Effects of Treated Wastewater Irrigation on Pastoral Plant Growth and Soil Properties in Al-Tamriat, Saudi Arabia
Abstract
1. Introduction
2. Materials and Methods
2.1. Study Area
2.2. Experiment and Treatment Setup
2.3. Soil and Water Analysis
2.4. Plant Sampling
2.5. Statistical Analysis
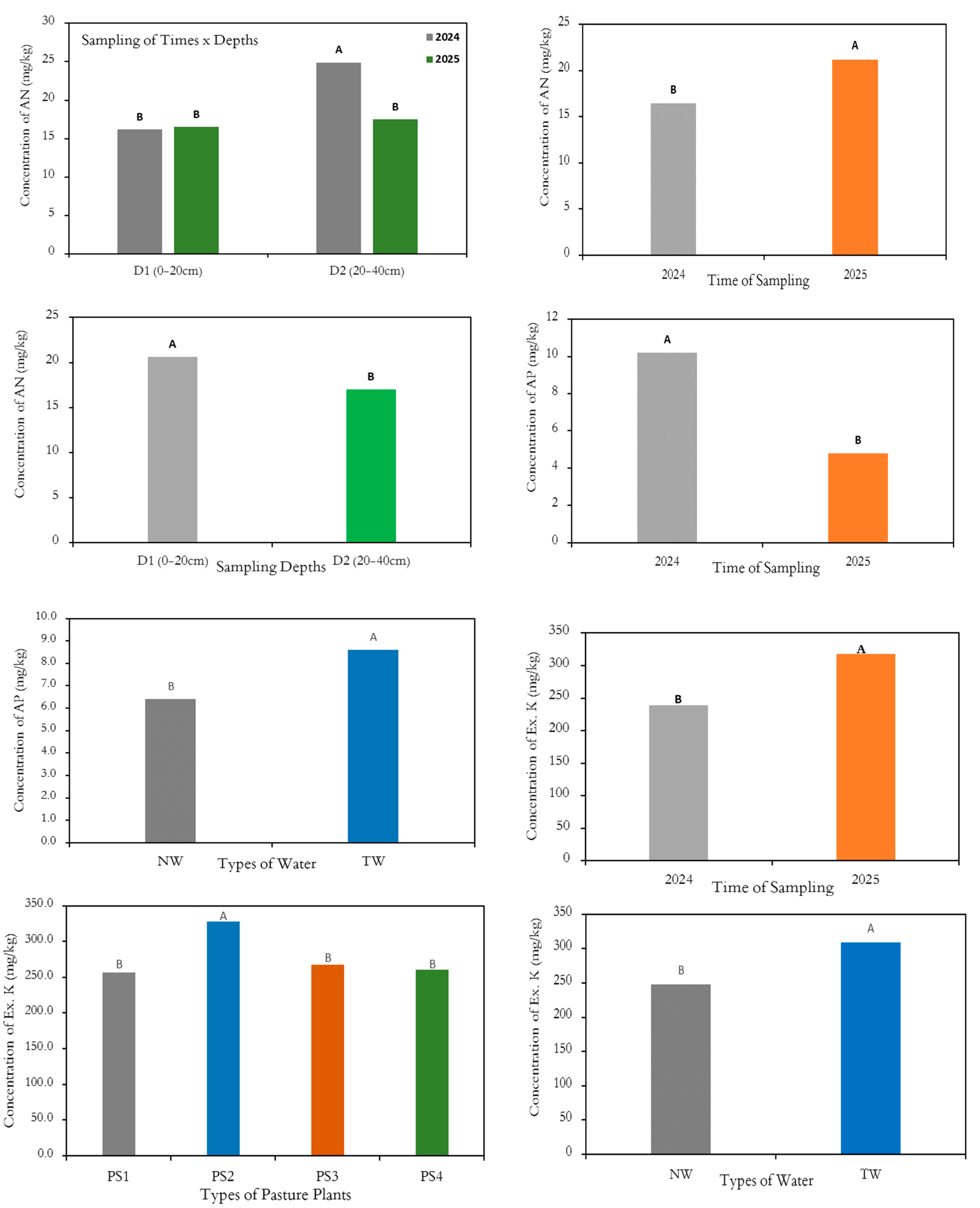
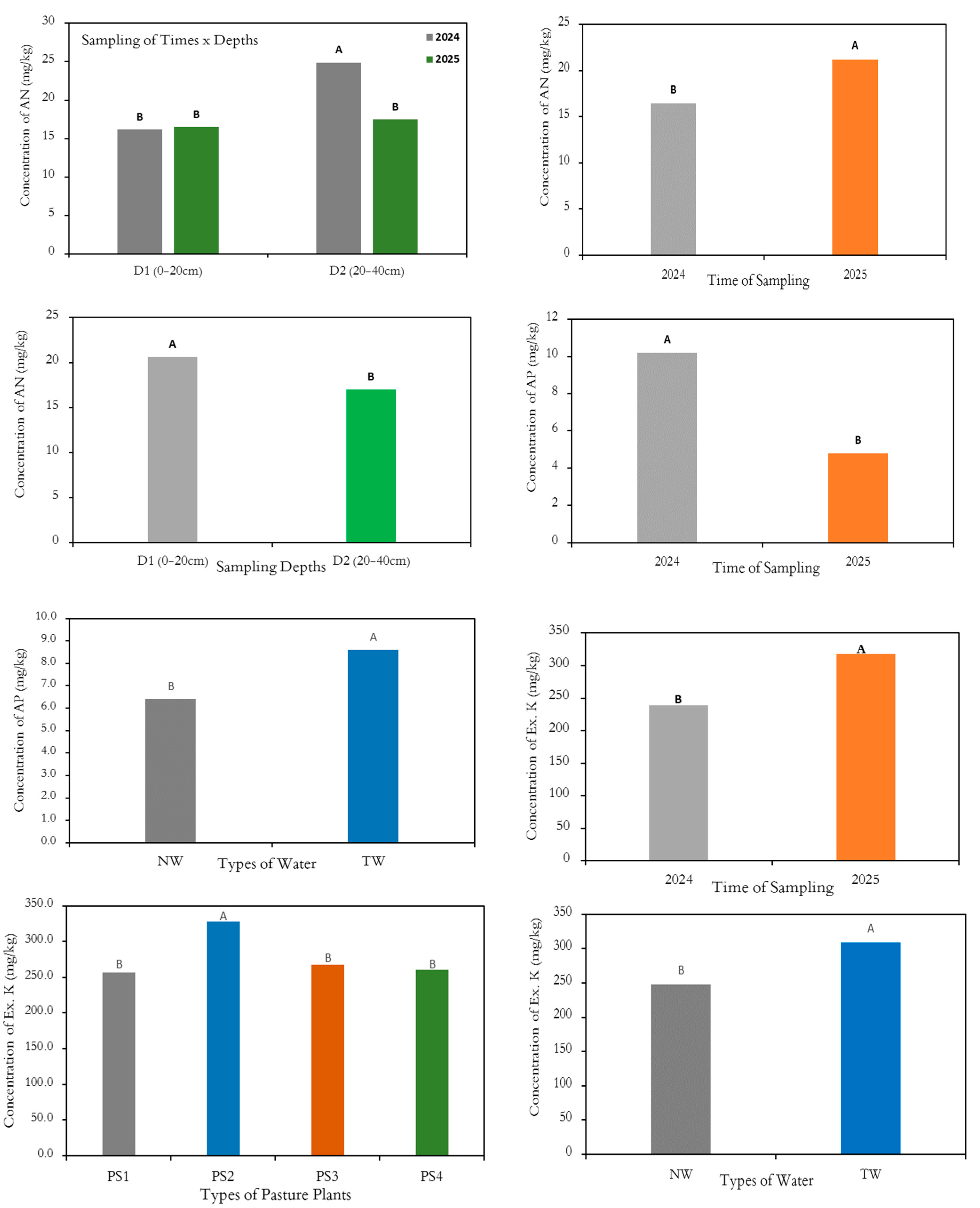
3. Results and Discussion
3.1. Soil Characterization
3.2. Water Chemical Characteristics
3.3. The Impact of Mean Water Irrigation, Plant Species, and Time Period on Plant Height
3.4. The Impact of Mean Water Irrigation, Plant Species, and Time Period on Plant Stem Diameter Growth
3.5. The Impact of Mean Water Irrigation, Plant Species, and Time Period on Plant Crown Size Ratio
3.6. Aboveground and Underground Biomass
4. Conclusions
Supplementary Materials
Author Contributions
Funding
Data Availability Statement
Acknowledgments
Conflicts of Interest
References
- Stringer, L.C.; Mirzabaev, A.; Benjaminsen, T.A.; Harris, R.M.; Jafari, M.; Lissner, T.K. Climate change impacts on water security in global drylands. One Earth 2021, 4, 851–864. [Google Scholar] [CrossRef]
- El Kenawy, A.M. Hydroclimatic Extremes in Arid and Semi-Arid Regions: Status, Challenges, and Future Outlook. In Hydroclimatic Extremes in the Middle East and North Africa; Elsevier: Amsterdam, The Netherlands, 2024; pp. 1–22. [Google Scholar]
- He, C.; Liu, Z.; Wu, J.; Pan, X.; Fang, Z.; Li, J.; Bryan, B.A. Future global urban water scarcity and potential solutions. Nat. Commun. 2021, 12, 4667. [Google Scholar] [CrossRef]
- Jones, E.R.; Bierkens, M.F.; van Vliet, M.T. Current and future global water scarcity intensifies when accounting for surface water quality. Nat. Clim. Chang. 2024, 14, 629–635. [Google Scholar] [CrossRef]
- Ingrao, C.; Strippoli, R.; Lagioia, G.; Huisingh, D. Water scarcity in agriculture: An overview of causes, impacts and approaches for reducing the risks. Heliyon 2023, 9, e18507. [Google Scholar] [CrossRef]
- Kumar, L.; Chhogyel, N.; Gopalakrishnan, T.; Hasan, M.K.; Jayasinghe, S.L.; Kariyawasam, C.S.; Kogo, B.K.; Ratnayake, S. Climate change and future of agri-food production. In Future Foods; Academic Press: Cambridge, MI, USA, 2022; pp. 49–79. [Google Scholar]
- Howitt, R.; Medellín-Azuara, J.; MacEwan, D.; Lund, J.R.; Sumner, D. Economic Analysis of the 2014 Drought for California Agriculture; University of California, Center for Watershed Sciences: Davis, CA, USA, 2015; p. 16. [Google Scholar]
- Mishra, S.; Kumar, R.; Kumar, M. Use of treated sewage or wastewater as an irrigation water for agricultural purposes-Environmental, health, and economic impacts. Total Environ. Res. Themes 2023, 6, 100051. [Google Scholar] [CrossRef]
- Verma, A.; Gupta, A.; Rajamani, P. Application of wastewater in agriculture: Benefits and detriments. In River Conservation and Water Resource Management; Springer Nature: Singapore, 2023; pp. 53–75. [Google Scholar]
- Christou, A.; Beretsou, V.G.; Iakovides, I.C.; Karaolia, P.; Michael, C.; Benmarhnia, T.; Chefetz, B.; Donner, E.; Gawlik, B.M.; Lee, Y. Sustainable wastewater reuse for agriculture. Nat. Rev. Earth Environ. 2024, 5, 504–521. [Google Scholar] [CrossRef]
- Al-Addous, M.; Bdour, M.; Alnaief, M.; Rabaiah, S.; Schweimanns, N. Water resources in Jordan: A review of current challenges and future opportunities. Water 2023, 15, 3729. [Google Scholar] [CrossRef]
- Jodar-Abellan, A.; López-Ortiz, M.I.; Melgarejo-Moreno, J. Wastewater treatment and water reuse in Spain. Current situation and perspectives. Water 2019, 11, 1551. [Google Scholar] [CrossRef]
- Escriva-Bou, A.; Gray, B.; Green, S.; Harter, T.; Howitt, R.; MacEwan, D.; Seavy, N. Water Stress and a Changing San Joaquin Valley. Public Policy Institute of California. 2017. Available online: https://www.ppic.org/content/pubs/report/R_0317EHR.pdf (accessed on 17 August 2025).
- Radcliffe, J.C. Current status of recycled water for agricultural irrigation in Australia, potential opportunities and areas of emerging concern. Sci. Total Environ. 2022, 807, 151676. [Google Scholar] [CrossRef]
- Takeuchi, H.; Tanaka, H. Water reuse and recycling in Japan—History, current situation, and future perspectives. Water Cycle 2020, 1, 1–12. [Google Scholar] [CrossRef]
- Lyu, S.; Wu, L.; Wen, X.; Wang, J.; Chen, W. Effects of reclaimed wastewater irrigation on soil-crop systems in China: A review. Sci. Total Environ. 2022, 813, 152531. [Google Scholar] [CrossRef] [PubMed]
- Alotaibi, B.A.; Baig, M.B.; Najim, M.M.; Shah, A.A.; Alamri, Y.A. Water scarcity management to ensure food scarcity through sustainable water resources management in Saudi Arabia. Sustainability 2023, 15, 10648. [Google Scholar] [CrossRef]
- Abdella, F.I.; El-Sofany, W.I.; Mansour, D. Water scarcity in the Kingdom of Saudi Arabia. Environ. Sci. Pollut. Res. 2024, 31, 27554–27565. [Google Scholar] [CrossRef]
- Alodah, A. Towards sustainable water resources management considering climate change in the case of Saudi Arabia. Sustainability 2023, 15, 14674. [Google Scholar] [CrossRef]
- Belgacem, A.O.; Nejatian, A.; Salah, M.B.; Moustafa, A. Water and food security in the Arabian Peninsula: Struggling for more actions. J. Exp. Biol. Agric. Sci. 2017, 5, 550–561. [Google Scholar] [CrossRef]
- Sayed, O.H.; Masrahi, Y.S. Climatology and phytogeography of Saudi Arabia. A review. Arid Land Res. Manag. 2023, 37, 311–368. [Google Scholar] [CrossRef]
- Hasanean, H.; Almazroui, M. Rainfall: Features and variations over Saudi Arabia, a review. Climate 2015, 3, 578–626. [Google Scholar] [CrossRef]
- Al-Ghamdi, A.A.; Tadesse, Y.; Adgaba, N.; Alghamdi, A.G. Soil degradation and restoration in southwestern Saudi Arabia through investigation of soil physiochemical characteristics and nutrient status as indicators. Sustainability 2021, 13, 9169. [Google Scholar] [CrossRef]
- Bouyoucos, G.J. Hydrometer method improved for making particle size analyses of soils. Agron. J. 1962, 54, 464–465. [Google Scholar] [CrossRef]
- Olsen, S.R.; Sommers, L.E. Methods of Soil Analysis Part, 2; Page, A.L., Miller, R.H., Keeney, D.R., Eds.; American Society of Agronomy, Inc.: Madison, WI, USA, 1982. [Google Scholar]
- Walkley, A.; Black, I.A. An examination of the Degtjareff method for determining soil organic matter, and a proposed modification of the chromic acid titration method. Soil Sci. 1934, 37, 29–38. [Google Scholar] [CrossRef]
- Jahany, M.; Rezapour, S. Assessment of the quality indices of soils irrigated with treated wastewater in a calcareous semi-arid environment. Ecol. Indic. 2020, 109, 105800. [Google Scholar] [CrossRef]
- Afaf, L.S.; Mohamed, E.; Abd El-Ghany, M.; Hossam, H.H. Effect of using treated sewage water on the yield of some tree species compared with those irrigated by fresh water. J. Environ. Sci. 2021, 50, 89–106. [Google Scholar] [CrossRef]
- Felix, V.J.L.; de Sousa Medeiros, S.; Macedo, R.S.; Sousa, C.D.S.; da Silva Souza, R.F.; da Silva Fraga, V.; Campos, M.C.C. Treated Wastewater Affects the Fertility and Geochemistry of Degraded Soil in the Brazilian Semi-Arid Region. Agronomy 2025, 15, 721. [Google Scholar] [CrossRef]
- Du, Z.; Zhao, S.; She, Y.; Zhang, Y.; Yuan, J.; Rahman, S.U.; Qi, X.; Xu, Y.; Li, P. Effects of different wastewater irrigation on soil properties and vegetable productivity in the North China Plain. Agriculture 2022, 12, 1106. [Google Scholar] [CrossRef]
- Ranadev, P.; Revanna, A.; Bagyaraj, D.J.; Shinde, A.H. Sulfur oxidizing bacteria in agro ecosystem and its role in plant productivity—A review. J. Appl. Microbiol. 2023, 134, lxad161. [Google Scholar] [CrossRef] [PubMed]
- Gourkhede, P.H.; Yadav, K.; Abdulraheem, M.I.; Hazzan, O.O.; Zade, S.P.; Wankhade, B.D.; Dawood, M.F.A.; Seleiman, M.F. Effect of long-term application of sewer water on soil properties and plant nutrient contents in the drainage basin area across different crop seasons. Pol. J. Environ. Stud. 2025, 13, 27–36. [Google Scholar] [CrossRef]
- Li, X.G.; Jia, B.; Lv, J.; Ma, Q.; Kuzyakov, Y.; Li, F.M. Nitrogen fertilization decreases the decomposition of soil organic matter and plant residues in planted soils. Soil Biol. Biochem. 2017, 112, 47–55. [Google Scholar] [CrossRef]
- Yan, G.; Luo, X.; Liang, C.; Han, S.; Liu, G.; Yin, L.; Wang, Q. Nitrogen deposition enhances soil organic carbon sequestration through plant–soil–microbe synergies. J. Ecol. 2025; early view. [Google Scholar] [CrossRef]
- Celi, L.; Said-Pullicino, D.; Bol, R.; Lang, F.; Luster, J. Interconnecting Soil Organic Matter with Nitrogen and Phosphorus Cycling. In Multi-Scale Biogeochemical Processes in Soil Ecosystems: Critical Reactions and Resilience to Climate Changes; John Wiley & Sons: Hoboken, NJ, USA, 2022; pp. 51–77. [Google Scholar]
- Chen, X.; Shi, C.; Han, X.; Wang, X.; Guo, Z.; Lu, X.; Yan, J. Microbial responses of soil fertility to depth of tillage and incorporation of straw in a haplic chernozem in northeast China. Chin. Geogr. Sci. 2023, 33, 693–707. [Google Scholar] [CrossRef]
- Elfeky, A.M.; Alfaisal, M.; El-Shafei, A. Analyzing Riyadh Treated Wastewater Parameters for Irrigation Suitability Through Multivariate Statistical Analysis and Water Quality Indices. Water 2025, 17, 709. [Google Scholar] [CrossRef]
- Badr, E.S.A.; Tawfik, R.T.; Alomran, M.S. An assessment of irrigation water quality with respect to the reuse of treated wastewater in Al-Ahsa Oasis, Saudi Arabia. Water 2023, 15, 2488. [Google Scholar] [CrossRef]
- Benaafi, M.; Pradipta, A.; Tawabini, B.; Al-Areeq, A.M.; Bafaqeer, A.; Humphrey, J.D.; Aljundi, I.H. Suitability of treated wastewater for irrigation and its impact on groundwater resources in arid coastal regions: Insights for water resources sustainability. Heliyon 2024, 10, e29320. [Google Scholar] [CrossRef]
- Tarek, A.A.; Hassan, H.M.S.; El-Mekawy, M.A.; Ali, M.A.M. Impact of irrigation with treated wastewater on growth of (Casuarina equistefolia) seedlings under Sinai conditions. SINAI J. Appl. Sci. 2017, 6, 101–110. [Google Scholar]
- Wafae, E.; Wiam, E.; Ikram, B.; Chérif, H.; Choukr, A.; Rqia, B. Effect of treated wastewater irrigation on ornamental plants: Case study of Lantana and Hibiscus, Morocco. World Water Policy 2024, 10, 280–296. [Google Scholar] [CrossRef]
- Ali, S.; Xu, Y.; Ma, X.; Ahmad, I.; Jia, Q.; Akmal, M.; Jia, Z. Deficit irrigation strategies to improve winter wheat productivity and regulating root growth under different planting patterns. Agric. Water Manag. 2019, 219, 1–11. [Google Scholar] [CrossRef]
- Memon, S.A.; Sheikh, I.A.; Talpur, M.A.; Mangrio, M.A. Impact of deficit irrigation strategies on winter wheat in semi-arid climate of sindh. Agric. Water Manag. 2021, 243, 106389. [Google Scholar] [CrossRef]
- Fang, J.; Su, Y. Effects of soils and irrigation volume on maize yield, irrigation water productivity, and nitrogen uptake. Sci. Rep. 2019, 9, 7740. [Google Scholar] [CrossRef]
- Al-Akeel, K.A.; Al-Fredan, M.A.; Desoky, E.-S.M. Impact of wastewater discharge on the plant diversity, community structure and heavy metal pollution of range plants in eastern Saudi Arabia. Saudi J. Biol. Sci. 2021, 28, 7367–7372. [Google Scholar] [CrossRef]
- Hassan, F.A.; Nasser, R.A.; Hegazy, S.S.; El-Sayed, N.A.A. Biomass performance, specific gravity, and fiber lengh for three tree species irrigated with sewage effluent and the persistence and distribution of pollution indicator bacteria in soil. In Proceedings of the First International Conference on Strategy of Botanic Gardens, Bulletin of CAIM-Herbarium, Giza, Egypt, 10–12 May 2006; Volume 7, pp. 39–52. [Google Scholar]
- Solomon, O.; David, K.A.; Aleš, K.; Daniel, P.; Ivana, T.; Iveta, R.; Jiří, W. Impact of treated wastewater on plant growth: Leaf fluorescence, reflectance, and biomass-based assessment. Water Sci. Technol. 2024, 89, 1647–1664. [Google Scholar] [CrossRef] [PubMed]
- Mahmoodi-Eshkaftaki, M.; Rafiee, M.R. Optimization of irrigation management: A multi-objective approach based on crop yield, growth, evapotranspiration, water use efficiency and soil salinity. J. Clean. Prod. 2020, 252, 119901. [Google Scholar] [CrossRef]
- Kheir, A.M.; Alrajhi, A.A.; Ghoneim, A.M.; Ali, E.F.; Magrashi, A.; Zoghdan, M.G.; Elnashar, A. Modeling deficit irrigation-based evapotranspiration optimizes wheat yield and water productivity in arid regions. Agric. Water Manag. 2021, 256, 107122. [Google Scholar] [CrossRef]
- Miralles, J.; Franco, J.A.; Sánchez-Blanco, M.J.; Bañón, S. Effects of pot-in-pot production system on water consumption, stem diameter variations and photochemical efficiency of spindle tree irrigated with saline water. Agric. Water Manag. 2016, 170, 167–175. [Google Scholar]
- Hoyos-Villegas, V.; Houx, J.; Singh, S.; Fritschi, F. Ground-based digital imaging as a tool to assess soybean growth and yield. Crop Sci. 2014, 54, 1756–1768. [Google Scholar] [CrossRef]
- Nehaya, A.; Lina, A.; Emad, A.; Mohammad, T.; Madi, A.; Ahmad, J.; Massimo, D.B. The Impact of Short-Term Treated Wastewater Irrigation on Olive Development and Microbial and Chemical Contamination. Water 2025, 17, 463. [Google Scholar] [CrossRef]
- de Meireles, D.A.; Souza, T.; de AACarneiro, K.; da SFraga, V.; de O. Dias, B.; da S. Batista, D.; Martins, E.L.; de Lima, A.F.; dos Santos Nascimento, G.; Campos, M.C. Treated Wastewater Irrigation Enhances Plant Biomass, Soil Fertility, and Rhizosphere Microbial Activity in C4 and CAM species Grown on a Degraded Planosol. Environ. Monit. Assess. 2025, 197, 804. [Google Scholar] [CrossRef]
- Hawamdeh, O.A.; Taha, A.A.; Mosa, A.; Al-Derini, M.R. A Review: Long-Term Impact of Recycled Wastewater Irrigation on Woody Forests. J. Soil Sci. Agric. Eng. 2023, 14, 41–56. [Google Scholar] [CrossRef]
- Libutti, A.; Gatta, G.; Gagliardi, A.; Vergine, P.; Pollice, A.; Beneduce, L.; Disciglio, G.; Tarantino, E. Agro-industrial wastewater reuse for irrigation of a vegetable crop succession under Mediterranean conditions. Agric. Water Manag. 2018, 196, 1–14. [Google Scholar] [CrossRef]
- Melo, H.F.D.; Souza, E.R.D.; Almeida, B.G.D.; Freire, M.B.D.S.; Maia, F.E. Growth, biomass production and ions accumulation in Atriplex nummularia Lindl grown under abiotic stress. Rev. Bras. Eng. Agrícola E Ambient. 2016, 20, 144–151. [Google Scholar] [CrossRef]
- Enebe, M.C.; Ray, R.L.; Griffin, R.W. Carbon sequestration and soil responses to soil amendments—A review. J. Hazard. Mater. Adv. 2025, 18, 100714. [Google Scholar] [CrossRef]
- Alsanad, M.A. The environmental assessment of soil chemical properties irrigated with treated wastewater under arid ecosystem of Al-Ahsa, Saudi Arabia. Arab Gulf J. Sci. Res. 2024, 42, 976–990. [Google Scholar] [CrossRef]
- Lu, Q.; Zhao, R.; Li, Q.; Ma, Y.; Chen, J.; Yu, Q.; Zhao, D.; An, S. Elemental composition and microbial community differences between wastewater treatment plant effluent and local natural surface water: A Zhengzhou city study. J. Environ. Manag. 2023, 325, 116398. [Google Scholar] [CrossRef] [PubMed]
- Okur, B.; Örçen, N. Soil Salinization and Climate Change. In Climate Change and Soil Interactions; Elsevier: Amsterdam, The Netherlands, 2020; pp. 331–350. [Google Scholar]
- Debez, A.; Belghith, I.; Friesen, J.; Montzka, C.; Elleuche, S. Facing the challenge of sustainable bioenergy production: Could halophytes be part of the solution? J. Biol. Eng. 2017, 11, 27. [Google Scholar] [CrossRef] [PubMed]
- Hoogendijk, K.; Myburgh, P.A.; Howell, C.L.; Hoffman, J.E. Irrigation of agricultural crops with municipal wastewater-a review. S. Afr. J. Enol. Vitic. 2023, 44, 31–54. [Google Scholar] [CrossRef]




| Physicochemical Parameters | D1 | D2 | |
|---|---|---|---|
| Sand | % | 77.53 ± 1.3 | 73.51 ± 1.6 |
| Silt | 6.71 ± 0.8 | 8.73 ± 0.8 | |
| Clay | 15.82 ± 0.6 | 17.84 ± 1.0 | |
| Texture | Sandy Loam | Sandy Loam | |
| BD | g cm−3 | 1.75 ± 0.02 | 1.77 ± 0.02 |
| SMC | % | 0.95 ± 0.3 | 2.37 ± 0.2 |
| CaCO3 | 15.00 ± 1.1 | 19.46 ± 1.7 | |
| pH | Soil extract 1:5 | 7.65 ± 0.09 | 7.82 ± 0.05 |
| Ec | (dS m−1) | 0.13 ± 0.04 | 0.15 ± 0.04 |
| TOC | % | 0.28 ± 0.05 | 0.16 ± 0.01 |
| OM | 0.48 ± 0.09 | 0.28 ± 0.02 | |
| AP | Mg kg−1 | 0.75 ± 0.3 | 0.91 ± 0.6 |
| Ex. K | 150 ± 4.0 | 170 ± 17.2 | |
| AN | 16.80 ± 0.7 | 11.20 ± 0.7 | |
| Soil Parameters | Time of Plantation | After One Year | |||
|---|---|---|---|---|---|
| D1 | D2 | D1 | D2 | ||
| pH | 8.0 ± 0.30 | 8.0 ± 0.33 | 7.91 ± 0.08 | 7.82 ± 0.13 | |
| Ec | (dSm−1) | 2.65 ± 3.2 | 2.84 ± 3.4 | 0.86 ± 0.71 | 0.92 ± 0.70 |
| TOC | % | 0.08 ± 0.07 | 0.05 ± 0.05 | 0.43 ± 0.07 | 0.40 ± 0.06 |
| OM | 0.14 ± 0.11 | 0.11 ± 0.08 | 0.73 ± 0.13 | 0.70 ± 0.12 | |
| AP | mg kg−1 | 7.10 ± 0.6 | 7.90 ± 0.32 | 2.80 ± 0.7 | 1.30 ± 0.7 |
| Ex. K | 207.82 ± 84.0 | 213.93 ± 88.3 | 265.20 ± 68.9 | 315.17 ± 48.9 | |
| AN | 17.92 ± 6.0 | 18.20 ± 8.0 | 26.64 ± 12.6 | 19.21 ± 4.3 | |
| Parameters | Normal Water | Wastewater |
|---|---|---|
| NW | TW | |
| pH | 7.62 ± 0.0 | 7.21 ± 0.02 |
| EC (dS·m−1) | 1.43 ± 0.0 | 1.45 ± 0.02 |
| Ca (mg·L−1) | 78.41 ± 2.5 | 69.97 ± 10.5 |
| Mg (mg·L−1) | 49.20 ± 1.9 | 33.54 ± 10.0 |
| Cl−1 (mg·L−1) | 138.70 ± 4.4 | 123.72 ± 18.5 |
| HCO3 (mg·L−1) | 210.15 ± 11.9 | 199.3 ± 82.3 |
| Na+ (mg·L−1) | 81.17 ± 0.0 | 119.50 ± 8.3 |
| K+ (mg·L−1) | 24.72 ± 0.0 | 29.12 ± 5.2 |
| PO4 (mg/L−1) | 0.13 ± 0.0 | 2.76 ± 0.05 |
| NO3− N (mg·L−1) | 1.00 ± 0.3 | 4.43 ± 1.7 |
| NH4− N (mg·L−1) | 1.58 ± 0.0 | 1.42 ± 0.04 |
| SO42− (mg·L−1) | 190.22 ± 0.0 | 86.86 ± 31.9 |
| SAR (meq·L−1) | 1.82 ± 0.4 | 2.97 ± 0.2 |
| SSP (%) | 34.81 ± 0.0 | 47.30 ± 0.7 |
| TDS (mg·L−1) | 871.13 ± 3.1 | 902.48 ± 15.0 |
| Plant Species Means | ||
|---|---|---|
| Aldamran (Traganum nudatum) | 1.83 C | |
| Alrughal (Atriplex leucoclada) | 54.77 A | |
| Al-Rutha (Salsola villosa) | 22.71 B | |
| Sidir (Ziziphus nummularia) | 53.08 A | |
| Mean of Water Types | ||
| Normal water | 36.61 A | |
| Treated water | 29.59 B | |
| Means of Time | ||
| June 2024 | 16.13 E | |
| July 2024 | 19.56 E | |
| September 2024 | 25.50 D | |
| October 2024 | 31.81 C | |
| November 2024 | 33.10 C | |
| December 2024 | 33.66 C | |
| January 2025 | 33.54 C | |
| February 2025 | 33.21 C | |
| March 2025 | 34.07 C | |
| April 2025 | 39.91 B | |
| May 2025 | 46.18 A | |
| June 2025 | 50.53 A | |
| Means of Interaction | ||
| Plant Species | Water Types | Mean |
| PS1 | NW | 9.72 E |
| TW | 0.17 F | |
| PS2 | NW | 60.11 A |
| TW | 49.50 C | |
| PS3 | NW | 24.67 D |
| TW | 20.82 D | |
| PS4 | NW | 52.17 BC |
| TW | 54.15 B | |
| Plant Species Means | ||
|---|---|---|
| Aldamran (Traganum nudatum) | 1.24 D | |
| Alrughal (Atriplex leucoclada) | 10.57 A | |
| Al-Rutha (Salsola villosa) | 5.34 C | |
| Sidir (Ziziphus nummularia) | 7.68 B | |
| Means of Water Types | ||
| Normal water | 7.05 A | |
| Treated water | 5.36 B | |
| Means of Time | ||
| June 2024 | 2.14 E | |
| July 2024 | 3.35 E | |
| September 2024 | 4.87 D | |
| October 2024 | 5.87 CD | |
| November 2024 | 6.07 CD | |
| December 2024 | 6.11 CD | |
| January 2025 | 5.87 CD | |
| February 2025 | 5.89 CD | |
| March 2025 | 6.35 C | |
| April 2025 | 8.24 B | |
| May 2025 | 9.20 B | |
| June 2025 | 10.56 A | |
| Means of Interaction | ||
| Plant Species | Water Types | Mean |
| PS1 | NW | 3.94 E |
| TW | 0.00 F | |
| PS2 | NW | 11.17 A |
| TW | 10.12 B | |
| PS3 | NW | 5.49 D |
| TW | 5.33 D | |
| PS4 | NW | 7.86 C |
| TW | 7.69 C | |
| Plant Species Means | ||
|---|---|---|
| Aldamran (Traganum nudatum) | 0.25 C | |
| Alrughal (Atriplex leucoclada) | 0.13 B | |
| Al-Rutha (Salsola villosa) | 0.04 BC | |
| Sidir (Ziziphus nummularia) | 0.47 A | |
| Means of Water Types | ||
| Normal water | 0.081 A | |
| Treated water | 0.078 A | |
| Means of Time | ||
| June 2024 | 0.04 BCD | |
| July 2024 | 0.03 BCD | |
| September 2024 | 0.52 A | |
| October 2024 | 0.10 ABCD | |
| November 2024 | 0.006 BCD | |
| December 2024 | 0.17 CD | |
| January 2025 | 0.24 D | |
| February 2025 | 0.10 CD | |
| March 2025 | 0.22 ABCD | |
| April 2025 | 0.41 AB | |
| May 2025 | 0.26 ABC | |
| June 2025 | 0.05 BCD | |
| Means of Interaction | ||
| Plant Species | Water Types | Mean |
| PS1 | NW | 0.22 DE |
| TW | 0.27 E | |
| PS2 | NW | 0.15 BC |
| TW | 0.12 BCD | |
| PS3 | NW | 0.05 CDE |
| TW | 0.04 CDE | |
| PS4 | NW | 0.44 AB |
| TW | 0.51 A | |
Disclaimer/Publisher’s Note: The statements, opinions and data contained in all publications are solely those of the individual author(s) and contributor(s) and not of MDPI and/or the editor(s). MDPI and/or the editor(s) disclaim responsibility for any injury to people or property resulting from any ideas, methods, instructions or products referred to in the content. |
© 2025 by the authors. Licensee MDPI, Basel, Switzerland. This article is an open access article distributed under the terms and conditions of the Creative Commons Attribution (CC BY) license (https://creativecommons.org/licenses/by/4.0/).
Share and Cite
Majrashi, M.A.; Alasmary, Z.; Ezzat, S.; Ibrahim, H.M.; Harbi, M.A.; Abldubise, A.; Alghamdi, A.G. Effects of Treated Wastewater Irrigation on Pastoral Plant Growth and Soil Properties in Al-Tamriat, Saudi Arabia. Processes 2025, 13, 3110. https://doi.org/10.3390/pr13103110
Majrashi MA, Alasmary Z, Ezzat S, Ibrahim HM, Harbi MA, Abldubise A, Alghamdi AG. Effects of Treated Wastewater Irrigation on Pastoral Plant Growth and Soil Properties in Al-Tamriat, Saudi Arabia. Processes. 2025; 13(10):3110. https://doi.org/10.3390/pr13103110
Chicago/Turabian StyleMajrashi, Mosaed A., Zafer Alasmary, Sahar Ezzat, Hesham M. Ibrahim, Meshal Abdullah Harbi, Abdullah Abldubise, and Abdulaziz G. Alghamdi. 2025. "Effects of Treated Wastewater Irrigation on Pastoral Plant Growth and Soil Properties in Al-Tamriat, Saudi Arabia" Processes 13, no. 10: 3110. https://doi.org/10.3390/pr13103110
APA StyleMajrashi, M. A., Alasmary, Z., Ezzat, S., Ibrahim, H. M., Harbi, M. A., Abldubise, A., & Alghamdi, A. G. (2025). Effects of Treated Wastewater Irrigation on Pastoral Plant Growth and Soil Properties in Al-Tamriat, Saudi Arabia. Processes, 13(10), 3110. https://doi.org/10.3390/pr13103110

