Next Article in Journal
Fire Resistance Prediction in FRP-Strengthened Structural Elements: Application of Advanced Modeling and Data Augmentation Techniques
Previous Article in Journal
Comparative Effects of Total, Water-Extractable, and Water-Unextractable Arabinoxylans from Wheat Bran on Dough and Noodle Properties
 
 
Font Type:
Arial Georgia Verdana
Font Size:
Aa Aa Aa
Line Spacing:
Column Width:
Background:
Article

Terpene-Derived Bioelastomers for Advanced Vulcanized Rubbers and High-Impact Acrylonitrile–Butadiene–Styrene

by
Ilse Magaña
1,
José Luis González Zapata
1,
Hened Saade
1,
Teresa Córdova
1,
Adali Castañeda Facio
2,
José Alejandro Díaz Elizondo
1,
Luis Valencia
3,*,
Héctor Ricardo López-González
1,* and
Ramón Díaz de León
1,*
1
Centro de Investigación en Química Aplicada, Blvd. Enrique Reyna Hermosillo, No.140, Col. San Joseé de los Cerritos, Saltillo 25294, Mexico
2
Facultad de Ciencias Químicas, Universidad Autónoma de Coahuila, Blvd. V. Carranza, s/n, Saltillo 25280, Mexico
3
DuPont de Nemours, Rue Général Patton, L-5326 Contern, Luxembourg
*
Authors to whom correspondence should be addressed.
Processes 2025, 13(10), 3052; https://doi.org/10.3390/pr13103052
Submission received: 16 August 2025 / Revised: 22 September 2025 / Accepted: 23 September 2025 / Published: 24 September 2025
(This article belongs to the Section Materials Processes)

Abstract

The increasing demand for sustainable materials has propelled the development of bio-based elastomers derived from renewable terpenes. This study presents the synthesis of high-cis poly(butadiene-co-terpene) copolymers using coordination chain transfer polymerization with neodymium-based catalysts, enabling precise control of molecular weight and microstructure. Two terpene monomers, β-myrcene and trans-β-farnesene, were incorporated up to 45 wt% without compromising the elastomeric 1,4-cis polybutadiene segments. The copolymers were evaluated as impact modifiers in acrylonitrile–butadiene–styrene (ABS) and as vulcanizable rubber formulations. ABS containing bio-based copolymers exhibited distinct rubber morphologies, including elongated and rod-like particles with average particle diameters greater than 1042 nm and rubber phase volume fraction values ≥ 0.49, resulting in improved impact resistance exceeding 580 J/m and elongation at break higher than 12%. Vulcanized rubbers incorporating terpene segments displayed tunable curing kinetics, mechanical properties, and dynamic mechanical behavior, with notable increases in elongation (up to ~520%) and elasticity attributed to lower crosslink density (<1.20 × 10−4 mol/mL). Additionally, its energy dissipation capacity has been enhanced compared to the high-cis polybutadiene. These findings highlight the potential of terpene-derived bioelastomers as sustainable alternatives to fossil-based rubbers, offering comparable or enhanced performance for engineering polymer applications. The study underscores important structure–property relationships, providing a foundation for further optimization toward industrial adoption.

1. Introduction

Currently, the widespread and excessive use of materials derived from fossil resources and their poor reuse have led to a considerable increase in environmental pollution while simultaneously causing critical shortages in the availability of some key monomers. For instance, ethylene and propylene derived from petroleum and natural gas contribute to CO2 emissions and volatile organic compound (VOC) release; styrene from petroleum generates photooxidative smog, affecting air quality; and 1,3-butadiene from petroleum and gas operations releases toxic and potentially carcinogenic gases into the atmosphere [1]. As a result, there is a growing industrial and academic interest in identifying renewable and sustainable monomer sources derived from biomass. Among these, terpene-type monomers, which are structural derivatives of isoprene predominantly obtained from natural sources such as essential oils, represent a promising renewable feedstock [2].
Terpenes are highly valuable in polymer chemistry because, due to their multiple double bonds and functional groups such as hydroxyl or carboxyl moieties, they enable diverse polymerization pathways, including radical, coordination, and functionalization reactions. In recent years, the polymerization of terpenes has advanced significantly, leading to the creation of bio-based elastomers exhibiting properties comparable to, or in some cases surpassing, those of traditional polymers sourced from fossil feedstocks, such as polybutadiene and polyisoprene [3,4].
These fossil-derived elastomers are widely deployed as reinforcing agents in engineering polymers like ABS (acrylonitrile–butadiene–styrene) or formulated and subsequently vulcanized for tire manufacture. For both applications, high-performance polydienes characterized by narrow molecular weight distributions and high molecular weights are essential to achieve optimal mechanical properties. Furthermore, a high proportion of 1,4-cis units is typically required to enhance the elastomeric behavior of polybutadiene (PB) allowing efficient absorption of impact energy and thereby increasing the toughness of ABS. This improvement is attributed to the 1,4-cis configuration, which produces a more flexible polymer backbone with a lower glass transition temperature (Tg), promoting rubber phase cavitation and the onset of shear yielding in the matrix [5]. Simultaneously, the presence of 1,2-vinyl unsaturations is critical to enhancing vulcanization crosslink density and enabling grafting reactions that improve compatibility and phase morphology during ABS production [6,7,8].
Conventional coordination polymerization mediated by active metal centers, with neodymium catalysts being notably effective, remains the predominant route to producing polydienes with high contents of 1,4-cis units [9]. However, these polymerizations often result in polymers with broad or multimodal molecular weight distributions, which can detract from material performance and processability. To address these limitations, coordination chain transfer polymerization (CCTP), a method based on dynamic equilibrium between active and dormant species, offers enhanced control over molecular weight distribution while maintaining high 1,4-cis microstructures [10]. This approach has been successfully applied to the synthesis of block copolymers from olefins and 1,3-butadienes, yielding thermoplastic elastomers with improved mechanical properties [11].
Building upon these advances, this work focuses on the synthesis, characterization, and application of random copolymers comprising 1,3-butadiene and terpene monomers—specifically β-myrcene and trans-β-farnesene—derived from renewable sources. These copolymers are designed to introduce and maintain the desired unsaturation characteristics essential for crosslinking and grafting, without compromising the 1,4-cis content. This is achieved by employing a neodymium-based catalytic system, which enables fine control over molecular weight and microstructure.
Unlike the majority of previous studies, which have centered on the synthesis, structural analysis, and bulk thermomechanical performance of terpene-based homopolymers or copolymers primarily for thermoplastic elastomers, coatings, or conventional vulcanizates [12,13,14,15,16], the present study directly integrates terpene-derived copolymers as tunable rubber phases within advanced multiphase engineering polymers. Specifically, this work demonstrates, for the first time, the use of high-cis poly(butadiene-co-terpene) copolymers—including both β-myrcene and trans-β-farnesene monomers—not only as vulcanizable elastomers but as purpose-designed impact modifiers tailored for ABS. This dual application enables the systematic modulation of renewable content, rubber microstructure, and blend morphology, allowing in-depth exploration of structure–property relationships within the multiphase ABS system—an application space not addressed by prior literature.
In this context, the practical utility of the synthesized bio-based copolymers is demonstrated through their dual application: (i) as impact modifiers in styrenic copolymers to produce ABS with enhanced performance, and (ii) as vulcanizable rubber formulations, evaluated for their mechanical and curing properties. This approach aims to advance the development of sustainable elastomer materials that can replace or supplement conventional fossil-based counterparts in commercial products.

2. Materials and Methods

2.1. Materials

The bio-based copolymers synthesis employed high-purity reagents to ensure the reliability and reproducibility of the polymerization reactions. 1,3-butadiene monomer was supplied by Aldrich (St. Louis, MO, USA), β-myrcene was provided by VENTÓS (Barcelona, Spain), and trans-β-farnesene was purchased from Amyris (Emeryville, CA, USA). Cyclohexane, neodymium versatate (NdV3) was provided by SOLVAY (La Rochelle, France), diisobutylaluminum hydride (DIBAH)as a reducing agent, and dichlorodimethylsilane (Me2SiCl2) were supplied by Sigma-Aldrich (St. Louis, MO, USA).
For the synthesis of acrylonitrile–butadiene–styrene (ABS) incorporating bio-based copolymers, the following reagents were utilized: styrene (industrial grade) from Poliformas S.A. de C.V. (Mexico City, Mexico), acrylonitrile (AN, reactive grade), ethylbenzene, tert-dodecyl mercaptane (TDM), zinc stearate, and antioxidant Irganox 1076 from Sigma-Aldrich. The bifunctional initiator Luperox 331 was acquired from Arkema (Radnor, PA, USA), and mineral oil (industrial grade) was supplied by PROQUISA (Saltillo, Mexico).
In the formulation and vulcanization of bio-based copolymer rubbers, carbon black, zinc oxide, oil extender, stearic acid, paraffin wax, sulfur, CBS (N-cyclohexyl-2-benzothiazole-sulfenamide), and DPG (N,N′-Diphenylguanidine) were procured from Suministro de Especialidades S.A. de C.V. (Escobedo, Mexico).

2.2. Methods

2.2.1. Synthesis of Bio-Based Copolymers

The synthesis of poly(butadiene-co-myrcene) and poly(butadiene-co-farnesene) copolymers was carried out in 2L stainless steel Parr reactors using the methodology applied in a previous study [17]. The reactor was configured with a double turbine stirring system and strict control of the reaction temperature by means of a controller coupled to a solenoid valve through which cold water flowed. Before the synthesis, the reactor was heated to a temperature above 125 °C. Once this temperature was exceeded, a series of nitrogen-vacuum cycles were performed to remove any volatile contaminants that may have been released by the heating of the reactor (such as dissolved oxygen, traces of moisture or impurities). Subsequently, the reaction temperature was established, and the solvent (cyclohexane) and monomer(s) were added in the desired compositions. The system was then left stirring at 100 rpm. Upon reaching the designated reaction temperature, the NdV3/DIBAH/Me2SiCl2 catalytic system was introduced, and the reactor pressure was elevated to 40 psi. The catalytic system was incorporated to initiate the reaction, which was then allowed to proceed for a designated duration. This approach resulted in conversions approaching 100%, thereby demonstrating the efficacy of the catalytic system in enhancing the reaction rate. Table 1 shows the conditions established for each reaction. The reaction was terminated by the addition of 1 mL of acidified methanol, part of the product was stored in solution for use in rubber production, while the other part was stabilized with antioxidants and separated from the solvent by precipitation in an abundant amount of methanol to be added in the synthesis of ABS. Subsequently, the sample was dried under vacuum drying at a temperature of 50 °C for subsequent use and characterization.

2.2.2. Synthesis of Acrylonitrile–Butadiene–Styrene (ABS)

ABS was synthesized via a mass-mass polymerization process designed to emulate an industrial tower-type setup, which has been adapted from the procedure reported in the US Patent 5387650, where a change in both temperature and stirring speed is performed throughout the ABS synthesis process [18]. Initially, all reagents listed in Table 2 were charged to the reactor. The rubber, whether polybutadiene (PB) or poly(butadiene-co-myrcene) copolymer, was dissolved overnight in the monomer-solvent mixture to ensure homogenization.
Then, the preheating stage was carried out, during which the reactor temperature was raised to 85 °C at a stirring speed of 120 rpm. Once the temperature reached 75 °C, the initiator (Luperox 331) and the chain transfer agent (tert-dodecyl mercaptane, denoted as CTA) were added to initiate free radical polymerization. The solids content was measured periodically until reaching a value of 17%. In the second stage of the reaction, the temperature of the reactor was increased to 95 °C to achieve 35% solids. It is estimated that phase inversion occurred at this temperature and reaction time. Once 35% solids were reached, 40% more chain transfer agent (relative to the initial amount supplied) and 2 g of zinc stearate, dissolved in ethylbenzene, were added to improve the fluidity of the reaction system. In the third stage, the temperature was increased to 105–110 °C, the stirring speed was reduced to 50 rpm, and the solids were monitored until reaching 45%.
In the final stage, the reactor temperature was increased to 115–120 °C and the stirring speed was reduced to 30 rpm to reach 58% of solids. The product was then transferred to a devolatilizer heated to 250 °C for 70 min to remove residual monomers and solvent. The devolatilized product was cooled, cut, milled, and dried at 100 °C before injection molding (processing parameters are provided in Table 3).

2.2.3. Elastomer Preparation and Vulcanization

The elastomers obtained from the copolymerization process were mixed with extender oil via mechanical stirring for 35 min. Then, the solution was coagulated in distilled water containing 150 ppm of Tamol (dispersant agent) and 250 ppm of CaCl2 (calcium chloride) at 90 °C using a mechanical stirrer to promote coagulation. Finally, the copolymer containing the extender oil was dried in a roller mill at 85 °C and 20 rpm. The formulations were prepared in a Brabender internal mixing chamber (Duisburg, Germany) with roller rotors. The vulcanization formulation for polybutadiene rubber synthesis was used for mixing in two stages, as reported in Table 4.
Initially, the mixing equipment was set to a temperature of 90 °C and a rotor speed of 100 rpm. The corresponding rubber was then added and left for two minutes. Next, carbon black was added and the mixing continued until the rubber compound was uniformly colored (approximately two minutes). Then, stearic acid, zinc oxide, and paraffin wax were added in that order. The compound was mixed for five minutes. Finally, the compound was removed from the equipment, cooled, and tumbled for five minutes in a Schwabenthan Polymix 40T roller mill (Berlin, Germany). For the second mixing stage, the equipment temperature was set to 80 °C with a rotor speed of 100 rpm. The previously cooled compound was added to the Brabender mixing chamber (Duisburg, Germany). Then, sulfur, CBS, and DPG were added in that order. After a 5 min mixing period, the compound was cooled and tumbled in the same manner in the roller mill.

2.3. Characterization Techniques

2.3.1. Copolymer Characterization

Composition and microstructure of the bio-based copolymers were determined using a Bruker Ultrashield Plus 500 MHz instrument (Bruker, Billerica, MA, USA). For 1H NMR analysis, the samples were dissolved at a ratio of 20 mg of sample to 1 mL of deuterated chloroform. For 13C NMR analysis, the samples were dissolved at a ratio of 40 mg of sample to 1 mL of deuterated chloroform. Molecular weights and their distributions were determined on an Agilent Technologies PL-GPC 50 instrument (St. Clara, CA, USA) configured with a 5 µm mixed-mode column at a pressure of 2.34 MPa and a THF (tetrahydrofuran) elution solvent flow rate of 1 mL/min. The instrument was coupled to a refractive index detector and calibrated with polystyrene standards at a temperature of 40 °C. Samples were prepared for analysis at a ratio of 1 mg of sample to 1 mL of solvent.

2.3.2. ABS Characterization

ABS characterization consisted of analyzing the morphology using Talos F200X-ChemiSTEM (Scanning Transmission Electron Microscopy) (Thermo Fisher Scientific, Waltham, MA, USA) technology based on cryogenic sections of the injected test samples, which were stained with osmium tetroxide and had a thickness of 90 nm. Based on the obtained micrographs, the average particle diameter (Dp) and the volume fraction of the rubber phase (Φrubber) were determined using Equations (1) and (2), respectively.
D p = i = 1 n D i / n ,
Φ r u b b e r = i = 1 n A i / A t o t a l ,
where Di is the diameter of each particle and n corresponds to the total number of particles considered in the calculation. Ai is the area of each particle and Atotal refers to the total are covered by the micrograph. Image Pro 3.0 software (free software originated at the National Institutes of Health, Bethesda, MN, USA) was used to determine particle size and calculate volume fraction.
Additionally, the dispersed and continuous phases were analyzed individually by separating the elastomeric part of the free PSAN (styrenic-acrylonitrile copolymer) present in the ABS. One gram of each material was placed in contact with 20 mL of THF. After 24 h, the samples were centrifuged at 20,000 rpm and −20 °C for one and a half hours to separate the soluble and insoluble phases of each material. The soluble phase was precipitated with excess methanol. The molecular weights of the PSAN were determined by gel permeation chromatography using a procedure similar to that described above for copolymers. Meanwhile, the gel content and swelling index of each material were determined from the insoluble phase. This was performed by drying the previously weighed, centrifuged samples at 60 °C in an oven to obtain the wet weight (the weight before placing the sample in the oven) and dry weight. The gel content and swelling index values were obtained using the following equations.
G e l   c o n t e n t   %   = w e i g h t   o f   d r y   s a m p l e ( g ) i n i t i a l   w e i g h t   o f   t h e   s a m p l e   ( g )     × 100
S w e l l   i n d e x = w e i g h t   o f   w e t   s a m p l e   ( g )   w e i g h t   o f   d r y   s a m p l e   ( g )     × 100
Impact resistance tests were performed on injection-molded ABS specimens using the Izod method with notching, according to ASTM D-256 [19]. Tensile strength tests were also performed under ASTM D638 [20]. Melt flow index (MFI) analysis was performed using ASTM D1238 [21] on a Dynisco brand plastometer (model 242511C, Dynisco LLC, Franklin, MA, USA). Six cuts were made at 10 s intervals under the following conditions: 220 °C and 10 kg. At least six replicates were performed for the previous analyses, and the results are reported as the mean ± standard deviation. We also performed a dynamic mechanical analysis using a TA Instruments Q800 (New Castle, DE, USA)under the following conditions: a frequency of 1 Hz, a temperature range of −120 °C to 120 °C, and a heating rate of 5 °C/min. We used a single cantilever configuration.

2.3.3. Vulcanized Bio-Rubbers Characterization

The vulcanization kinetics of the rubbers were obtained using an Elite Rubber Process Analyzer (RPA) from TA Instruments at a temperature of 145 °C for 30 min, with an oscillation frequency of 1.67 Hz and an amplitude of 0.5°. The following parameters were determined from this test: maximum torque (MH), minimum torque (ML), Δtorque (MH−ML), time to start crosslinking (ts2), time for the rubber to reach 90% total crosslinking (tc90), and the cured rate index (CRI). The CRI was determined using Equation (5) [22].
C R I = 100 ( t c 90 t s 2 )
After analyzing the material, we vulcanized it in a Carver hydraulic press at 145 °C and 20 tons/cm2 for the time required to achieve 90% vulcanization (tc90). This process yielded 3 mm thick plates, from which we obtained test specimens to determine their performance properties. Payne effect tests were performed on vulcanized samples in a TA Instruments RPA Elite device at 40 °C and 1.66 Hz frequency, applying five test cycles in which the difference in storage modulus (ΔG′) was determined at low (0.11%) and high (10.3%) amplitudes. The findings from the third test cycle were employed to ascertain the standard free energy (ΔG′). Tensile testing was conducted on a universal testing machine, in accordance with ASTM 412 [23] and type C test specimens, at a speed of 500 mm/min. Shore At least five replicates were performed for the tensile test, and the results are reported as the mean ± standard deviation. A hardness tests were performed in accordance with the standards outlined in ASTM D2240 [24]. The crosslink density of the rubbers was determined by cutting pieces of approximately 1 × 1 cm from the different vulcanized formulations and obtaining the initial mass. The samples were immersed in 50 mL of toluene at 30 °C for a period of 72 h. Subsequently, the samples were exposed to ambient temperature for 30 min, followed by a drying process. The samples that had been subjected to swelling were then dried in a vacuum oven for 24 h at 40 °C until a constant weight was obtained. The volume fraction of rubber (Vr) was subsequently calculated using Equation (6). Subsequently, the values in Equation (7) developed by Flory-Rehner were substituted, resulting in the calculation of the crosslink density (υ) [22].
V r = W i F W m ρ r W i F W m ρ r + W s ρ s ,
where Wi is the mass of the dry sample after swelling, F is the weight fraction of insoluble in the sample, Wm is the mass of the sample before swelling, Ws is the weight of the absorbed solvent. ρ r and ρ s are the densities of the rubber and solvent which are equal to 0.73 g/cm3.
υ = ln 1 V 1 + V 1 + χ V 1 2 2 ρ r V 0 V 1 1 3 V 1 2
The molar volume of the toluene solvent (V0) is 106.2 cm3/mol, and the solvent–rubber interaction parameter, χ, was determined with Hildebrand using Equation (8).
χ = β + V s ( δ s δ r ) 2 R T
δs (8.97 MPa1/2), and δr is the solubility parameter of the solvent and the rubber, respectively. The parameters R, T, and β are defined as the ideal gas constant, the absolute temperature, and the entropic contribution or lattice constant, respectively, the last one is equivalent to 0.34. It is important to note that the solubility parameter of polymyrcene is 16. 8 MPa1/2 is closely analogous to that of polybutadiene = 17.2 MPa1/2 [25,26]. Given the absence of reports regarding the solubility parameter of polyfarnesene or the copolymers of poly(butadiene-co-myrcene) and poly(butadiene-co-farnesene), it was determined to utilize the solubility parameter value of polybutadiene for the various calculations, given its prevalence in the copolymers employed in this study. The dynamic mechanical analysis (DMA) of the vulcanized samples was conducted in tension mode on a TA Instruments DMA Q800 device. The temperature sweep ranged from −90 to 80 °C at a heating rate of 5 °C/min, under a frequency of 1 Hz and 0.5% amplitude, employing a dual cantilever configuration.

3. Results and Discussion

3.1. Elastomers

The primary features of the poly(butadiene-co-myrcene) copolymers are summarized in Table 5. The synthesized polybutadienes exhibit a remarkably high cis-1,4 microstructure exceeding 96%, along with elevated molecular weights conducive to elastomeric behavior. Sample B-1, a high molecular weight polybutadiene, was selected for ABS synthesis, whereas B-2 was chosen for vulcanized rubber formulations due to its comparable characteristics.
The copolymers containing terpenes, namely β-myrcene and trans-β-farnesene, retain a high 1,4-cis content exceeding 90%, a critical factor to achieve elastomeric properties similar to or approaching pure polybutadiene. Molecular weights vary between 397,000 and 735,000 g/mol, indicating successful control of polymerization conditions. The weight fraction of terpene monomers incorporated ranges from 8.6 to 29.2% for β-myrcene and from 16.8 to 45.2% for trans-β-farnesene copolymers, achieving significant renewable content while maintaining butadiene dominance for performance balance.
Maintaining a sufficiently high butadiene proportion is essential to ensuring optimal mechanical and processing properties in the resulting materials.

3.2. ABS Morphology and Performance

Figure 1 presents STEM micrographs illustrating the morphologies of ABS materials prepared with high-cis PB (B-1) and poly(butadiene-co-myrcene) copolymers. The dark regions correspond to the rubbery phase and PSAN-grafted rubber, whereas the light zones represent the continuous PSAN matrix and occluded PSAN fractions.
ABS formulated with high-cis PB predominantly exhibits a classic salami-like morphology characterized by spherical rubber particles with embedded occlusions. In contrast, the ABS containing poly(butadiene-co-myrcene) copolymers features a combination of salami-like particles alongside elongated and rod-shaped occlusions. This morphological evolution intensifies progressively with increasing myrcene content, reflecting the influence of terpene composition on phase development. The increased terpene fraction introduces a higher density of pendant double bonds along the polymer backbone, which promotes more extensive grafting reactions with the PSAN matrix. This enhanced grafting improves interfacial adhesion between the rubber phase and the matrix, stabilizing non-spherical morphologies such as elongated and rod-like particles. Consequently, both the particle diameter (Dp) and the rubber volume fraction (Φrubber) increase from 956 to 1187 nm and from 0.49 to 0.58, respectively, as detailed in Table 6.
These morphological changes correlate with significant improvements in impact resistance and ductility, indicating that the altered topographies facilitate more effective energy absorption and stress dissipation [27].
The increase in elongated morphologies further suggests that higher stirring speeds are necessary during phase inversion to achieve adequate particle dispersion due to the enhanced rubber–matrix interactions and viscosity changes imparted by the terpene segments. Consequently, optimal stirring speeds and reaction conditions must be carefully tuned to preserve desired morphology and maximize impact properties.
While the improved toughness of the ABS is mainly attributed to morphological changes and grafting, it is important to clarify the compatibilization mechanism. The terpene-derived bioelastomers maintain a high 1,4-cis polybutadiene microstructure, providing essential elastomeric properties. Interfacial compatibility in these systems arises from grafting reactions during processing, where unsaturated sites (e.g., pendent double bonds from terpene units) on the rubber phase chemically bond with the styrene-acrylonitrile (SAN) matrix. This grafting enhances interfacial adhesion, stabilizes the phase morphology, and improves dispersion, effectively functioning as an intrinsic compatibilization strategy.
Analyzing the type of morphology obtained from the copolymers, it shows a similarity to particles with occlusions, which is consistent with previous reports on ABS materials produced via bulk processes and using high-cis polybutadiene. However, the elongated particles are a novel feature of this material. When combined with the occluded particles, the copolymers demonstrate superior impact resistance compared to materials reported in the literature [5,28].
Table 6 additionally details the properties of the continuous and dispersed phases. The continuous PSAN phase exhibits consistent molecular weights (236,000–250,000 g/mol) and dispersities (~2.3–2.6) regardless of rubber type, indicating that the bio-based copolymer does not significantly alter the matrix polymerization.
Regarding the rubber phase, gel content remains relatively constant across samples, whereas the swelling index exhibits a modest increase from 6.7 to 8.3 with higher myrcene incorporation. This increase likely reflects the presence of branched terpene units, which increase free volume and chain mobility in the rubber domains, leading to enhanced swelling capability.
The mechanical behavior of the synthesized ABS materials is depicted in Figure 2, and the quantitative results from tensile and impact testing along with melt flow index (MFI) values are summarized in Table 7. The control ABS-B-1, based on high-cis polybutadiene (PB), exhibits higher yield strength (24.45 MPa), ultimate tensile strength (21.58 MPa), and Young’s modulus (1202 MPa), while showing lower elongation at break (11.72%) compared to ABS samples containing poly(butadiene-co-myrcene) copolymers.
A distinct trend is observed where increasing myrcene content in the copolymer correlates with a moderate decrease in yield and tensile strengths (from 23.78 to 22.22 MPa and from 19.26 to 18.62 MPa, respectively) but a corresponding increase from 12.66 to 14.09% in elongation at break, indicating enhanced ductility. This behavior is consistent with the modified rubber morphology and the increased rubber volume fraction (from 0.49 to 0.58), which effectively plasticize the PSAN matrix and promote greater deformability by facilitating stress transfer and energy dissipation during mechanical loading.
Impact resistance, a critical parameter for rubber-reinforced styrenic polymers, significantly improves with higher myrcene incorporation, surpassing 580 J/m at 29.2 wt% myrcene. This property depends mainly on the characteristics of the rubber phase, since it is responsible the absorption and dissipation of energy when a mechanical impact is applied [29]. Therefore, the reported dramatic enhancement reflects the beneficial effects of the altered morphology—especially the presence of elongated and rod-like rubber particles—and increased rubber phase volume fraction [30].
The swelling index (see Table 6) suggests that crosslink density within the rubber phase slightly diminishes as myrcene content increases, leading to more flexible rubber domains. This balance between adequate crosslinking to maintain particle integrity and flexibility to facilitate energy dissipation is crucial for optimizing impact toughness. Over-crosslinked rigid particles would reduce toughness, whereas too little crosslinking may compromise reinforcement.
Melt flow indices remain within a narrow range (3.3–4.8 g/10 min), confirming effective removal of residual monomers and good processability for injection molding applications.
The dynamic-mechanical properties of the synthetized ABS are shown in Figure 3. The behavior of the materials is similar; at low temperatures between −90 and −83 °C, there is a significant relaxation (maximum peak temperature in Tan δ) associated with the glass transition temperature (Tg) of the rubber phase. The occurrence of this relaxation results in a decrease in the storage modulus (E′). As the temperature increases, a secondary broad-range relaxation occurs at elevated temperatures (89–105 °C). This transition is associated with the Tg of the continuous PSAN phase.
ABS samples containing poly(butadiene-co-myrcene) copolymers show a reduced storage modulus (E′) across the measured temperature range relative to the control ABS-B-1, consistent with the lowered stiffness from tensile testing results. The increased area under the rubber-phase Tg peak in the Tan δ curves corresponds to the elevated rubber volume fraction and suggests a higher fraction of rubber chains actively participating in relaxation processes [31].
These observations confirm that the bio-based copolymers contribute to a more elastomeric and dynamically responsive rubber phase in ABS, enhancing energy absorption capabilities during mechanical deformation.

3.3. Rubbers

Concerning the copolymers used for vulcanization, curing tests were performed by monitoring the torque evolution at constant deformation under isothermal conditions at 145 °C. The resulting vulcanization curves are presented in Figure 4, with summarized kinetic parameters listed in Table 8.
The materials evaluated exhibited low minimum torque (ML) values, indicating no significant crosslinking prior to the initiation of vulcanization, which ensures proper handling and mixing stability. The scorch time (ts2), defined as the time before vulcanization onset, increases as the terpene content in the copolymer increases. This behavior can be explained by the steric and configurational influence of the double bonds in the pendant terpene units, which modulate the reactivity compared to pure polybutadiene chains.
Subsequent to the scorch time, the curing curves demonstrate an increment in torque, as the material’s stiffness rises proportionately with the density of elastically active crosslinks between the rubber chains [32]. The maximum measured torque (MH) is associated with the total contribution of elastically active bonds generated during the vulcanization process [33]. Comparing the different systems studied, copolymers based on β-myrcene have MH values similar to those obtained by the high-cis PB (VR-B-2). However, in the case of copolymers containing trans-β-farnesene above 10 wt%, there is a notable decrease in MH. This is associated with a lower efficiency in consolidating crosslinks by this monomer. This reduction is likely due to steric hindrance or reduced accessibility of functional groups for crosslink formation, impairing network consolidation.
The delta torque (MH – ML) further reflects the extent of bond formation during vulcanization, including the contribution from double bonds in the copolymers. Despite the terpene units introducing more double bonds that could facilitate vulcanization, the overall crosslink density remains governed by polymer architecture and steric effects rather than double bond abundance alone. This is supported by the decreasing delta torque observed for trans-β-farnesene-containing rubbers with increasing terpene content.
Additionally, the curing rate index (CRI), representing vulcanization speed, declines with rising terpene incorporation, confirming that the presence of these bio-based monomers hinders crosslinking reactions, requiring longer times to reach full cure.
The Payne effect, which indicates filler–filler interactions and dispersion in the polymer matrix, was analyzed as shown in Figure 5 along with corresponding ∆G′ values. Vulcanized rubbers containing β-myrcene exhibit higher ∆G′ (926.44 kPa) than the control VR-B-2 (806.33 kPa), implying stronger filler–filler networking and thus less homogeneous filler dispersion. This trend intensifies with increasing β-myrcene content, suggesting that the lower crosslink density and altered polymer–filler interactions promote carbon black aggregation.
Conversely, rubbers with trans-β-farnesene maintain ∆G′ values close to the control (between 806 and 815 kPa), indicating better filler dispersion. This effect is attributed to the larger size and flexible nature of the farnesene side groups, which inhibit filler–filler interactions and promote improved polymer chain mobility, reducing filler agglomeration.
Stress–strain behavior of vulcanized compounds is depicted in Figure 6, with mechanical parameters detailed in Table 9. β-myrcene copolymers show reduced tensile strength (<12 MPa) and modulus (8.03–1.26) relative to the high-cis polybutadiene (VR-B-2) but exhibit significantly increased elongation at break (up to ~530%). This enhanced extensibility correlates with decreased crosslink density and more flexible network structures, as supported by vulcanization data and swelling tests.
In contrast, trans-β-farnesene-based copolymers demonstrate further lowered stress (<8.5 MPa) and modulus values (7.29–1.20 MPa) and moderate elongations (~400–465%). This confirms the notion of softer elastomeric behavior with lower crosslink density and suggests the need to optimize vulcanization formulations to improve polymer–polymer and filler–polymer interactions for enhanced mechanical properties.
The Shore A hardness values (Figure 7) decrease with terpene content, dropping from 51 in controls to approximately 47 and 49 for β-myrcene and farnesene copolymers, respectively, reflecting the softer nature of these materials due to their reduced crosslink densities (<1.20 × 10−4 mol/mL).
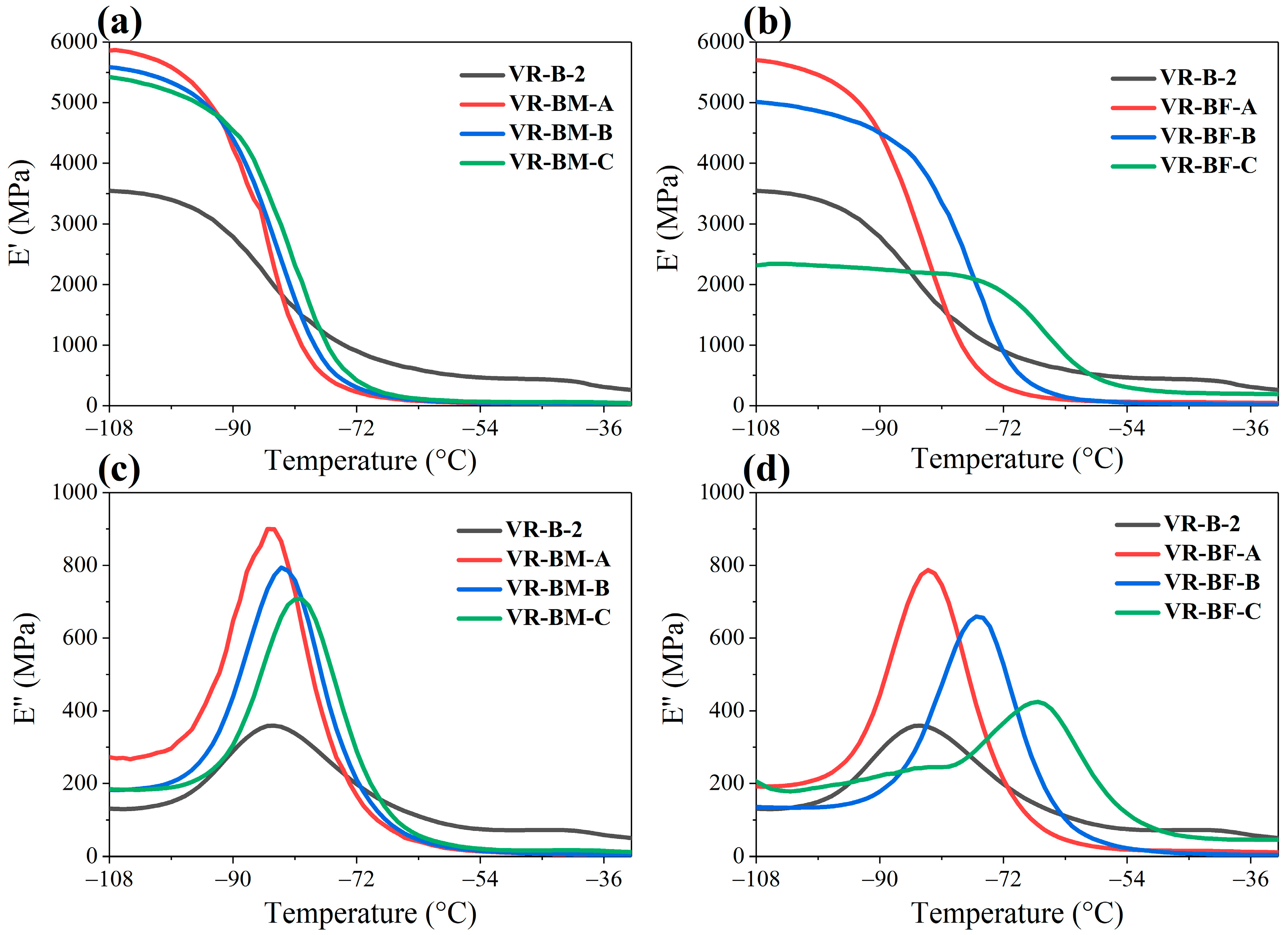
The dynamic-mechanical behavior of the vulcanized compounds as a function of temperature is shown in Figure 8. As temperature increases, the storage modulus (E′) decreases in all samples, reflecting the increased flexibility of the vulcanized materials at elevated temperatures. This phenomenon is related to the Tg of the vulcanized compounds, where the material changes from a glassy (rigid) state to an elastic or viscous state.
In the loss modulus (E″), the magnitude of the peak progressively increases with temperature until reaching a maximum at Tg, beyond which it declines. This loss peak signifies the material’s maximum energy dissipation capability during segmental chain motion. At temperatures below the Tg, all vulcanized compounds exhibited relatively low loss modulus values, indicating that energy dissipation is lower in the glassy state. However, when relaxation occurs, copolymers exhibit greater energy dissipation, which is attributed to decreased mobility restriction given by a lower crosslinking density. Tg of the copolymer increases with increasing terpene content. Notably, when comparing copolymers with equivalent terpene concentration (~30 wt%) of β-myrcene and trans-β-farnesene, the farnesene-containing system displays a Tg shift toward higher temperatures. This shift is consistent with greater molecular restriction caused by the larger side group size of farnesene.

4. Conclusions

This study successfully demonstrates the synthesis of novel bio-based elastomers via coordination chain transfer polymerization of 1,3-butadiene with renewable terpene monomers—β-myrcene and trans-β-farnesene—achieving high incorporation levels up to 45 wt% while maintaining the critical high content (>90%) of 1,4-cis microstructure necessary for elastomeric behavior. When formulated into ABS, these copolymers induced significant morphological changes, including the development of elongated and rod-like rubber particles, leading to a notable improvement in impact resistance by over 18% (580 J/m vs. 491 J/m) compared to conventional ABS with pure polybutadiene. Additionally, incorporation of terpene segments optimized the balance between tensile strength and ductility, with elongation at break increasing by approximately 24% in the highest terpene-loaded samples.
In vulcanized rubber systems, terpene incorporation modulated curing kinetics and crosslink density. The β-myrcene-containing copolymers exhibited marked enhancements in elongation at break—up to 530%—representing a roughly 20% increase relative to standard polybutadiene rubber—although with a moderate reduction in tensile strength. Enhanced dynamic mechanical properties and improved filler dispersion further underscore the potential of these bioelastomers to tailor performance profiles for specialized applications.
Future studies will focus on addressing the challenges related to reduced crosslink density observed in the current formulations, as well as evaluating the aging and long-term durability of the terpene-based elastomers to better assess their commercial viability and performance over time.
Additionally, this new type of ABS based on copolymers poly(butadiene-co-myrcene) has the characteristics to be used in conjunction with or individually from other typers of commercial ABS obtained via bulk processes, mainly due to the type of morphology obtained. This allows the material to be designated for diverse applications for instance toys and household appliances.

Author Contributions

Conceptualization, I.M., L.V., H.R.L.-G. and R.D.d.L.; data curation, T.C., J.A.D.E. and J.L.G.Z.; formal analysis, J.L.G.Z. and I.M.; funding acquisition, H.R.L.-G. and R.D.d.L.; investigation, J.L.G.Z.; methodology, T.C., H.S. and A.C.F.; project administration, H.R.L.-G. and R.D.d.L.; resources, L.V. and R.D.d.L.; visualization, I.M., L.V. and H.R.L.-G.; writing—original draft, I.M.; writing—review and editing, L.V., H.R.L.-G. and R.D.d.L. All authors have read and agreed to the published version of the manuscript.

Funding

This research was funded by Secretaría de Ciencia, Humanidades, Tecnología e Innovación (SECIHTI), grant number A1-S-34241 and Centro de Investigación en Química Aplicada (CIQA) through the internal projects 6752 and 6793.

Data Availability Statement

The original data presented in the study are openly available in repository CIQA at http://ciqa.repositorioinstitucional.mx/jspui/handle/1025/775 (accessed on 5 August 2025).

Acknowledgments

To Secretaría de Ciencia, Humanidades, Tecnología e Innovación (SECIHTI) for the financial support provided for the completion of Córdova’s postdoctoral fellowship. We appreciate the technical support of Myrna Salinas Hernández, Fabiola Castellanos, Ricardo Mendoza, Mario Palacios and Martha Roa for their technical support in thermal characterization, HIPS processing, mechanical analysis and dynamic mechanical characterization.

Conflicts of Interest

Authors Luis Valencia were employed by DuPont de Nemours. The remaining authors declare that the research was conducted in the absence of any commercial or financial relationships that could be construed as a potential conflict of interest.

References

  1. Chen, Y.; Kuo, M.J.; Lobo, R.; Ierapetritou, M. Ethylene Production: Process Design, Techno-Economic and Life-Cycle Assessments. Green Chem. 2024, 26, 2903–2911. [Google Scholar] [CrossRef]
  2. Wilbon, P.A.; Chu, F.; Tang, C. Progress in Renewable Polymers from Natural Terpenes, Terpenoids, and Rosin. Macromol. Rapid Commun. 2013, 34, 8–37. [Google Scholar] [CrossRef] [PubMed]
  3. Magaña, I.; López, R.; Enríquez-Medrano, F.J.; Kumar, S.; Aguilar-Sanchez, A.; Handa, R.; Díaz de León, R.; Valencia, L. Bioelastomers: Current State of Development. J. Mater. Chem. A Mater. 2022, 10, 5019–5043. [Google Scholar] [CrossRef]
  4. Burelo, M.; Martínez, A.; Hernández-Varela, J.D.; Stringer, T.; Ramírez-Melgarejo, M.; Yau, A.Y.; Luna-Bárcenas, G.; Treviño-Quintanilla, C.D. Recent Developments in Synthesis, Properties, Applications and Recycling of Bio-Based Elastomers. Molecules 2024, 29, 387. [Google Scholar] [CrossRef]
  5. Yu, Z.; Li, Y.; Wang, Y.; Yang, L.; Liu, Y.; Li, Y.; Li, Z.; Zhao, Z. Morphological, Mechanical Properties, and Fracture Behavior of Bulk-made ABS Resins Toughened by High- Cis Polybutadiene Rubber. Polym. Eng. Sci. 2010, 50, 961–969. [Google Scholar] [CrossRef]
  6. Sarkar, P.; Bhowmick, A.K. Terpene Based Sustainable Elastomer for Low Rolling Resistance and Improved Wet Grip Application: Synthesis, Characterization and Properties of Poly(Styrene-Co-Myrcene). ACS Sustain. Chem. Eng. 2016, 4, 5462–5474. [Google Scholar] [CrossRef]
  7. Lebedeva, E.A.; Ivanova, E.V.; Trukhinov, D.K.; Istomina, T.S.; Knyazev, N.S.; Malkin, A.I.; Chechetkin, V.A.; Korotkov, A.N.; Balasoiu, M.; Astaf’eva, S.A. Electrophysical Characteristics of Acrylonitrile Butadiene Styrene Composites Filled with Magnetite and Carbon Fiber Fillers. Polymers 2024, 16, 2153. [Google Scholar] [CrossRef]
  8. Zhu, H.; Tang, M.; Hao, Y.; Zhou, Z.; Sun, D.; Yu, P.; Wu, Y. Novel Polybutadiene Rubber with Long Cis-1,4 and Syndiotactic Vinyl Segments (CVBR) for High Performance Sidewall of All-Steel Giant off-the-Road Tire. Compos. B Eng. 2024, 275, 111349. [Google Scholar] [CrossRef]
  9. Díaz de León, R.; López, R.; Valencia, L.; Mendoza, R.; Cabello, J.; Enríquez, J. Towards Bioelastomers via Coordination Polymerization of Renewable Terpenes Using Neodymium-Based Catalyst Systems. Key Eng. Mater. 2018, 779, 115–121. [Google Scholar] [CrossRef]
  10. Valente, A.; Mortreux, A.; Visseaux, M.; Zinck, P. Coordinative Chain Transfer Polymerization. Chem. Rev. 2013, 113, 3836–3857. [Google Scholar] [CrossRef]
  11. Alioui, S.; Montarnal, D.; D’Agosto, F.; Boisson, C. Block Copolymers from Coordinative Chain Transfer (Co)Polymerization (CCT(Co)P) of Olefins and 1,3-Dienes and Mechanical Properties of the Resulting Thermoplastic Elastomers. Polym. Chem. 2025, 16, 3761–3807. [Google Scholar] [CrossRef]
  12. Sahu, P.; Bhowmick, A.K.; Kali, G. Terpene Based Elastomers: Synthesis, Properties, and Applications. Processes 2020, 8, 553. [Google Scholar] [CrossRef]
  13. Wang, Z.; Yuan, L.; Tang, C. Sustainable Elastomers from Renewable Biomass. Acc. Chem. Res. 2017, 50, 1762–1773. [Google Scholar] [CrossRef] [PubMed]
  14. Lamparelli, D.H.; Kleybolte, M.M.; Winnacker, M.; Capacchione, C. Sustainable Myrcene-Based Elastomers via a Convenient Anionic Polymerization. Polymers 2021, 13, 838. [Google Scholar] [CrossRef] [PubMed]
  15. Wahlen, C.; Frey, H. Anionic Polymerization of Terpene Monomers: New Options for Bio-Based Thermoplastic Elastomers. Macromolecules 2021, 54, 7323–7336. [Google Scholar] [CrossRef]
  16. Obermeier, F.; Stockmann, P.N.; Strube, O.I. Green Chemistry in Coatings: Terpene Based Acrylates as Substitutes for Petrochemical Compounds. Eur. Polym. J. 2025, 231, 113913. [Google Scholar] [CrossRef]
  17. González-Zapata, J.L.; Enríquez-Medrano, F.J.; López González, H.R.; Revilla-Vázquez, J.; Carrizales, R.M.; Georgouvelas, D.; Valencia, L.; Díaz de León Gómez, R.E. Introducing Random Bio-Terpene Segments to High Cis -Polybutadiene: Making Elastomeric Materials More Sustainable. RSC Adv. 2020, 10, 44096–44102. [Google Scholar] [CrossRef]
  18. Baumgartner, E.; Hofmann, J.; Jung, R.H.; Moors, R.; Schaech, H. Preparation of ABS Molding Material. US Patent 5387650, 7 February 1995. [Google Scholar]
  19. ASTM D-256; Standard Test Methods for Determining the Izod Pendulum Impact Resistance of Plastics. ASTM International: West Conshohocken, PA, USA, 2024.
  20. ASTM D638; Standard Test Method for Tensile Properties of Plastics. ASTM International: West Conshohocken, PA, USA, 2014.
  21. ASTM D1238; Standard Test Method for Melt Flow Rates of Thermoplastics by Extrusion Plastometer. ASTM International: West Conshohocken, PA, USA, 2020.
  22. Pöschl, M.; Sathi, S.G.; Stoček, R. A Chemical Interpretation for the Post-Reversion Upturn in the Natural Rubber/Accelerated Sulfur System Based on the Viscoelastic Properties and Cross-Link Density Measurements. Polym. Bull. 2024, 81, 12521–12541. [Google Scholar] [CrossRef]
  23. ASTM 412; Standard Test Methods for Vulcanized Rubber and Thermoplastic Elastomers—Tension. ASTM International: West Conshohocken, PA, USA, 2021.
  24. ASTM D2240; Standard Test Method for Rubber Property—Durometer Hardness. ASTM International: West Conshohocken, PA, USA, 2021.
  25. Guo, X.; Liu, X.; Shan, S.; Zhao, W.; Su, H.; Jia, Q. Green Approach toward Sustainable Adhesive: Synthesis and Characterization of Poly(Myrcene Sulfone). J. Taiwan Inst. Chem. Eng. 2019, 95, 208–216. [Google Scholar] [CrossRef]
  26. Sarkar, P.; Bhowmick, A.K. Green Approach toward Sustainable Polymer: Synthesis and Characterization of Poly(Myrcene-Co-Dibutyl Itaconate). ACS Sustain. Chem. Eng. 2016, 4, 2129–2141. [Google Scholar] [CrossRef]
  27. Hu, Y.; Jia, Z.; Li, Y.; Chang, L.; Wang, Y. Synthesis and Impact Properties of in Situ Bulk Made ABS Resins Toughened by High Cis-1,4 Polybutadiene. Mater. Sci. Eng. A 2011, 528, 6667–6672. [Google Scholar] [CrossRef]
  28. Yu, Z.; Li, Y.; Zhao, Z.; Wang, C.; Yang, J.; Zhang, C.; Li, Z.; Wang, Y. Effect of Rubber Types on Synthesis, Morphology, and Properties of ABS Resins. Polym. Eng. Sci. 2009, 49, 2249–2256. [Google Scholar] [CrossRef]
  29. Rovere, J.; Correa, C.A.; Grassi, V.G.; Pizzol, M.F.D. Role of the Rubber Particle and Polybutadiene Cis Content on the Toughness of High Impact Polystyrene. J. Mater. Sci. 2008, 43, 952–959. [Google Scholar] [CrossRef]
  30. De Díaz León, R.; Morales, G. Evaluation of the Interfacial State in High Impact Polystyrene through Dynamic Mechanical Analysis as a Function of the Synthesis Conditions. Polym. Eng. Sci. 2007, 47, 1827–1838. [Google Scholar] [CrossRef]
  31. Rivera, M.R.; Herrera, N.R.; Ríos, G.L. Structure and Properties of Model Polybutadienes and HIPS: Effect of Rubber Microstructure on HIPS Dynamic Mechanical Properties. J. Elastomers Plast. 2006, 38, 133–146. [Google Scholar] [CrossRef]
  32. Urrego Yepes, W.; Velásquez Restrepo, S.M.; Giraldo Vásquez, D.H.; Posada Correa, J.C. Efecto Del Sistema de Vulcanización En La Red Entrecruzada y En La Reacción Química de Vulcanización Del Caucho Natural. Rev. EIA 2018, 14, 99–115. [Google Scholar] [CrossRef]
  33. Coran, A.Y. Vulcanization. In Science and Technology of Rubber; Academic Press: Cambridge, MA, USA, 2005; pp. 321–366. [Google Scholar] [CrossRef]
Figure 1. STEM micrographs showing rubber phase morphology differences in ABS with high-cis polybutadiene and poly(butadiene-co-myrcene) copolymers.
Figure 1. STEM micrographs showing rubber phase morphology differences in ABS with high-cis polybutadiene and poly(butadiene-co-myrcene) copolymers.
Processes 13 03052 g001
Figure 2. Stress–strain curves of ABS materials.
Figure 2. Stress–strain curves of ABS materials.
Processes 13 03052 g002
Figure 3. Dynamic mechanical analysis plots of storage modulus (E′) and Tan δ for (a) ABS-B-1, (b) ABS-BM-A, (c) ABS-BM-B, and (d) ABS-BM-C.
Figure 3. Dynamic mechanical analysis plots of storage modulus (E′) and Tan δ for (a) ABS-B-1, (b) ABS-BM-A, (c) ABS-BM-B, and (d) ABS-BM-C.
Processes 13 03052 g003
Figure 4. Vulcanization torque curves showing curing behavior of bio-based (a) poly(butadiene-co-myrcene) and (b) poly(butadiene-co-farnesene) rubbers.
Figure 4. Vulcanization torque curves showing curing behavior of bio-based (a) poly(butadiene-co-myrcene) and (b) poly(butadiene-co-farnesene) rubbers.
Processes 13 03052 g004
Figure 5. Payne effect curves and ∆G′values of (a,b) poly(butadiene-co-myrcene) and (c,d) poly(butadiene-co-farnesene).
Figure 5. Payne effect curves and ∆G′values of (a,b) poly(butadiene-co-myrcene) and (c,d) poly(butadiene-co-farnesene).
Processes 13 03052 g005
Figure 6. Stress–strain curves obtained for vulcanized rubbers of (a) poly(butadiene-co-myrcene) and (b) poly(butadiene-co-farnesene).
Figure 6. Stress–strain curves obtained for vulcanized rubbers of (a) poly(butadiene-co-myrcene) and (b) poly(butadiene-co-farnesene).
Processes 13 03052 g006
Figure 7. Crosslinking density and Shore A hardness of vulcanized (a) poly(butadiene-co-myrcene) and (b) poly(butadiene-co-farnesene).
Figure 7. Crosslinking density and Shore A hardness of vulcanized (a) poly(butadiene-co-myrcene) and (b) poly(butadiene-co-farnesene).
Processes 13 03052 g007
Figure 8. Storage modulus (E′) and loss modulus (E″) with respect temperature of poly(butadiene-co-myrcene) (a,c) and poly(butadiene-co-farnesene) (b,d) vulcanized rubbers.
Figure 8. Storage modulus (E′) and loss modulus (E″) with respect temperature of poly(butadiene-co-myrcene) (a,c) and poly(butadiene-co-farnesene) (b,d) vulcanized rubbers.
Processes 13 03052 g008
Table 1. Reaction conditions and catalyst ratios for the synthesis of poly(butadiene-co-terpene) copolymers.
Table 1. Reaction conditions and catalyst ratios for the synthesis of poly(butadiene-co-terpene) copolymers.
SampleButadiene/Terpene
Composition (wt%)
TerpeneTemperature (°C)[Al]/[Nd] *[M]/[Nd] **
B-1100/0-70209000
B-2100/0-80257500
BM-A90/10Myrcene70209000
BM-B85/15Myrcene70209000
BM-C70/30Myrcene70209000
BF-A85/15Farnesene80257200
BF-B70/30Farnesene80257000
BF-C50/50Farnesene80256400
* Molar ratio of diisobutylaluminum hydride/neodymium versatate, ** molar ratio of (co)-monomer/neodymium versatate.
Table 2. Composition of reagents used in the mass-mass synthesis of ABS.
Table 2. Composition of reagents used in the mass-mass synthesis of ABS.
ReactiveConcentration (wt%)
Styrene90.18
Rubber (PB or biobased elastomer)4.89
Ethylbenzene3.94
Mineral Oil0.86
Antioxidant0.0389
Zinc stearate0.0599
Initiator0.0182
CTA0.0107
Table 3. Injection molding processing parameters for ABS test specimens.
Table 3. Injection molding processing parameters for ABS test specimens.
Parameters (Units)Values
Temperature profile (°C)240/240/220/200
Injection temperature (°C)240
Injection pressure (bar)110/90/80
Holding pressure (bar)60/35
Injection time (s)25
Cooling time (s)19
Screw speed (rpm)90
Mold temperature (°C)50
Table 4. Formulation of vulcanization compounds for poly(butadiene-co-terpene) rubbers.
Table 4. Formulation of vulcanization compounds for poly(butadiene-co-terpene) rubbers.
ComponentContent (phr)Temperature (°C)
Rubber100
Carbon black50
Extender oil3090
Stearic acid0.75
Zinc oxide0.75
Paraffin wax1
Sulfur1
CBS280
DPG1.5
Table 5. Molecular characteristics and microstructure of synthesized poly(butadiene-co-terpene) copolymers.
Table 5. Molecular characteristics and microstructure of synthesized poly(butadiene-co-terpene) copolymers.
SampleTerpene UsedButadiene/Terpene
Composition (wt%) a
Mw (g/mol) bÐ c1,4-cis (%) d
B-1--100/0630 0003.296.4
B-2--100/0584 5003.396.1
BM-AMyrcene91.4/8.6512 0003.594.6
BM-BMyrcene83.3/16.7485 0003.295.2
BM-CMyrcene70.8/29.2735 0004.097.0
BF-AFarnesene83.2/16.8597 0003.3>90
BF-BFarnesene70.9/29.1485 0003.2>90
BF-CFarnesene54.8/45.2397 0003.1>90
a Calculated by 1H NMR spectra, b,c Determined by GPC, and d Calculated through 1H RMN and 13C NMR spectra.
Table 6. Morphological parameters and phase characteristics of ABS formulations.
Table 6. Morphological parameters and phase characteristics of ABS formulations.
SampleMwPSAN (g/mol)ÐGel Content (%)Swell IndexDp (nm)Φrubber
ABS-B-1236, 2002.622.06.79560.49
ABS-BM-A250, 6002.321.87.310420.49
ABS-BM-B245, 2002.322.18.112050.68
ABS-BM-C248, 3002.521.78.311870.58
Table 7. Mechanical properties, impact resistance, and melt flow indices of ABS samples.
Table 7. Mechanical properties, impact resistance, and melt flow indices of ABS samples.
SampleΕ (%)σγ (MPa)σ (MPa)E (MPa)IR (J/m)MFI (g/10 min)
ABS-B-111.72 ± 0.7624.45 ± 0.4021.58 ± 1.771202 ± 25491 ± 443.9 ± 0.29
ABS-BM-A12.66 ± 1.5523.78 ± 0.3419.26 ± 0.861162 ± 28509 ± 424.2 ± 0.11
ABS-BM-B13.61 ± 0.4722.65 ± 0.5519.05 ± 1.171159 ± 15567 ± 484.8 ± 0.46
ABS-BM-C14.09 ± 1.8022.22 ± 0.5018.62 ± 0.951141 ± 26581 ± 403.3 ± 0.19
Table 8. Vulcanization kinetic parameters derived from rheological measurements on vulcanized rubbers.
Table 8. Vulcanization kinetic parameters derived from rheological measurements on vulcanized rubbers.
SampleMH (dNm)ML (dNm)MH – ML (dNm)ts2 (min)tc90 (min)CRI (min−1)
VR-B-210.280.619.671.825.6925.83
VR-BM-A10.461.029.442.287.5119.12
VR-BM-B10.460.879.592.358.3216.75
VR-BM-C10.110.929.202.449.3614.45
VR-BF-A10.190.669.532.517.5719.76
VR-BF-B9.540.668.882.558.9416.15
VR-BF-C8.880.618.272.879.6714.70
Table 9. Mechanical parameters obtained from stress–strain tests of vulcanized copolymer rubbers.
Table 9. Mechanical parameters obtained from stress–strain tests of vulcanized copolymer rubbers.
Sampleε (%)σ (MPa)M100 (MPa)M200 (MPa)M300 (MPa)M400 (MPa)M500 (MPa)
VR-B-2441.64 ± 31.4113.23 ± 0.771.56 ± 0.174.11 ± 0.647.73 ± 1.1611.70 ± 0.35-
VR-BM-A520.47 ± 36.5911.42 ± 0.921.26 ± 0.082.92 ± 0.165.43 ± 0.248.03 ± 0.3410.88 ± 0.51
VR-BM-B525.62 ± 34.4710.14 ± 0.591.02 ± 0.062.49 ± 0.144.67 ± 0.277.10 ± 0.369.55 ± 0.43
VR-BM-C532.67 ± 22.788.07 ± 0.461.01 ± 0.052.22 ± 0.203.79 ± 0.325.57 ± 0.457.46 ± 0.36
VR-BF-A432.40 ± 14.958.09 ± 0.951.20 ± 0.172.61 ± 0.614.71 ± 0.187.29 ± 0.38-
VR-BF-B453.57 ± 31.637.53 ± 0.941.06 ± 0.102.44 ± 0.204.27 ± 0.316.32 ± 0.42-
VR-BF-C465.60 ± 4.165.53 ± 1.411.05 ± 0.042.13 ± 0.313.38 ± 0.554.70 ± 0.63-
Disclaimer/Publisher’s Note: The statements, opinions and data contained in all publications are solely those of the individual author(s) and contributor(s) and not of MDPI and/or the editor(s). MDPI and/or the editor(s) disclaim responsibility for any injury to people or property resulting from any ideas, methods, instructions or products referred to in the content.

Share and Cite

MDPI and ACS Style

Magaña, I.; González Zapata, J.L.; Saade, H.; Córdova, T.; Castañeda Facio, A.; Díaz Elizondo, J.A.; Valencia, L.; López-González, H.R.; Díaz de León, R. Terpene-Derived Bioelastomers for Advanced Vulcanized Rubbers and High-Impact Acrylonitrile–Butadiene–Styrene. Processes 2025, 13, 3052. https://doi.org/10.3390/pr13103052

AMA Style

Magaña I, González Zapata JL, Saade H, Córdova T, Castañeda Facio A, Díaz Elizondo JA, Valencia L, López-González HR, Díaz de León R. Terpene-Derived Bioelastomers for Advanced Vulcanized Rubbers and High-Impact Acrylonitrile–Butadiene–Styrene. Processes. 2025; 13(10):3052. https://doi.org/10.3390/pr13103052

Chicago/Turabian Style

Magaña, Ilse, José Luis González Zapata, Hened Saade, Teresa Córdova, Adali Castañeda Facio, José Alejandro Díaz Elizondo, Luis Valencia, Héctor Ricardo López-González, and Ramón Díaz de León. 2025. "Terpene-Derived Bioelastomers for Advanced Vulcanized Rubbers and High-Impact Acrylonitrile–Butadiene–Styrene" Processes 13, no. 10: 3052. https://doi.org/10.3390/pr13103052

APA Style

Magaña, I., González Zapata, J. L., Saade, H., Córdova, T., Castañeda Facio, A., Díaz Elizondo, J. A., Valencia, L., López-González, H. R., & Díaz de León, R. (2025). Terpene-Derived Bioelastomers for Advanced Vulcanized Rubbers and High-Impact Acrylonitrile–Butadiene–Styrene. Processes, 13(10), 3052. https://doi.org/10.3390/pr13103052

Note that from the first issue of 2016, this journal uses article numbers instead of page numbers. See further details here.

Article Metrics

Back to TopTop