Next Article in Journal
Impact of Cementing Quality on Casing Strength Safety in Coalbed Methane Wells
Previous Article in Journal
Simulation-Based Optimization and Prevention Strategies for Underground Heat Hazards in Menkeqing Coal Mine
Previous Article in Special Issue
Safety Risk Management in China’s Power Engineering Construction: Insights and Countermeasures from the 14th Five-Year Plan
 
 
Font Type:
Arial Georgia Verdana
Font Size:
Aa Aa Aa
Line Spacing:
Column Width:
Background:
Article

Research on a New Replacement Strategy of Auxiliary Frequency Modulation Battery for Coal-Fired Unit

1
Zhengzhou Electric Power College, Zhengzhou 450004, China
2
College of Water Resources, North China University of Water Resources and Electric Power, Zhengzhou 450004, China
3
College of Civil and Architectural Engineering, North China University of Science and Technology, Tangshan 063210, China
*
Author to whom correspondence should be addressed.
Processes 2025, 13(10), 3123; https://doi.org/10.3390/pr13103123
Submission received: 31 August 2025 / Revised: 16 September 2025 / Accepted: 24 September 2025 / Published: 29 September 2025

Abstract

Auxiliary frequency modulation (FM) for coal-fired units has been recognized as a promising approach through multiple batteries, which is due to their rapid charging and discharging characteristics. However, long-period engineering application needs continuous optimization of operational strategies to resist the decay characteristics of the battery, which greatly increases the difficulty of promotion. Hence, two replacement strategies of the battery were first proposed in this work, and they are characterized by simple operation. To test their feasibility, a lead–acid battery was selected as one study example, and the corresponding relationship between the duration day and the replacement scheme was emphatically analyzed, according to the AGC instruction and the self-adjustment capacity of coal-fired units. Results showed that the replacement capacity of the battery is nearly linear in the duration day, while the difference from the discharge depth is negligible in this study. In addition, the capacity ratio of 1.3 to 5 is considered to have the best application potential because of the same duration days between old and new batteries. The commutative replacement can immortally extend the duration day, and obviously, the replacement process of old and new batteries always maintains that two battery groups work. Conclusively, the case analysis for two replacement strategies showed that they deeply lowered the initial capacity of the battery, which can reduce the investment costs. In a word, two replacement strategies for the battery proposed in this study provide a reference for the economic evaluation and optimization of battery use for auxiliary FM.

1. Introduction

Auxiliary frequency modulation (FM) for existing coal-fired units is becoming more and more important because of the high proportion of new energy power in a growth mode [1]. Excitedly, the international community has made clear cognition for the auxiliary FM [2,3], and enhancing the flexibility of coal-fired units is identified as one of the key factors to improve the ability of FM. In fact, the FM performance of the coal-fired units is limited, although there are remarkable achievements through bypass assistance [4] and feedback strategy optimization [5]. Unfortunately, not only did it not meet the industrial demand, but it also brought about a certain amount of energy consumption.
Batteries have shown strong competitiveness in improving the FM performance system and reducing the energy consumption under off-design conditions because of its characteristic of a quick response [6]. For example, Sanduleac et al. [7] proved the feasibility of a battery-assisted coal-fired unit through a set of coupled system cases. Under the algorithm for prolonging the long-term charging and discharging cycles, all-day frequency mean values can be adjusted from 49.9947 Hz to 49.9993 Hz. Alarmingly, the recession characteristics of the battery hindered its popularization and application because it increased the operational strategy optimization difficulty. Li et al. [8] obtained the degradation performance of the lithium battery according to experimental tests. Analogously, Ma et al. [9] maintain that the degradation characteristics of batteries are the important factors to be considered. Combined with the battery decay performance, the design of parameter groups has made remarkable progress in the application of existing technology. Liu et al. [10] have designed a parameter set of the coupling system that includes the wind turbine and battery, and these results showed that the capacity decay and operation cost of the battery are significantly reduced through the coupling of system parameters. Taking the power supply states of the microgrid system into account, Wang et al. [11] selected the battery types and parameters, put forward the corresponding operation strategy, and obtained the mechanism for digging the battery characteristics. It is not hard to find that the replacement strategy of the battery is another aspect of fully exploiting the application potential of the battery, and it is complementary to the optimization of the battery operation strategy. However, the existing research on the battery replacement strategy is still relatively scarce.
For this purpose, the relationship between the battery capacity and the duration day has been fitted according to the AGC instruction within 1440 min, and the effect of the discharge depth on the replacement strategy was obtained in this work. Based on the obtained conclusions, the replacement strategy between new and old batteries as well as their respective adjustment ratio undertaken have been studied, which is related to the input capacity. And then the influence of the replacements on the duration and the total duration day of the replaced battery under the adjustment ratio was further studied. At last, a case analysis on two replacement strategies (equal-day replacement and equal-capacity replacement) was conducted, which reflected the feasibility and the advantages of the replacement strategy. It is hoped that this work can provide a reference for the practical engineering application of the battery energy storage equipment.

2. Characteristic Parameters

2.1. Battery Decay

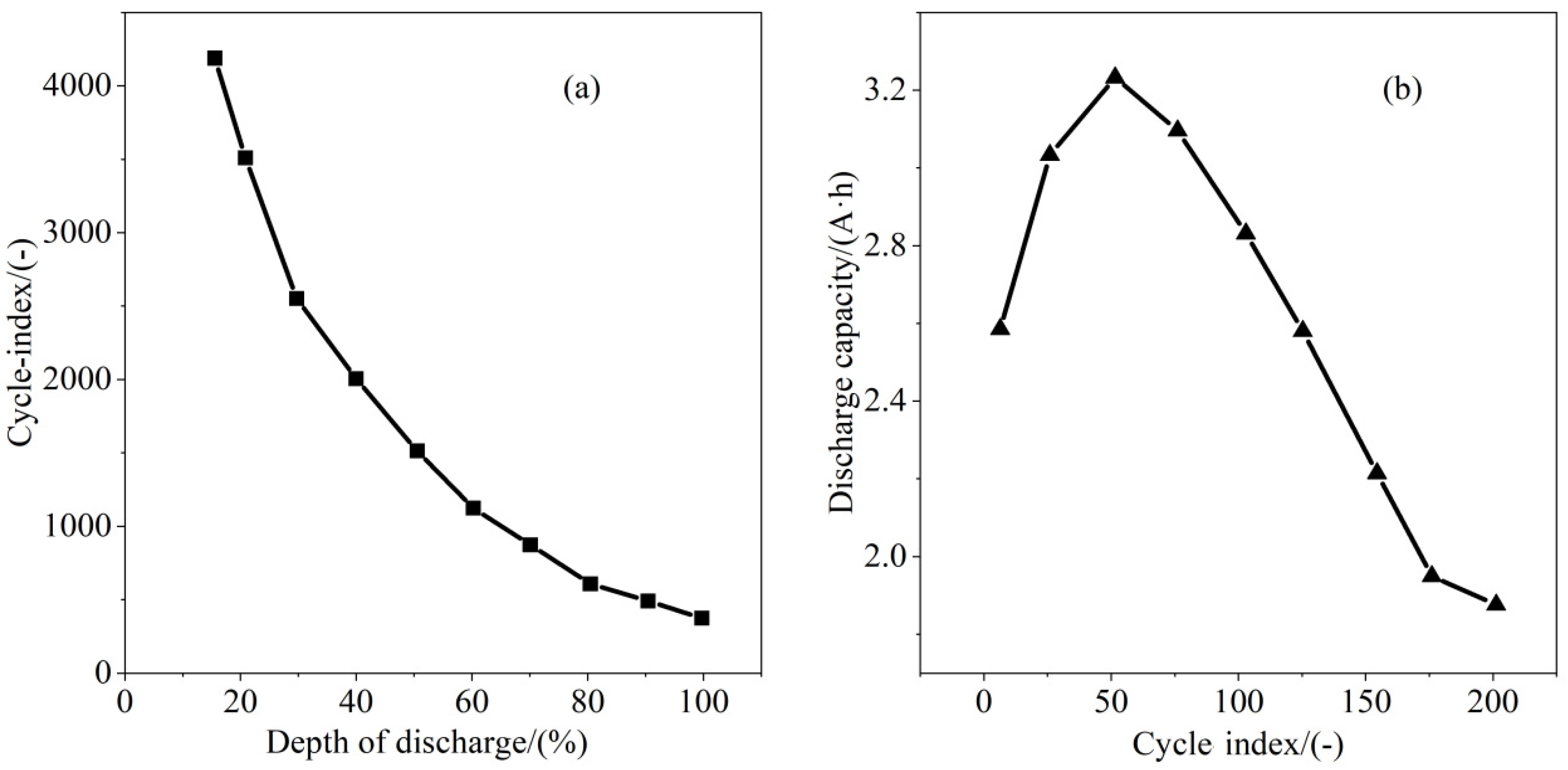
The influence from the battery discharge depth on the cycle index [12] (service life), as shown in Figure 1a, was emphatically evaluated and the lead–acid battery was selected as an example in this work. Meanwhile, the coupling relationship between the cycle index and battery capacity decline is also presented (Figure 1b), which can be used as a basis to determine whether the parameter setting of the battery can meet the actual demand. Their correlation emerged when the cycle index showed a significant downward trend with the increasing discharge depth, and its mathematical relationship can be well fitted with a polynomial function. This provides a theoretical basis for the design and optimization of the discharge depth, and it even includes the design of the discharge depth under multiple cycles. The set capacity in this work is based on the peak value, and this is because the increase in its capacity at an early stage belongs to the activation process of the battery, which is shown in the relation curve between the discharge capacity and cycle number. The recession of the battery discharge capacity can be described by segmentation fitting this curve, which provides the design basis for the replacement rule of batteries. It can be observed that the capacity of the battery undergoes a significant decline with the increase in the number of cycles. However, in order to meet the regulation requirements over a long period, enterprises have to increase the initial capacity to meet the demand for a longer margin. Based on this, this work implements the updated strategy of new and old batteries to maintain the regulation margin at a relatively low level, thereby achieving the goal of cost reduction.

2.2. FM Demand

The 660 MW coal-fired unit is chosen as the research object in this work. Automatic generation control (AGC) command of a certain day (1440 min) is chosen as the basic data, and its power curve is shown in Figure 2a. The peak-valley difference in the AGC command is an important reference index for depth-peak regulation, and the change rate of its power is also another reference index to evaluate its FM demand. Therefore, the rates of power change were calculated, as shown in Figure 2b. It can be found that the auxiliary regulation is required when the rate of power change is set to 1.5%/min. Taking the auxiliary regulation of the battery as an example, the battery needs to start 28 times in a day (including 19 times to charge, 9 times to discharge). In the following, these 28 adjustments are carried out to optimize the charging and discharging process of battery.

3. Operation Strategy Logic

According to four optimization scenarios of the battery replacement strategy, corresponding logical operation relationships were set in this work (as shown in Figure 3). It should be noted that since different scenarios require different calculation logics, Figure 3 has been divided into four parts for this purpose. First, the battery capacity and the duration day are calculated to assess the impact of the discharge depth in the replacement strategy, and its logical operation relationship is shown in Figure 3a. The calculation process is as follows: according to AGC instructions and unit constraints, the battery regulation demand is obtained. On this basis, the discharge depth at each time point is calculated by combining the set battery capacity, and the battery life loss and capacity decay are successively calculated. Further, as to whether to start again, the adjustment needs to be determined by comparing the lower limit of the battery capacity. When the lower limit is reached, the cycle ends, and the output lasts for several days. Second, the adjustment power distribution of old and new batteries has been optimized, and the logical operation relationship was shown in Figure 3b. Its characteristic is that the power distribution of the old and new battery is added under the condition of the original battery adjustment demand, and the optimization principle of this power allocation is the maximum number of days of old and new battery synchronization. Finally, the equal-day replacement strategy (shown in Figure 3c) and the equal-capacity replacement strategy (shown in Figure 3d) were calculated, respectively. Among them, the characteristics of the equal-day replacement strategy are to find the battery replacement capacity under the design value of equal days by the iterative method, and correspondingly, the characteristics of the equal-capacity replacement strategy are to find the single days and cumulative days under the same battery capacity by the iterative method.
The load demand of the AGC command is provided by the thermal power unit as the basic power supply device, and the charging and discharging process of battery is the auxiliary regulation. Thus, the algebraic relation of them satisfies Equation (1). Considering the charging and discharging strategy of the coal-fired unit, the constraint limit is Equation (2):
M a ( t ) = M e ( t ) + M b ( t )
M b ( t ) = 0 d M b ( t ) d t α × G M b ( t ) = M b ( t ) M b ( t 1 )   d M b ( t ) d t > α × G
where t is different moments in a day, min; Ma is the AGC command of the thermal power unit at time t, MW; Me is the boiler load of the thermal power unit at time t, MW; Mb is the charging and discharging power of the battery at time t, MW; α is the critical change rate of the peak regulating unit with the battery, which is 1.5% in this work; and G is the rated power of the unit, which is 660 MW in this work.
For the aging process of the battery, the polynomial fitting method is adopted in this work. The fitting result of the function in Figure 1a is shown in Equation (3). At the same time, the charging and discharging balance of the battery is taken into account, and its constraint limit is Equation (4):
E b ( j ) = A 3.25 × ( 9.01 × 10 7 × j 3 0.0003442 ×   j 2 + 0.03002 × j + 2.433 ) ( 0 j 200 )
j = i = 1 i t = 1 1440 M b ( t , i ) E b         ( M b ( t , i ) > 0 )
where A is the rated capacity of the new battery, A·h; j is the charging and discharging number of the battery after converting into the full quota; i is operation days in auxiliary FM; and Eb(j) is the capacity of the old battery after j times of charging and discharging, A·h.
The power allocation of old and new batteries is an important step for the optimization of the replacement strategy and synchronous replacement. The distribution method adopted in this study is based on the relevant principle of capacity and the power ratio of old and new batteries, whose expression is shown in Equation (5). The lower limit of used batteries is specified as 60%, and its constraints are shown in Equation (6):
δ = E b ( j ) A
E b m ( j ) = E b 1 ( j ) 80 % E b 1 ( j ) A 100 % E b 1 ( j ) + E b 2 ( j ) 64 % E b 1 ( j ) A 80 % , 80 % E b 2 ( j ) A 100 % E b 2 ( j ) + E b 3 ( j ) 64 % E b 2 ( j ) A 80 % , 80 % E b 3 ( j ) A 100 %            
where δ is the capacity ratio between the old and new batteries; m is the number of battery packs.

4. Results and Discussion

4.1. Relationship Between Battery Capacity and Sustainable Day

Figure 4a showed the fluctuation curve of the storage battery in one day, and its initial capacity is set as 540 MW·min. It can be found that the minimum capacity is 535.8 MW·min and the maximum capacity is 553.8 MW·min. Results showed that the battery capacity can meet the regulatory capacity requirements during the actual operation process when it is 18 MW·min. For batteries with an initial capacity of 540 MW·min, the discharge depth is small. Therefore, the batteries would be grouped to achieve the purpose of reducing the initial investment and improving the operating life of the battery under the premise of meeting the existing unit adjustment capacity. Six capacity batteries, including 90 MW·min, 108 MW·min, 135 MW·min, 180 MW·min, 270 MW·min, and 540 MW·min, have been selected in this work. Figure 4b shows the capacity change in the battery during charging and discharging in one cycle (1440 min). It can be seen that after one day of operation, the capacity of the battery decreases to 11.7 MW ·min in the whole discharge process and increases to 26.8 MW ·min in the whole charging process. The capacity error of the charging and discharging process can be weakened through returning the capacity of the battery to its position in time, and thus, the service life of the battery would only be calculated according to the charging process in this work.
To further evaluate the mathematical association between the battery capacity and sustainable day, six groups of batteries (90, 108, 135, 180, 270, and 540 MW·min) were selected to calculate their sustainable day. During these calculations, the boundary condition is the attenuation of the battery capacity to 80% of the original capacity. Figure 5 shows a linear increase trend of battery sustainable days with the growth of the battery capacity, and meanwhile, the trend closes to a linear association, and there is a fixed proportion. This indicates that the calculated discharge depth of lead–acid batteries is not a major factor in their service life. It should be noted that the vertical axis represents the number of days for which the battery needs to be replaced regularly after reaching a certain capacity, and it does not represent the battery’s lifespan.

4.2. Installation Policy Optimization

In order to study the replacement of new and old batteries as well as the proportion of power regulation during the replacement process, the change trend of the duration time and the capacity of new and old batteries are calculated [Figure 6a], and meanwhile, the optimization characteristics of the replacement ratios of new and old batteries under two examples (Figure 6b) are evaluated, respectively. Figure 6a showed the replacement process of 270 MW·min × 2 batteries, and the replacement time point is set as the capacity of the first battery, reduced to 80% of the rated capacity (215.98 MW·min). In the second cycle, the capacity of the first battery continues to decrease to 64% (172.77 MW·min) of the rated capacity. At this time, it is considered that the battery is no longer suitable for work. At the same time, the second battery also just reaches 80% (215.98 MW·min) of its rated capacity, which forms the basis for synchronous replacement between the old and the new. It is worth noting that there is an activation process for the battery, and 270 MW·min and 263.48·MW·min in Figure 6a are the maximum capacities achieved in the active state of the first and second batteries. It is not difficult to find that the initial value of the state is 203.43 MW·min; thus, the discharge depth and duration of days resulted in the peak capacity movement, which causes its different excited states. In this study, the capacity was set as the excited state peak in the first set of states (270·MW·min). How to realize the synchronous decline of old and new batteries is one of the basic problems of the battery replacement strategy, and the problem lies in the power distribution principle of old and new batteries. The relationship between the sustainable days and the distribution ratio of the old and new batteries are calculated by taking the capacity of two batteries (180 and 270 MW·min) as an example in Figure 6b. It can be found that with the increase in the capacity distribution ratio, the number of adjustable days of the first battery gradually decreased, and the number of adjustable days of the second battery gradually increased. The increase in the capacity distribution ratio of the first and second battery presents a completely different change pattern, which should be closely related to the battery decline curve itself. When the capacity distribution ratio is 1.3:5, the old and new batteries have consistent adjustable days, and it is found that this proportion is not closely related to the initial capacity of the battery. Therefore, the battery capacity distribution ratio is set at 1.3:5 in the subsequent calculation process.
In order to further study the influence of replacement times and the duration of the replaced battery under this replacement strategy, the replacement situation is calculated according to the power distribution ratio of the old to new battery, which is 1.3:5, and the result is shown in Figure 7. When the battery replacement is zero, the adjustable days of the battery group is 5239, which we can see in Figure 7a. And when the replacement was one, two, three, and four, the gradually increased days were 689, 187, 50, and 132, respectively. The results showed that, with the battery replacement increasing, the adjustable day of the battery packs increases, and the increase is mainly in the primary replacement process. It further showed that establishing the battery replacement strategy has the application potential for deeply mining the old battery. The last-day distribution of each battery group under different replacement times is shown in Figure 7b. Take two battery replacements as an example, when the first group of batteries operated for 1747 days, the second group of batteries was being put into operation, and when it reached 3931 days, the original first group of batteries was replaced by the third group of batteries. At present, the original second group of batteries is in the same status as the original first group of batteries at 1747 days, analogously, the original third group of new batteries has the same status as the original second group of batteries at 1747 days, which realizes the replacement process of the old and new batteries.

4.3. Operation Day and Replacement Policy

In order to detail the battery replacement characteristics, with the operation time of 6000 days as the termination cycle, the replacement strategy was evaluated with 1000 days (five times), 1200 days (four times), 1500 days (three times), 2000 days (two times), and 3000 days (one time) as the single-cycle time; the calculation results are shown in Figure 8. First, the supplementary battery capacity shows the same change pattern with the operating time, which tends to decrease first and then stabilize. Taking two replacements as an example, the first installed battery capacity is 206.1 MW·min, the first replacement battery capacity is 160 MW·min, and the second replacement battery capacity is 160 MW·min. The calculation results further confirm the importance of using the mid-way replacement of the battery. Secondly, for the replacement setting of 1~5 times, the initial input battery capacity is 309.1 MW·min, 206.1 MW·min, 154.5 MW·min, 123.6 MW·min, and 102.9 MW·min, respectively, which is close to linear correlation with the corresponding equal-day replacement. At the same time, it was found that the battery capacity provided after stabilization would be significantly lower than the initial value when the replacement strategy is adopted, which can realize the purpose of deeply excavating the old battery group.

4.4. Equal Capacity Replacement Policy

To quantitatively analyze the advantages of the equivalent-capacity replacement strategy, the replacement results of three battery capacities (100 MW·min, 200 MW·min, and 300 MW·min) are compared, respectively, which is shown in Figure 9. From Figure 9a, the duration day of the battery increase with the increase in battery capacity. And, meanwhile, for the batteries with the same capacity, the single duration day would increase with the replacement times, which presents a change rule of rising first and then stabilizing. This is consistent with the conclusion that the battery replacement strategy mentioned above can tap the potential of the battery application. It can be found from Figure 9b that, with the increase in battery replacement times, the total duration has an increasing trend, and the end is close to a straight line. Combined with the results from Figure 9a, the ratio of the replacement capacity to the last day varies little after the battery is stabilized. Therefore, the way to improve the battery capacity mainly lies in a single replacement process, which is related to the continuous operation of the two batteries after stability. In conclusion, through the periodic replacement of new and old batteries, the percentage of savings in battery costs can be easily calculated based on the number of replacements and the capacity of the batteries used.

5. Conclusions

The battery replacement strategy for the frequency modulation side has been chosen as a research subject, and an optimization method for the battery replacement strategy is proposed in this work. Combined with the AGC instruction and the adjustment capacity of the thermal power unit, the continuous days of multiple operation modes are calculated with lead–acid battery as the case. The specific conclusions are as follows:
(1)
The set capacity of the battery and the duration days are nearly linear, and the discharge depth of the battery is not obvious in the service life for this study.
(2)
In this calculation case, when the old and new batteries are coordinated to regulate the frequency, the duration time can be the same at the capacity allocation ratio of 1.3 to 5, which can meet the steady replacement demand of batteries. Increasing the replacement times is conducive to extending the duration of the battery; at the same time, the two batteries should always work under this strategy when the old and new batteries are being replaced steadily.
(3)
A case analysis of both the equal-day replacement strategy and equal-capacity replacement strategy showed that the advantage of the replacement strategy mainly lies in the deep mining process of the initial storage capacity. The battery replacement strategy proposed in this work provides effective parameters for economic evaluation and the optimization of battery auxiliary frequency modulation.

Author Contributions

Conceptualization, J.W.; Software, Y.R.; Formal analysis, K.W.; Resources, D.P.; Data curation, Z.L.; Writing—original draft, J.C.; Writing—review and editing, J.W. and W.S. All authors have read and agreed to the published version of the manuscript.

Funding

This research was supported by the Research Project of Science and Technology Department of Henan province (242102240093), Key Scientific Research Project of Education Department of Henan Province (24B480015), and Research Project of Zhengzhou Electric Power College (ZEPCKY2024-3).

Data Availability Statement

The original contributions presented in this study are included in the article. Further inquiries can be directed to the corresponding author.

Conflicts of Interest

The authors declare no conflicts of interest.

References

  1. Mousaei, A.; Naderi, Y.; Bayram, I.S. Advancing State of Charge Management in Electric Vehicles with Machine Learning: A Technological Review. IEEE Access 2024, 12, 29. [Google Scholar] [CrossRef]
  2. Singh, V.P.; Samuel, P.; Kishor, N. Impact of demand response for frequency regulation in two-area thermal power system. Int. Trans. Electr. Energy Syst. 2017, 27, e2246. [Google Scholar] [CrossRef]
  3. Sun, Y.; Wang, L.; Xu, C.; Maréchal, F.; Yang, Y. Enhancing the operational flexibility of thermal power plants by coupling high-temperature power-to-gas. Appl. Energy 2020, 263, 114608. [Google Scholar] [CrossRef]
  4. Zhao, Y.; Liu, M.; Wang, C.; Wang, Z.; Chong, D.; Yan, J. Exergy analysis of the regulating measures of operational flexibility in supercritical coal-fired power plants during transient processes. Appl. Energy 2019, 253, 113487. [Google Scholar] [CrossRef]
  5. Wei, C.; Xu, J.; Liao, S.; Sun, Y.; Jiang, Y.; Ke, D.; Zhang, Z.; Wang, J. A bi-level scheduling model for virtual power plants with aggregated thermostatically controlled loads and renewable energy. Appl. Energy 2018, 224, 659–670. [Google Scholar] [CrossRef]
  6. Melo, S.P.; Brand, U.; Vogt, T.; Telle, J.S.; Schuldt, F.; Maydell, K.V. Primary frequency control provided by hybrid battery storage and power-to-heat system. Appl. Energy 2019, 233–234, 220–231. [Google Scholar] [CrossRef]
  7. Sanduleac, M.; Toma, L.; Eremia, M.; Boicea, V.A.; Sidea, D.; Mandis, A. Primary Frequency Control in a Power System with BES Systems. In Proceedings of the 2018 IEEE International Conference on Environment and Electrical Engineering and 2018 IEEE Industrial and Commercial Power Systems Europe (EEEIC/I&CPS Europe), Palermo, Italy, 12–15 June 2018; p. 5. [Google Scholar]
  8. Li, X.; Yuan, C.; Wang, Z.; Xie, J. A data-fusion framework for lithium battery health condition Estimation Based on differential thermal voltammetry. Energy 2022, 239, 122206. [Google Scholar] [CrossRef]
  9. Ma, J.; Xu, S.; Shang, P.; Qin, W.; Cheng, Y.; Lu, C.; Su, Y.; Chong, J.; Jin, H.; Lin, Y. Cycle life test optimization for different Li-ion power battery formulations using a hybrid remaining-useful-life prediction method. Appl. Energy 2020, 262, 114490. [Google Scholar] [CrossRef]
  10. Liu, Y.; Wu, X.; Du, J.; Song, Z.; Wu, G. Optimal sizing of a wind-energy storage system considering battery life. Renew. Energy 2020, 147 Pt 1, 2470–2483. [Google Scholar] [CrossRef]
  11. Wang, Y.; Sun, Y.; Zhang, Y.; Chen, X.; Shen, H.; Liu, Y.; Zhang, X.; Zhang, Y. Optimal modeling and analysis of microgrid lithium iron phosphate battery energy storage system under different power supply states. J. Power Sources 2022, 521, 230931. [Google Scholar] [CrossRef]
  12. Guo, Z. Economical cycle life for lead-acid Batteries. Mar. Electr. Technol. 2014, 34, 2–15. [Google Scholar]
Figure 1. Service life of lead–acid battery (a) and recession characteristics of discharge capacity (b).
Figure 1. Service life of lead–acid battery (a) and recession characteristics of discharge capacity (b).
Processes 13 03123 g001
Figure 2. AGC instruction and FM demand (a) AGC power curve; (b) Rate of power change.
Figure 2. AGC instruction and FM demand (a) AGC power curve; (b) Rate of power change.
Processes 13 03123 g002
Figure 3. Logic diagram of battery replacement strategy (a) Regulatory demand; (b) Extend the duration; (c) Reduce capacity; (d) Cumulative duration. Black represents the operation steps; Blue represents the battery strategy optimization.
Figure 3. Logic diagram of battery replacement strategy (a) Regulatory demand; (b) Extend the duration; (c) Reduce capacity; (d) Cumulative duration. Black represents the operation steps; Blue represents the battery strategy optimization.
Processes 13 03123 g003
Figure 4. Capacity demand for charging and discharging of battery (a) Capacity demand; (b) Accumulative process.
Figure 4. Capacity demand for charging and discharging of battery (a) Capacity demand; (b) Accumulative process.
Processes 13 03123 g004
Figure 5. Mathematical correlation of battery capacity with sustainable days.
Figure 5. Mathematical correlation of battery capacity with sustainable days.
Processes 13 03123 g005
Figure 6. Coupling capacity and regulation distribution of battery (a) Battery; (b) Sustainable days. Black represents a single battery; Blue indicates that the battery replacement has been considered.
Figure 6. Coupling capacity and regulation distribution of battery (a) Battery; (b) Sustainable days. Black represents a single battery; Blue indicates that the battery replacement has been considered.
Processes 13 03123 g006
Figure 7. Duration days under replacement strategy and duration distribution of single-battery group (a) Sustainable days; (b) Battery replacement times. Black indicates the usage status of the old battery. Blue indicates the usage status of the new battery. Red represents the replacement node.
Figure 7. Duration days under replacement strategy and duration distribution of single-battery group (a) Sustainable days; (b) Battery replacement times. Black indicates the usage status of the old battery. Blue indicates the usage status of the new battery. Red represents the replacement node.
Processes 13 03123 g007
Figure 8. Battery capacity supplement under the equal-day replacement strategy.
Figure 8. Battery capacity supplement under the equal-day replacement strategy.
Processes 13 03123 g008
Figure 9. Continuous day distributions under equal-capacity replacement strategy (a) Fixed capacity situation; (b) Fixed demand situation.
Figure 9. Continuous day distributions under equal-capacity replacement strategy (a) Fixed capacity situation; (b) Fixed demand situation.
Processes 13 03123 g009
Disclaimer/Publisher’s Note: The statements, opinions and data contained in all publications are solely those of the individual author(s) and contributor(s) and not of MDPI and/or the editor(s). MDPI and/or the editor(s) disclaim responsibility for any injury to people or property resulting from any ideas, methods, instructions or products referred to in the content.

Share and Cite

MDPI and ACS Style

Chen, J.; Wang, J.; Sha, W.; Ren, Y.; Wu, K.; Peng, D.; Li, Z. Research on a New Replacement Strategy of Auxiliary Frequency Modulation Battery for Coal-Fired Unit. Processes 2025, 13, 3123. https://doi.org/10.3390/pr13103123

AMA Style

Chen J, Wang J, Sha W, Ren Y, Wu K, Peng D, Li Z. Research on a New Replacement Strategy of Auxiliary Frequency Modulation Battery for Coal-Fired Unit. Processes. 2025; 13(10):3123. https://doi.org/10.3390/pr13103123

Chicago/Turabian Style

Chen, Jiangtao, Jinxing Wang, Wenhui Sha, Yan Ren, Ke Wu, Dan Peng, and Zexing Li. 2025. "Research on a New Replacement Strategy of Auxiliary Frequency Modulation Battery for Coal-Fired Unit" Processes 13, no. 10: 3123. https://doi.org/10.3390/pr13103123

APA Style

Chen, J., Wang, J., Sha, W., Ren, Y., Wu, K., Peng, D., & Li, Z. (2025). Research on a New Replacement Strategy of Auxiliary Frequency Modulation Battery for Coal-Fired Unit. Processes, 13(10), 3123. https://doi.org/10.3390/pr13103123

Note that from the first issue of 2016, this journal uses article numbers instead of page numbers. See further details here.

Article Metrics

Back to TopTop