Abstract
The low-voltage distribution system (LVDS) is confronted with high-frequency oscillation instability issues due to the negative impedance of constant power loads. To address this, a virtual inertia equivalent modeling method is proposed in this paper, and a reduced-order model along with its transfer function for the LVDS is established. On this basis, a method for solving the feasible region of virtual inertia parameters is proposed. Through this feasible region, reasonable droop coefficients and corner frequencies can be designed from the perspective of small-signal stability. Finally, the switching model of LVDS and its equivalent model are built using the RT-box HITL platform. Multiple sets of experimental results have verified the effectiveness of this feasible region.
1. Introduction
With the increase in installed capacity of photovoltaic power generation and wind power generation [1,2,3], low-voltage distribution systems (LVDSs) have attracted widespread attention from a wide range of scientific and technological workers, power equipment manufacturing companies, and power supply and distribution companies [4,5,6]. Generally, LVDSs are composed of devices such as energy storage converters, DC lines, photovoltaic power-generation units, and constant power loads [7,8,9,10]. The stability of the DC bus voltage of an LVDS is usually maintained by multiple energy storage converters [11,12,13]; however, due to the interaction between the negative resistance of constant power loads [14,15,16], DC lines, and the output impedance of energy storage converters, high-frequency (HF) oscillation instability of the DC bus voltage is prone to occur [17,18,19,20].
In order to evaluate the HF oscillation of LVDSs, a system state-space matrix model was established in the literature [21]. Among the eigenvalues calculated from the state-space matrix, a pair of HF conjugate eigenvalues with negative damping factor was found. In the literature [22], the sensitivity of the voltage–current proportional integral coefficient to the HF conjugate poles was analyzed. The study found that the HF oscillation frequency is almost not affected when the voltage and current integral coefficients change. Based on this analysis, the influence of these two coefficients is ignored. In addition, a second-order analytical model for evaluating HF oscillation frequencies was also established; however, the second-order analytical model does not consider the interaction between multiple energy storage converters. The current control parameters have a minor impact on the dynamic behavior of DC voltage [23]. Based on this, a simplified model of a DC voltage control unit is proposed [24]. Further considering the system topology, the equivalent RLC circuit model of an LVDS with multiple energy storage converters in parallel is also established [25]. Based on this model, the physical mechanism of voltage control parameters under low-frequency (LF) dynamics is revealed; however, this model is not suitable for revealing the HF oscillation instability mechanism of LVDSs [26]. In summary, the aforementioned reduced-order model cannot simultaneously evaluate the LF and HF oscillation phenomena of the system. Therefore, it is necessary to establish a reduced-order model that can simultaneously assess the small-signal stability of both LF and HF.
The problem of HF oscillation instability in LVDSs needs to be solved. For this purpose, a high-frequency oscillation suppression method based on a high-frequency filter is provided [27]. Furthermore, the resonance peak of the system output impedance is effectively suppressed. In the literature [28], the HF oscillation peak of the voltage control unit is effectively suppressed by the proposed novel disturbance observer. Based on the establishment of the LVDS state matrix, an active damping control method is provided [10]. Simulation results show that the instability problem caused by HF oscillation in an LVDS can be solved by the above two methods [10,28]. Compared to the studies [28] and [10], a virtual inertial control method is provided [21], which can effectively solve the high-frequency oscillation instability problem encountered by LVDSs [29]. Research indicates that unreasonable virtual inertia parameters can indeed lead to high-frequency oscillation instability in LVDSs [30]. In the aforementioned research, the impact of a virtual inertia parameter (such as the droop coefficient or corner frequency) on system stability is typically determined using the root locus method; however, the influence of the interaction between the droop coefficient and the corner frequency on the system’s small-signal stability has not been directly provided yet. Therefore, it is necessary to construct a feasible region for the droop coefficient and corner frequency that takes into account their interaction.
The contributions of this paper are organized as follows. Firstly, a virtual-inertia-equivalent modeling method is proposed, which can model the LVDS with an order of 6n + 1 as a seventh-order reduced-order model. Then, the concept of the feasible region of virtual inertia parameters is introduced, with the droop coefficient and corner frequency of the reduced-order model serving as the parameter space. The nonlinear interaction between the droop coefficient and corner frequency on the system’s small-signal stability is intuitively illustrated through the nonlinear stable boundary curve of this feasible region. Finally, the validity of the feasible region for virtual inertia is verified through multiple sets of experimental results.
2. High-Frequency Oscillation Instability Phenomenon in a Low-Voltage Distribution System
2.1. Topology of a Low-Voltage Distribution System
Theoretical research and experimental verification work is conducted in this paper on the low-voltage distribution system (LVDS) shown in Figure 1. The system primarily consists of n energy storage (ES) converters, n DC lines, and an equivalent constant power load (CPL), where Rsn is the filter resistor, Vsn is the source voltage, Csn is the filter capacitor, Von is the output voltage, Lsn is the filter inductor, Kpin is the current proportional coefficient, Isn is the filter inductor current, Kpvn is the voltage proportional coefficient, ICsn is the filter capacitor current; Ion is the output current, Irn is the filter inductor current reference, Kiin is the current integral coefficient, Vrefn is the rated voltage, Kivn is the voltage integral coefficient, Kdn is the droop coefficient, ωfn is the corner frequency of the low-pass filter, Dsn is the duty factor, Vdrn is the virtual voltage reference value, JVn is the virtual inertia coefficient, V is the DC bus voltage, Dbn is the virtual damping coefficient, Pcpl is the power of the CPL, Lln is the line inductor, Ccpl is the input capacitor, Rln is the line resistor, Icpl is the input capacitor current of the CPL, and s is the Laplace operator.
Figure 1.
Topology diagram of LVDS.
To enhance the small-signal stability of the LVDS, two typical virtual inertia control strategies are usually used. In Figure 1b, a virtual inertia control strategy based on a low-pass filter (LPF) is presented [21,31]. Additionally, in Figure 1c, a virtual synchronous generator (VSG) is also presented [32]. The two typical virtual inertia control strategies mentioned above can be transformed into each other [18,33], and their relationship is as follows:
For the sake of convenience, this article will take the virtual inertial control based on low-pass filters as an example to carry out the theoretical research.
2.2. High-Frequency Oscillation Instability Phenomenon
A typical LVDS from the literature [21] is studied in this paper. The voltage proportional coefficients of the two energy storage converters are both 1, and the remaining parameters are consistent with the literature [21]. The switching model is established using PLECS 4.7.7 software. At 800 milliseconds, the power of the CPL suddenly increases from 0.8 kW to 1.5 kW. The simulation results after disturbance are shown in Figure 2. The simulation results of the DC bus voltage show a high-frequency (HF) oscillation instability phenomenon with an oscillation period of roughly 2.1 ms. In other words, the LVDS has an HF oscillation instability problem with an oscillation frequency of roughly 2991 rad/s.
Figure 2.
Experimental waveforms of HF oscillation in LVDS.
3. Feasible Region of Virtual Inertial Parameters Based on Reduced-Order Model
3.1. Reduced-Order Model of LVDS
In order to evaluate the HF oscillation frequency of the LVDS, a reduced-order model (ROM) should be established. Then, a virtual-inertial-equivalent modeling method is proposed in this paper. It is assumed that the filter parameters and control parameters of each converter in the LVDS are designed through the same principles [34,35,36]. Under this assumption, this equivalent modeling method is applicable.
3.1.1. Reduced-Order Modeling of Circuits and Current Control
- (1)
- Reduced-order modeling of circuits
As indicated by circuit theorems, the equivalent equations for the LC filter circuit and the DC line can be written as follows [21,37]:
where Rs is the equivalent filter resistor, Ll is the equivalent line inductor, Rl is the equivalent line resistor, and Ls is the equivalent filter inductor.
- (2)
- Reduced-order modeling of current control
It should be noted that the energy storage converter and DC line in the LVDS are both produced by the same manufacturer [21]. In other words, the parameters of each device, including circuit parameters and control parameters, are consistent. Based on this, it can be observed that the duty factor Dsm of the mth ES converter in this LVDS is equal to the duty factor Ds(m+1) of the (m + 1)th ES converter. Therefore, Ds will be consistently used throughout this paper to represent the duty factor of each ES converter.
For convenience, the effect of DC line impedance is now temporarily being ignored. Due to the neglect of the impact of the DC line impedance, the output voltage Von of the mth ES converter can be represented by the DC bus voltage V. By linearizing Figure 1a, the mathematical equation of the transfer function Gvdm(s) of the mth ES converter can be written as outlined below [21]:
where Rcpl is the equivalent negative impedance; hm is the current sharing coefficient of the mth energy storage converter, and satisfies ∑hm =1. Due to the parallel connection between each ES converter in the LVDS, the small-signal stability of the DC bus voltage is collectively determined by all ES converters. From the modeling perspective of the entire LVDS, the system-level transfer function Gvd_sys(s) is derived by superimposing all the transfer functions Gvdm(s) of the ES converters [34,36]. Then, its mathematical expression can be written as follows:
For the mth ES converter, the expression of its current controller Gicm(s) can be written as presented below [38]:
Considering the influence of the current controller Gicm(s), the expression for the duty factor Dsm of the mth ES converter can be written as outlined below:
Since the energy storage converters in the LVDS are all produced by the same manufacturer [21], the following equation should hold:
where Is is the equivalent filter inductor current, and Ir is the equivalent filter inductor current reference. The system-level closed-loop current transfer function Gii_sys(s) is defined when Ir and Is are taken as the input and output signals. That is, by simultaneously solving Equations (4), (6) and (7), the mathematical expression of the transfer function Gii_sys(s) can be written as follows:
Then, the transfer function Gii_sys(s) can be simplified into the form of the transfer function Gii_eq(s), as shown below:
where Gic(s) is the equivalent current controller of the reduced-order model. By comparing Equation (8) with Equation (9), it can be seen that the n current controllers in the LVDS can also be equivalent to one current controller. Furthermore, the following equivalent equation can be written as follows:
where Kii is the equivalent current integral coefficient, and Kpi is the equivalent current proportional coefficient.
3.1.2. Reduced-Order Modeling of Voltage and Virtual Inertia Control
For the mth ES converter, the expression of its voltage controller Gvcm(s) can be written as outlined below [38]:
As shown in Figure 1, the virtual inertia control expression of the nth ES converter can be expressed as follows:
In Figure 1c, the mathematical expression for Irm of the mth ES converter can be written as presented below:
Since the energy storage converters in LVDS are all produced by the same manufacturer [21], the following relationship exists:
where Vdr, Io, and Vref are the virtual voltage reference, output current, and rated voltage of the ROM, respectively. The system-level closed-loop voltage transfer function Gviv_sys(s) is defined when Vref and V are taken as the input and output signals. By simultaneously solving Equations (4), (6) and (12)–(14), the mathematical expression of the transfer function Gviv_sys(s) can be written as presented below:
Then, the transfer function Gviv_sys(s) can be simplified into the form of the transfer function Gviv_eq(s), as shown below:
where Gvc(s) is the equivalent voltage controller of the ROM, JV is the virtual inertia coefficient of the ROM, and Db is the virtual damping coefficient of the ROM. By comparing Equation (15) with Equation (16), it can be seen that the n voltage controllers in the LVDS can also be equivalent to one voltage controller. The equivalent equation for the voltage control parameters can be written as follows:
where Kiv is the equivalent voltage integral coefficient, and Kpv is the equivalent voltage proportional coefficient.
Similarly, it can be seen from Equations (15) and (16) that the n virtual synchronous generators in LVDS can also be equivalent to one virtual synchronous generator. Furthermore, the following equivalent equation can be written as outlined below:
3.1.3. Reduced-Order Modeling Considering the DC Line Impedance
From Equations (2), (10), (17) and (18), it can be seen that a ROM of the LVDS can be established, and its switching model is depicted in Figure 3. In the figure, Vs and ωf are the source voltage and corner frequency of the ROM, respectively; Ds and Kd are the equivalent duty factor and equivalent droop coefficient of the ROM, respectively.
Figure 3.
Topology diagram of the ROM.
After taking into account the DC line impedance, the transfer function Gviv_eq(s) is redefined as Gviv_eq_line(s). By linearizing the reduced-order model, the transfer function Gviv_eq_line(s) can be written as follows:
where Gvivn_eq_line(s), Gvid1_eq_line(s), and Gvid2_eq_line(s) are the numerator, first denominator, and second denominator transfer functions of the transfer function Gviv_eq_line(s), respectively, as shown in Equations (20)–(22).
where the transfer functions Gvdln(s) and Gvdld(s) are the numerator and denominator of the transfer function Gvd(s), respectively.
For the LVDS shown in Figure 1, the order of its full-order model is 6n + 1. Additionally, the order of the reduced-order model is seven.
3.1.4. Validation of the Effectiveness of the ROM
- (1)
- Verification based on frequency measurement
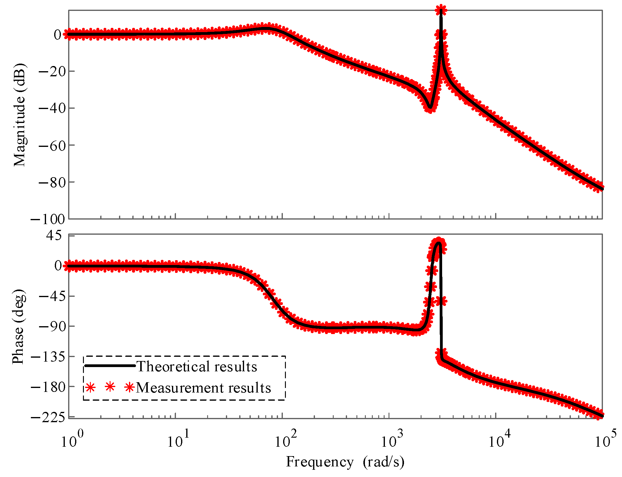
The validity of the reduced-order model established in this paper is verified through frequency measurement [39,40], with details provided in Figure 4. During the frequency measurement, the power of the CPL is set to 0.8 kW. This is because the experimental results in Figure 2 are stable when the power of the CPL is set to 0.8 kW. The theoretical results and measurement results of transfer function Gviv_eq_line(s) are shown as the black solid line and the red dashed line with asterisks in Figure 5, respectively. As indicated by the amplitude-frequency response waveform and the phase-frequency response waveform presented in Figure 5, the measurement results almost align with the theoretical results. From this, it can be inferred that the stability of the LVDS can be analyzed through the transfer function Gviv_eq_line(s). In other words, the stability of the LVDS is the same as that of the reduced-order model.
Figure 4.
Schematic diagram of measurement for voltage closed-loop transfer function.
Figure 5.
Comparison of measurement results and theoretical results.
- (2)
- Verification based on the RT-box HITL platform
To verify the effectiveness of the virtual-inertia-equivalent modeling method, the ROM is built on PLECS software. When the power of the CPL is stepped from 0.8 kW to 1.5 kW, the simulation waveforms are presented in Figure 6. As indicated by the figure, the simulation waveforms of the LVDS and its ROM are basically consistent. This verifies the effectiveness of the virtual-inertial-equivalent modeling method proposed in this paper. The fundamental reason for the effectiveness of this method lies in the mathematical analytical equations provided by (2), (10), (17) and (18). Based on these equations, the filtering circuit, DC line, current control loop, voltage control loop, and virtual-inertia control loop of the LVDS are all equivalently processed. In this equivalent process, no parameters are neglected. This is why the experimental results of the LVDS and its ROM are almost identical.
Figure 6.
Experimental waveforms of ROM.
In summary, the stability of the LVDS is the same as that of its reduced-order model. Therefore, the stability of the LVDS will be assessed using the voltage closed-loop transfer function Gviv_eq_line(s).
3.2. Theoretical Analysis of HF Oscillation Instability Phenomenon Based on Reduced-Order Model
3.2.1. Theoretical Analysis Based on the Transfer Function Gviv_eq_line(s)
The frequency response curves of Gvd(s) and Gviv_eq_line(s) are shown as the black solid line and the red solid line in Figure 7, respectively. Based on Figure 7, a theoretical explanation for the unstable HF oscillation phenomenon in Figure 6 will be given. The transfer function Gvd(s) has an HF oscillation peak at an oscillation frequency of 3030 rad/s. Combining Figure 3, it can be seen that the LC oscillation link of this HF oscillation peak is composed of Ccpl and Rl/Ll. In Figure 7, the transfer function Gviv_eq_line(s) also has an HF oscillation peak at an oscillation frequency of 3030 rad/s. Based on this, it can be inferred that under the existing virtual inertial parameters, the virtual inertial control strategy fails to effectively suppress this HF oscillation peak.
Figure 7.
Bode plots of transfer functions Gvd(s) and Gviv_eq_line(s).
The same conclusion can be drawn from the zero-pole diagram shown in Figure 8. In the figure, × and ○ are represented as the pole and the zero of the transfer function respectively. As shown in Figure 8, a pair of unstable HF conjugate poles appears on the right side of the imaginary axis. Furthermore, the oscillation frequency of this pair of poles is 3030 rad/s. Additionally, the damping factor of this pair of poles is −0.008. It can be seen that the theoretical value of the high-frequency oscillation frequency 3030 rad/s in Figure 8 is almost consistent with the actual value of the high-frequency oscillation frequency 2991 rad/s in Figure 2. The effectiveness of the reduced-order model and its transfer function Gviv_eq_line(s) is further verified.
Figure 8.
Zero-pole diagram of function Gviv_eq_line(s).
3.2.2. Theoretical Analysis of the Impact of Different Factors on System Stability
- (1)
- The impact of CPL power on system stability
As the power of the CPL varies from 0.8 kW to 1.5 kW, the movement trajectory of the high-frequency conjugate poles is shown in Figure 9. In Figure 9, as the CPL power increases, the high-frequency conjugate poles are gradually shifted from the left side of the imaginary axis to the right. This signifies that the damping factor is reduced from a positive value to a negative value. The reason for this reduction lies in the gradual decrease in the negative impedance of the constant power load, leading to the issue of HF oscillation instability in the LVDS.
Figure 9.
The trajectory of high-frequency conjugate poles as the CPL power varies.
- (2)
- The impact of droop coefficient on system stability
To address the instability issue in LVDSs, the impact of droop coefficients on system stability is studied. The power of the CPL is set at 1.5 kW, and the movement trajectory of the high-frequency conjugate poles when the droop coefficient changes is illustrated in Figure 10. The high-frequency conjugate poles are observed to move from the right side of the imaginary axis to the left side as the droop coefficient varies from 0.6 to 0.02. It can be inferred that the stability of the LVDS can be improved by altering the droop coefficients.
Figure 10.
The trajectory of high-frequency conjugate poles as the droop coefficient varies.
- (3)
- The impact of the corner frequency of the low-pass filter on system stability
Along with the same analytical approach, the impact of the corner frequency of the low-pass filter on system stability is also being studied. The power of the CPL is set at 1.5 kW, and Figure 11 illustrates the movement trajectory. It is observed that when the corner frequency changes from 5000 rad/s to 200 rad/s, the damping factor shifts from negative to positive. That is, the high-frequency conjugate poles move from the right side of the imaginary axis to the left side. It can be inferred that the instability issue in the LVDS, caused by the negative impedance of the constant power load, can be addressed by modifying the corner frequency of the low-pass filter.
Figure 11.
The trajectory of high-frequency conjugate poles as the corner frequency varies.
From the aforementioned analysis, it is evident that LVDSs may encounter high-frequency oscillation instability issues due to the negative impedance of CPLs. Moreover, these high-frequency oscillation instability problems can be effectively addressed by utilizing a reasonable droop coefficient or corner frequency of the low-pass filter. Indeed, the impact on the stability of the LVDS when a single control parameter varies (such as the droop coefficient or the corner frequency of the low-pass filter) can be analyzed through Figure 10 and Figure 11; however, based on these figures, it is difficult to directly assess the impact of the interaction between the droop coefficient and the corner frequency on the system’s small-signal stability.
3.3. A Feasible Region-Solving Method for Virtual Inertial Parameters
To intuitively assess the impact of the interaction between the droop coefficient and the corner frequency on the stability of the LVDS, the concept of a feasible region for virtual inertia parameters is proposed in this paper. This feasible region uses the droop coefficient and the corner frequency as its parameter space. Then, based on the zeros and poles of the transfer function, a feasible region-solving method is proposed. The detailed process is illustrated in Figure 12.
Figure 12.
Flowchart for solving the virtual inertia parameter feasible region.
where Kdmin is the minimum value of the droop coefficient, Kdmax is the maximum value of the droop coefficient, ωfmin is the minimum value of the corner frequency, ωfmax is the maximum value of the corner frequency, a and b are intermediate variables, and x is the number of sampling points.
3.4. Feasible Region of Virtual Inertial Parameters
The virtual inertia parameter feasible region of this LVDS is depicted using the proposed solving method, as shown in Figure 13. In Figure 13, the closed-loop region formed by Point A, Point B, Point D, Point E, and Point O is represented as the feasible range for virtual inertia parameters, which is denoted as feasible region FRABDEO. If the droop coefficients and the corner frequency of the low-pass filter within the feasible region FRABDEO are adopted, stability can be ensured. For instance, Point G is located within the feasible region FRABDEO, indicating that the small-signal stability of the system can be ensured when the droop coefficient is set to 0.1 and the corner frequency is set to 5000 rad/s. Similarly, Point H and Point K are also located within the feasible region FRABDEO.
Figure 13.
The feasible region of virtual inertia parameters.
However, the closed-loop region formed by Point B, Point C, and Point D is designated as the high-frequency oscillation instability region, denoted as instability region IRBCD. If the droop coefficients and the corner frequency of the low-pass filter within the instability region IRBCD are adopted by the LVDS, high-frequency oscillation instability will occur. For example, Point F lies within the instability region IRBCD, which implies that the system’s small-signal stability will be lost when the droop coefficient is set to 0.6 and the corner frequency is set to 5000 rad/s. Similarly, it can be inferred that Point I and Point J also do not guarantee the small-signal stability of the LVDS.
The red nonlinear curve between Point B and Point D is designated as the boundary between the feasible region of virtual inertia parameters and the high-frequency oscillation instability region. As can be seen from Figure 12, on the boundary represented by the red nonlinear curve in Figure 13, the damping factor of the high-frequency conjugate poles is equal to zero. When the damping factor of the high-frequency conjugate poles is greater than zero, the set of parameters lies within the feasible region; conversely, the set of parameters lies outside the feasible region. It is evident that the accuracy of the feasible region will be determined by accurate LVDS circuit and control parameters. The green dashed line extending from Point F to Point G in Figure 13 represents the stability condition when the droop coefficient is reduced from 0.6 to 0.02. Similarly, the green dashed line from Point F to Point H in Figure 13 represents the stability information when the corner frequency is decreased from 5000 rad/s to 500 rad/s. It can be inferred that the stability information conveyed by the two dashed lines in Figure 13 is consistent with the information expressed in Figure 10 and Figure 11. By comparing points F, I, J, and K, it is found that taking into account the interaction between the droop coefficient and the corner frequency is beneficial for enhancing the system’s small-signal stability. In summary, the stability information contained within the feasible region of the virtual inertia parameters is richer than that presented in Figure 10 and Figure 11. Furthermore, the feasible region of virtual inertia parameters is able to intuitively demonstrate the impact of the interaction between the droop coefficient and the corner frequency on the small-signal stability of the LVDS.
The detailed information on the six sets of virtual inertia parameters is shown in Table 1.
Table 1.
Six sets of virtual inertial parameters designed according to the feasible region.
Based on the virtual inertia parameter feasible region, a reasonable droop coefficient Kd and corner frequency ωf can be designed. Moreover, a virtual inertial parameter design method based on a reduced-order model is proposed. Then, the droop coefficient Kdm and corner frequency ωfm of the mth energy storage converter can be calculated using Equation (23). As a result, the HF oscillation instability phenomenon of LVDS can be effectively suppressed.
4. Theoretical Analysis
4.1. Design of Droop Coefficient Based on Virtual Inertia Parameter Feasible Region
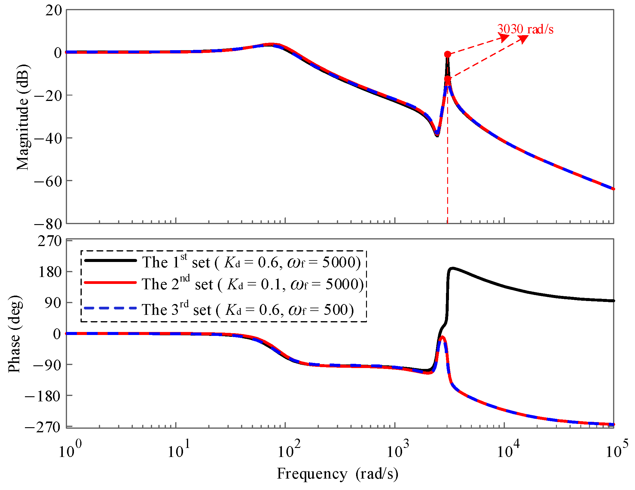
As shown in Figure 13, the second set of parameters, Kd = 0.1 and ωf= 5000 rad/s, fall within the feasible region FRABDEO. In other words, these parameters can effectively ensure the stability of the LVDS. The Bode plots of the function Gviv_eq_line(s) for the first and second sets of virtual inertia parameters are shown in Figure 14. According to the figure, the HF oscillation peaks of the second set of parameters are significantly smaller than those of the first set of parameters. In other words, the second set of virtual inertia parameters can effectively improve the stability.
Figure 14.
Bode plots of the 2nd and 3rd sets of parameters.
The zero-pole diagram of the second set of parameters is shown in Figure 15. In Figure 15, the HF oscillation frequency is 3040 rad/s; the damping factor is 0.037. The damping factor being 0.037 > 0 indicates that instability will not arise. The oscillation frequency of the pair of low-frequency conjugate poles is 86.2 rad/s. Additionally, the damping coefficient of the pair of low-frequency conjugate poles is 0.436. It can be inferred that this low-frequency conjugate pole will be the dominant conjugate pole of the LVDS. That is to say, the DC bus voltage oscillation frequency of the LVDS will be 86.2 rad/s.
Figure 15.
Zero-pole diagram of a 100-m DC line and the 2nd set of parameters.
4.2. Design of Corner Frequency Based on Virtual Inertia Parameter Feasible Region
Similarly, in Figure 13, the third set of parameters Kd = 0.6 and ωf = 500 rad/s are located within the feasible region FRABDEO, which means that the third set of parameters can also ensure the stability of the LVDS. The Bode plots of Gviv_eq_line(s) for the first and third sets of virtual inertia parameters are shown in Figure 14. From the frequency domain response curve provided in Figure 14, it can be seen that compared to the first set of parameters, the third set of parameters effectively suppresses HF oscillation spikes. In other words, the stability can be effectively improved by the third set of parameters.
The zero-pole diagram for the third set of parameters is shown in Figure 16. As shown in Figure 16, the HF conjugate poles of the third set of parameters are located on the left side of the imaginary axis. In Figure 16, the HF oscillation frequency is 3030 rad/s; the damping factor is 0.0409. The oscillation frequency of the pair of low-frequency conjugate poles is 82.4 rad/s. Additionally, the damping coefficient of the pair of low-frequency conjugate poles is 0.472. This means that this low-frequency conjugate pole will be the dominant conjugate pole of the LVDS. In other words, the DC bus voltage oscillation frequency of the third set of parameters will be 86.2 rad/s. Due to the limited length of the paper, the Bode plots and zero-pole diagrams for the parameters of the fourth, fifth, and sixth groups are not provided.
Figure 16.
Zero-pole diagram of a 100-m DC line and the 3rd set of parameters.
4.3. Applicability Analysis for Different Lengths of DC Lines
4.3.1. Applicability Analysis for a 200-m DC Line
The feasible region of virtual inertia parameters for a 200-m DC line is established, as shown in Figure 17. For the LVDS with a 200-m DC line, the closed-loop region formed by Point A, Point B, Point I, Point E, and the origin O is represented as the feasible region for virtual inertia parameters, denoted as feasible region FRABLEO. As can be seen from Figure 17, as the length of the DC line decreases from 200 m to 100 m, the feasible region of virtual inertia parameters is also reduced accordingly. For example, Point F is located within the feasible region FRABLEO but outside the feasible region FRABDEO. This means that for the LVDS with a 200-m DC line, the stability can be ensured by the first set of control parameters; however, this set of parameters can lead to HF oscillation instability in the LVDS with a 100-m DC line.
Figure 17.
The feasible region of virtual inertia parameters for a 200-m DC line.
The Bode plots for the length of the 100-m and 200-m DC lines are shown in Figure 18. It can be seen that the first set of parameters can effectively suppress the HF oscillation spikes introduced by the 200-m DC line; however, it is difficult to effectively suppress the HF oscillation spikes introduced by a 100-m DC line.
Figure 18.
Bode plots of 100-m and 200-m DC lines.
The zero-pole diagram for the 200-m DC line is shown in Figure 19. According to Figure 19, the HF conjugate poles of the 200-m DC line are located on the left side of the imaginary axis. The LF oscillation frequency is 82.3 rad/s. Additionally, the damping coefficient of the pair of low-frequency conjugate poles is 0.467. This indicates that the first set of parameters can ensure the stability of the LVDS with a 200-m DC line. In addition, the DC bus voltage oscillation frequency of the 200-m DC line will be 82.3 rad/s.
Figure 19.
Zero-pole diagram of a 200-m DC line and the 1st set of parameters.
4.3.2. Applicability Analysis for a 60-m DC Line
Similarly, the feasible region of virtual inertia parameters for a 60-m DC line is also established, as shown in Figure 20. For the LVDS equipped with a 60-m DC line, the closed-loop region formed by Point A, Point M, Point N, Point E, and the origin O is represented as the feasible region for virtual inertia parameters, denoted as feasible region FRAMNEO. As can be seen from Figure 20, as the length of the DC line decreases from 100 m to 60 m, the feasible region of virtual inertia parameters is also reduced accordingly. For instance, Point K is located within the feasible region FRABDEO but outside the feasible region FRAMNEO. This implies that the sixth set of virtual inertia control parameters can ensure the small-signal stability of the LVDS with a 100-m DC line; however, this set of parameters may lead to high-frequency oscillation instability in the LVDS with a 60-m DC line.
Figure 20.
The feasible region of virtual inertia parameters for a 60-m DC line.
For the LVDS equipped with a 60-m DC line, the Bode plots for the sixth and seventh sets of virtual inertia control parameters are presented in Figure 21. It can be seen that the high-frequency oscillation peak in the LVDS with a 60-m DC line can be effectively suppressed by the seventh set of parameters, whereas this peak is difficult to mitigate by the sixth set of parameters.
Figure 21.
Bode plots of a 60-m DC line.
The zero-pole diagram for the seventh set of parameters is presented in Figure 22. According to Figure 22, the damping factors for both the high-frequency conjugate poles and the low-frequency conjugate poles are positive. Additionally, the oscillation frequency of the pair of low-frequency conjugate poles is roughly 44.3 rad/s.
Figure 22.
Zero-pole diagram of a 60-m DC line and the 7th set of parameters.
4.4. Applicability Analysis of LVDS Composed of Converters with Different Parameters
The circuit parameters and control parameters of the non-uniform LVDS, which is composed of converters with different parameters, are shown in Table 2. In the eighth set of parameters, the corner frequency and droop coefficient are set to 5000 rad/s and 0.8, respectively. In the ninth set of parameters, the corner frequency and droop coefficient are set to 3000 rad/s and 0.5, respectively.
Table 2.
Circuit parameters and control parameters of non-uniform LVDS.
The feasible region of the virtual inertia parameters for the non-uniform LVDS is given in Figure 23. As indicated in the figure, points F and G are located outside and inside the feasible region, respectively. Therefore, when the LVDS is configured with the eighth and ninth sets of parameters, the system will be small-signal stable and small-signal unstable, respectively.
Figure 23.
The feasible region of virtual inertia parameters for non-uniform LVDS.
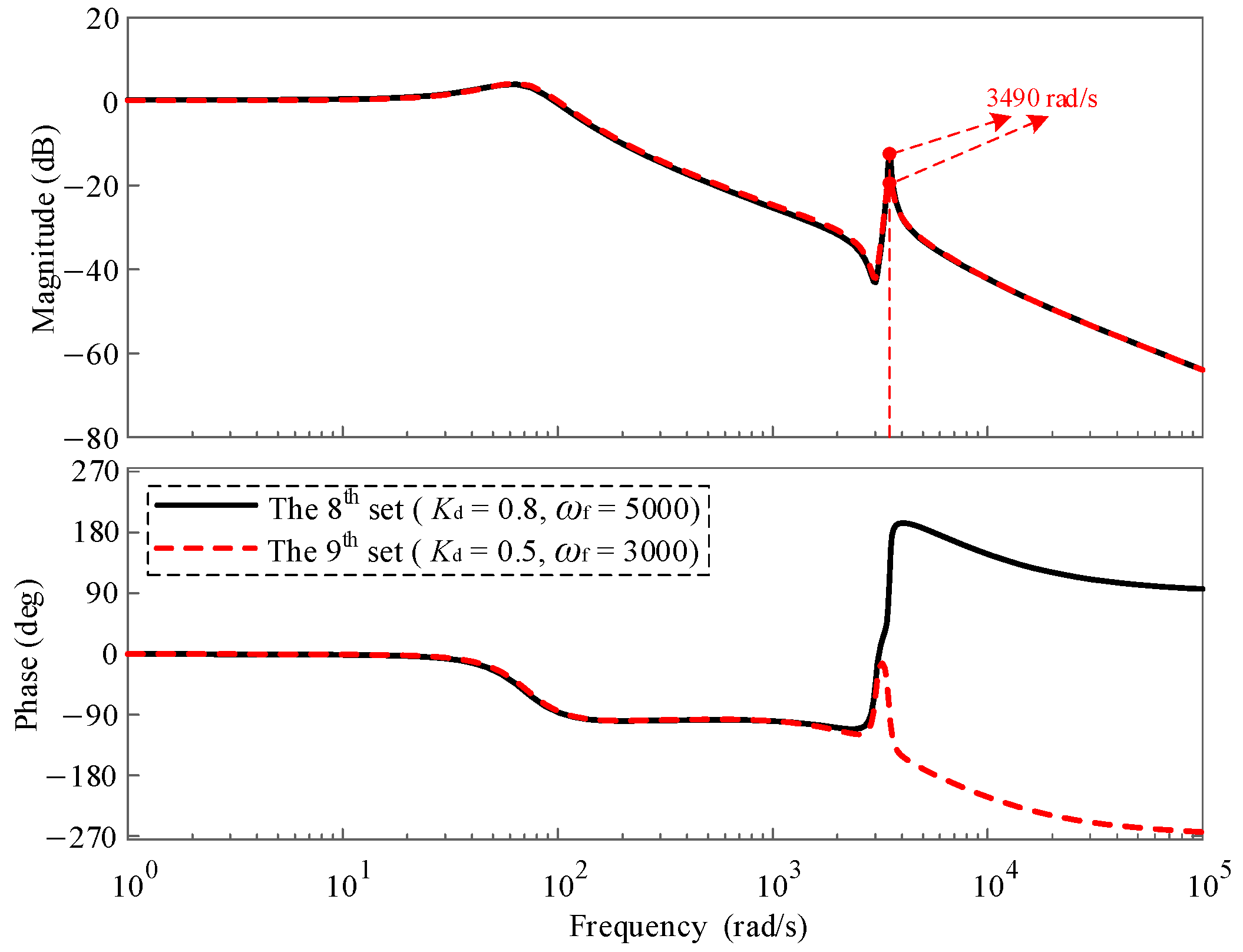
The Bode plots for the eighth and ninth sets of parameters are shown in Figure 24. It is evident that, compared to the eighth set of parameters, the high-frequency oscillation peaks in the ninth set of parameters are effectively suppressed.
Figure 24.
Bode plots of the 8th and 9th sets of parameters.
The zero-pole diagram for the eighth and ninth sets of parameters are shown in Figure 25 and Figure 26, respectively. In Figure 25, the damping factor of the high-frequency conjugate poles is less than zero, indicating that the LVDS with the eighth set of parameters will experience high-frequency oscillation instability. In Figure 26, the damping factor of the high-frequency conjugate poles is greater than zero, indicating that the LVDS with the ninth set of parameters will be small-signal stable.
Figure 25.
Zero-pole diagram of the 8th set of parameters.
Figure 26.
Zero-pole diagram of the 9th set of parameters.
5. Experimental Verification
The switching models of LVDS and its ROM are established using the RT-box HITL platform shown in Figure 27.
Figure 27.
RT-BOX HITL experimental platform.
5.1. Experimental Verification of the Designed Droop Coefficient and Corner Frequency
5.1.1. System Stability Under Independent Adjustment of the Droop Coefficient
At 10 milliseconds, the power of the CPL suddenly increases from 0.8 kW to 1.5 kW. In addition, the waveforms of the second set of parameters are provided in Figure 28. At 200 milliseconds, the dynamic process of the experimental results has ended, indicating that the LVDS has reached a new steady-state operating point. Therefore, the experimental results within the time range of 0 to 200 milliseconds are presented in this paper. The actual oscillation frequency of the DC bus voltage waveforms is roughly 77.53 rad/s. The validity of the oscillation frequency of 86.2 rad/s in Figure 15 is verified. This verifies the effectiveness of the virtual inertia parameter feasible region in droop coefficient design. Additionally, the voltage experimental waveforms of the LVDS and its ROM are largely congruent.
Figure 28.
Experimental waveforms of a 100-m DC line and the 2nd set of parameters.
5.1.2. System Stability Under Independent Adjustment of the Corner Frequency
In the context of the same perturbation scenario, the experimental waveforms of the third set of parameters are provided in Figure 29. The actual oscillation frequency of the DC bus voltage waveforms is roughly 73.36 rad/s. The validity of the oscillation frequency of 82.4 rad/s in Figure 16 is verified. This verifies the effectiveness of the virtual inertia parameter feasible region in droop coefficient design. Additionally, the voltage experimental waveforms of the LVDS and its ROM are largely congruent.
Figure 29.
Experimental waveforms of a 100-m DC line and the 3rd set of parameters.
5.1.3. System Stability Under Joint Adjustment of the Droop Coefficient and Corner Frequency
In the context of the same perturbation scenario, the experimental waveforms of the fourth, fifth, and sixth sets of parameters are presented in Figure 30, Figure 31 and Figure 32, respectively. As can be seen from Figure 30, the unstable experimental waveforms in the LVDS still occur when the droop coefficient is decreased from 0.6 to 0.52. Similarly, when the corner frequency is decreased from 5000 rad/s to 3500 rad/s, the LVDS still exhibits the unstable experimental waveforms as shown in Figure 31. Fortunately, when the droop coefficient and the corner frequency are set to 0.52 and 3500 rad/s, respectively, the experimental result of the LVDS is stable, as shown in Figure 32. The unstable experimental waveforms presented in Figure 30 and Figure 31, along with the stable waveforms depicted in Figure 32, verify the correctness of the virtual inertia parameter feasible region depicted in Figure 13. Thus, it is evident that the stable boundary between the feasible region of virtual inertia parameters and the high-frequency oscillation instability region is a nonlinear curve when the corner frequency falls within the range of [1500 rad/s, 8000 rad/s]. The impact of the interaction between the droop coefficient and the corner frequency on the system’s small-signal stability is nonlinear. This also indicates that it is very necessary to consider the interaction between the droop coefficient and the corner frequency for improving the small-signal stability of the LVDS.
Figure 30.
Experimental waveforms of a 100-m DC line and the 4th set of parameters.
Figure 31.
Experimental waveforms of a 100-m DC line and the 5th set of parameters.
Figure 32.
Experimental waveforms of a 100-m DC line and the 6th set of parameters.
5.2. Experimental Verification of Different DC Line Lengths
5.2.1. Experimental Verification of a 200-m DC Line
Under the same disturbance condition and the first set of parameters, the waveforms of a DC line with a length of 200 m are shown in Figure 33. As shown in Figure 33, the waveforms of a DC line with a length of 200 m show low-frequency dynamic stability. The actual oscillation frequency of the DC bus voltage waveforms is roughly 74.50 rad/s. The validity of the oscillation frequency of 82.3 rad/s in Figure 19 is verified. The aforementioned waveforms validate the correctness of Figure 17, which indicates that the area of the feasible region for virtual inertia parameters decreases as the length of the DC line is reduced. Additionally, the voltage experimental waveforms of the LVDS and its ROM are largely congruent.
Figure 33.
Experimental waveforms of a 200-m DC line and the 1st set of parameters.
5.2.2. Experimental Verification of a 60-m DC Line
For the LVDS of a 60-m DC line, the experimental results of the sixth and seventh sets of parameters are shown in Figure 34 and Figure 35, respectively. The unstable experimental waveforms in Figure 34 and the low-frequency dynamic stability in Figure 35 both verify the correctness of the feasible region of virtual inertia parameters shown in Figure 20. In other words, the area of the feasible region for virtual inertia parameters is enlarged as the length of the DC line increases. The actual oscillation frequency of the DC bus voltage waveforms is roughly 42.43 rad/s. The validity of the oscillation frequency of 44.3 rad/s in Figure 22 is verified. Furthermore, the experimental results of HF oscillation instability and LF dynamic stability for both the LVDS and its ROM are basically consistent, which verifies the effectiveness of the virtual inertia equivalent modeling method.
Figure 34.
Experimental waveforms of a 60-m DC line and the 6th set of parameters.
Figure 35.
Experimental waveforms of a 60-m DC line and the 7th set of parameters.
5.3. Applicability Analysis of LVDS Composed of Converters with Different Parameters
For the non-uniform LVDS, the experimental results for the eighth and ninth sets of parameters are shown in Figure 36 and Figure 37, respectively. The unstable experimental waveforms in Figure 36 and the low-frequency dynamic stability in Figure 37 both verify the correctness of the feasible region for virtual inertia parameters shown in Figure 23. Furthermore, the experimental results for high-frequency oscillation instability and low-frequency dynamic stability are basically consistent between the LVDS and its ROM, which verifies the effectiveness of the virtual inertia equivalent modeling method.
Figure 36.
Experimental waveforms of the 8th set of parameters.
Figure 37.
Experimental waveforms of the 9th set of parameters.
6. Conclusions
Addressing the problem of LVDS high-frequency (HF) oscillation instability caused by unreasonable virtual inertia control parameters, the concept of the feasible region of virtual inertia parameters and its solving method are proposed. The main conclusions are as follows:
- (1)
- For an LVDS with n energy storage converters, the order of its full-order model is 6n + 1. A reduced-order model of the LVDS with an order of seven has been established through the proposed virtual inertial equivalent modeling method. Additionally, the transfer function for this reduced-order model has also been derived;
- (2)
- To address the HF oscillation instability problem caused by the negative impedance of constant power loads, the concept of a feasible region for virtual inertia parameters is proposed in this paper. This feasible region utilizes the droop coefficient and corner frequency as its parameter space. Additionally, a feasible region-solving method is also proposed;
- (3)
- When the corner frequency falls within the range of [1500 rad/s, 8000 rad/s], the stable boundary between the feasible region of virtual inertia parameters and the high-frequency oscillation instability region is a nonlinear curve. The impact of the interaction between the droop coefficient and the corner frequency on the system’s small-signal stability is nonlinear. In addition, as the length of the DC line decreases, the area of the feasible region for virtual inertia parameters also shrinks.
On the one hand, in order to make the experimental waveforms of the LVDS present ideal virtual inertia characteristics, considering how to quantitatively design the corner frequency is worthy of further research in the future; on the other hand, for LVDSs composed of converters with different parameters, the design of virtual inertia parameters is also a future research direction.
Author Contributions
Conceptualization, G.Y. and S.Z.; methodology, G.Y. and Q.Y.; software, S.Z. and X.Z.; validation, Q.Y. and X.Z.; investigation, G.Y. and X.Z.; writing—original draft preparation, G.Y.; writing—review and editing, G.Y., S.Z., Q.Y. and X.Z.; visualization, S.Z. and Q.Y.; supervision, G.Y. and X.Z.; project administration, Q.Y. All authors have read and agreed to the published version of the manuscript.
Funding
This work was supported by the innovation project of China Southern Power Grid Co., Ltd. ‘Collaborative optimization and control technology of new distribution systems with high proportions of distributed wind power and distributed photovoltaics’ Topic 2: Multi-time scale active collaborative optimization and control technology for new distribution systems for distributed new energy consumption and low-carbon operation (YNKJXM20222378).
Data Availability Statement
Data are contained within the article.
Conflicts of Interest
Authors Guangzeng You, Shuming Zhou, and Qiang Yu are employed by the Power Grid Planning and Construction Research Center of Yunnan Power Grid Co., Ltd. Author Xueshen Zhao is employed by the School of Electrical and Electronic Engineering at Shandong University of Technology and Tianjin THY-Electrical Technology Co., Ltd. The remaining authors declare that the research was conducted in the absence of any commercial or financial relationships that could be construed as potential conflicts of interest.
References
- Hu, W.; Shen, Y.; Yang, F.; Chang, Z.; Zhao, S. Fuzzy Resilient Control of DC Microgrids with Constant Power Loads Based on Markov Jump Models. Mathematics 2024, 12, 2656. [Google Scholar] [CrossRef]
- Li, Z.; Wu, L.; Xu, Y.; Wang, L.; Yang, N. Distributed tri-layer risk-averse stochastic game approach for energy trading among multi-energy microgrids. Appl. Energy 2023, 331, 120282. [Google Scholar] [CrossRef]
- Lasabi, O.; Swanson, A.; Jarvis, L.; Khan, M.; Aluko, A. Hybrid Metaheuristic Secondary Distributed Control Technique for DC Microgrids. Sustainability 2024, 16, 7750. [Google Scholar] [CrossRef]
- Wang, X.; Huang, J.; Cao, Y.; Yang, T.; Xu, Q.; Zhang, C. Adaptive Voltage-Guaranteed Control of DC/DC-Buck-Converter-Interfaced DC Microgrids With Constant Power Loads. IEEE Trans. Ind. Electron. 2024, 71, 14926–14936. [Google Scholar] [CrossRef]
- Li, S.; Zhou, J.; Zhou, F.; Niu, F.; Deng, W. A Reduced Current Ripple Overmodulation Strategy for Indirect Matrix Converter. IEEE Trans. Ind. Electron. 2024; early access. [Google Scholar] [CrossRef]
- Meng, Q.; Tong, X.; Hussain, S.; Luo, F.; Zhou, F.; He, Y.; Liu, L.; Sun, B.; Li, B. Enhancing distribution system stability and efficiency through multi-power supply startup optimization for new energy integration. IET Gener. Transm. Distrib. 2024, 18, 3487–3500. [Google Scholar] [CrossRef]
- Sheida, K.; Seyedi, M.; Afridi, M.A.; Ferdowsi, F.; Khattak, M.J.; Gopu, V.K.; Rupnow, T. Resilient Reinforcement Learning for Voltage Control in an Islanded DC Microgrid Integrating Data-Driven Piezoelectric. Machines 2024, 12, 694. [Google Scholar] [CrossRef]
- Wang, K.; Wang, C.; Yao, W.; Zhang, Z.; Liu, C.; Dong, X.; Yang, M.; Wang, Y. Embedding P2P transaction into demand response exchange: A cooperative demand response management framework for IES. Appl. Energy 2024, 367, 123319. [Google Scholar] [CrossRef]
- Zhang, Z.; Wang, C.; Wu, Q.; Dong, X. Optimal dispatch for cross-regional integrated energy system with renewable energy uncertainties: A unified spatial-temporal cooperative framework. Energy 2024, 292, 130433. [Google Scholar] [CrossRef]
- Deng, W.; Pei, W.; Zhuang, Y.; Zhang, X. Interaction behavior and stability analysis of low-voltage multi-terminal DC system. IEEE Trans. Power Deliv. 2022, 37, 3555–3566. [Google Scholar] [CrossRef]
- Lin, G.; Ma, J.; Li, Y.; Rehtanz, C.; Liu, J.; Wang, Z.; Wang, P.; She, F. A Virtual Inertia and Damping Control to Suppress Voltage Oscillation in Islanded DC Microgrid. IEEE Trans. Energy Convers. 2021, 36, 1711–1721. [Google Scholar] [CrossRef]
- Zhang, X.; Lu, D.; Bao, H.; Qu, X.; Hu, Y.; Bao, B. Stability Analysis of Cascaded Converter via Equivalent Modeling of Feedforward Ripple. IEEE Trans. Power Electron. 2023, 38, 12907–12921. [Google Scholar] [CrossRef]
- Yang, Y.; Li, C.; Xu, J.; Blaabjerg, F.; Dragicevic, T. Virtual Inertia Control Strategy for Improving Damping Performance of DC Microgrid With Negative Feedback Effect. IEEE J. Emerg. Sel. Top. Power Electron. 2021, 9, 1241–1257. [Google Scholar] [CrossRef]
- Qie, T.; Zhang, X.; Jiang, W.; Ye, J.; Iu, H.H.C.; Fernando, T. A Novel Data-Driven Large Signal Stabilizer for Interleaved DC/DC Boost Converter with Constant Power Load. IEEE Trans. Ind. Electron. 2024, 71, 14308–14317. [Google Scholar] [CrossRef]
- Lin, G.; Wang, S.; Dai, N.; Li, Y.; Liu, J.; Rehtanz, C.; Li, S.; Zhou, Y. A Reduced-Order Impedance Model and Analytical Loop-Correction Stabilization Method for Electric Vehicle DC Charging Station. IEEE Trans. Power Deliv. 2024, 39, 2194–2206. [Google Scholar] [CrossRef]
- Lin, H.; Chung, H.S.H.; Shen, R.; Xiang, Y. Enhancing Stability of DC Cascaded Systems with CPLs Using MPC Combined with NI and Accounting for Parameter Uncertainties. IEEE Trans. Power Electron. 2024, 39, 5225–5238. [Google Scholar] [CrossRef]
- Li, C.; Yang, Y.; Dragicevic, T.; Blaabjerg, F. A New Perspective for Relating Virtual Inertia With Wideband Oscillation of Voltage in Low-Inertia DC Microgrid. IEEE Trans. Ind. Electron. 2022, 69, 7029–7039. [Google Scholar] [CrossRef]
- Tu, H.; Yu, H.; Lukic, S. Impact of Virtual Inertia on DC Grid Stability With Constant Power Loads. IEEE Trans. Power Electron. 2023, 38, 5693–5699. [Google Scholar] [CrossRef]
- Habibullah, M.; Bhumkittipich, K.N.; Mithulananthan, N.; Sharma, R.; Zare, F. Damping Oscillation and Removing Resonance in a RE Based DC Microgrids. IEEE Access 2022, 9, 163516–163525. [Google Scholar] [CrossRef]
- He, B.; Chen, W.; Li, X.; Shu, L.; Ruan, X. A Power Adaptive Impedance Reshaping Strategy for Cascaded DC System with Buck-Type Constant Power Load. IEEE Trans. Power Electron. 2023, 37, 8909–8920. [Google Scholar] [CrossRef]
- Guo, L.; Zhang, S.; Li, X.; Li, W.; Wang, C.; Feng, Y. Stability analysis and damping enhancement based on frequency-dependent virtual impedance for DC microgrids. IEEE J. Emerg. Sel. Top. Power Electron. 2017, 5, 338–350. [Google Scholar] [CrossRef]
- Yao, G.; Peng, K.; Li, X.; Jiang, S.; Liu, Y. A reduced-order model for high-frequency oscillation mechanism analysis of droop control based flexible DC distribution system. Int. J. Electr. Power Energy Syst. 2021, 130, 106927. [Google Scholar] [CrossRef]
- Zhang, B.; Gao, F.; Liao, D.; Zhang, Y.; Liu, D. Distributed AC–DC Coupled Hierarchical Control for VSC-Based DC Microgrids. IEEE Trans. Power Electron. 2024, 39, 2180–2199. [Google Scholar] [CrossRef]
- Guo, L.; Li, P.; Li, X.; Gao, F.; Huang, D.; Wang, C. Reduced-order modeling and dynamic stability analysis of MTDC systems in DC voltage control timescale. CSEE J. Power Energy Syst. 2020, 6, 591–600. [Google Scholar]
- Li, P.; Guo, L.; Li, X.; Wang, H.; Zhu, L.; Gao, F.; Zhu, J.; Wang, C. Reduced-Order Modeling and Comparative Dynamic Analysis of DC Voltage Control in DC Microgrids Under Different Droop Methods. IEEE Trans. Energy Convers. 2021, 36, 3317–3333. [Google Scholar] [CrossRef]
- Lin, G.; Liu, J.; Wang, P.; Rehtanz, C.; Li, Y.; Wang, S. Low-Frequency Oscillation Analysis of Virtual-Inertia-Controlled DC Microgrids Based on Multi-Timescale Impedance Model. IEEE Trans. Sustain. Energy 2022, 13, 1536–1552. [Google Scholar] [CrossRef]
- Rashidirad, N.; Hamzeh, M.; Sheshyekani, K.; Afjei, E. High-Frequency Oscillations and Their Leading Causes in DC Microgrids. IEEE Trans. Energy Convers. 2017, 32, 1479–1491. [Google Scholar] [CrossRef]
- Li, X.; Guo, L.; Zhang, S.; Wang, C.; Li, Y.; Chen, A.; Feng, Y. Observer-Based DC Voltage Droop and Current Feed-Forward Control of a DC Microgrid. IEEE Trans. Smart Grid 2018, 9, 5207–5216. [Google Scholar] [CrossRef]
- Derbas, A.A.; Oshnoei, A.; Azzouz, M.A.; Awad, A.S.A.; Blaabjerg, F.; Anvari-Moghaddam, A. Adaptive Damping Control to Enhance Small-Signal Stability of DC Microgrids. IEEE J. Emerg. Sel. Top. Power Electron. 2023, 11, 2963–2978. [Google Scholar] [CrossRef]
- Zhu, X.; Meng, F.; Xie, Z.; Yue, Y. An Inertia and Damping Control Method of DC–DC Converter in DC Microgrids. IEEE Trans. Energy Convers. 2020, 35, 799–807. [Google Scholar] [CrossRef]
- Wu, D.; Tang, F.; Dragicevic, T.; Guerrero, J.; Vasquez, J. Coordinated Control Based on Bus-Signaling and Virtual Inertia for Islanded DC Microgrids. IEEE Trans. Smart Grid 2015, 6, 2627–2638. [Google Scholar] [CrossRef]
- Zhi, N.; Ming, X.; Ding, Y.; Du, L.; Zhang, H. Power-Loop-Free Virtual DC Machine Control With Differential Compensation. IEEE Trans. Ind. Appl. 2022, 58, 413–422. [Google Scholar] [CrossRef]
- Zhang, Z.; Fang, J.; Dong, C.; Jin, C.; Tang, Y. Enhanced Grid Frequency and DC-Link Voltage Regulation in Hybrid AC/DC Microgrids Through Bidirectional Virtual Inertia Support. IEEE Trans. Ind. Electron. 2023, 70, 6931–6940. [Google Scholar] [CrossRef]
- Cupelli, M.; Zhu, L.; Monti, A. Why Ideal Constant Power Loads Are Not the Worst Case Condition From a Control Standpoint. IEEE Trans. Smart Grid 2015, 6, 2596–2606. [Google Scholar] [CrossRef]
- Song, Q.; Chen, J.; Chen, J.; Chen, G. Completely Decentralized Energy Management System for Fuel Cell-Battery-Ultracapacitor Hybrid Energy Storage System. IEEE Trans. Ind. Electron. 2024, 71, 438–449. [Google Scholar] [CrossRef]
- Zhang, Y.; Qu, X.; Wang, G.; Chen, W.; Huang, Z. Investigation of Multiple Resonances and Stability Enhancement in Multi-Source DC Distribution Power Systems. IEEE J. Emerg. Sel. Top. Circuits Syst. 2022, 12, 90–97. [Google Scholar] [CrossRef]
- Xie, W.; Han, M.; Cao, W.; Guerrero, M.; Vasquez, J.C. System-Level Large-Signal Stability Analysis of Droop-Controlled DC Microgrids. IEEE Trans. Power Electron. 2021, 36, 4224–4236. [Google Scholar] [CrossRef]
- Chen, J.; Song, Q. A Decentralized Energy Management Strategy for a Fuel Cell/Supercapacitor-Based Auxiliary Power Unit of a More Electric Aircraft. IEEE Trans. Ind. Electron. 2019, 66, 5736–5747. [Google Scholar] [CrossRef]
- Roinila, T.; Abdollahi, H.; Santi, E. Frequency-Domain Identification Based on Pseudorandom Sequences in Analysis and Control of DC Power Distribution Systems: A Review. IEEE Trans. Power Electron. 2021, 36, 3744–3756. [Google Scholar] [CrossRef]
- Freijedo, F.D.; Rodriguez-Diaz, E.; Dujic, D. Stable and Passive High-Power Dual Active Bridge Converters Interfacing MVDC Grids. IEEE Trans. Ind. Electron. 2018, 65, 9561–9570. [Google Scholar] [CrossRef]
Disclaimer/Publisher’s Note: The statements, opinions and data contained in all publications are solely those of the individual author(s) and contributor(s) and not of MDPI and/or the editor(s). MDPI and/or the editor(s) disclaim responsibility for any injury to people or property resulting from any ideas, methods, instructions or products referred to in the content. |
© 2025 by the authors. Licensee MDPI, Basel, Switzerland. This article is an open access article distributed under the terms and conditions of the Creative Commons Attribution (CC BY) license (https://creativecommons.org/licenses/by/4.0/).




































