC microgrid under study, which consists of two parallel three-phase grid-following inverters connected to the utility grid through LCL filters at the point of common coupling (PCC). The test bench consists of two sections, hardware and software. The first one involves the hardware under test and three blocks for the interconnection process. The other section consists of two simulation model blocks, the Utility-Grid model and the SS_Control block. The hardware consists of the following elements: (1) Imperix PEB8024 power (Imperix ltd., Sion, Switzerland) electronics modules to build the two inverters, (2) a set of breakers B k for the interconnection process, with k { 0 , 1 , 2 } , and (3) a DC power source 62050H-600 (Chroma ATE Inc., Taoyuan, Taiwan) to provide v d c 1 and v d c 2 . The DC voltage v d c 1 represents a renewable source provided by a photovoltaic system, and the DC voltage v d c 2 is considered to be a battery energy storage system. The operation of the inverters in grid-following mode requires the following analog signals: three voltages v s x and six currents i s x j sensed by the Imperix DIN-800V and DIN-50A modules (Imperix ltd., Sion, Switzerland), respectively; and two voltages v d c j measured by the sensors hosted in the PEB8024 modules driven by fiber-optic signals, where x { a , b , c } and j { 1 , 2 } . The Interface (Imperix) block is designed to receive analog signals from sensors. This interface can handle up to 16 analog inputs and 16 digital input/output channels. The OP8110 (OPAL-RT Technologies, Inc., Montreal, Quebec, Canada) power amplifier is used to interconnect power signals between the HUT and the real-time simulated model of the utility grid. The Host PC block is used to prepare the interconnection process. The simulation model section is in the RTS OP4510 (OPAL-RT Technologies, Inc., Montreal, Quebec, Canada). The real-time simulated model of the utility grid is hosted in Core 1, and the control system for power electronic devices (SS_Control) in Core 2.
Given that the utility grid can be represented by an equivalent Thévenin model, the simplified structure is defined by the source v g x , with x { a , b , c } , and the same impedance Z g in the three phases, calculated using the short-circuit ratio ( S C R ) and the line impedance ratio X / R :
Z g = V LL PCC 2 S N PCC S C R ( cos ( θ ) + j sin ( θ ) ) ,
θ = tan 1 ( X / R ) ,
where V LL PCC is the line-to-line rms voltage at PCC, and S N PCC is the nominal power in VA at PCC. In addition, the ideal voltage transformer method (V-ITM) is proposed to link the two subsystems. Through this method, the power amplifier is set to function as a voltage-controlled source, where the reference setpoint, v g x * , is measured at the terminals of R p . The SFP (Small Form Factor Pluggable) transceivers are used for the generic Aurora protocol developed by Xilinx (Corporate Headquarters. Xilinx, Inc., San Jose, CA USA), and are required to send the reference and collect the feedback signals from the power amplifier OP8110 to the real-time simulator OP4510.

3. Real-Time Simulation Modeling Overview

The AC microgrid setup includes physical and simulation components. Figure 2 describes a simplified version of the system to address the modeling of the test bench and the V-ITM. The schematic shows only one phase of the system, and the HUT is reduced to an equivalent Thévenin model. The voltage source v g x and the impedance Z g represent the equivalent electric circuit of the utility grid, defined by specific S C R and X / R values. This representation is suitable for stability analysis, which is required to establish the operating limits of the AC microgrid. The resistance R p is the element where the voltage v g x * is sensed, which is the setpoint to be reproduced by the OP8110 power amplifier. The value of R p is sufficiently high that its current can be considered zero. Because of this, the current i g x , supplied by the grid, slightly deviates from the feedback current i ^ g x . Additionally, a feedback current filter G I ( s ) is added to the feedback loop to preserve the stability of the whole system, given by
G I ( s ) = 1 T f b s + 1 ,
where T f b = 1 2 π f f b , with f f b a parameter to be determined. Defining the transfer function G I ( s ) involves the mismatch between the current i s x , with x { a , b , c } , flowing through the HUT and the simulated one i ^ g x . Thus, an important consideration when configuring a PHIL simulation in an experimental setup includes the inherent error introduced by the IA, and minimizing this error improves its precision. The power amplifier is modeled through the transfer function G V ( s ) :
G V ( s ) = 1 T b w s + 1 e s ( T rts + T OP 8110 ) ,
where T b w = 1 2 π f b w , with f b w = 10 kHz . The parameter T rts = 20 μ s represents the real-time simulation time step, and T OP 8110 = 8 μ s corresponds to the inherent delay of the OP8110 power amplifier. G V ( s ) captures the dynamic of this component, which is required to apply the voltage v s x to the HUT. The impedance Z L along with v L models the HUT.
One of the key aspects of the experimental setup is to determine the appropriate constant T f b to ensure stable operation of the AC microgrid. Thus, the stability of the PHIL simulation in the experimental setup is addressed through an experimental perspective. In Figure 3 is shown the block diagram of the one-line circuit of the AC microgrid. As illustrated, identifying the equivalent HUT model Z L is crucial to address stability analysis. From Figure 3, the open loop transfer function is obtained as
F OL ( s ) = G V ( s ) Z g ( s ) Z L ( s ) G I ( s ) .
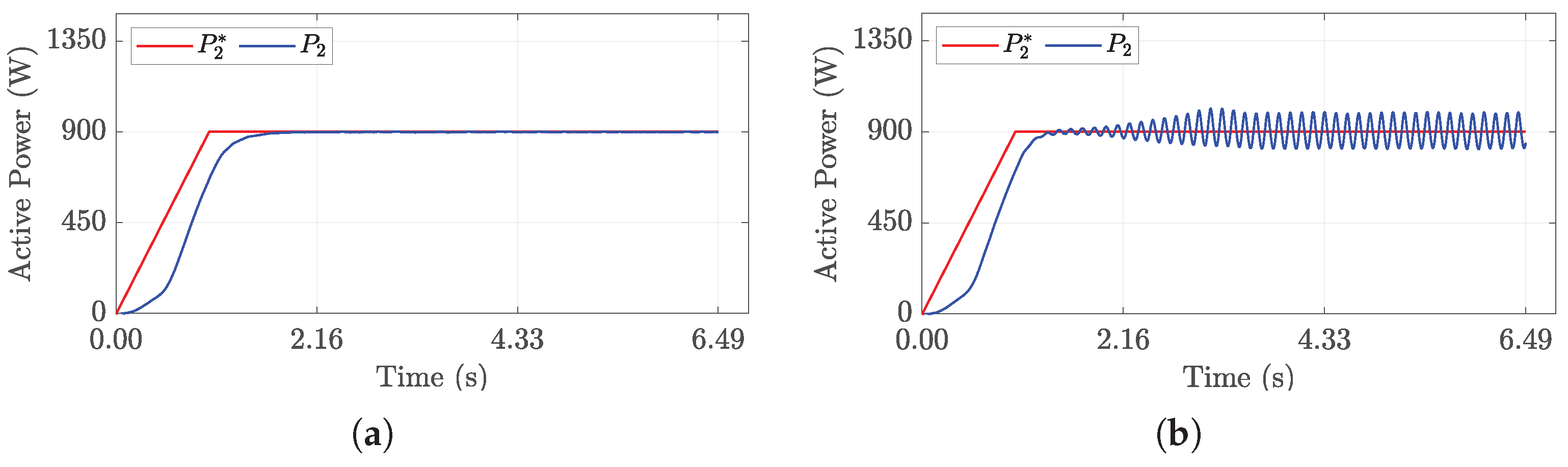
Thus, modifying the parameters of G I ( s ) directly impacts the frequency response of F OL ( s ) . To determine T f b , a frequency sweep from 100 Hz to 1 kHz is proposed, which is a decade below bandwidth of the power amplifier, which is 10 kHz. This performance evaluation of the AC microgrid is of great importance, since a slight variation in one of its parameters could lead to large oscillations if it is not well characterized. As an example, Figure 4 shows the behavior of Inverter 2 when increasing the parameter L T j of the control system presented in Figure 5 by 33% over its nominal value, with a feedback current filter G I adjusted to a cutoff frequency of f f b = 1 kHz . This parameter L T j corresponds to the sum of inductances L f j and L s j , presented in Figure 1. As seen in Figure 4a, the output power reaches the reference command of 900 W as expected, which confirms the correct controller tuning in the PHIL simulation in the experiment setup with the chosen feedback current filter. In contrast, Figure 4b shows active power oscillations, which are significantly higher compared to the previous case. Note that this signal is collected in real time using the RT-LAB model, with a decimation factor of 100 and a nominal time step of T s = 20 μ s .

4. Real-Time Simulated Model

The real-time simulation modeling involves the design of three subsystems using RT-LAB, Simulink, and Simscape toolboxes, as shown in Figure 6:
  • V-ITM and utility grid model (SM_PHIL).
  • Control system of the two parallel three-phase grid-following inverters (SS_Control).
  • Console subsystem (SC_GUI).
Figure 5. Control block of Figure 8.
Figure 5. Control block of Figure 8.
Processes 13 03163 g005
Figure 6. Subsystems of the real-time simulation model.
Figure 6. Subsystems of the real-time simulation model.
Processes 13 03163 g006
Building these subsystems leads to the use of a special naming convention. When the code is executed in real time, the prefixes “SM_” or “SS_” must be included in the names of the simulation subsystems, respectively. Although only one “SM_” subsystem is mandatory in every RT-LAB project, the recommendation is to separate the code into different CPU cores to avoid overruns. For this purpose, the execution of the real-time simulated model is divided into two subsystems, using the “SM_” and “SS_” prefixes. Likewise, “SC_” is preferred for subsystems running on the host PC, which communicates asynchronously with the real-time model.

4.1. V-ITM and Utility Grid Model (SM_PHIL)

Figure 7 shows the V-ITM and the utility grid model divided into two sections: Inputs and Grid, respectively. PCC voltage settings are enabled by gathering the host PC inputs asynchronously. The OpComm block serves as a real-time communication link and is dedicated to processing the inputs of each subsystem in the model before they are used in the real-time simulation.
After selecting the V-ITM method, a flexible model is designed to determine the appropriate value of T f b . The utility grid model is also adapted to vary the SCR from 1 to 20, considering the entire operating range. For this purpose, a set of twelve series utility-grid impedance is added to test different SCR values. In this way, only one impedance is connected and the others are short-circuited closing their parallel switches, as shown in the block “Grid Impedance” in Figure 7.

4.2. Control System for the Two Parallel Three-Phase Grid-Following Inverters (SS_Control)

The computational burden of a given code section determines the limits of real-time simulation. A common phenomenon is known as overrun, which occurs when the simulator requires more computation time than the duration defined by the nominal time step. In such situations, it is recommended to ensure execution within a single time step by running code on separate cores. In this regard, the inverter control system is allocated to a different core of the OP4510 than the one corresponding to the utility grid model. As illustrated in Figure 8, the five “OpInput” blocks acquire the analog inputs from the sensors. The digital outputs needed to control the two inverters are defined through eight “OpOutput” blocks. Both the switching frequency and the duty cycle are essential for producing the PWM signals. The duty cycle d x j depends on the control signal u x j , with x { a , b , c } and j { 1 , 2 } :
d x j = 1 2 + 1 2 u x j .
The control block of Figure 8 is implemented in the rotating reference dq frame, to provide the modulation indexes m d j and m q j , as shown in Figure 5. The control laws C I j are defined as traditional proportional-integral functions given by:
C I j ( s ) = K P j + K I j s .
where K P j and K I j for j { 1 , 2 } are constants to be determined for the proper operation of the two inverters.
Considering the active and reactive power in terms of the dq-frame variables [22],
P j = 3 2 V d I d j * + V q I q j * ,
Q j = 3 2 V d I q j * + V q I d j * ,
the reference values I d j * and I q j * are given by
I d j * = 2 3 P j V d + Q j V q V d 2 + V q 2 ,
I q j * = 2 3 P j V q Q j V d V d 2 + V q 2 ,
where P j and Q j with j { 1 , 2 } are the active and reactive powers respectively, V d and V q are the voltages in the dq frame of the PCC voltages v s x respectively, with x { a , b , c } . In Figure 5, the i d j and i q j are the output currents i s x in the reference dq frame, which are compared to the reference values I d j * and I q j * to generate the error signal.

4.3. Console Subsystem (SC_GUI)

Although the user interface is not crucial for the real-time simulation, it provides flexibility to configure the references of both the PHIL simulation and the control system subsections, and also allows visualization of the relevant signals concerning the test bench. Note that communication between this part of the model and the “SM_” or “SS_” subsystems occurs asynchronously, causing notable delays in the information received from the real-time execution. Transmitting a large amount of data leads to missing information, and to avoid this, it is important to adjust the decimation factor. This parameter defines the relationship between the simulation time step and the logging frequency, ensuring that the relevant data points are transmitted. Keeping this goal in mind, visualization can be gently refined to better understand the behavior of the main signals of the system.

5. PHIL Simulation in the Experimental AC Microgrid Setup

This section is dedicated to analyzing the performance of the AC microgrid in a PHIL simulation in an experimental setup for different operating conditions. For the experimental setup shown in Figure 9, the rated output power of each grid-following inverter is S j = 1.273 kVA for j = 1 , 2 , its DC bus is configured as a constant voltage of v d c j = 483 V , and the nominal voltage of the PCC is V PCC LL = 200 Vrms line to line. The parameters are described in Table 1.
To assess the performance of the PHIL simulation in the experimental AC microgrid setup, two experiments are analyzed:
1.
Performance for different generation conditions. For this experiment, consider the active and reactive power profiles of the two inverters, as described in Table 2, and a stiff grid with an S C R of 20.
2.
Stability analysis under parameter variations. In this experiment, the parameter of the feedback current filter f f b is evaluated from 0.1 to 1 kHz with variations of S C R from 2 to 20 and X / R values of 7 and 10. In these scenarios, the AC microgrid test bench is analyzed for multiple operating points.

5.1. Experiment 1. Performance for Different Generation Conditions

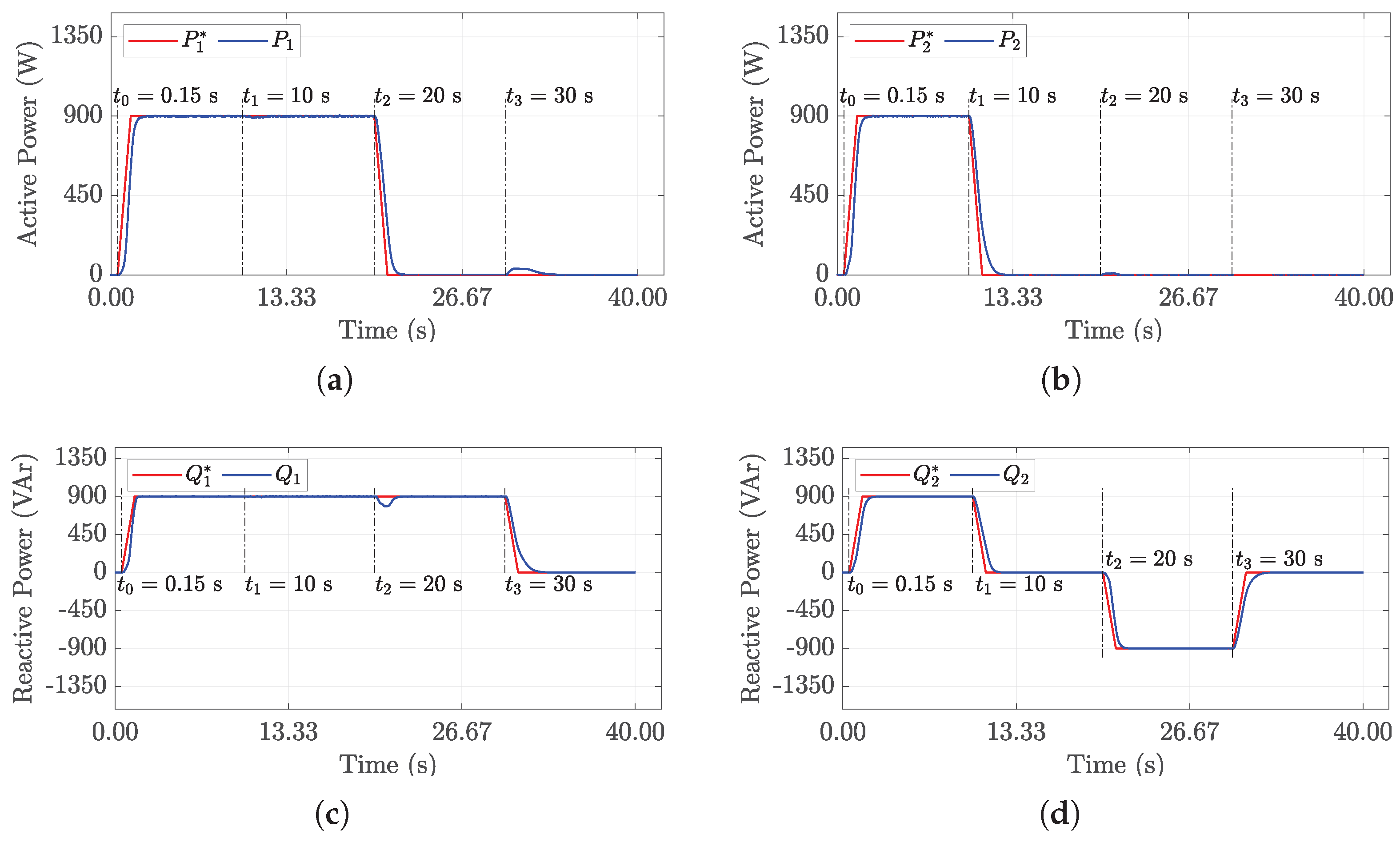
Figure 10 shows the active and reactive power responses of the two inverters operating under different generation conditions, according to Table 2.
Subplots Figure 10a,b show the active power P 1 and P 2 , and their reference signals P 1 * and P 2 * , respectively. Similarly, subplots Figure 10c,d show the reactive power responses Q 1 and Q 2 , and their references Q 1 * and Q 2 * , respectively. Note that both active and reactive powers are obtained from the real-time simulated model using Equations (12) and (1 3) and a first-order filter tuned to a cutoff frequency of 5 Hz . In addition, the decimation factor is configured to 100 and the time step is set to 20 μ s .
P ^ j = v s a i s a j + v s b i s b j + v s c i s c j ,
Q ^ j = 1 3 v s a i s b c j + v s b i s c a j + v s c i s a b j
where P ^ j and Q ^ j are the unfiltered active and reactive powers, i s b c j = i s b j i s c j , i s c a j = i s c j i s a j , and i s a b j = i s a j i s b j with j = 1 , 2 . As observed in Subplots Figure 10a,b, both inverters accurately track the active power references throughout the experimental test. The steady-state error is minimal, and the transient response is smooth with minimal overshoot, showing smooth transitions. The system reaches and maintains the desired power levels throughout all operating points, demonstrating the effectiveness of the control-system tuning.
In the case of reactive power shown in Subplots Figure 10c,d, the inverters also exhibit good tracking performance. Although a slight deviation from the reference is observed during operating point changes, the two inverters quickly achieve the reference signals. This indicates that the control system is capable of managing dynamic reactive power demands with high accuracy and that both inverters are easily configured to operate either as elements absorbing or injecting active and reactive power as needed.
Overall, the results confirm that a feedback current filter tuned to a cutoff frequency of 1 kHz , and a stiff grid configured with an SCR of 20, ensures a precise and stable operation of the PHIL simulation in the experimental AC microgrid setup for both active and reactive power regulation under varying profiles. To validate the performance of the PHIL simulation in the experimental AC microgrid setup under actual conditions, measurements were taken using two power quality instruments from the brand DRANETZ and the visualization tool Dran-View 6. The results are shown in Figure 11, Figure 12, Figure 13, and Figure 14, respectively. Subplots Figure 11a and Figure 13a show the measured active power responses P 1 and P 2 for the two inverters, respectively. As expected, the measured power closely tracks the expected behavior, reaching the peak value of approximately 0.9 kW and returning to values close to zero after the reference step is removed.
Reactive power measurements are shown in Subplots Figure 11b and Figure 13b. It can be seen that Inverter 1 provides a positive reactive power Q 1 throughout the experimental test, whereas Inverter 2 provides a reactive power Q 2 with transitions through positive and negative values, demonstrating the ability to absorb or inject reactive power as required.
Subplots Figure 12a and Figure 14a display the three-phase voltage waveforms at specific times during the experiment. These signals maintain sinusoidal profiles and balanced magnitudes, confirming operation at the rated voltage under the demanded power profiles. In addition, Subplots Figure 12b and Figure 14b show the currents at the PCC for each inverter, respectively, verifying the sinusoidal nature of these quantities. Such results validate the measurements presented in Figure 10 when implemented in the real-time simulated model.

5.2. Experiment 2. Stability Analysis Under Parameter Variations

One of the most important concepts in dynamic system performance is stability, which guarantees safe operation. Bearing in mind that the system comprises two parallel three-phase grid-following inverters as HUT components interconnected with the real-time simulated model of the utility grid, this section analyzes the stability boundaries of the PHIL simulation in the experimental AC microgrid setup by varying the short-circuit ratio S C R and the line impedance ratio X / R that characterize the utility grid, and the cutoff frequency of the feedback current filter. The range of values for the parameters of the utility grid was selected based on weak and stiff grids: a range of 1 to 20 for the SCR and two values, 7 and 10, for the X/R ratio. The cutoff frequency of the feedback current filter was considered to range from 100 to 1000 Hz.
To determine the stability boundaries for a single frequency, a flow diagram is presented in Figure 15. The S C R parameter is iterated over twenty values. Using the variable η , in each cycle the condition η < = 20 is verified. Once the testing procedure fails to meet this criteria, the variable ξ is incremented to further repeat the process for the next value of X / R .
Figure 16 shows the stability boundaries obtained from the PHIL simulation in the experimental AC microgrid setup. The abscissa axis corresponds to the S C R of the equivalent utility grid, while the ordinate axis represents the cutoff frequency f f b of the feedback current filter G I ( s ) . The stability region is identified in blue, where the operation of the system is safe for the corresponding S C R and cutoff frequency values.
Experiments with line impedance ratio X / R = 7 are compiled in Subplot Figure 16a. The results indicate that stability can be achieved for low S C R values as long as the cutoff frequency of the feedback current remains sufficiently low. Increasing the S C R allows the system to tolerate higher values of f f b , expanding the stable operating region. However, running the PHIL experiment beyond the blue region results in unstable behavior. Therefore, those values of f f b should be avoided.
Experimental results for X / R = 10 are presented in Subplot Figure 16b, representing a more inductive grid. In the interval from 5.6 to 7.6 of the S C R , the limit of the cutoff frequency is 300 Hz, reduced from 400 to 300 Hz compared to the previous case. This suggests that systems connected to more inductive grids exhibit a greater dependence on the feedback current filter design, particularly for medium and high S C R s. In addition, it supports the idea that stiff grids can accommodate higher bandwidths of the cutoff frequency without compromising the stability of the whole AC microgrid in the PHIL simulation tests. A clear trend emerges in both scenarios, as the S C R increases, the feedback current filter cutoff frequency can also increase while maintaining stability. Therefore, it is important to note that if the cutoff frequency increases beyond the stability region, the PHIL simulation will become unstable. This experimental analysis highlights the need for careful selection of the feedback current filter according to the specific S C R of the utility grid.

6. Findings About the Real-Time Simulation Modeling and Stability Boundary

The experimental results provide valuable information on the stability limits of the PHIL simulation in the experimental AC microgrid setup using an OP8110 power amplifier under different operating conditions. In Experiment 1, the tracking of both active and reactive power references highlights the effectiveness of the control system in handling smooth transitions through several generation dispatches. The smooth transitions confirm that the current control strategy adopted ensures the reliable performance of the grid-following inverters when operating under stiff grid conditions. Although this condition demonstrates the capability of the PHIL simulation in the experimental setup to operate as expected with a feedback current filter of 1 kHz, it does not provide further information on the S C R limits for the same scenarios. However, it is worth highlighting that these results are consistent with previous findings in the literature, where voltage-source ITM has been reported as a preferable interface method for grid-following converters.
In Experiment 2, the stability boundaries reveal a strong dependence on the feedback-current-filter cutoff frequency and the short-circuit ratio of the equivalent electric circuit of the utility grid. For low S C R values, the system preserves stability only at relatively low cutoff frequencies, whereas higher S C R values allow for broader bandwidths without compromising stability. This behavior aligns with expectations from the literature, since weak grids exacerbate the equivalent impedance of the utility grid, requiring Z g / Z L ratios above unity and therefore imposing tighter control bandwidth limitations. Even in the presence of uncertainty in the impedance value of Z L , a relevant observation is that the lower the grid impedance, the higher the value of Z L should be. Within the scope of this work, the calculation of this parameter is not addressed; instead, a practical stability margin analysis is performed. The observed difference between X / R ratios of 7 and 10 further confirms that inductive grids impose stricter stability constraints, which should be carefully considered during the design stage.
Overall, the findings highlight the importance of selecting an appropriate cutoff frequency for the feedback current filter according to the specific characteristics of the utility grid. Beyond validating the accuracy of the real-time simulated model, the results provide practical design guidelines for deploying PHIL simulations when inverter-based resources are considered as the HUT. Additionally, the results allow us to determine the stability boundaries of the PHIL simulation in the experimental AC microgrid setup with the OP8110 power amplifier. Of particular interest is the fact that parameter variations of the AC microgrid directly affect the stability regions. The experimental setup successfully replicates real operating conditions, which provides a reliable basis for future research on AC microgrid control.
Table 3 presents a selection of state-of-the-art articles on PHIL simulation in experimental setups, given some important characteristics such as the HUT, if a parametric variation was considered, the power level, the real-time digital simulator, the power amplifier and its interface algorithm, and the last column is about stability analysis. The last row incorporates the characteristics of the PHIL simulation in the experimental AC microgrid setup that address this paper to analyze the stability boundaries before parametric variations.
Although this article presents an analysis to determine the stability boundaries to parametric variations via experiments, the next step would be to consider an analytical study. Then, it becomes crucial to determine the equivalent electrical circuits of both the real-time simulated power systems and the HUT, specially when power electronic devices are involved. The switching, the bilinearity and the delay associated to the converters are behaviors that should be considered in these equivalent circuits.

7. Conclusions

This paper addresses some critical issues related to the PHIL simulation in an experimental setup when the HUT includes power electronic devices. In this particular case, a PHIL simulation in an AC-microgrid experimental setup with two parallel three-phase grid-following inverters is studied. This paper discusses the structure of the real-time simulated model that will be connected to the physical system. Knowing the specific operating modes of the two parallel grid-following inverters, the correct real-time simulation modeling can be selected for the PHIL simulation in the experimental setup. The paper exhibits in detail critical aspects of conceptualizing the modeling, considering the real-time digital simulator and the power amplifier types, and discusses them in depth. Thus, for this PHIL simulation in the experimental AC microgrid setup, the voltage-source ITM method was selected as the interface algorithm, and an equivalent Thévenin circuit, characterized by its X / R and the S C R , as the real-time simulated model of the utility grid. Two PHIL simulations in the experimental setup demonstrate that the careful design of the three real-time simulated subsystems enables analysis of performance aspects such as smooth transitions and stability regions when no controlled changes occur in the utility grid, carrying it from a weak grid to a rigid grid with short-circuit ratio variations from 2.6 to 20. Thus, this experimental analysis provides design guidelines for determining safe stability boundaries. Anther important issue is the selection of the coupling approach from the HUT to the real-time simulated model. In this work, a first-order feedback current filter with a bandwidth that depends on the short-circuit ratio of the utility grid is used. Selecting the cutoff frequency of the feedback current filter is other of the crucial issues for ensuring stability when running a PHIL simulation in an experimental setup. Thus, there is a direct relationship between the short-circuit ratio and the cutoff frequency of the feedback current filter. In general, this research provides practical design guidelines for ensuring stability in PHIL simulations in experimental setups involving actual grid-following inverters specifically. By identifying safe operating regions in terms of the short-circuit ratio and the feedback current filter bandwidth, the analysis contributes to reliably deploying and validating control strategies for inverter-based resources in AC microgrids with PHIL simulation in experimental setups.

Author Contributions

Conceptualization, J.S.R., Y.L.R. and N.V.-C.; methodology, J.S.R., Y.L.R., N.V.-C. and C.N.-G.; software, Y.L.R. and D.M.G.C.; validation, J.S.R., Y.L.R. and D.M.G.C.; formal analysis, N.V.-C., Y.L.R., J.S.R. and C.N.-G.; investigation, J.S.R., Y.L.R., N.V.-C., C.N.-G. and D.M.G.C.; resources, N.V.-C., J.S.R. and C.N.-G.; data curation, Y.L.R. and N.V.-C.; writing—original draft preparation, N.V.-C., Y.L.R., J.S.R. and C.N.-G.; writing—review and editing, N.V.-C., Y.L.R., J.S.R. and C.N.-G.; visualization, N.V.-C. and Y.L.R.; supervision, N.V.-C., Y.L.R., J.S.R. and C.N.-G.; project administration, N.V.-C., J.S.R. and C.N.-G.; funding acquisition, J.S.R. All authors have read and agreed to the published version of the manuscript.

Funding

This research was funded by Secretaría de Ciencia, Humanidades, Tecnología e Innovación (Secihti), grant number CF 2019/1311344.

Data Availability Statement

The data presented in this study are available on request from the corresponding author. The data are not publicly available due to privacy.

Conflicts of Interest

The authors declare no conflicts of interest.

References

  1. Pratt, A.; Prabakar, K.; Ganguly, S.; Tiwari, S. Power-Hardware-in-the-Loop Interfaces for Inverter-Based Microgrid Experiments Including Transitions. In Proceedings of the 2023 IEEE Energy Conversion Congress and Exposition (ECCE), Nashville, TN, USA, 29 October–2 November 2023; pp. 537–544. [Google Scholar] [CrossRef]
  2. Zaid, S.A.; Alatawi, K.S. Implementation of Fuzzy PID Controller to an Isolated Wind/Battery/Super Magnetic Energy Storage Power System. Processes 2025, 13, 515. [Google Scholar] [CrossRef]
  3. Rocabert, J.; Luna, A.; Blaabjerg, F.; Rodríguez, P. Control of Power Converters in AC Microgrids. IEEE Trans. Power Electron. 2012, 27, 4734–4749. [Google Scholar] [CrossRef]
  4. García-Martínez, E.; Sanz, J.F.; Muñoz-Cruzado, J.; Perié, J.M. A Review of PHIL Testing for Smart Grids—Selection Guide, Classification and Online Database Analysis. Electronics 2020, 9, 382. [Google Scholar] [CrossRef]
  5. Kotsampopoulos, P.; Georgilakis, P.; Lagos, D.T.; Kleftakis, V.; Hatziargyriou, N. FACTS Providing Grid Services: Applications and Testing. Energies 2019, 12, 2554. [Google Scholar] [CrossRef]
  6. Kikusato, H.; Ustun, T.S.; Suzuki, M.; Sugahara, S.; Hashimoto, J.; Otani, K.; Shirakawa, K.; Yabuki, R.; Watanabe, K.; Shimizu, T. Microgrid Controller Testing Using Power Hardware-in-the-Loop. Energies 2020, 13, 2044. [Google Scholar] [CrossRef]
  7. Ceceña, A.A. Power Hardware-in-the-Loop Interfacing of Grid-Forming Inverter for Microgrid Islanding Studies. In Proceedings of the 2023 IEEE Power & Energy Society Innovative Smart Grid Technologies Conference (ISGT), Washington, DC, USA, 16–19 January 2023; pp. 1–5. [Google Scholar] [CrossRef]
  8. Lauss, G.; Strunz, K. Accurate and Stable Hardware-in-the-Loop (HIL) Real-Time Simulation of Integrated Power Electronics and Power Systems. IEEE Trans. Power Electron. 2021, 36, 10920–10932. [Google Scholar] [CrossRef]
  9. Lauss, G.; Strunz, K. Multirate Partitioning Interface for Enhanced Stability of Power Hardware-in-the-Loop Real-Time Simulation. IEEE Trans. Ind. Electron. 2019, 66, 595–605. [Google Scholar] [CrossRef]
  10. Dargahi, M.; Ghosh, A.; Ledwich, G. Stability synthesis of power hardware-in-the-loop (PHIL) simulation. In Proceedings of the 2014 IEEE PES General Meeting|Conference & Exposition, National Harbor, MD, USA, 27–31 July 2014; pp. 1–5. [Google Scholar] [CrossRef]
  11. Upamanyu, K.; Narayanan, G. Improved Accuracy, Modeling, and Stability Analysis of Power-Hardware-in-Loop Simulation With Open-Loop Inverter as Power Amplifier. IEEE Trans. Ind. Electron. 2020, 67, 369–378. [Google Scholar] [CrossRef]
  12. Ren, W.; Steurer, M.; Baldwin, T.L. Improve the Stability and the Accuracy of Power Hardware-in-the-Loop Simulation by Selecting Appropriate Interface Algorithms. In Proceedings of the 2007 IEEE/IAS Industrial & Commercial Power Systems Technical Conference, Edmonton, AB, Canada, 6–11 May 2007; pp. 1–7. [Google Scholar] [CrossRef]
  13. Jayawardana, I.; Ho, C.N.M.; Zhang, Y. A Comprehensive Study and Validation of a Power-HIL Testbed for Evaluating Grid-Connected EV Chargers. IEEE J. Emerg. Sel. Top. Power Electron. 2022, 10, 2395–2407. [Google Scholar] [CrossRef]
  14. Resch, S.; Friedrich, J.; Wagner, T.; Mehlmann, G.; Luther, M. Stability Analysis of Power Hardware-in-the-Loop Simulations for Grid Applications. Electronics 2022, 11, 7. [Google Scholar] [CrossRef]
  15. Tremblay, O.; Fortin-Blanchette, H.; Gagnon, R.; Brissette, Y. Contribution to stability analysis of power hardware-in-the-loop simulators. IET Gener. Transm. Distrib. 2017, 11, 3073–3079. [Google Scholar] [CrossRef]
  16. Lauss, G.F.; Faruque, M.O.; Schoder, K.; Dufour, C.; Viehweider, A.; Langston, J. Characteristics and Design of Power Hardware-in-the-Loop Simulations for Electrical Power Systems. IEEE Trans. Ind. Electron. 2016, 63, 406–417. [Google Scholar] [CrossRef]
  17. Ainsworth, N.; Hariri, A.; Prabakar, K.; Pratt, A.; Baggu, M. Modeling and Compensation Design for a Power Hardware-in-the-Loop Simulation of an AC Distribution System. In Proceedings of the 2016 North American Power Symposium (NAPS), Denver, CO, USA, 18–20 September 2016; pp. 1–6. [Google Scholar] [CrossRef]
  18. Wang, J.; Lundstrom, B.; Mendoza, I.; Pratt, A. Systematic Characterization of Power Hardware-in-the-Loop Evaluation Platform Stability. In Proceedings of the 2019 IEEE Energy Conversion Congress and Exposition (ECCE), Baltimore, MD, USA, 29 September–3 October 2019; pp. 1068–1075. [Google Scholar] [CrossRef]
  19. Lundstrom, B.; Salapaka, M.V. Optimal Power Hardware-in-the-Loop Interfacing: Applying Modern Control for Design and Verification of High-Accuracy Interfaces. IEEE Trans. Ind. Electron. 2021, 68, 10388–10399. [Google Scholar] [CrossRef]
  20. Hernandez-Alvidrez, J.; Gurule, N.S.; Reno, M.J.; Flicker, J.D.; Summers, A.; Ellis, A. Method to Interface Grid-Forming Inverters into Power Hardware in the Loop Setups. In Proceedings of the 2020 47th IEEE Photovoltaic Specialists Conference (PVSC), Calgary, AB, Canada, 15 June–21 August 2020; pp. 1804–1810. [Google Scholar] [CrossRef]
  21. Chakraborty, S.; Park, J.; Saraswat, G.; Meyers, T.; Wang, J.; Tiwari, S.; Maqsood, A.; Somani, A.; Salapaka, M.V. Novel Power-Hardware-in-the-Loop Interface Method for Grid-Forming Inverter Systems. In Proceedings of the IECON 2022—48th Annual Conference of the IEEE Industrial Electronics Society, Brussels, Belgium, 17–20 October 2022; pp. 1–6. [Google Scholar] [CrossRef]
  22. Yazdani, A.; Iravani, R. Voltage-Sourced Converters in Power Systems: Modeling, Control, and Applications; Wiley: Hoboken, NJ, USA, 2010. [Google Scholar]
Figure 1. AC microgrid test bench.
Figure 1. AC microgrid test bench.
Processes 13 03163 g001
Figure 2. Simplified one-line diagram of the AC microgrid test bench.
Figure 2. Simplified one-line diagram of the AC microgrid test bench.
Processes 13 03163 g002
Figure 3. Block diagram of the simplified AC microgrid.
Figure 3. Block diagram of the simplified AC microgrid.
Processes 13 03163 g003
Figure 4. Active power behavior for a specific operating condition and parametric variations in the control system of the power electronic devices. (a) Nominal control system parameters. (b) Variation in one of the control system parameters.
Figure 4. Active power behavior for a specific operating condition and parametric variations in the control system of the power electronic devices. (a) Nominal control system parameters. (b) Variation in one of the control system parameters.
Processes 13 03163 g004
Figure 7. Equivalent grid and V-ITM model (SM_PHIL).
Figure 7. Equivalent grid and V-ITM model (SM_PHIL).
Processes 13 03163 g007
Figure 8. Subsystem for the control scheme of the power electronic inverters (SS_Control).
Figure 8. Subsystem for the control scheme of the power electronic inverters (SS_Control).
Processes 13 03163 g008
Figure 9. PHIL simulation in the experimental AC microgrid setup.
Figure 9. PHIL simulation in the experimental AC microgrid setup.
Processes 13 03163 g009
Figure 10. Active and reactive powers for Experiment 1, displayed in the real-time simulated model. (a) Reference and computed active power for Inverter 1. (b) Reference and computed active power for Inverter 2. (c) Reference and computed reactive power for Inverter 1. (d) Reference and computed reactive power for Inverter 2.
Figure 10. Active and reactive powers for Experiment 1, displayed in the real-time simulated model. (a) Reference and computed active power for Inverter 1. (b) Reference and computed active power for Inverter 2. (c) Reference and computed reactive power for Inverter 1. (d) Reference and computed reactive power for Inverter 2.
Processes 13 03163 g010
Figure 11. Measurements of the Inverter 1 with the Dranetz PowerGuia™440S power (Dranetz Technologies, Inc., Nueva Jersey, EE. UU) quality meter: (a) active power; (b) reactive power.
Figure 11. Measurements of the Inverter 1 with the Dranetz PowerGuia™440S power (Dranetz Technologies, Inc., Nueva Jersey, EE. UU) quality meter: (a) active power; (b) reactive power.
Processes 13 03163 g011
Figure 12. Measurements of the Inverter 1 with the Dranetz PowerGuia™440S power quality meter: (a) line-to-line voltages measured at the PCC; (b) line currents.
Figure 12. Measurements of the Inverter 1 with the Dranetz PowerGuia™440S power quality meter: (a) line-to-line voltages measured at the PCC; (b) line currents.
Processes 13 03163 g012
Figure 13. Measurements of the Inverter 2 with the Dranetz PowerGuia®4400 power quality meter: (a) active power; (b) reactive power.
Figure 13. Measurements of the Inverter 2 with the Dranetz PowerGuia®4400 power quality meter: (a) active power; (b) reactive power.
Processes 13 03163 g013aProcesses 13 03163 g013b
Figure 14. Measurements of the Inverter 2 with the Dranetz PowerGuia®4400 power quality meter: (a) line-to-line voltages measured at the PCC; (b) line currents.
Figure 14. Measurements of the Inverter 2 with the Dranetz PowerGuia®4400 power quality meter: (a) line-to-line voltages measured at the PCC; (b) line currents.
Processes 13 03163 g014
Figure 15. Flow diagram to determine the PHIL stability boundaries.
Figure 15. Flow diagram to determine the PHIL stability boundaries.
Processes 13 03163 g015
Figure 16. Stability region of the PHIL experiment for two different X/R ratios. (a) X/R = 7, (b) X/R = 10.
Figure 16. Stability region of the PHIL experiment for two different X/R ratios. (a) X/R = 7, (b) X/R = 10.
Processes 13 03163 g016
Table 1. Parameters of the AC microgrid test bench.
Table 1. Parameters of the AC microgrid test bench.
ParameterValueParameterValue
S j 1273 VA P j 900 W
Q j 900 VAr Fn 50 Hz
v d c 483 V V PCC LL 200 V
R f 1 193 m Ω R f 2 331 m Ω
L f 1 4.74 mH L f 2 3.33 mH
R s 1 41.34 m Ω R s 2 46.13 m Ω
L s 1 393 μ H L s 2 532.5 μ H
R C f 1 111.5 m Ω R C f 2 53 m Ω
C f 1 4.7 μ F C f 2 10 μ F
Time step ( T s ) 20 μ s f f b 0.1–1 kHz
K P 1 0.2047 K P 2 0.154
K I 1 6.7198 K I 2 9.0603
SCR 20 2.6 Numerical Integration method Fixed step Runge Kutta
Table 2. Active and reactive powers for the Experiment 1.
Table 2. Active and reactive powers for the Experiment 1.
k t k (s) P 1 (W) Q 1 (VAr) P 2 (W) Q 2 (VAr)
00.5900900900900
11090090000
22009000−900
3300000
Table 3. A selection of state-of-the-art articles on PHIL simulation on experimental setups.
Table 3. A selection of state-of-the-art articles on PHIL simulation on experimental setups.
PaperHUTParametric
Variation
Power
Level
Power
Interface
SimulatorInterface
Algorithm
Stability
Analysis
[8]Grid-connected
inverter
Time step &
Feedback Filter
4 kWLinear
amplifier
not specifiedSR, MRPNyquist
[10]Passive
load
Time step,
Feedback Filter &
load
not
specified
Switching
amplifier
RTDSV-ITM
I-ITM
Bode
diagram
[11]Passive
load
Load
discrete values
1 kWSwitching
amplifier
DSPV-ITMAnalytical
[12]Nonlinear
load
not
specified
not
specified
Switching
amplifier
RTDSSR
methods
Analytical
[13]Electric vehicle
charger
Different load
impedances
900 WLinear &
Switching amplifiers
RTDSV-ITMNyquist
[14]Grid-connected
Inverter
Feedback Filter
(two values)
7 kWLinear &
Switching amplifiers
NovacorV-ITMNyquist
[15]Distribution
system (model)
-2.5 MW--V-ITMNyquist
ProposedGrid-connected
inverter (microgrid)
Feedback Filter&
SCR sweep
1.27 kVASwitching
amplifier
Opal-RT
(OP4510)
V-ITMExperimental
Disclaimer/Publisher’s Note: The statements, opinions and data contained in all publications are solely those of the individual author(s) and contributor(s) and not of MDPI and/or the editor(s). MDPI and/or the editor(s) disclaim responsibility for any injury to people or property resulting from any ideas, methods, instructions or products referred to in the content.

Share and Cite

MDPI and ACS Style

Visairo-Cruz, N.; Segundo Ramirez, J.; Nuñez-Gutierrez, C.; León Ruiz, Y.; Gómez Cabriales, D.M. Stability Boundary Analysis and Design Considerations for Power Hardware-in-the-Loop Simulations of Grid-Following Inverters Under Weak and Stiff Grids. Processes 2025, 13, 3163. https://doi.org/10.3390/pr13103163

AMA Style

Visairo-Cruz N, Segundo Ramirez J, Nuñez-Gutierrez C, León Ruiz Y, Gómez Cabriales DM. Stability Boundary Analysis and Design Considerations for Power Hardware-in-the-Loop Simulations of Grid-Following Inverters Under Weak and Stiff Grids. Processes. 2025; 13(10):3163. https://doi.org/10.3390/pr13103163

Chicago/Turabian Style

Visairo-Cruz, Nancy, Juan Segundo Ramirez, Ciro Nuñez-Gutierrez, Yuniel León Ruiz, and Diego Mauricio Gómez Cabriales. 2025. "Stability Boundary Analysis and Design Considerations for Power Hardware-in-the-Loop Simulations of Grid-Following Inverters Under Weak and Stiff Grids" Processes 13, no. 10: 3163. https://doi.org/10.3390/pr13103163

APA Style

Visairo-Cruz, N., Segundo Ramirez, J., Nuñez-Gutierrez, C., León Ruiz, Y., & Gómez Cabriales, D. M. (2025). Stability Boundary Analysis and Design Considerations for Power Hardware-in-the-Loop Simulations of Grid-Following Inverters Under Weak and Stiff Grids. Processes, 13(10), 3163. https://doi.org/10.3390/pr13103163

Note that from the first issue of 2016, this journal uses article numbers instead of page numbers. See further details here.

Article Metrics

Back to TopTop