Research on the Production of Hydrogen Fluoride from Silicon Tetrafluoride Using 2.45 GHz Microwave Plasma
Abstract
1. Introduction
2. Materials and Methods
2.1. Experimental Setup
2.2. Electron Density Measurement
3. Results and Discussion
3.1. Power Reflection Ratio and Electron Density
3.2. HF Production and SiF4 Conversion
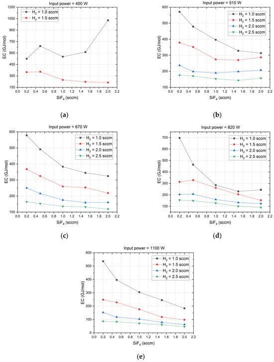
3.3. Energy Cost
3.4. Challenges of Scaling This Method in Industry
4. Conclusions
Author Contributions
Funding
Data Availability Statement
Conflicts of Interest
References
- Patel, C.; André-Joyaux, E.; Leitch, J.A.; De Irujo-Labalde, X.M.; Ibba, F.; Struijs, J.; Ellwanger, M.A.; Paton, R.; Browne, D.L.; Pupo, G.; et al. Fluorochemicals from fluorspar via a phosphate-enabled mechanochemical process that bypasses HF. Science 2023, 381, 302–306. [Google Scholar] [CrossRef] [PubMed]
- Gao, Z.Y.; Wang, C.; Sun, W.; Gao, Y.S.; Kowalczuk, P.B. Froth flotation of fluorite: A review. Adv. Colloid Interface Sci. 2021, 290, 102382. [Google Scholar] [CrossRef]
- Huang, J.W.; Zhang, Q.W.; Li, H.C.; Wang, C. Difficulties and recent achievements in flotation separation of fluorite from calcite-an overview. Minerals 2022, 12, 957. [Google Scholar] [CrossRef]
- Hu, Y.X.; Wang, L.Q.; Kevlishvili, I.; Wang, S.; Chiou, C.Y.; Shieh, P.; Lin, Y.; Kulik, H.J.; Johnson, J.A.; Craig, S.L. Self-Amplified HF Release and Polymer Deconstruction Cascades Triggered by Mechanical Force. J. Am. Chem. Soc. 2024, 146, 10115–10123. [Google Scholar] [CrossRef]
- Zhang, S.L.; Dong, J.J. Hydrogen-Bonding-Assisted α-F Elimination from Cu-CF3 for in Situ Generation of R3N·HF Reagents: Reaction Design and Applications. Org. Lett. 2019, 21, 6893–6896. [Google Scholar] [CrossRef]
- Roh, S.A.; Kim, W.H.; Jung, D.S.; Hong, B.K. Thermal destruction of HFC-134a in pilot-, and full-scale gasification systems. J. Energy Inst. 2019, 92, 1842–1851. [Google Scholar] [CrossRef]
- Krebs, R.; Owens, J.; Luckarift, H. Formation and detection of hydrogen fluoride gas during fire fighting scenarios. Fire Saf. J. 2022, 127, 103489. [Google Scholar] [CrossRef]
- Yu, W.; Liu, C.; Li, Q.B.; Xin, L.Y.; Wang, S.K. Resource utilization of waste HFC-134a refrigerant by supercritical gasification method: A reactive molecular dynamic study. Process Saf. Environ. 2022, 168, 399–409. [Google Scholar] [CrossRef]
- Kang, K.Y.; Kim, Y.J.; Kim, W.I.; Shin, S.K. Analytical method for combustible waste contaminated by the HF leakage from industrial process. Anal. Sci. Technol. 2014, 27, 167–171. [Google Scholar] [CrossRef]
- Gomaa, I.; Mahmoud, M. Stimulating illitic sandstone reservoirs using in-situ generated HF with the aid of thermochemicals. J. Pet. Sci. Eng. 2020, 190, 107089. [Google Scholar] [CrossRef]
- Hull, K.L.; Cairns, A.J.; Haq, M. Bromate Oxidation of Ammonium Salts: In Situ Acid Formation for Reservoir Stimulation. Inorg. Chem. 2019, 58, 3007–3017. [Google Scholar] [CrossRef]
- Wan, J.J.; Zhao, X.H.; Li, K. Online Detection of Hydrogen Fluoride under Corona Discharge in Gas-Insulated Switchgear Based on Photoacoustic Spectroscopy. Sensors 2024, 24, 2806. [Google Scholar] [CrossRef] [PubMed]
- Lux, S.F.; Chevalier, J.; Lucas, I.T.; Kostechi, R. HF Formation in LiPF6-Based Organic Carbonate Electrolytes. ECS Electrochem. Lett. 2012, 2, A121–A123. [Google Scholar] [CrossRef]
- Chen, J.; Li, C.; Zhang, J.; Li, C.; Chen, J.; Ren, Y. First-Principles Study on the Adsorption and Dissociation of Impurities on Copper Current Collector in Electrolyte for Lithium-Ion Batteries. Materials 2018, 11, 1256. [Google Scholar] [CrossRef]
- Rodrigues, M.T.F.; Liao, C.; Kalaga, K.; Shkrob, I.A.; Abraham, D.P. Dehydration Rather Than HF Capture Explains Performance Improvements of Li-Ion Cells by Ceramic Nanoparticles. ACS Appl. Energy Mater. 2019, 2, 5380–5385. [Google Scholar] [CrossRef]
- Dahlke, T.; Ruffiner, O.; Cant, R. Production of HF from H2SiF6. Procedia Eng. 2016, 138, 231–239. [Google Scholar] [CrossRef]
- Joshi, A.N. A review of processes for separation and utilization of fluorine from phosphoric acid and phosphate fertilizers. Chem. Pap. 2022, 76, 6033–6045. [Google Scholar] [CrossRef]
- Yang, H.; Li, S.; Yu, H.; Liu, H.; Sun, K.; Chen, X. Production of anhydrous hydrogen fluoride from fluorosilicic acid: A review. Front. Chem. 2022, 12, 1372981. [Google Scholar] [CrossRef]
- Reed, R.S. Production of High Purity Hydrogen Fluoride from Silicon Tetrafluoride. U.S. Patent 4,036,938, 19 July 1977. [Google Scholar]
- AMani, K.; Chland, A.F. Process for the Recovery of Anhydrous Hydrogen Fluoride from Aqueous Solutions of Fluo-Silicic Acid and Hydrogen Fluoride. U.S. Patent 4,389,293, 21 June 1983. [Google Scholar]
- Hao, J. Study on producing anhydrous hydrogen fluoride by fluorosilicic acid and magnesium oxide and combined production of high quality magnesium sulfate. Inorg. Chem. Ind. 2019, 51, 40–43. [Google Scholar]
- Zhao, C.; Xiao, F.; Wang, Z. Research progress in the preparation of hydrofluoric acid from fluorosilicic acid. Organo-Fluor. Ind. 2020, 3, 32–38. [Google Scholar]
- Zhang, Y. Process technology and research progress of hydrofluoric acid production from by- product fluosilicic acid in phosphate rock processing. Henan Chem. Ind. 2023, 40, 12–15. [Google Scholar]
- Patil, B.S.; Cherkasov, N.; Lang, J.; Ibhadon, A.L.; Hessel, V.; Wang, Q. Low temperature plasma-catalytic NOx synthesis in a packed DBD reactor: Effect of support materials and supported active metal oxides. Appl. Catal. B-Environ. 2016, 194, 123–133. [Google Scholar] [CrossRef]
- Pei, X.K.; Gidon, D.; Yang, Y.-J.; Xiong, Z.L.; Graves, D.B. Reducing energy cost of NOx production in air plasmas. Chem. Eng. J. 2019, 362, 217–228. [Google Scholar] [CrossRef]
- Kelly, S.; Bogaerts, A. Nitrogen fixation in an electrode-free microwave plasma. Joule 2021, 5, 3006–3030. [Google Scholar] [CrossRef]
- Snoeckx, R.; Bogaerts, A. Plasma technology–a novel solution for CO2 conversion? Chem. Soc. Rev. 2017, 46, 5805–5863. [Google Scholar] [CrossRef] [PubMed]
- Hecimovic, A.; D’Isa, F.A.; Carbone, E.; Fantz, U. Enhancement of CO2 conversion in microwave plasmas using a nozzle in the effluent. J. CO2 Util. 2022, 57, 101870. [Google Scholar] [CrossRef]
- Wu, Y.; Li, S.Z.; Niu, Y.L.; Yan, H.J.; Yang, D.Z.; Zhang, J.L. Experimental investigation of CO2 conversion in Boudouard reaction driven by an atmospheric-pressure microwave plasma torch. J. Phys. D Appl. Phys. 2023, 56, 065201. [Google Scholar] [CrossRef]
- Liu, J.L.; Snoeckx, R.; Cha, M.S. Steam reforming of methane in a temperature-controlled dielectric barrier discharge reactor: The role of electron-induced chemistry versus thermochemistry. J. Phys. D Appl. Phys. 2018, 51, 385201. [Google Scholar] [CrossRef]
- Tao, X.M.; Yang, C.; Huang, L.; Xu, D. DBD plasma combined with catalysts derived from NiMgAlCe hydrotalcite for CO2 reforming of CH4. Mater. Chem. Phys. 2020, 250, 123118. [Google Scholar] [CrossRef]
- Akande, O.; Lee, B. Plasma steam methane reforming (PSMR) using a microwave torch for commercial-scale distributed hydrogen production. Int. J. Hydrogen Energy 2022, 47, 2874–2884. [Google Scholar] [CrossRef]
- Vodopyanov, A.V.; Golubev, S.V.; Mansfeld, D.A.; Sennikov, P.G.; Drozdov, Y.N. Experimental investigations of silicon tetrafluoride decomposition in ECR discharge plasma. Rev. Sci. Instrum. 2011, 82, 063503. [Google Scholar] [CrossRef]
- Sennikov, P.G.; Golubev, S.V.; Kornev, R.A.; Mochalov, L.A.; Shilaev, A.A. A Study of Silicon Tetrafluoride Reduction with Hydrogen in Radiofrequency Discharge. High Energy Chem. 2014, 48, 49–53. [Google Scholar] [CrossRef]
- Dornstetter, J.-C.; Bruneau, B.; Bulkin, P.; Johnson, E.V.; Cabarrocas, P.R. Understanding the amorphous-to-microcrystalline silicon transition in SiF4/H2/Ar gas mixtures. J. Chem. Phys. 2014, 140, 234706. [Google Scholar] [CrossRef] [PubMed]
- Gaiaschi, J.; Ruggeri, R.; Gueunier-Farret, M.-E.; Johnson, E.V. Use of radio frequency power, silicon tetrafluoride and methane as parameters to tune structural properties of hydrogenated microcrystalline silicon carbon alloys. J. Phys. D Appl. Phys. 2014, 47, 455102. [Google Scholar] [CrossRef]
- Kornev, R.A.; Gornushkin, I.B.; Nazarov, V.V.; Shkrunin, V.E.; Ermakov, A.A. Features of hydrogen reduction of SiF4 in ICP plasma. Spectrochim. Acta B 2022, 195, 106502. [Google Scholar] [CrossRef]
- Manteau, B.; Pazenok, S.; Vors, J.-P.; Leroux, F.R. New trends in the chemistry of α-fluorinated ethers, thioethers, amines and phosphines. J. Fluor. Chem. 2010, 131, 140–158. [Google Scholar] [CrossRef]
- Gardiner, J. Fluoropolymers: Origin, production, and industrial and commercial applications. Aust. J. Chem. 2015, 68, 13–22. [Google Scholar] [CrossRef]
- Uhlenhake, K.E.; Yehia, O.R.; Noel, A.; Terry, B.C.; Örnek, M.; Belal, H.M.; Gunduz, I.E.; Son, S.F. On the use of fluorine-containing nano-aluminum composite particles to tailor composite solid rocket propellants. Propellants Explos. Pyrotech. 2022, 47, e202100370. [Google Scholar] [CrossRef]
- Steinert, M.; Acker, J.; Henbge, A.; Wetzig, K. Experimental studies on the mechanism of wet chemical etching of silicon in HF/HNO3 mixtures. J. Electrochem. Soc. 2005, 152, C843. [Google Scholar] [CrossRef]
- De Klerk, A.; De Vaal, P.L. Alkylate technology selection for Fischer-Tropsch syncrude refining. Ind. Eng. Chem. Res. 2008, 47, 6870–6877. [Google Scholar] [CrossRef]
- Sicard, A.J.; Baker, R.T. Fluorocarbon refrigerants and their syntheses: Past to present. Chem. Rev. 2020, 120, 9164–9303. [Google Scholar] [CrossRef] [PubMed]
- Xiao, W.; Liao, Y.H.; Wang, F.X.; Zhang, Z.P.; Zhu, H.C.; Yang, Y.; Huang, K.M. Determining Electron Density of Atmospheric Microwave Air Plasma Torch by Microwave Power Measurement. IEEE Trans. Plasma. Sci. 2022, 50, 1781–1789. [Google Scholar] [CrossRef]
- Kim, J.H.; Kim, Y.C.; Chung, C.W. Experimental investigation on plasma parameter profiles on a wafer level with reactor gap lengths in an inductively coupled plasma. Phys. Plasmas 2015, 22, 073502. [Google Scholar] [CrossRef]
- Mutsukura, N.; Ohuchi, M.; Satoh, S.; Machi, Y. The analyses of an SiF4 plasma in an RF glow discharge for preparing fluorinated amorphous silicon thin films. Thin Solid Films 1983, 109, 47–57. [Google Scholar] [CrossRef]
- Okada, Y.; Chen, J.; Campbell, I.H.; Fauchet, P.M.; Wagner, S. Mechanism of the growth of amorphous and microcrystalline silicon from silicon tetrafluoride and hydrogen. J. Appl. Phys. 1990, 67, 1757–1760. [Google Scholar] [CrossRef]
- Wu, S.K.; Liao, Y.H.; Feng, K.; Zheng, F.; Xiao, W. Nitrogen fixation by atmospheric microwave plasma with local electric field enhancement. J. Phys. D Appl. Phys. 2025, 58, 015205. [Google Scholar] [CrossRef]
- Zhou, X.; Dai, Y.T.; Karanja, J.M.; Liu, F.F.; Yang, M.Y. Microstructured FBG hydrogen sensor based on Pt-loaded WO3. Opt. Express 2017, 25, 8777–8786. [Google Scholar] [CrossRef] [PubMed]
- Wang, C.Q.; Han, Z.W.; Wang, C.X.; Peng, G.D.; Rao, Y.J.; Gong, Y. Highly sensitive fiber grating hydrogen sensor based on hydrogen-doped Pt/WO3. Sens. Actuat B-Chem. 2024, 404, 135250. [Google Scholar] [CrossRef]
- Kanwal, F.; Atieh, A.; Ghafoor, S.; Haq, A.; Qureshi, K.K.; Aziz, I.; Mirza, J. Remote monitoring of sleep disorder using FBG sensors and FSO transmission system enabled smart vest. Eng. Res. Express 2024, 6, 025337. [Google Scholar] [CrossRef]
- Mirza, J.; Kanwal, F.; Salaria, U.A.; Ghafoor, S.; Aziz, I.; Atieh, A.; Almogren, A.; Haq, A.U.; Kanwal, B. Underwater temperature and pressure monitoring for deep-sea SCUBA divers using optical techniques. Front. Phys. 2024, 12, 1417293. [Google Scholar] [CrossRef]







| Object | Material | Boundary Condition |
|---|---|---|
| Waveguide | Aluminum | PEC: AF; BC; CD; DG; MQ; NR; QR. |
| Metal sleeve | Aluminum | PEC: EF; GH; LM; NO. |
| Quartz tube | Quartz | SBC: IK; JP |
Disclaimer/Publisher’s Note: The statements, opinions and data contained in all publications are solely those of the individual author(s) and contributor(s) and not of MDPI and/or the editor(s). MDPI and/or the editor(s) disclaim responsibility for any injury to people or property resulting from any ideas, methods, instructions or products referred to in the content. |
© 2024 by the authors. Licensee MDPI, Basel, Switzerland. This article is an open access article distributed under the terms and conditions of the Creative Commons Attribution (CC BY) license (https://creativecommons.org/licenses/by/4.0/).
Share and Cite
Liu, S.; Shi, L.; Liu, G.; Xiao, W.; Zhu, H. Research on the Production of Hydrogen Fluoride from Silicon Tetrafluoride Using 2.45 GHz Microwave Plasma. Processes 2025, 13, 4. https://doi.org/10.3390/pr13010004
Liu S, Shi L, Liu G, Xiao W, Zhu H. Research on the Production of Hydrogen Fluoride from Silicon Tetrafluoride Using 2.45 GHz Microwave Plasma. Processes. 2025; 13(1):4. https://doi.org/10.3390/pr13010004
Chicago/Turabian StyleLiu, Songlin, Lianjun Shi, Guilan Liu, Wei Xiao, and Huacheng Zhu. 2025. "Research on the Production of Hydrogen Fluoride from Silicon Tetrafluoride Using 2.45 GHz Microwave Plasma" Processes 13, no. 1: 4. https://doi.org/10.3390/pr13010004
APA StyleLiu, S., Shi, L., Liu, G., Xiao, W., & Zhu, H. (2025). Research on the Production of Hydrogen Fluoride from Silicon Tetrafluoride Using 2.45 GHz Microwave Plasma. Processes, 13(1), 4. https://doi.org/10.3390/pr13010004

