Conversion of Natural Clay into Na-A (LTA) Zeolite Adsorbent for Efficient Heavy Metals Adsorption from Aqueous Solution: Kinetic and Isotherm Studies
Abstract
1. Introduction
2. Materials and Methods
2.1. Materials
2.2. Experimental Methodology
2.3. Batch Adsorption Studies
3. Results and Discussion
3.1. Transformation Pathway from Kaolin to Zeolite LTA
- Key process: Dehydroxylation (550–650 °C).
- Structural change: Al coordination shifts from octahedral to tetrahedral/pentahedral.
- Industrial significance: Enhanced pozzolanic activity for cement/concrete.
- Critical step: Alkaline activation (NaOH solutions or fusion at 550 °C).
- Phase evolution: Amorphous → crystalline LTA frameworks via hydrothermal treatment.
- Morphological features: Cubic crystals (2 µm avg. size) with intergrown twins.
Hierarchical Transformation Process
3.2. XRD Analysis
3.3. SEM and EDS Measurement
3.4. Zeta Potential Measurement
3.5. Adsorption Study
3.5.1. Impact of pH and Adsorbent Dosage
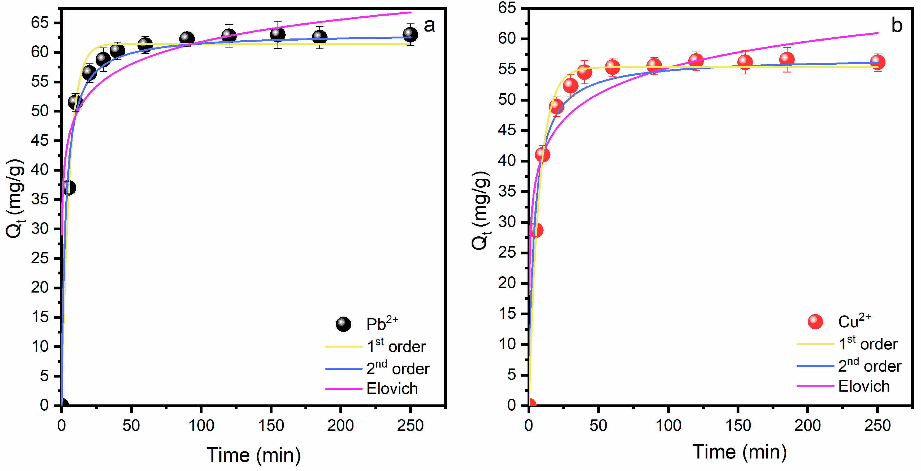
3.5.2. Kinetic Studies
3.5.3. Phenomenological Mass Transfer Kinetics: Chemisorption and Physisorption
3.5.4. Isothermal Studies
3.5.5. Adsorption Performance in Binary System (Cu2+/Pb2+)
3.5.6. Regeneration and Reusability of the Adsorbent
3.5.7. Adsorption Mechanism
3.6. Comparative Study
4. Conclusions
Supplementary Materials
Author Contributions
Funding
Institutional Review Board Statement
Informed Consent Statement
Data Availability Statement
Acknowledgments
Conflicts of Interest
References
- Rajendran, S.; Priya, T.A.K.; Khoo, K.S.; Hoang, T.K.A.; Ng, H.-S.; Munawaroh, H.S.H.; Karaman, C.; Orooji, Y.; Show, P.L. A Critical Review on Various Remediation Approaches for Heavy Metal Contaminants Removal from Contaminated Soils. Chemosphere 2022, 287, 132369. [Google Scholar] [CrossRef]
- Topare, N.S.; Wadgaonkar, V.S. A Review on Application of Low-Cost Adsorbents for Heavy Metals Removal from Wastewater. Mater. Today Proc. 2023, 77, 8–18. [Google Scholar] [CrossRef]
- Liu, Z.; Lei, M.; Zeng, W.; Li, Y.; Li, B.; Liu, D.; Liu, C. Synthesis of Magnetic Fe3O4@SiO2-(-NH2/-COOH) Nanoparticles and Their Application for the Removal of Heavy Metals from Wastewater. Ceram. Int. 2023, 49, 20470–20479. [Google Scholar] [CrossRef]
- Sarker, A.; Kim, J.-E.; Islam, A.R.M.T.; Bilal, M.; Rakib, M.R.J.; Nandi, R.; Rahman, M.M.; Islam, T. Heavy Metals Contamination and Associated Health Risks in Food Webs—A Review Focuses on Food Safety and Environmental Sustainability in Bangladesh. Env. Sci Pollut. Res 2022, 29, 3230–3245. [Google Scholar] [CrossRef]
- Kao, R.T.; Dault, S.; Pichay, T. Understanding the Mercury Reduction Issue: The Impact of Mercury on the Environment and Human Health. J. Calif. Dent. Assoc. 2004, 32, 574–579. [Google Scholar] [CrossRef]
- Ferreira-Rodríguez, N.; Castro, A.J.; Tweedy, B.N.; Quintas-Soriano, C.; Vaughn, C.C. Mercury Consumption and Human Health: Linking Pollution and Social Risk Perception in the Southeastern United States. J. Environ. Manag. 2021, 282, 111528. [Google Scholar] [CrossRef]
- Xu, H.; Jia, Y.; Sun, Z.; Su, J.; Liu, Q.S.; Zhou, Q.; Jiang, G. Environmental Pollution, a Hidden Culprit for Health Issues. Eco-Environ. Health 2022, 1, 31–45. [Google Scholar] [CrossRef]
- Qasem, N.A.A.; Mohammed, R.H.; Lawal, D.U. Removal of Heavy Metal Ions from Wastewater: A Comprehensive and Critical Review. npj Clean Water 2021, 4, 36. [Google Scholar] [CrossRef]
- Angaru, G.K.R.; Lingamdinne, L.P.; Choi, Y.-L.; Koduru, J.R.; Yang, J.-K.; Chang, Y.-Y. Encapsulated Zerovalent Iron/Nickel-Fly Ash Zeolite Foam for Treating Industrial Wastewater Contaminated by Heavy Metals. Mater. Today Chem. 2021, 22, 100577. [Google Scholar] [CrossRef]
- Sheth, Y.; Dharaskar, S.; Khalid, M.; Sonawane, S. An Environment Friendly Approach for Heavy Metal Removal from Industrial Wastewater Using Chitosan Based Biosorbent: A Review. Sustain. Energy Technol. Assess. 2021, 43, 100951. [Google Scholar] [CrossRef]
- Razzak, S.A.; Faruque, M.O.; Alsheikh, Z.; Alsheikhmohamad, L.; Alkuroud, D.; Alfayez, A.; Hossain, S.M.Z.; Hossain, M.M. A Comprehensive Review on Conventional and Biological-Driven Heavy Metals Removal from Industrial Wastewater. Environ. Adv. 2022, 7, 100168. [Google Scholar] [CrossRef]
- Viscusi, G.; Gorrasi, G. Fabrication of Novel Multifunctional Copper-Functionalized Hemp Fibers to Remove Anionic Dye and Non-Steroidal Anti-Inflammatory Drugs from Wastewaters. Chemosphere 2025, 372, 144039. [Google Scholar] [CrossRef]
- Lu, Y.; Wang, H.; Lu, Y.-Y.; Ren, Z.-Q.; Gao, N.; Wang, J.-J.; Huang, B.-C.; Jin, R.-C. In-Situ Synthesis of Lanthanum-Coated Sludge Biochar for Advanced Phosphorus Adsorption. J. Environ. Manag. 2025, 373, 123607. [Google Scholar] [CrossRef]
- Mokhtar, A.; Abdelkrim, S.; Hachemaoui, M.; Boukoussa, B.; Djelad, A.; Sassi, M.; Issam, I.; Patole, S.P.; Viscusi, G.; Abboud, M. Optimization of Zeolite LTA Formation from Kaolin Using Fusion/Hydrothermal Method: Crystallization Parameters and Box-Behnken Experimental Design. Appl. Clay Sci. 2025, 275, 107877. [Google Scholar] [CrossRef]
- Nir, S.Z.; Salem, A.; Salem, S. Application of Clay-Based Waste Collected in Landfill of Vegetable Oil Refinery for Immobilization of Heavy Metal Ions from Wastewater of Zinc Industry through Fabrication of Zeolite LTA and Hydroxysodalite. Sustain. Chem. Pharm. 2024, 39, 101618. [Google Scholar] [CrossRef]
- El-Kordy, A.; Elgamouz, A.; Abdelhamid, A.; Kawde, A.-N.; Tijani, N.; Lemdek, E.M. Manufacturing of Novel Zeolite-Clay Composite Membrane from Natural Clay and Diatomite, an Electrochemical Study of the Surface and Application towards Heavy Metals Removal. J. Environ. Chem. Eng. 2024, 12, 112143. [Google Scholar] [CrossRef]
- Jiang, W.; Xing, Y.; Mo, L.; Liao, J.; Chen, W.; Wang, H.; Wang, T. Synthesis of Polyethylenimine Modified Sugarcane Bagasse Cellulose and Its Competitive Adsorption of Pb2+, Cu2+ and Zn2+ from Aqueous Solutions. Desalination Water Treat. 2022, 270, 172–184. [Google Scholar] [CrossRef]
- Mazouz, F.; Abdelkrim, S.; Mokhtar, A.; Zahraoui, M.; Abdelmoumène, B.; Fouatih, S.L.; Hasnaoui, M.A.; Bengueddach, A.; Sassi, M.; Djelad, A. Removal of Cu(II) Ions from Aqueous Solutions Using Chitosan/Zeolite Composites: Effects of the Size of the Beads and the Zeolitic Content. J Polym Environ. 2023, 31, 193–209. [Google Scholar] [CrossRef]
- Silva, M.C.; Crespo, L.H.S.; Cazetta, A.L.; Silva, T.L.; Spessato, L.; Almeida, V.C. Activated Carbon Fibers of High Surface Area from Corn Husk: Mono and Multicomponent Adsorption Studies of Pb2+ and Cu2+ Ions from Aqueous Solution. J. Mol. Liq. 2024, 405, 124919. [Google Scholar] [CrossRef]
- Marhoon, A.A.; Hasbullah, S.A.; Asikin-Mijan, N.; Mokhtar, W.N.A.W. Hydrothermal Synthesis of High-Purity Zeolite X from Coal Fly Ash for Heavy Metal Removal: Kinetic and Isotherm Analysis. Adv. Powder Technol. 2023, 34, 104242. [Google Scholar] [CrossRef]
- Hong, M.; Yu, L.; Wang, Y.; Zhang, J.; Chen, Z.; Dong, L.; Zan, Q.; Li, R. Heavy Metal Adsorption with Zeolites: The Role of Hierarchical Pore Architecture. Chem. Eng. J. 2019, 359, 363–372. [Google Scholar] [CrossRef]
- Payne, K.B.; Abdel-Fattah, T.M. Adsorption of Divalent Lead Ions by Zeolites and Activated Carbon: Effects of pH, Temperature, and Ionic Strength. J. Environ. Sci. Health Part A 2004, 39, 2275–2291. [Google Scholar] [CrossRef]
- Prepilková, V.; Poništ, J.; Ďuricová, A.; Salva, J.; Schwarz, M.; Samešová, D.; Mordačová, M. Adsorption of Cd and Mn from Neutral Mine Effluents Using Bentonite, Zeolite, and Stabilized Dewatered Sludge. Environ. Sci Eur 2024, 36, 100. [Google Scholar] [CrossRef]
- Kovo, A.S.; Holmes, S.M.; Rios, C.A.; Otaru, A.J.; Abdulkareem, A.S.; Eluwa, V.C. Synthesis of Zeolites from Different Kaolin Deposits Worldwide. Appl. Clay Sci. 2025, 269, 107757. [Google Scholar] [CrossRef]
- Zdretsov, I.M.; Gerasimov, A.M. Green and Low-Cost Synthesis of Zeolites from Kaolin: A Promising Technology or a Delusion? React. Chem. Eng. 2024, 9, 1994–2027. [Google Scholar] [CrossRef]
- Shi, J.; Zhang, M.; Zhu, L.; Wu, Q.; Meng, X.; Xiao, F.-S. Recent Advances in Sustainable Synthesis of Zeolites. Mater. Today Sustain. 2025, 29, 101065. [Google Scholar] [CrossRef]
- Vogrin, J.; Santini, T.; Peng, H.; Zhao, L.; Vaughan, J. Synthesis of Zeolites Using Kaolin in Concentrated Sodium Hydroxide-Aluminate Solutions. Appl. Clay Sci. 2023, 244, 107106. [Google Scholar] [CrossRef]
- Velarde, L.; Nabavi, M.S.; Escalera, E.; Antti, M.-L.; Akhtar, F. Adsorption of Heavy Metals on Natural Zeolites: A Review. Chemosphere 2023, 328, 138508. [Google Scholar] [CrossRef]
- Senila, M.; Cadar, O. Modification of Natural Zeolites and Their Applications for Heavy Metal Removal from Polluted Environments: Challenges, Recent Advances, and Perspectives. Heliyon 2024, 10, e25303. [Google Scholar] [CrossRef]
- Karimi, F.; Khosravi, K. Removal of Pb(II), Cr(III), Co(II), Cu(II) Cations from Aqueous Solutions Using Tetraethylenepentamine-Functionalized HY Cubic Zeolite: Optimization, Characterization, and Mechanistic Insights. Environ. Sci. Pollut. Res. 2024, 31, 65676–65697. [Google Scholar] [CrossRef]
- Shah, K.J.; Yu, J.; Zhang, T.; You, Z.; Kim, H. Simultaneous Removal of Cu(II) And Pb(Ii) From Stormwater Runoff by Y-Type-Zeolite-Modified Bioretention System. Water Air Soil Pollut. 2024, 235, 395. [Google Scholar] [CrossRef]
- Kuldeyev, E.; Seitzhanova, M.; Tanirbergenova, S.; Tazhu, K.; Doszhanov, E.; Mansurov, Z.; Azat, S.; Nurlybaev, R.; Berndtsson, R. Modifying Natural Zeolites to Improve Heavy Metal Adsorption. Water 2023, 15, 2215. [Google Scholar] [CrossRef]
- Mokhtar, A.; Zaiter, K.; Abdelkrim, S.; Sardi, A.; Sassi, M.; Hachemaoui, M.; Boukoussa, B.; Viscusi, G.; Abboud, M. Bimetallic AgNi Doped LTA Zeolite from Kaolin: A Dual-Action Catalyst for Efficient Dye Degradation and Antibacterial Disinfection. Inorg. Chem. Commun. 2025, 180, 114943. [Google Scholar] [CrossRef]
- Celoria, G.; Begni, F.; Paul, G.; Boccaleri, E.; Merlo, V.; Marchese, L.; Bisio, C. Zeolites Derived from Natural Kaolinite for CO2 Adsorption. Processes 2024, 12, 194. [Google Scholar] [CrossRef]
- El Hassani, A.A.; Tanji, K.; El Mrabet, I.; Fahoul, Y.; El Gaidoumi, A.; Benjelloun, A.T.; Sfaira, M.; Zaitan, H.; Kherbeche, A. A Combined Molecular Dynamics Simulation, DFT Calculations, and Experimental Study of the Adsorption of Rhodamine B Dye on Kaolinite and Hydroxyapatite in Aqueous Solutions. Surf. Interfaces 2023, 36, 102647. [Google Scholar] [CrossRef]
- Żbik, M.S.; Raftery, N.A.; Smart, R.S.C.; Frost, R.L. Kaolinite Platelet Orientation for XRD and AFM Applications. Appl. Clay Sci. 2010, 50, 299–304. [Google Scholar] [CrossRef]
- Irfan Khan, M.; Khan, H.U.; Azizli, K.; Sufian, S.; Man, Z.; Siyal, A.A.; Muhammad, N.; Faiz ur Rehman, M. The Pyrolysis Kinetics of the Conversion of Malaysian Kaolin to Metakaolin. Appl. Clay Sci. 2017, 146, 152–161. [Google Scholar] [CrossRef]
- Khaled, Z.; Mohsen, A.; Soltan, A.; Kohail, M. Optimization of Kaolin into Metakaolin: Calcination Conditions, Mix Design and Curing Temperature to Develop Alkali Activated Binder. Ain Shams Eng. J. 2023, 14, 102142. [Google Scholar] [CrossRef]
- Moisés, M.P.; da Silva, C.T.P.; Meneguin, J.G.; Girotto, E.M.; Radovanovic, E. Synthesis of Zeolite NaA from Sugarcane Bagasse Ash. Mater. Lett. 2013, 108, 243–246. [Google Scholar] [CrossRef]
- Wang, P.; Sun, Q. Synthesis and Characterisation of Zeolite LTA with Sheet Structure. Micro Nano Lett. 2020, 15, 433–436. [Google Scholar] [CrossRef]
- Horta-Fraijo, P.; Smolentseva, E.; Simakov, A.; José-Yacaman, M.; Acosta, B. Ag Nanoparticles in A4 Zeolite as Efficient Catalysts for the 4-Nitrophenol Reduction. Microporous Mesoporous Mater. 2021, 312, 110707. [Google Scholar] [CrossRef]
- Yu, S.; Kwon, S.; Na, K. Synthesis of LTA Zeolites with Controlled Crystal Sizes by Variation of Synthetic Parameters: Effect of Na+ Concentration, Aging Time, and Hydrothermal Conditions. J. Sol-Gel Sci. Technol. 2021, 98, 411–421. [Google Scholar] [CrossRef]
- Sharma, P.; Yeo, J.; Yu, J.; Han, M.H.; Cho, C.H. Effect of Ethanol as an Additive on the Morphology and Crystallinity of LTA Zeolite. J. Taiwan Inst. Chem. Eng. 2014, 45, 689–704. [Google Scholar] [CrossRef]
- da Silva, A.; Elias, E.B.C.D.; Cruz, T.J.T.; Pinto, F.G.H.S.; de Mello, M.I.S.; Bieseki, L.; Pergher, S.B.C. Synthesis and Cation Exchange of LTA Zeolites Synthesized from Different Silicon Sources Applied in CO2 Adsorption. Coatings 2024, 14, 680. [Google Scholar] [CrossRef]
- Painer, F.; Baldermann, A.; Gallien, F.; Eichinger, S.; Steindl, F.; Dohrmann, R.; Dietzel, M. Synthesis of Zeolites from Fine-Grained Perlite and Their Application as Sorbents. Materials 2022, 15, 4474. [Google Scholar] [CrossRef] [PubMed]
- Dang, V.L.; Kieu, T.T.; Nguyen, T.T.T.; Truong, T.T.T.; Hoang, D.T.; Vu, T.L.C.; Nguyen, T.M.T.; Le, T.S.; Doan, T.H.Y.; Pham, T.D. Surface Modification of Zeolite by Cationic Surfactant and the Application on Adsorptive Removal of Azo Dye Ponceau 4R. J. Mol. Struct. 2024, 1304, 137619. [Google Scholar] [CrossRef]
- Jiang, D.; Yang, Y.; Huang, C.; Huang, M.; Chen, J.; Rao, T.; Ran, X. Removal of the Heavy Metal Ion Nickel (II) via an Adsorption Method Using Flower Globular Magnesium Hydroxide. J. Hazard. Mater. 2019, 373, 131–140. [Google Scholar] [CrossRef]
- Kaleem, M.; Anjum Minhas, L.; Zaffar Hashmi, M.; Umer Farooqi, H.M.; Waqar, R.; Kamal, K.; Saad Aljaluod, R.; Alarjani, K.M.; Samad Mumtaz, A. Biogenic Synthesis of Iron Oxide Nanoparticles and Experimental Modeling Studies on the Removal of Heavy Metals from Wastewater. J. Saudi Chem. Soc. 2024, 28, 101777. [Google Scholar] [CrossRef]
- Pérez-Botella, E.; Valencia, S.; Rey, F. Zeolites in Adsorption Processes: State of the Art and Future Prospects. Chem. Rev. 2022, 122, 17647–17695. [Google Scholar] [CrossRef]
- Bahmanzadegan, F.; Ghaemi, A. A Comprehensive Review on Novel Zeolite-Based Adsorbents for Environmental Pollutant. J. Hazard. Mater. Adv. 2025, 17, 100617. [Google Scholar] [CrossRef]
- Tao, H.; Liu, Y.; Li, J.; Zhang, C.; Zhao, C.; Yang, X.; Yang, R.T.; Li, Z. Oxidative Adsorption Mechanism-Based Screening of Zeolites for Deep Purification and Recycling of NOx from Humid Gases. Chem. Eng. J. 2023, 475, 146148. [Google Scholar] [CrossRef]
- Inglezakis, V.J. The Concept of “Capacity” in Zeolite Ion-Exchange Systems. J. Colloid Interface Sci. 2005, 281, 68–79. [Google Scholar] [CrossRef]
- Xiang, B.; Ling, D.; Gao, F.; Lou, H.; Gu, H.; Guo, Z. Hexavalent Chromium Induced Tunable Surface Functionalization of Graphite. RSC Adv. 2016, 6, 58354–58362. [Google Scholar] [CrossRef]
- Dubey, R.; Bajpai, J.; Bajpai, A.K. Chitosan-Alginate Nanoparticles (CANPs) as Potential Nanosorbent for Removal of Hg (II) Ions. Environ. Nanotechnol. Monit. Manag. 2016, 6, 32–44. [Google Scholar] [CrossRef]
- Hafeznezami, S.; Zimmer-Faust, A.G.; Dunne, A.; Tran, T.; Yang, C.; Lam, J.R.; Reynolds, M.D.; Davis, J.A.; Jay, J.A. Adsorption and Desorption of Arsenate on Sandy Sediments from Contaminated and Uncontaminated Saturated Zones: Kinetic and Equilibrium Modeling. Environ. Pollut. 2016, 215, 290–301. [Google Scholar] [CrossRef]
- Guo, X.; Wang, J. A General Kinetic Model for Adsorption: Theoretical Analysis and Modeling. J. Mol. Liq. 2019, 288, 111100. [Google Scholar] [CrossRef]
- Simonin, J.P.; Bouté, J.; Simonin, J.P.; Bouté, J. Intraparticle Diffusion-Adsorption Model to Describe Liquid/Solid Adsorption Kinetics. Rev. Mex. De Ing. Química 2016, 15, 161–173. [Google Scholar]
- Dotto, G.L.; Buriol, C.; Pinto, L.A.A. Diffusional Mass Transfer Model for the Adsorption of Food Dyes on Chitosan Films. Chem. Eng. Res. Des. 2014, 92, 2324–2332. [Google Scholar] [CrossRef]
- Wang, J.; Guo, X. Adsorption Kinetic Models: Physical Meanings, Applications, and Solving Methods. J. Hazard. Mater. 2020, 390, 122156. [Google Scholar] [CrossRef]
- Motsi, T.; Rowson, N.A.; Simmons, M.J.H. Adsorption of Heavy Metals from Acid Mine Drainage by Natural Zeolite. Int. J. Miner. Process. 2009, 92, 42–48. [Google Scholar] [CrossRef]
- Yurekli, Y. Determination of Adsorption Characteristics of Synthetic NaX Nanoparticles. J. Hazard. Mater. 2019, 378, 120743. [Google Scholar] [CrossRef]
- Kumari, S.; Sharma, R.; Kondal, N.; Kumari, A. Alkaline Earth Metal Doped Nickel Ferrites as a Potential Material for Heavy Metal Removal from Waste Water. Mater. Chem. Phys. 2023, 301, 127582. [Google Scholar] [CrossRef]
- Al-Nayili, A.; Majdi, H.S.; Albayati, T.M.; Saady, N.M.C. Formic Acid Dehydrogenation Using Noble-Metal Nanoheterogeneous Catalysts: Towards Sustainable Hydrogen-Based Energy. Catalysts 2022, 12, 324. [Google Scholar] [CrossRef]
- He, K.; Chen, Y.; Tang, Z.; Hu, Y. Removal of Heavy Metal Ions from Aqueous Solution by Zeolite Synthesized from Fly Ash. Environ. Sci. Pollut. Res. 2016, 23, 2778–2788. [Google Scholar] [CrossRef]
- Lee, S.; Lee, H.; Hwang, H.; Seoung, D.; Kim, H.; Kim, P.; Lee, Y. Relationship Between Electronegativity of the Extra-Framework Cations and Adsorption Capacity for CO2 Gas on Mordenite Framework. Inorg. Chem. 2025, 64, 903–910. [Google Scholar] [CrossRef] [PubMed]
- Gao, S.; Liu, Y. Potassium-Assisted Synthesis of SUZ-4 Zeolite as an Efficient Adsorbent for Pb2+ Removal from Wastewater. Sep. Purif. Technol. 2022, 286, 120438. [Google Scholar] [CrossRef]
- Ankrah, A.F.; Tokay, B.; Snape, C.E. Regenerability of Fly-Ash Derived Zeolite NaP1: Evaluation via Copper Recovery. Eng. Rep. 2023, 5, e12591. [Google Scholar] [CrossRef]
- Jiménez-Reyes, M.; Almazán-Sánchez, P.T.; Solache-Ríos, M. Radioactive Waste Treatments by Using Zeolites. A Short Review. J. Environ. Radioact. 2021, 233, 106610. [Google Scholar] [CrossRef]
- Elwakeel, K.Z.; El-Bindary, A.A.; Kouta, E.Y.; Guibal, E. Functionalization of Polyacrylonitrile/Na-Y-Zeolite Composite with Amidoxime Groups for the Sorption of Cu(II), Cd(II) and Pb(II) Metal Ions. Chem. Eng. J. 2018, 332, 727–736. [Google Scholar] [CrossRef]
- Marszałek, A.; Puszczało, E. Removal of Copper and Lead Ions from Rainwater with an Alginate-Bentonite Composite: Batch and Column Studies. Desalination Water Treat. 2023, 311, 100–110. [Google Scholar] [CrossRef]
- Li, Y.; He, J.; Zhang, K.; Liu, T.; Hu, Y.; Chen, X.; Wang, C.; Huang, X.; Kong, L.; Liu, J. Super Rapid Removal of Copper, Cadmium and Lead Ions from Water by NTA-Silica Gel. RSC Adv. 2018, 9, 397–407. [Google Scholar] [CrossRef]
- Marszałek, A. Adsorption of Copper and Lead from Rainwater Using Adsorbents Based on Diatomite and Calcium Alginate. Desalination Water Treat. 2022, 275, 81–91. [Google Scholar] [CrossRef]
- Eftekhari, M.; Gheibi, M.; Azizi-Toupkanloo, H.; Hossein-Abadi, Z.; Khraisheh, M.; Fathollahi-Fard, A.M.; Tian, G. Statistical Optimization, Soft Computing Prediction, Mechanistic and Empirical Evaluation for Fundamental Appraisal of Copper, Lead and Malachite Green Adsorption. J. Ind. Inf. Integr. 2021, 23, 100219. [Google Scholar] [CrossRef]
- Goswami, A.; Singh, A.K. Silica Gel Functionalized with Resacetophenone: Synthesis of a New Chelating Matrix and Its Application as Metal Ion Collector for Their Flame Atomic Absorption Spectrometric Determination. Anal. Chim. Acta 2002, 454, 229–240. [Google Scholar] [CrossRef]
- El-Sawaf, A.K.; El-Dakkony, S.R.; Zayed, M.A.; Eldesoky, A.M.; Nassar, A.A.; El Shahawy, A.; Mubarak, M.F. Green Synthesis and Characterization of Magnetic Gamma Alumina Nanoparticlesfor Copper Ions Adsorption from Synthetic Wastewater. Results Eng. 2024, 22, 101971. [Google Scholar] [CrossRef]
- Sarı, A.; Tuzen, M. Kinetic and Equilibrium Studies of Biosorption of Pb(II) and Cd(II) from Aqueous Solution by Macrofungus (Amanita rubescens) Biomass. J. Hazard. Mater. 2009, 164, 1004–1011. [Google Scholar] [CrossRef] [PubMed]
- Afolabi, F.O.; Musonge, P.; Bakare, B.F. Bio-Sorption of a Bi-Solute System of Copper and Lead Ions onto Banana Peels: Characterization and Optimization. J. Environ. Health Sci. Eng. 2021, 19, 613–624. [Google Scholar] [CrossRef]
- Alswat, A.A.; Al-shorifi, F.T.; Ali, S.L. Preparation of Nanohybrid CuO-Fe3O4/Zeolite Nanocomposite as Potential Adsorbent for Toxic as (V) and Pb (II) from Water Solution. Iran. J. Mater. Sci. Eng. 2022, 19, 1–13. [Google Scholar]
- Lu, J.; Zhang, F. Novel Fe–Mn Oxide/Zeolite Composite Material for Rapid Removal of Toxic Copper Ions from Aqueous Solutions. J. Clean. Prod. 2023, 397, 136496. [Google Scholar] [CrossRef]
- Elwakeel, K.Z.; El-Bindary, A.A.; Kouta, E.Y. Retention of Copper, Cadmium and Lead from Water by Na-Y-Zeolite Confined in Methyl Methacrylate Shell. J. Environ. Chem. Eng. 2017, 5, 3698–3710. [Google Scholar] [CrossRef]
- Pandey, P.K.; Sharma, S.K.; Sambi, S.S. Removal of Lead(II) from Waste Water on Zeolite-NaX. J. Environ. Chem. Eng. 2015, 3, 2604–2610. [Google Scholar] [CrossRef]
- Sarı, A.; Tuzen, M.; Cıtak, D.; Soylak, M. Adsorption Characteristics of Cu(II) and Pb(II) onto Expanded Perlite from Aqueous Solution. J. Hazard. Mater. 2007, 148, 387–394. [Google Scholar] [CrossRef] [PubMed]












| Compound | Value (%) |
|---|---|
| SiO2 | 49.4 |
| Al2O3 | 35.5 |
| Fe2O3 | 0.9 |
| TiO2 | <0.3 |
| K2O | 1.55 |
| Na2O | <0.1 |
| CaO | <0.1 |
| MgO | <0.4 |
| LOI | 11.8 |
| Stage | Conditions | Outcome |
|---|---|---|
| Kaolin → Metakaolin | 550–650 °C calcination | Amorphous Al-Si structure |
| Metakaolin → LTA | Hydrothermal (90–110 °C, NaOH) | Cubic zeolite LTA + sodalite |
| Adsorbent | Qm, mg/g | Reference | |
|---|---|---|---|
| Cu2+ | Pb2+ | ||
| Fe3O4@SiO2-(-NH2/-COOH) | - | 121.95 | [3] |
| PAN-NaY-zeolite | 44 | 74 | [69] |
| Ni1-xMxFe2O4 | - | 24.25 | [62] |
| Alginate–bentonite composite | 2.884 | 41.152 | [70] |
| NTA-silica gel | 63.5 | 53.14 | [71] |
| Diatomite/calcium alginate | 9.930 | 17.331 | [72] |
| AAC CH composite | 56.82 | 78.12 | [73] |
| Resacetophenone-loaded silica gel | 12.31 | 14.55 | [74] |
| MGAl-NPs | 34.48 | - | [75] |
| Amanita rubescens biomass | - | 38.40 | [76] |
| Banana Peel | 29.26 | 39.32 | [77] |
| CuO-Fe3O4/Zeolite nanocomposites | - | 56.02 | [78] |
| Fe–Mn oxide/Zeolite composites | 53.35 | - | [79] |
| MMA-Na-Y-Zeolite | 37.97 | 65.29 | [80] |
| Zeolite-NaX | - | 14.22 | [81] |
| Expanded perlite | 8.62 | 13.39 | [82] |
| LTA zeolite from kaolin | 67.50 | 81.50 | Present work |
Disclaimer/Publisher’s Note: The statements, opinions and data contained in all publications are solely those of the individual author(s) and contributor(s) and not of MDPI and/or the editor(s). MDPI and/or the editor(s) disclaim responsibility for any injury to people or property resulting from any ideas, methods, instructions or products referred to in the content. |
© 2025 by the authors. Licensee MDPI, Basel, Switzerland. This article is an open access article distributed under the terms and conditions of the Creative Commons Attribution (CC BY) license (https://creativecommons.org/licenses/by/4.0/).
Share and Cite
Abdelkrim, S.; Mokhtar, A.; Sardi, A.; Asli, B.; Hachemaoui, M.; Boukoussa, B.; Sassi, M.; Viscusi, G.; Aloui, Z.; Abboud, M. Conversion of Natural Clay into Na-A (LTA) Zeolite Adsorbent for Efficient Heavy Metals Adsorption from Aqueous Solution: Kinetic and Isotherm Studies. Processes 2025, 13, 3060. https://doi.org/10.3390/pr13103060
Abdelkrim S, Mokhtar A, Sardi A, Asli B, Hachemaoui M, Boukoussa B, Sassi M, Viscusi G, Aloui Z, Abboud M. Conversion of Natural Clay into Na-A (LTA) Zeolite Adsorbent for Efficient Heavy Metals Adsorption from Aqueous Solution: Kinetic and Isotherm Studies. Processes. 2025; 13(10):3060. https://doi.org/10.3390/pr13103060
Chicago/Turabian StyleAbdelkrim, Soumia, Adel Mokhtar, Amina Sardi, Boubekeur Asli, Mohammed Hachemaoui, Bouhadjar Boukoussa, Mohammed Sassi, Gianluca Viscusi, Zouhaier Aloui, and Mohamed Abboud. 2025. "Conversion of Natural Clay into Na-A (LTA) Zeolite Adsorbent for Efficient Heavy Metals Adsorption from Aqueous Solution: Kinetic and Isotherm Studies" Processes 13, no. 10: 3060. https://doi.org/10.3390/pr13103060
APA StyleAbdelkrim, S., Mokhtar, A., Sardi, A., Asli, B., Hachemaoui, M., Boukoussa, B., Sassi, M., Viscusi, G., Aloui, Z., & Abboud, M. (2025). Conversion of Natural Clay into Na-A (LTA) Zeolite Adsorbent for Efficient Heavy Metals Adsorption from Aqueous Solution: Kinetic and Isotherm Studies. Processes, 13(10), 3060. https://doi.org/10.3390/pr13103060

