Abstract
The light oil wells within the Neogene Shawan Formation have been extensively drilled in the Chepaizi Uplift, reflecting an increase that provides new targets for unconventional resources in the Junggar Basin of northwestern China. However, the original sources of light oil remain controversial, as several source rocks could potentially generate the oil. For this study, we collected light oils and sandstone cores for biomarker detection using gas chromatography–mass spectrometry (GC-MS). Additionally, fluid inclusions were observed and described, and the homogenization temperatures of saltwater inclusions were measured to confirm the oil charging history in conjunction with well burial and thermal history analysis. Based on these geochemical characteristics and carbon isotopic analysis, the results indicate that light oil in the Chepaizi Uplift zone primarily originates from Jurassic hydrocarbon source rocks in the Sikeshu depression, with some contribution from Cretaceous hydrocarbon source rocks. Jurassic hydrocarbon source rocks reached a peak of hydrocarbon generation in the middle to late Neogene. The resulting crude oil predominantly migrated along unconformities or faults to accumulate at the bottom of the Cretaceous or Tertiary Shawan Formation, forming anticlinal or lithologic oil reservoirs. Some oil reservoirs contain mixtures of Cretaceous immature crude oil. During the Neogene light oil accumulation process, the burial rate of reservoirs was high, and the efficiency of charging and hydrocarbon supply was relatively high as well. Minimal loss occurred during the migration of light oil, which significantly contributed to its rapid accumulation.
1. Introduction
The petroleum industry has gradually turned its attention to unconventional resources as conventional resources continue to decline. Emerging unconventional resources, such as shale gas or oil, condensed gas, and coal seam gas, have gained prominence due to advanced techniques and improved exploration theories [1,2,3,4,5]. Light oil reservoirs represent one of the primary unconventional resources, offering distinct advantages, including low density and viscosity, low production costs, and ease of transportation [6,7]. Recently, in the Chepaizi region, light crude oil has emerged as a sustainable exploration target in the Junggar Basin, attracting numerous researchers to study oil migration and accumulation [8,9,10,11,12]. The presence of multiple oil types and sources in this area is attributed to the complex structural stages and various types of source rocks [13,14,15,16]. The previous literature has explored the multiple oil types and their associated source rocks using geochemical correlation techniques. For example, a few recent studies suggested that the biodegraded crude oil was mainly generated from lower Permian source rocks from Shawan sag [8,9,11,12,17,18,19,20,21], and the light oil was mainly generated by Jurassic rocks [11,12,22]. The isomerization ratio of adamantane and the compound-specific carbon isotope distribution of n-alkane indicated that the light oil was mainly sourced from Jurassic rocks without contamination by other source rocks. However, the crude oil in carbonous and Cretaceous formations was mainly derived from the lower Wuerhe Formation in Permian source rocks [23]. He also presented the mixed crude oil generated by Jurassic and Permian source rocks [23]. Additionally, the Q-cluster analysis (QCA) and discriminant analysis (DA) indicated the lower Neogene Shawan Formation (N1s) in the western Chepaizi Uplift and were primarily sourced from the Middle–Lower Jurassic [18]. Liu et al. (2011) supported the above viewpoint, but they also suggested that the Cretaceous Anjihaihe Formation source rock contributed to the light oil based on organic biomarkers and carbon isotope comparison between source rocks and crude oils [22]. Some recent studies show that the oil source rocks include Jurassic and Permian formations which had already reached the maturity oil window in the Sikeshu depression and Shawan depression, and it is noted that the crude oil generated by Jurassic rocks could migrate effectively from the Sikeshu depression and accumulate in the Chepaizi Uplift [22]. However, there is limited literature that refers to the petroleum migration stages and accumulation mechanisms of the light crude oils in this area. Therefore, this paper aims to summarize geochemical characteristics combined with organic geochemical analysis, as well as provide probable migration mechanisms of light crude oils investigated through basin modeling combined with fluid inclusion analysis. These studies aim to offer favorable explanations for petroleum accumulation in the Chepaizi Uplift.
2. Geological Settings
The Chepaizi Uplift is situated in the southwest of the Junggar Basin, with its eastern boundary adjacent to the Shawan depression and its southern boundary neighboring the Sikeshu depression (Figure 1). It is an inherited geological uplift, mainly striking from northwest to southeast to east–west [24]. According to previous studies on structural evolution [25], the Chepaizi Uplift started to form in the early Late Cenozoic period, and its development continued through the Indo-China and Yanshan periods, and then it became relatively inactive in the Xishan period. The Neogene slope of the Chepaizi Uplift formed after the Early Cretaceous. During the middle Early Cretaceous to Late Cretaceous, the subsidence in the Chepaizi region almost ceased, leading to the absence of the upper and uppermost parts of the Lower Cretaceous and Upper Cretaceous strata. After the Paleogene period, the Chepaizi Uplift began a slow subsidence again, but with more distinct differential subsidence. In the southeast, there was subsidence in a relatively small region, while the central and western parts of the uplift experienced an extensive erosion, resulting in the absence of the Paleogene strata. After the Neogene, the Chepaizi Uplift continued to subside primarily in a vertical motion, with underdeveloped faulting, extensive subsidence, and notable variations. The sedimentation period of the Shawan Formation still exhibited certain characteristics of differential subsidence. The northern and western foreland regions of the uplift failed to accumulate the Shawan Formation. However, after the sedimentation of the Shawan Formation, the range and magnitude of subsidence of the uplift continued to increase. Drilling data reveals that in the main body of the Chepaizi Uplift, the Carboniferous strata basement comprises tuff and metamorphic rocks. Above this basement, from bottom to top, there are developments of the Cretaceous Tugulu Group, the Paleogene, the Neogene Shawan Formation, the Tashiku Formation, the Dushanzi Formation, and Quaternary sandstones and mudstones, as indicated in Figure 2. Only in a few specific areas of the eastern region of the uplift, the Triassic and Jurassic formations occur. The Chepaizi Uplift has favorable petroleum source conditions, and oil and gas discoveries have mainly been made in the Jurassic, Cretaceous, Paleogene, and Neogene formations, and few indications exist in the Carboniferous strata [24]. There are two types of crude oil discovered in this region: heavy crude oil, primarily distributed in the Jurassic and Cretaceous formations, followed by the Paleogene and Neogene, and light crude oil, mainly found in the Sawan Formation of the Neogene, with the presence of structural and lithological reservoirs.
Figure 1.
The location of Chepaizi Uplift and drilled wells. (a) the location of Chepaizi Uplift in China, (b) the geological map and well locations in Chepaizi Uplift.
Figure 2.
The stratigraphy column of the well Pai 2 in the Chepaizi Uplift.
3. Materials and Methods
3.1. Materials
Light oil and sandstone samples from the Neogene Formation were collected for GC-MS and fluid inclusion analysis. Crude oil samples were obtained from wells, including the Pai 2, Pai 8, Pai 2-86, Pai 2-87, Pai 2-88, and Pai 2-92 wells, as shown in Table 1. Additionally, three sandstone samples from the Neogene Formation were collected for fluid inclusion observations and homogenization temperature measurements, taken from the Pai 2-86, Pai 206-12, and Pai 206 wells. As shown in Table 2, the physical properties of crude oil samples in the Neogene Formation are characterized by low density and viscosity. Compared to wells Pai 2, Pai 8, and Pai 206, wells Pai 2-86, 2-87, 2-88, and 2-92 exhibit slightly higher density and viscosity. Furthermore, the wax content of crude oils from wells Pai 2-86 and 2-87 is higher than that of other samples.
Table 1.
The collected oil and sandstone samples for geochemical analysis *.
Table 2.
The physical properties of light crude oils *.
3.2. Methods
3.2.1. Core Processing and Crude Oil Extraction
All the selected sandstone cores were first crushed into powders (the diameter less than 0.18 mm) and placed into the extraction filter in the sample chamber of the extraction apparatus. Distillation extraction was conducted using dichloromethane for 48 h using the Soxhlet extraction method. Next, the extracted substances comprise a mixture of asphalt, saturated hydrocarbons, aromatic hydrocarbons, and non-hydrocarbons. Then, 35 mg of the mixture was completely dissolved in dichloromethane to perform functional group separation. After the evaporation of dichloromethane, the sample was added with hexane and kept for 12 h. After the asphalt in the sample precipitated, the sample was washed with hexane in a funnel a few times and placed in a weighing bottle containing filtered liquid to concentrate the filtrate to 3–5 mL under a fume hood. The residual solution was finally placed into a chromatographic column. The lower part of the chromatographic column consisted of 3 g of alumina, while the upper part was composed of 2 g of silica gel immersed in a small amount of hexane. Saturated hydrocarbons, aromatic hydrocarbons, and non-hydrocarbons were extracted by sequential elution with 30 mL of n-hexane, with a mixture of dichloromethane and hexane (in a volume ratio of 2:1), and 10 mL of anhydrous ethanol and 10 mL of dichloromethane respectively.
3.2.2. GC–MS Measurement Conditions
The saturated hydrocarbons were measured by using Agilent 7890A-5975C. 99.999% Helium gas acted as a carrier gas at 1 mL/min into Hp-5MS column (60 m × 0.25 mm × 0.25 µm). The sample entrance was 300 °C without separation. The temperature was increased to 50 °C and maintained for 1 min. Next, the temperature was increased to 120 °C at 20 °C/min and 310 °C at 3 °C/min and then maintained for 30 min. Then, the sample was ionized by MS using 70 ev. All the data were collected for further analysis using professional software (Xcalibur 2.7).
3.2.3. Fluid Inclusions Observation and Homogenization Temperature Measurements
The fluid inclusions analysis in this research was primarily conducted utilizing microscopic observation and homogenization temperature methods to study the collected samples. The specific operational process is described as follows: Prepared thin sections of the host minerals (double-sided polished, resin-embedded, coverless glass slides) were observed under ordinary transmitted white light to understand the morphology, size, color, content, distribution, phase, and interrelationships of the host minerals. The thin sections were then immersed in anhydrous ethanol for 12 h, followed by rinsing with alcohol to remove the thin sections easily from the glass carrier. The homogenization temperature and freezing temperature (salinity) tests on fluid inclusions were conducted at the Fluid Inclusion Analytical Laboratory of the Beijing Research Institute of Uranium Geology. Polarized light, fluorescence characteristic observations, and homogenization temperature determinations were carried out using the Leica DMRX HC research-grade transmitted–reflected polarizing fluorescence microscope and the Linkam THMS-G600 cold–hot stage. Fluorescence excitation for hydrocarbon inclusions was conducted using UV light with a wavelength of 340–380 nm. The temperature resolution of the cold–hot stage was 0.1 °C, homogenization temperature determination accuracy was ±1 °C, and freezing temperature determination accuracy was ±0.2 °C.
3.2.4. Carbon Isotope Measurement Conditions
The stable carbon isotope analysis of the hydrocarbon components in five oil samples was conducted using Flash HT EA-MAT 253 IRMS. Helium was used as the carrier gas with a constant flow rate of 100 mL/min and a reverse flow rate of 250 mL/min. The heating program was initially set to 35 °C and maintained for 6 min, followed by a ramping of temperature at a rate of 15 °C/min to 80 °C, and then a further ramping at 5 °C/min to 200 °C, where it was held for 5 min.
4. Results and Discussion
4.1. Geochemical Characteristics of Biomarkers and Carbon Isotopes
The geochemical data of all the samples are shown in Table 3. The n-alkanes exhibit a normal distribution with a positive trend, as indicated in Figure 2. The average value of the carbon predominant index (CPI) and even–odd index (OEP) is approximately 1.0, indicating a slightly even–odd ratio. The value of w(Pr)/w(Ph) ranged from 1.84 to 2.65, suggesting that the crude oil was probably sourced from the oxidized paleo environment [26]. Few crude oil samples contain bicyclic sesquiterpene. Tricyclic terpenes presented a low abundance, and their peaks were distributed as a declining trend, as can be seen in Figure 2. The distribution of pentacyclic triterpenoids shows a similar trend [26]. The GI (gammacerane/C30hopane) is an indicator of stratified water column or temperature gradients in depositional environments [27]. The increase in the GI indicates that the source rock or crude oil is mainly sourced from a reducing environment. It is noted that the GI (gammacerane/C30hopane) ratio significantly differs in these samples. In the Pai 2 and Pai 8 wells, the ratio is 0.2, but in the Pai 2-86 and 2-87 well samples, the value is higher, and in the Pai 2-88 and 2-92 samples, this index is relatively lower compared to other samples.
As shown in Figure 3, homophones are not abundant in the crude oils, and Ts is less than Tm. The steranes ααα20RC27, ααα20RC28, and ααα20RC29 distribute as a “V” trend except in the Pai 2-88 and Pai 2-92 samples, suggesting the mixed input of algae and higher plants [28,29]. Additionally, the varied C29 sterane ββ/(ββ + αα) and C29 sterane (w(20S)/w(20S + 20R) ratios indicate that the maturity of crude oil is significantly different [30]. The crude oils in the wells Pai 2-82 and 2-92 show a higher maturity compared to the Pai 2-86 and 2-87 wells. Previous studies have discussed the geochemical characteristics and sources of light crude oil [11,12,17,22,23]. The Ka 6 and Tugu 2 wells were drilled in the Sikeshu depression, where the Jurassic sources are the main oil sources. From the GC–MS characteristics, as can be seen in Figure 4 and Table 3, it is noted that the terpenes and steranes in Pai 2 wells, except the well Pai2-88, show a similar distribution compared to the crude oils in the well Ka 6 Paleocene Formation. The crude oil in the well Pai 2-88 shows characteristics similar to those of the crude oil in well Ka 6 Cretaceous formation. The crude oils from the Ka 6 K1tg and Tugu 2 wells, respectively, originate from Jurassic and Cretaceous source rocks in Sikeshu Sag, which has been confirmed by previous studies, as can be seen in Table 4 [11,12,22]. In addition, the δ13C‰ values of crude oil have been selected to determine the probable sources of the crude oils. According to the isotopic distribution in these wells, as shown in Table 5, the isotopic values of crude oil in the Pai 2, Pai 8, Pai 206, and Pai 2-88 wells range between −25.9‰ and −26.6‰. The isotopic values of crude oil in the Pai 2-86 and Ka 6 wells are approximately −27‰. Based on the above analysis, it is noted that the crude oil here primarily originates from Jurassic source rocks, with some contribution from Cretaceous source rocks. Furthermore, the crude oils from the Pai 2-88 and Pai 2-92 wells are primarily derived from Jurassic source rocks, with no contribution from Cretaceous source rocks, which is consistent with the characteristics of Jurassic crude oil observed in the Ka 6 well.
Figure 3.
GC–MS chromatography of saturated hydrocarbons from sandstone extracts or light oil in Pai 2, Pai 8, and Pai 206 wells.
Figure 4.
GC–MS chromatography of saturated hydrocarbons from the crude oil in the Ka 6 well.
Table 4.
Geochemical parameters of crude oils from well Ka 6 and Tugu 2 *.
Table 5.
δ13C‰ of crude oils and oil extracts in the Pai 2 and Pai 8 wells.
Table 3.
Geochemical characteristics of biomarkers in saturated hydrocarbons.
Table 3.
Geochemical characteristics of biomarkers in saturated hydrocarbons.
| Well ID | Pr/Ph | CPI | OEP | Ts/ (Ts + Tm) | ααα C29 Sterane 20S/(20S + 20R) | C29 Sterane ββ/(ββ + aa) | Ga/ C30H | Steranes /Hopanes | Ts/ Tm |
|---|---|---|---|---|---|---|---|---|---|
| Pai 206 | 1.93 | 1.04 | 1.05 | 0.41 | 0.39 | 0.48 | 0.21 | 0.53 | 0.70 |
| Pai 206-10 | 2.21 | 1.04 | 1.05 | 0.44 | 0.39 | 0.49 | 0.28 | 0.47 | 0.77 |
| Pai 206-11 | 1.87 | 1.05 | 1.08 | 0.43 | 0.38 | 0.47 | 0.22 | 0.56 | 0.76 |
| Pai 206-2 | 2.23 | 1.04 | 1.06 | 0.34 | 0.36 | 0.42 | 0.23 | 0.45 | 0.52 |
| Pai 206-7 | 2.12 | 1.03 | 1.05 | 0.43 | 0.42 | 0.45 | 0.24 | 0.43 | 0.77 |
| Pai 206-9 | 1.88 | 1.04 | 1.04 | 0.39 | 0.37 | 0.43 | 0.27 | 0.53 | 0.64 |
| Pai 2 | 2.16 | 1.04 | 1.06 | 0.39 | 0.37 | 0.44 | 0.27 | 0.50 | 0.65 |
| Pai 2-12 | 2.11 | 1.05 | 1.06 | 0.38 | 0.43 | 0.44 | 0.21 | 0.56 | 0.61 |
| Pai 2-18 | 1.85 | 1.04 | 1.04 | 0.43 | 0.42 | 0.49 | 0.23 | 0.52 | 0.75 |
| Pai 2-21 | 2.15 | 1.04 | 1.06 | 0.40 | 0.38 | 0.45 | 0.27 | 0.44 | 0.68 |
| Pai 2-22 | 1.89 | 1.03 | 1.02 | 0.43 | 0.37 | 0.43 | 0.29 | 0.50 | 0.74 |
| Pai 2-3 | 2.11 | 1.05 | 1.05 | 0.40 | 0.36 | 0.42 | 0.25 | 0.47 | 0.66 |
| Pai 2-30 | 2.16 | 1.04 | 1.03 | 0.44 | 0.38 | 0.45 | 0.29 | 0.52 | 0.78 |
| Pai 2-32 | 2.03 | 1.04 | 1.05 | 0.42 | 0.38 | 0.42 | 0.25 | 0.53 | 0.72 |
| Pai 2-4 | 2.15 | 1.04 | 1.04 | 0.42 | 0.34 | 0.43 | 0.25 | 0.53 | 0.71 |
| Pai 2-40 | 2.10 | 1.05 | 1.05 | 0.41 | 0.37 | 0.44 | 0.26 | 0.49 | 0.70 |
| Pai 2-8 | 2.18 | 1.02 | 1.04 | 0.40 | 0.39 | 0.44 | 0.25 | 0.55 | 0.66 |
| Pai 8 | 2.16 | 1.04 | 1.05 | 0.40 | 0.35 | 0.45 | 0.25 | 0.50 | 0.66 |
| Pai 8-20 | 2.07 | 1.04 | 1.03 | 0.38 | 0.37 | 0.43 | 0.29 | 0.54 | 0.60 |
| Pai 8-30 | 1.84 | 1.05 | 1.03 | 0.44 | 0.37 | 0.42 | 0.31 | 0.51 | 0.78 |
| Pai 8-4 | 2.21 | 1.03 | 1.02 | 0.41 | 0.36 | 0.42 | 0.24 | 0.51 | 0.70 |
| Pai 8-40 | 1.84 | 1.05 | 1.05 | 0.40 | 0.41 | 0.43 | 0.28 | 0.53 | 0.68 |
| Pai 8-6 | 2.18 | 1.06 | 1.05 | 0.38 | 0.37 | 0.43 | 0.27 | 0.54 | 0.61 |
| Pai 2-87 | 2.20 | 1.04 | 1.05 | 0.43 | 0.31 | 0.34 | 0.30 | 0.34 | 0.77 |
| Pai 2-86 | 2.12 | 1.06 | 1.07 | 0.42 | 0.31 | 0.33 | 0.29 | 0.35 | 0.74 |
| Pai 2-88 | 2.65 | 1.03 | 1.05 | 0.40 | 0.42 | 0.50 | 0.10 | 0.17 | 0.66 |
| Pai 2-92 | 2.61 | 1.02 | 1.04 | 0.40 | 0.42 | 0.46 | 0.11 | 0.17 | 0.65 |
Notes: CPI (carbon preference index) = 1/2[(C25 + C27 + C29 + C31 + C33)/(C24 + C26 + C28 + C30 + C32) + (C25 + C27 + C29 + C31 + C33)/(C26 + C28 + C30 + C32 + C34)]; OEP (odd–even predominance) = (C25 + 6C27 + C29)/(4C26 + 4C28) [31]; Pr/Ph = pristane/phytane; Ts/Tm = 18α-22,29,30-trisnorneohopane (Ts)/17α-22,29,30-trisnorhopane(Tm); Ga/C30H -gammacerane/C30hopane.
4.2. Fluid Inclusions Distribution, Homogenization Temperature
According to the observation of fluid inclusions in sandstone samples in the Chepaizi Uplift, four types of inclusions were observed, including liquid hydrocarbon inclusions, gas–liquid hydrocarbon inclusions, gas hydrocarbon inclusions, and hydrocarbon-bearing saline water inclusions. Liquid hydrocarbon inclusions are widely distributed, generally observed along micro-fractures cutting through quartz and feldspar grains or concentrated in groups, linearly, or in banded patterns along widened micro-fracture surfaces, appearing brown or dark brown under plane-polarized light and light yellow or pale yellow under fluorescence, as can be seen in Figure 5. Figure 6 shows the gas–liquid hydrocarbon inclusions with a broader distribution, particularly developing within micro-fractures in quartz and feldspar, and some distributed along secondary widened edges of quartz or feldspar, appearing linear, banded, or clustered. They appear transparent, light yellow-gray or brownish-yellow-gray under plane-polarized light and exhibit strong blue-white or light blue-green fluorescence under ultraviolet light. Figure 7 shows that the gas hydrocarbon inclusions are less abundant, primarily distributed in banded patterns along the widened edges of quartz grains, exhibiting regular shapes ranging in size from a few micro-meters to several tens of micro-meters. They appear gray, grayish-yellow, or transparent under plane-polarized light, showing weak light green fluorescence in a circular pattern. Hydrocarbon-bearing saline water inclusions, associated with hydrocarbon inclusions, often exhibit a clear symbiotic relationship with fractures distributed along quartz and feldspar grains or secondary widened edges. These inclusions appear colorless under plane-polarized light, some displaying shades of gray and deep gray, and exhibit slightly yellow or pale fluorescence.
Figure 5.
Liquid fluid inclusions in the Pai 2-86 well, 1370 m. (a,b) The intergranular pores of the sandstone are filled with light crude oil, all displaying strong light green or light yellow-green fluorescence. (c,d) Distributed along the enlargement rims of quartz grains are gas hydrocarbon inclusions, appearing gray, and exhibiting weak circular light green fluorescence. Along the intergranular (rock fragment) pores of the sandstone, there is a widespread presence of light crude oil, displaying strong light green or light yellow-green fluorescence. Locally, noticeable secondary quartz enlargement phenomena are observed. The abundance of fluid inclusions in the rock is low (GOI ≤ 0.5%), primarily distributed in linear or belt-like patterns along micro-fractures cutting through quartz or feldspar grains or in belt-like patterns around quartz enlargement rims. Liquid hydrocarbons within the inclusions appear transparent or gray-brown and exhibit light green fluorescence, while gaseous hydrocarbons appear gray and do not fluoresce. Among these inclusions, liquid hydrocarbon inclusions constitute approximately 10% ±, gas–liquid hydrocarbon inclusions constitute approximately 60% ±, and gas hydrocarbon inclusions constitute approximately 30% ± of the total.
Figure 6.
Gas–liquid hydrocarbon inclusions in the Pai 206-12 well, 1370 m. (a,b) In the intergranular calcite cement of the sandstone, there are isolated gas–liquid hydrocarbon inclusions distributed, showing transparent colorless to gray, exhibiting light green fluorescence (gas–liquid ratio approximately 5%). (c,d) Distributed along the micro-fracture surfaces of quartz grains are gas–liquid hydrocarbon inclusions, appearing transparent colorless to gray, exhibiting light blue fluorescence. The majority of intergranular pores within the sandstone contain light crude oil, displaying strong light blue fluorescence. The abundance of fluid inclusions within the rock is extremely high (GOI is 35% ±), with inclusions distributed in sheet-like or belt-like patterns along micro-fractures cutting through quartz and feldspar grains or occurring as isolated or clustered within late-stage calcite cement. Liquid hydrocarbons within the inclusions appear transparent, colorless to pale yellow, exhibiting light blue, light blue-green, and light yellow fluorescence, while gaseous hydrocarbons appear gray. Among these inclusions, liquid hydrocarbon inclusions constitute approximately 15% ±, gas–liquid hydrocarbon inclusions constitute approximately 70% ±, and gas hydrocarbon inclusions constitute approximately 15% ± of the total.
Figure 7.
Gas inclusions in the Pai 206 well, 1006.4 m. (a) Distributed along the micro-fractures cutting through quartz grains are gas hydrocarbon inclusions, liquid hydrocarbon inclusions, and hydrocarbon-bearing brine inclusions, appearing gray, gray-yellow, and transparent colorless. (b) Liquid hydrocarbon inclusions exhibit light yellow fluorescence. One sample was analyzed, with a weight of 5 × 6 µm, from another grain.
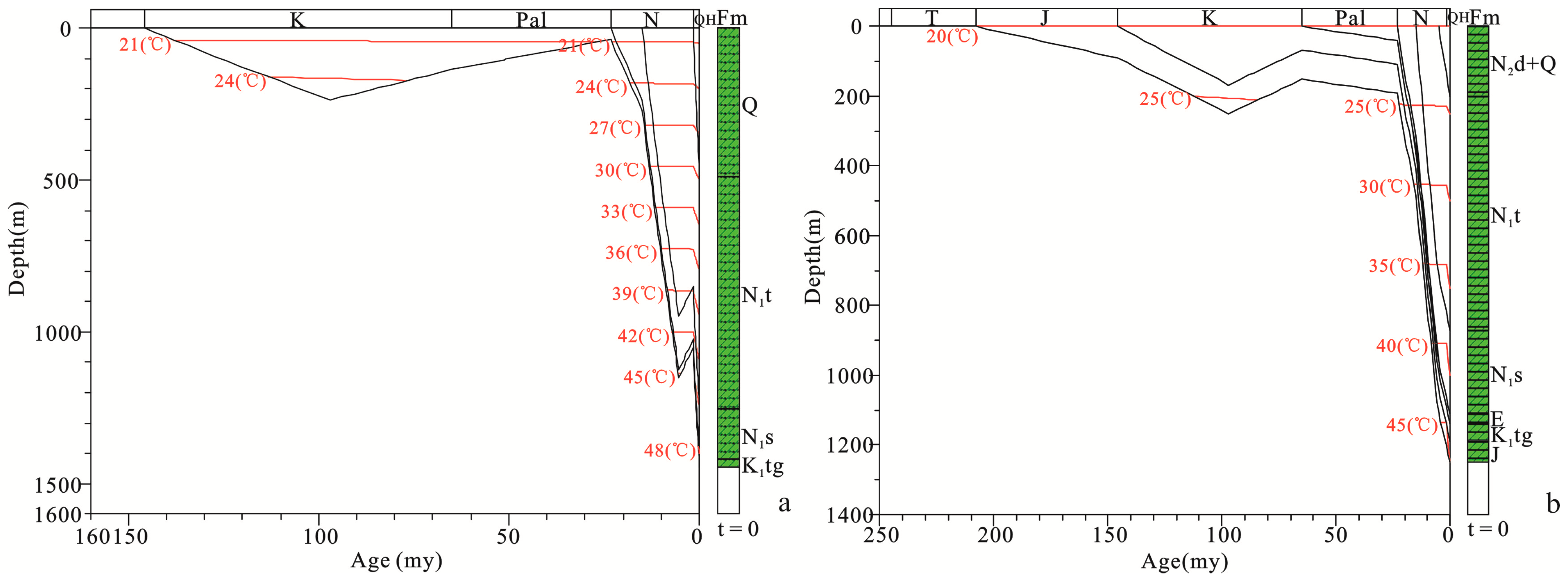
According to the analysis of saline water inclusions associated with hydrocarbon inclusions, as shown in Table 6, the salinity of hydrocarbon-bearing saline water in the recent series of the Shawan Formation reservoir is less than 5%, indicating a single-phase accumulation. Homogenization temperatures of saline water inclusions near the hydrocarbon inclusions are generally used for determining the charging history combined with burial and thermal history [32,33,34]. Additionally, from the homogenization temperature distribution of saline water inclusions, it was observed that the homogenization temperature of inclusions in the Shawan Formation reservoir mainly ranges from 60 to 100 °C, as indicated in Table 6. Some gas–liquid inclusions have homogenization temperatures above 160 °C, suggesting the possibility of deep-seated high-temperature oil and gas fluid injection. Based on the stratigraphy, formation erosion thickness and paleo-geothermal gradient data from some exploration wells in the Chepaizi area [14,35,36], the burial history and thermal evolution history have been reconstructed. Owing to the excessively high homogenization temperature of fluid inclusions in the reservoir, the temperature of the reservoir is significantly lower. Therefore, it is impossible to determine the hydrocarbon accumulation periods in this study area based on the homogenization temperature and the burial history chart. This indicates that the homogenization temperature of fluid inclusions in the reservoir could not match the reservoir temperature. It is unlikely to have excessive erosion thickness after the deposition of the Shawan Formation. The continuous deposition of strata in the Chepaizi Uplift implies that deeply generated hydrocarbons might have been captured through rapid migration before reaching reservoir temperatures. This results in slightly higher temperatures of oil and gas inclusions captured by minerals compared to the temperature of reservoir fluids. From the burial history of the Sican 1 and Ka 6 wells (Figure 8 and Figure 9), it can be observed that sedimentation rates have been relatively fast since the Neogene, approximately 100 m/Ma. Therefore, it can be concluded that hydrocarbons generated from the Jurassic source rocks matured rapidly, at least reaching peak oil generation during the later stages of the Neogene. Rapid charging of oil and gas resulted in them being captured by minerals to form inclusions before reaching reservoir temperatures.
Table 6.
Homogenization temperature and salinity of fluid inclusions.
Figure 8.
Sican 1 well: (a) burial and thermal history of formations; and (b) deposition rate of formations.
Figure 9.
Ka6 Well: (a) burial and thermal history of formations; and (b) deposition rate of formations.
4.3. Petroleum Migration and Accumulation History
In the later stages of the Neogene, hydrocarbon generation began from the Jurassic source rocks in the Sikeshu depression. By this time, the lithological traps of the Shawan Formation had already been formed, and oil and gas charging commenced. The Shawan depression had already reached its peak oil generation and had been generating hydrocarbons since the Paleogene, potentially contributing hydrocarbons to the Chepaizi Uplift as well. Targeted areas such as the Pai 2, Pai 8, Pai 2-88, Pai 2-92, Pai 2-86, and Pai 2-87 wells in the southern region started receiving contributions of oil and gas from the Jurassic, forming oil and gas accumulations (Figure 10). However, because the Cretaceous source rocks were still at a low-maturity stage and had not reached the peak oil generation, as indicated in Figure 11, some of the crude oil generated from the Jurassic migrated along the top unconformity of the Jurassic and accumulated at the bottom of the Cretaceous, such as the crude oil at the bottom of the Cretaceous in Ka 6, or migrated through faults into the reservoirs of the Shawan Formation, accumulating as seen in the Pai 2-88 and Pai 2-92 wells. In both cases, the process of oil and gas migration could not pass through Cretaceous strata, thus avoiding or experiencing minimal contamination effects. The primary source of the crude oil is mainly from the Jurassic source rocks.
Figure 10.
Burial and thermal history of formations in well Pai 2-86 (a) and Pai 206 (b).
Figure 11.
Light oil accumulation pathways in the Chepaizi Uplift.
As can be seen in Figure 11, another portion of the crude oil initially migrated vertically along the Aika fault zone to the top unconformity of the Cretaceous, such as the Neogene crude oil in the Ka 6 well, then rapidly migrated upwards along the top unconformity of the Paleogene to accumulate, such as the crude oil in the Pai 2, Pai 8, and Pai 206 wells of the Shawan Formation. With favorable conditions for reservoir formation due to overlying layers, the main distribution is in the second segment of the Shawan Formation, forming lithological upward-tipped oil and gas reservoirs. Additionally, in areas such as the Pai 2-86 and Pai 2-87 wells, there is stronger mixing of crude oil from different sources in the Neogene, possibly due to earlier charging times and stronger contamination effects from the Cretaceous, resulting in lower maturity. Fluid inclusion evidence indicates that light crude oil is mainly present in gas–liquid inclusions, exhibiting strong blue fluorescence characteristics. However, due to weak diagenesis, secondary enlargement rims are not well developed, and the inclusions are primarily distributed in micro-fractures of quartz grains. This suggests that the preservation of gaseous hydrocarbons in inclusions records the rapid charging of oil and gas, resulting in homogenization temperatures of hydrocarbon-bearing brine inclusions that are excessively high and clearly do not match reservoir temperatures. From the burial history of the Sikeshu depression, it can also be observed that sedimentation rates were relatively fast during the Neogene, and the strata were under-compacted. The Jurassic source rocks were rapidly buried, reaching peak oil generation after the Neogene, and oil and gas rapidly charged into the reservoirs of the Shawan Formation, resulting in high hydrocarbon supply efficiency. During the migration process, there was minimal loss of hydrocarbons. This is also a significant reason why hydrocarbons could accumulate even at a considerable distance from the hydrocarbon kitchen in the Chepaizi Uplift.
5. Conclusions
Based on the organic geochemical characteristics and fluid inclusion analysis, the oil–source correlation and reservoir charging history have been concluded as follows:
- (1)
- In the Chepaizi Uplift, light crude oil has low density and viscosity, with moderate wax content, primarily sourced from the Jurassic source rocks, with some contributions from Cretaceous low-maturity source rocks.
- (2)
- The light oil reservoirs mainly formed during the middle to late Neogene. During this time, the Sikeshu depression and the eastern region, where Jurassic source rocks were in the peak oil generation phase, generated crude oil that primarily migrated along the top unconformity of the Jurassic or through faults connecting the Jurassic and Cretaceous. They accumulated at the bottom of the Cretaceous or in the reservoirs of the Shawan Formation of the Tertiary, forming anticlinal or lithological upward-tipped oil and gas reservoirs. Some well areas experienced the late-stage invasion of crude oil from Cretaceous low-maturity source rocks, resulting in mixing phenomena with early-stage mature crude oil from Jurassic source rocks.
- (3)
- The sedimentation rate during the Neogene was relatively fast, with weak compaction effects on the strata. The Jurassic source rocks were rapidly buried, reaching peak oil generation after the Neogene. Oil and gas rapidly charged into the reservoirs at the bottom of the Cretaceous or in the Shawan Formation of the Tertiary, with high efficiency. There was minimal loss of hydrocarbons during the migration process, which is a significant reason why hydrocarbons could accumulate even at a considerable distance from the hydrocarbon generation window in the Chepaizi Uplift.
Author Contributions
Conceptualization, methodology, validation, writing—original draft preparation, writing—review and editing, investigation H.L.; software, P.H. supervision, project administration, Z.Z. All authors have read and agreed to the published version of the manuscript.
Funding
This research is supported by two projects of the Shengli Oilfield Branch of SINOPEC (Study on hydrocarbon accumulation mechanism in Chepaizi Area and Oil-gas geochemical characteristics of and hydrocarbon source correlation in Chepaizi Area).
Data Availability Statement
The data supporting the findings of this study are available within the article.
Acknowledgments
We would like to thank the Key Laboratory of Oil and Gas Resources and Engineering of China University of Petroleum (Beijing) for its help in the experiments.
Conflicts of Interest
The authors declare no conflicts of interest.
References
- Li, J.; Wang, Y.; Chen, Z.; Rahman, S.S. Simulation of Adsorption–Desorption Behavior in Coal Seam Gas Reservoirs at the Molecular Level: A Comprehensive Review. Energy Fuels 2020, 34, 2619–2642. [Google Scholar] [CrossRef]
- Mallapragada, D.S.; Duan, G.; Agrawal, R. From shale gas to renewable energy based transportation solutions. Energy Policy 2014, 67, 499–507. [Google Scholar] [CrossRef]
- Meakin, P.; Huang, H.; Malthe-Sørenssen, A.; Thøgersen, K. Shale gas: Opportunities and challenges. Environ. Geosci. 2013, 20, 151–164. [Google Scholar] [CrossRef]
- Salmachi, A.; Haghighi, M. Feasibility Study of Thermally Enhanced Gas Recovery of Coal Seam Gas Reservoirs Using Geothermal Resources. Energy Fuels 2012, 26, 5048–5059. [Google Scholar] [CrossRef]
- Striolo, A.; Cole, D. Understanding Shale Gas: Recent Progress and Remaining Challenges. Energy Fuels 2017, 31, 10300–10310. [Google Scholar] [CrossRef]
- Meriem-Benziane, M.; Abdul-Wahab, S.A.; Benaicha, M.; Belhadri, M. Investigating the rheological properties of light crude oil and the characteristics of its emulsions in order to improve pipeline flow. Fuel 2012, 95, 97–107. [Google Scholar] [CrossRef]
- Odden, W.; Patience, R.L.; Van Graas, G.W. Application of light hydrocarbons (C4–C13) to oil/source rock correlations:: A study of the light hydrocarbon compositions of source rocks and test fluids from offshore Mid-Norway. Org. Geochem. 1998, 28, 823–847. [Google Scholar] [CrossRef]
- Chang, X.; Ge, T.; Shi, B.; Liu, Z.; Xu, Y.; Wang, Y. Application of biomarker recovery method for oil–source correlation in severe to extreme biodegradation in eastern Chepaizi Uplift, Junggar Basin (NW China). Energy Rep. 2022, 8, 11865–11884. [Google Scholar] [CrossRef]
- Chen, Z.; Cao, Y.; Wang, X.; Qiu, L.; Tang, Y.; Yuan, G. Oil origin and accumulation in the Paleozoic Chepaizi–Xinguang field, Junggar Basin, China. J. Asian Earth Sci. 2016, 115, 1–15. [Google Scholar] [CrossRef]
- Jiang, W.; Li, Y.; Xiong, Y. Reservoir alteration of crude oils in the Junggar Basin, northwest China: Insights from diamondoid indices. Mar. Pet. Geol. 2020, 119, 104451. [Google Scholar] [CrossRef]
- Zhang, Z.-H.; Liu, H.-J.; Li, W.; Fei, J.-J.; Xiang, K.; Qin, L.-M.; Xi, W.-J.; Zhu, L. Origin and Accumulation Process of Heavy Oil in Chepaizi Area of Junggar Basin. J. Earth Sci. Environ. 2014, 36, 18. [Google Scholar]
- Zhang, Z.; Xiang, K.; Qing, L.M.; Zhuang, W.S.; Xi, W.J.; Zhao, S.F. Geochemical characteristics of source rocks and their contribution to petroleum accumulation of Chepaizi area in Sikeshu depression, Junggar Basin. Geol. China 2012, 39, 326–337. [Google Scholar]
- Chen, J.; Wang, X.; Deng, C.; Ni, Y.; Sun, Y.; Yang, H.; Wang, H.; Liang, D. Oil-source correlation of typical crude oils in the southern margin, Junggar Basin, Northwestern China. Acta Pet. Sin. 2016, 37, 160–171. [Google Scholar] [CrossRef]
- Cao, J.; Zhang, Y.; Hu, W.; Yao, S.; Wang, X.; Zhang, Y.; Tang, Y. The Permian hybrid petroleum system in the northwest margin of the Junggar Basin, northwest China. Mar. Pet. Geol. 2005, 22, 331–349. [Google Scholar] [CrossRef]
- Pan, C.; Yang, J.; Fu, J.; Sheng, G. Molecular correlation of free oil and inclusion oil of reservoir rocks in the Junggar Basin, China. Org. Geochem. 2003, 34, 357–374. [Google Scholar] [CrossRef]
- Wang, Z.; Chang, X.; Xu, Y.; Zhang, P.; Shi, B.; Ge, T.; Yin, Y.; Su, L. Origin of Mesozoic Biodegraded Crude Oils from the Eastern Chepaizi Uplift (Junggar Basin) Constrained by the Biomarker Recovery Method. Energy Fuels 2023, 37, 1975–1997. [Google Scholar] [CrossRef]
- Liu, D.; Ni, Y.; Chen, J.; Li, E.; Yao, L.; Zhang, Z.; Wang, X.; Dai, J. Types and sources of crude oil in the Chepaizi uplift, northwest margin of the Junggar basin. Acta Geol. Sin. 2023, 97, 1576–1597. [Google Scholar]
- Shi, B.; Chang, X.; Xu, Y.; Wang, Y.; Mao, L.; Wang, Y. Origin and migration pathway of biodegraded oils pooled in multiple-reservoirs of the Chepaizi Uplift, Junggar Basin, NW China: Insights from geochemical characterization and chemometrics methods. Mar. Pet. Geol. 2020, 122, 104655. [Google Scholar] [CrossRef]
- Wu, K.-J.; Liu, L.-F.; Zeng, L.-Y.; Bai, Z.-H. Formation of Unconformity Surface at Cretaceous Bottom and Its Significance for Hydrocarbon Migration in Chepaizi and Its Surrounding Areas of Junggar Basin. Geoscience 2013, 27, 1153–1160. [Google Scholar]
- Zhao, X.; Yang, S.; Xiang, K.; Chen, G.; Zhu, C.; Wei, X. Oil-water inversion and its generation at top and bottom of the shallow sandstone reservoir in the Northern Chepaizi area, Junggar Basin, NW China. Pet. Explor. Dev. 2014, 41, 485–491. [Google Scholar] [CrossRef]
- Zhuang, X.-M. Petroleum geology features and prospecting targets of Chepaizi Uplift, Junggar Basin. Xinjiang Geol. 2009, 27, 70–74. [Google Scholar]
- Liu, H.J.; Zhang, Z.; Qin, L.; Zhu, L.; Xi, W.J. Accumulation mechanism of light oils in Chepaizi uplift belt of Junggar Basin. J. China Univ. Pet. (Ed. Nat. Sci.) 2011, 35, 34–40. [Google Scholar] [CrossRef]
- Li, E.; Chen, J.; Rouzi, D.; Gao, X.; Mi, J.; Ma, W. Characteristics of diamondoids in crude oil and its application in hinterland of Junggar Basin. Pet. Geol. Exp. 2019, 41, 569. [Google Scholar] [CrossRef]
- Xia, X.; Jin, J. Characteristics of Jurassic structural geology and analysis of exploration potential in Che-Guai area of Junggar Basin. China Pet. Explor. 2003, 8, 29–33. [Google Scholar]
- He, D.; Chen, X.; Kuang, J.; Zhou, L.; Tang, Y.; Liu, D. Development and Genetic Mechanism of Chepaizi-Mosuowan Uplift in Junggar Basin, China. Earth Sci. Front. 2008, 15, 42–55. [Google Scholar] [CrossRef]
- Peters, K.E.; Moldowan, J.M. The Biomarker Guide: Interpreting Molecular Fossils in Petroleum and Ancient Sediments; Prentice Hall: Hoboken, NJ, USA, 1993. [Google Scholar]
- Sinninghe Damsté, J.S.; Kenig, F.; Koopmans, M.P.; Köster, J.; Schouten, S.; Hayes, J.M.; de Leeuw, J.W. Evidence for gammacerane as an indicator of water column stratification. Geochim. Cosmochim. Acta 1995, 59, 1895–1900. [Google Scholar] [CrossRef]
- Peters, K.E.; Walters, C.C.; Moldowan, J.M. The Biomarker Guide; Cambridge University Press: Cambridge, UK, 2005; Volume 1. [Google Scholar]
- Tissot, B.P.; Welte, D.H. Petroleum Formation and Occurrence; Springer Science & Business Media: Berlin/Heidelberg, Germany, 2013. [Google Scholar]
- Moldowan, J.M.; Seifert, W.K.; Gallegos, E.J. Relationship between petroleum composition and depositional environment of petroleum source rocks. AAPG Bull. 1985, 69, 1255–1268. [Google Scholar]
- Scalan, E.; Smith, J. An improved measure of the odd-even predominance in the normal alkanes of sediment extracts and petroleum. Geochim. Cosmochim. Acta 1970, 34, 611–620. [Google Scholar] [CrossRef]
- Parnell, J.; Middleton, D.; Honghan, C.; Hall, D. The use of integrated fluid inclusion studies in constraining oil charge history and reservoir compartmentation: Examples from the Jeanne d’Arc Basin, offshore Newfoundland. Mar. Pet. Geol. 2001, 18, 535–549. [Google Scholar] [CrossRef]
- Fall, A.; Eichhubl, P.; Cumella, S.P.; Bodnar, R.J.; Laubach, S.E.; Becker, S.P. Testing the basin-centered gas accumulation model using fluid inclusion observations: Southern Piceance Basin, Colorado. AAPG Bull. 2012, 96, 2297–2318. [Google Scholar] [CrossRef]
- Eadington, P.; Hamilton, P.; Bai, G. Fluid history analysis—A prospect evaluation. APPEA J. 1991, 31, 282–294. [Google Scholar] [CrossRef]
- Qiu, N.; Zha, M.; Wang, X. Simulation of geothermal evolution history in Junggar Basin. Xinjiang Pet. Geol. 2000, 21, 38. [Google Scholar]
- Nansheng, Q.; Zhihuan, Z.; Ershe, X. Geothermal regime and Jurassic source rock maturity of the Junggar basin, northwest China. J. Asian Earth Sci. 2008, 31, 464–478. [Google Scholar] [CrossRef]
Disclaimer/Publisher’s Note: The statements, opinions and data contained in all publications are solely those of the individual author(s) and contributor(s) and not of MDPI and/or the editor(s). MDPI and/or the editor(s) disclaim responsibility for any injury to people or property resulting from any ideas, methods, instructions or products referred to in the content. |
© 2024 by the authors. Licensee MDPI, Basel, Switzerland. This article is an open access article distributed under the terms and conditions of the Creative Commons Attribution (CC BY) license (https://creativecommons.org/licenses/by/4.0/).










