Next Article in Journal
Catalytic Pyrolysis of Waste Textiles for Hydrogen-Rich Syngas Production over NiO/Al2O3 Catalyst
Next Article in Special Issue
Sustainable Biodiesel Production from Turkish Coffee Waste Oil: A Comparative Study with Homogeneous and Heterogeneous Catalysts
Previous Article in Journal
Tool Wear State Monitoring in Titanium Alloy Milling Based on Wavelet Packet and TTAO-CNN-BiLSTM-AM
Previous Article in Special Issue
Modification of Sulfur Cake—Waste from Sulfuric Acid Production
 
 
Font Type:
Arial Georgia Verdana
Font Size:
Aa Aa Aa
Line Spacing:
Column Width:
Background:
Article

Analysis and Joint Correlation Models on Pore Structures of Graphitized Phenolic Resin Char Under Ni-Zn-B Catalytic Effect

1
School of Energy and Mechanical Engineering, Nanjing Normal University, Nanjing 210023, China
2
School of Computer Science and Engineering, Nanyang Technological University, Singapore 637141, Singapore
*
Authors to whom correspondence should be addressed.
Processes 2025, 13(1), 14; https://doi.org/10.3390/pr13010014
Submission received: 27 November 2024 / Revised: 11 December 2024 / Accepted: 20 December 2024 / Published: 25 December 2024
(This article belongs to the Special Issue Development and Utilization of Biomass, Coal and Organic Solid Wastes)

Abstract

Phenolic resin plastic is mainly composed of phenolic resin and pyrolysis is often used to perform the important task of treating it. While there are large quantities of char generating, the char can be graphitized for upgrading under Ni-Zn-B catalytic effect. Pore structure is an important index for evaluating graphitic carbon. In this study, the phenolic resin char was graphitized with Ni-Zn-B at low temperature based on orthogonal rules (graphitization temperature: 1300 °C, 1400 °C, 1500 °C; retention time: 60 min, 120 min, 180 min; catalyst additive ratio: 5%, 10%, 15%), and their pore structures were determined by N2 adsorption and desorption method. The graphitized phenolic resin chars were porous carbon materials whose specific surface areas were commonly between 110 to 160 m2/g; they also mainly consisted of wholly equivalent micropores and mesopores. The effects of the graphitization conditions on pore structures of GPRCs were analyzed; this revealed that the increase in graphitization temperature destroyed micropores to form mesopores, with a longer retention time leading to the production of small quantities of micropores and mesopores, some micropore spaces were occupied and mesopore skeletons were destroyed to from large pores with more Ni-Zn-B addition. The correlation models of the pore structures and reaction parameters were built; it was found that the multiple linear regression model showed an advantage in predicting micropore structures and the built artificial neural network model was better at predicting the total pore and mesopore.

1. Introduction

Thermosetting phenolic resin plastic is widely used in everyday life including furniture, catering, transportation, and so on. However, thermosetting phenolic resin is also a typical solid plastic and cannot be directly recycled since it does not keep its original shape and properties after heating [1,2]. Therefore, it would generate a lot of waste and cause severe pollution if not appropriately treated [3,4]. Thermosetting phenolic resin plastic is mainly composed of phenolic resin and it can also belong to solid carbon-based fuel for treatment [5]. Among developed solid carbon-based fuel treatment methods, pyrolysis is regarded as one of the most advanced and economical technologies because it can produce valuable products [6,7]. However, phenolic resin pyrolysis is hindered by the large production of low-quality char, which yields over 40 wt% [8,9]. Therefore, developing appropriate technology to upgrade phenolic resin char is important.
Catalytic graphitization is a method used to transform low-quality char into high-quality graphitic carbon material which can help it to obtain high electrical and thermal conductivity [10,11]. However, traditional catalytic graphitization usually needs a temperature higher than 1600 °C to form graphite with a high graphitization degree and large crystal size [12,13]. Our previous work developed a Ni-Zn-B alloy catalyst and achieved a better graphitization effect than traditionally used Ni at a lower temperature (1200~1600 °C) [14]. The study emphatically focused on compositions of different kinds of graphite with their graphitization degrees and crystal sizes. However, as for graphitic phenolic resin char derived from low-temperature catalyst graphitization, there are many pores in the graphitized chars, which affect electrical and thermal conductivity in subsequent industrial applications [15,16]. Therefore, studying the pore structures of graphitized phenolic resin chars can benefit the adjustment of the properties. As for the pores, they typically show complexities, since there are different pore types such as micropores, mesopores, and macropores. Furthermore, the pore structures are commonly jointly described by specific surface area, pore volume, and average pore diameter [17,18]. So, if a model between pore structural parameters and reaction parameters can be built it would be extremely beneficial.
Herein, phenolic resin was pyrolyzed and the char was graphitized with Ni-Zn-B at different reaction conditions based on the orthogonal rule. The graphitized phenolic resin chars were performed with N2 adsorption and a desorption analyzer. The effects of graphitization conditions on pore structures were emphatically studied. The correlation models of the pore structures and reaction parameters were built by using multiple linear regression and artificial neural network methods, respectively.

2. Experimental and Analysis Methods

2.1. Phenolic Resin Pyrolysis and Char Graphitization Experiments

About 20 g phenolic resin (C7H6O2, 99.5%, Xiya Reagent Company, Linyi, Shandong, China) was put into a horizontal tube furnace. The sample was heated to 600 °C with a heating rate of 5 °C/min and was continuously heated at 600 °C for 1 h; it was then lowered down to the room temperature at 5 °C/min to acquire the pyrolytic char. The whole pyrolysis process was continuously fed with 500 mL/min N2 for protection, and the pyrolysis temperature was chosen based on the previous work [14]. The pyrolytic phenolic resin char (PRC) was ground into 40 mesh and stored.
A Ni-Zn-B alloy (Ni: 90–96 wt%, Zn: 1–4 wt%, B: 1–3 wt%; melt point: 1196 °C; Fanjue Welding Materials Company, Xingtai, Hebei, China) was chosen as the graphitization catalyst because it can help to achieve the low-temperature graphitization of PRC; the results are shown in the published work [14]. A total of 2 g PRC was mixed with a specific additive ratio of Ni-Zn-B (mass ratio of Ni-Zn-B and PRC) which was then ground fully to be homogeneous. The mixtures of PRC and Ni-Zn-B were then moved into a high-temperature horizontal tube furnace; these mixtures were heated to the designated temperature at 5 °C/min and held for a specific retention time to be graphitized with 500 mL/min N2 protection. When the furnace temperature was cooled to room temperature, the graphitized phenolic resin chars (GPRCs) were collected and stored for analysis. The graphitization products were named as GPRC-x-y-z; the detailed graphitization conditions are designed based on the orthogonal experiment and are shown in Table 1.

2.2. Pore Structures Analysis and Calculation

The GPRCs were performed in a N2 adsorption and desorption analyzer (JWGB, 100A) to analyze their pore structures. Before the experiments, the GPRCs were dried at 40 °C for 12 h to remove adsorbed water from air. Then, a quantitative amount of GPRC was taken. Every GPRC was, respectively, heated at 200 °C for 4 h to fully remove the absorbed gas using a thermal desorption module, and the absorbed gas was extracted by the pump. Subsequently, the experiments of the N2 adsorption and desorption on GPRC were conducted automatically by a program, and the sample was soaked in a liquid N2 during the analysis process.
After the orthogonal experiments, the collected data were adequately analyzed by the program. Isothermal adsorption and desorption curves and pore distribution curves were obtained. In terms of defining the pore structural parameters for specific surface area, pore volume, and average pore diameter, some keys were used, as shown below [17,18]: SBET: BET specific surface area, Smicro: specific surface area of micropore, Smeso: specific surface area of mesopore; Vtotal: total pore volume, Vmicro: pore volume of micropore, Vmeso: pore volume of mesopore; Dtotal: average total pore diameter, Dmeso: average pore diameter of mesopore. Micropore structural parameters were calculated by the t-plot method, and the structural parameters for the mesopore were calculated by the BJH method.

2.3. Correlation Models Building Methods

Predicting the GPRC properties based on the reaction conditions can benefit the guidance for practical industrial application. Therefore, in this work, the correlation models between the graphitization conditions and pore structural parameters were built. The input data were the graphitization conditions including graphitization temperature, retention time, and catalyst additive ratio. The output data were the pore structural parameters consisting of specific surface area, pore volume, and average pore diameter, which are shown in Section 2.2 in detail.
Two methods were employed in model building, and they were, respectively, multiple linear regression (MLR) and artificial neural network (ANN). Multiple linear regression models were performed by SPSS and a model between every pore structural parameter and graphitization condition was built, respectively, where the constant term was set as existence and the confidence probability was set as 95%. Artificial neural network models were conducted in MATLAB, and the model of pore structural parameters and graphitization conditions was jointly built. The hidden layer was set as 10, and the ratio of training, validation, and test was set as 70:15:15. The trained model was retrained and adopted only when relative coefficients of training, validation, and test, were all higher than 0.99. Ten trained models were collected and averaged to improve the generalization performance of ANN due to the limited data.
Two extra experimental results of GPRC-1600-60-5 and GPRC-1600-120-10 were used to validate the built models. During the process, relative error was defined to evaluate the reliability, and the equation is shown below.
Relative   error   ( % ) = ( Calculate   value ) ( Experimental   value ) Experimental   value × 100 %

3. Results and Discussion

3.1. Results About Pore Structures of GPRCs

A N2 adsorption and desorption analysis of GPRCs that were soaked in liquid N2 (77 K) was performed, and the isothermal adsorption and desorption curves were obtained. The pore distributions and specific pore structural parameters were calculated based on the adsorption and desorption curves. This section emphatically focused on three parts to conduct an analysis.

3.1.1. Isothermal Adsorption/Desorption and Pore Distribution Curves of GPRCs

The isothermal adsorption and desorption curves of GPRCs are shown in Figure 1. From the curves, the pores are differentiated as for the GPRCs that are graphitized at different conditions, suggesting that the pore structural characteristics are not different for GPRCs. As for the curves’ shapes, they typically belong to type IV, suggesting that there are rich hierarchical pores. During the adsorption process, the monolayer absorption was completed quickly, the multilayer adsorption was relatively slow, and the capillary condensation occurred. Furthermore, differentiated hysteresis loops of GPRCs are like type H4, which is typical in porous carbon materials that mainly consist of micropores and mesopores [19,20]. The hysteresis loops can also reflect the slit pores, and they are formed in a lamellar structure. Furthermore, the graphitized chars are typical graphitic carbons and there were therefore many graphite layers in them. Thus, it can be inferred that the graphite layers in the GPRCs lead to complex pores. Also, the huge increase in the low relative pressure of the curves tells us that there are rich micropores in GPRCs. From the isothermal adsorption and desorption curves, the corresponding pore distributions are calculated by using the BJH method; the curves are shown in Figure 2.
Figure 2 clearly shows the pore distribution curves of GPRCs, and the pore structural characteristics are directly presented. The pore distributions take on a similar tendency as for different GPRCs, showing a decreasing trend while the pore diameter increases. Considering the pore diameter, pore types are commonly defined as micropores (pore diameter < 2 nm), mesopores (pore diameter: 2~50 nm), and macropores (pore diameter > 50 nm), which is also consistent with ref. [18]. And from the curves, it can be found that there are almost no macropores in the GPRCs, and they are rich in micropores and mesopores. The results are also consistent with the analysis from Figure 1. Furthermore, the key pore structural parameters for specific surface area, pore volume, and average pore diameter in Section 2.2 were calculated and are listed in Table 2.

3.1.2. Pore Structural Parameters

Based on the calculations, the pore structural parameters of the GPRCs graphitized at the orthogonal experimental conditions are clearly shown in Table 2. Specific surface area, pore volume, the average pore diameter of the total pore, and the micropore/mesopore are included. The specific surface areas of the micropore and mesopore for different GPRCs are wholly equivalent, which suggests that the pore volume of the micropores is smaller since the micropores benefit from a larger specific surface area. The results about the pore volumes also verify this analysis.

3.2. Effects of Graphitization CONDITIONS on Pore Structures of GPRCs

Because the experiments are designed and conducted based on orthogonal rules, the values in Table 2 cannot be directly compared and analyzed and should therefore be averaged to further analyze the effects of graphitization conditions in terms of graphitization temperature, retention time, and catalyst additive ratio. This section will, respectively, carry out an analysis on the total pore, micropore, and mesopore in detail.

3.2.1. Analysis on Total Pore

Figure 3 shows the effects of graphitization conditions (graphitization temperature, retention time, and catalyst additive ratio) on total pore structural parameters (specific surface area, pore volume, and average pore diameter); the data were calculated based on orthogonal rules: (1) As the graphitization temperature improves, SBET decreases from 145.080 m2/g to 125.99 m2/g, Vtotal increases from 0.127 cm3/g to 0.148 cm3/g, and Dtotal rises from 3.506 nm to 4.860 nm, suggesting that a higher graphitization temperature makes the smaller pores become larger. This phenomenon may be led by the burning effect of a higher temperature [21,22]; (2) When retention time increases, SBET rises from 125.568 m2/g to 146.585 m2/g, Vtotal improves from 0.128 cm3/g to 0.150 cm3/g, and Dtotal keeps almost the same, showing that there are some new similar pores forming; (3) With the continuous addition of Ni-Zn-B, SBET and Vtotal both decrease (152.757 m2/g to 112.996 m2/g, 0.144 cm3/g to 0.128 cm3/g), while Dtotal increases from 3.744 nm to 4.689 nm, indicating that some of the smaller pores are blocked, which can be a result of the addition of Ni-Zn-B since some pore spaces are occupied [23].

3.2.2. Analysis on Micropore

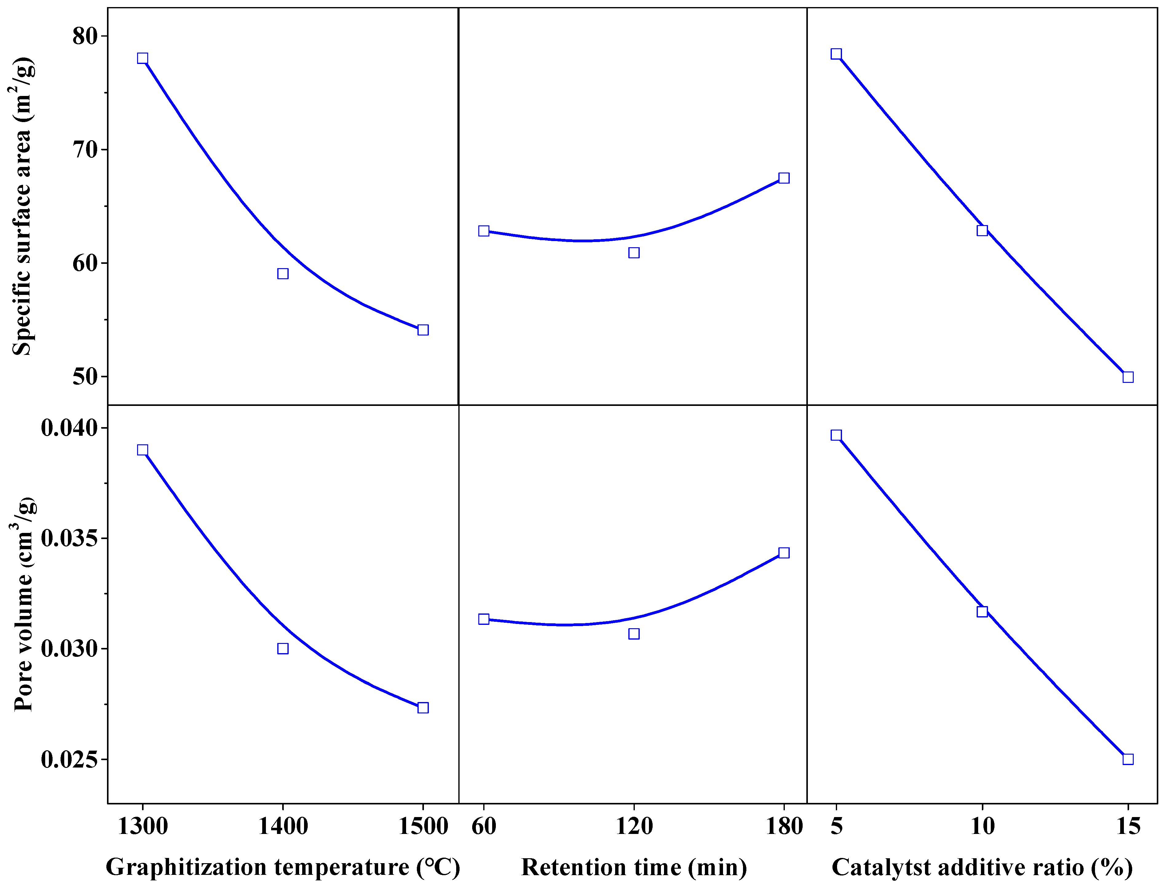
The effects of the graphitization conditions on the micropore structural parameters are shown in Figure 4; average pore diameter is not exhibited here due to the limitations of the t-plot method. Concerning the graphitization temperature, its improvement would decrease Smicro (from 78.025 m2/g to 54.101 m2/g) and Vmicro (from 0.039 cm3/g to 0.027 cm3/g), illustrating that a high temperature causes micropores to disappear. When the retention time increases from 60 min to 180 min, Smicro and Vmicro only rise a little, indicating that only a very small amount of micropores can form. However, when the additive ratio of Ni-Zn-B rose from 5% to 15%, Smicro and Vmicro hugely dropped (78.395 m2/g to 49.950 m2/g, 0.040 cm3/g to 0.025 cm3/g), suggesting that Ni-Zn-B addition significantly decreases micropore formations and indicating that micropores are able to be occupied by the Ni-Zn-B catalyst due to their similar sizes [24].

3.2.3. Analysis on Mesopore

As for the mesopore, the effects of graphitization temperature, retention time, and catalyst additive ratio on their structural parameters is shown in Figure 5. With the graphitization temperature increasing, Smeso slightly rises, and Vmeso and Dmeso obviously improve (0.093 cm3/g to 0.126 cm3/g, 5.043 nm to 6.530 nm), indicating that some larger pore formation occurs. The increase in retention time leads to improvements in Smeso (68.847 m2/g to 87.266 m2/g) and Vmeso (0.101 cm3/g to 0.122 cm3/g) and a slight decrease in Dmeso, indicating the production of some smaller pores. As Ni-Zn-B addition increases from 5% to 15%, a decrease of Smeso occurs and Vmeso almost stays unchanged, while Dmeso increases hugely from 5.280 nm to 6.273 nm; this whole phenomenon suggests that some pore skeletons are destroyed and the separated pores connect.
Incorporating the analysis of Section 3.2, the following can be combined and inferred: (1) an increase in graphitization temperature destroys micropores to form mesopores because some carbon skeletons are burned due to high temperature during the heat treatment process, thus connecting the micropores; (2) a longer retention time leads to the production of small quantities of micropores and mesopores; (3) with a greater addition of the Ni-Zn-B catalyst, some micropore spaces are occupied and the mesopore skeletons are destroyed to form large pores.

3.3. Correlation Models of Pore Structures and Reaction Parameters

As can be seen in the orthogonal experimental results, the pore structural parameters were obtained; the appropriate correlation models of pore structures and reaction parameters can assist in guiding the adjustment of pore structures of graphitized phenolic resin chars. Therefore, this section will focus on building correlation models based on the multiple linear regression and artificial neural network methods.

3.3.1. Multiple Linear Regression Model

By using the method introduced in Section 2.3, the multiple linear regression models were built; the equations are shown in Equations (1)~(8). From these, the correlation coefficients are also listed, and they are mainly higher than 0.7, suggesting the regression equations wholly take on good fitting effects and they can be used to reflect the correlation. In addition, the coefficients and constant terms of every reaction parameter between the equations are differentiated, indicating that the relations are different and the effects of the reaction parameters on pore structural parameters vary in their extents. Furthermore, the positive or negative effect depends on whether the coefficient is larger than 0 or not, and these results are also consistent with Figure 3, Figure 4 and Figure 5. Every key pore structural parameter can be directly calculated via the reaction parameters (graphitization temperature, retention time, and catalyst additive ratio) based on the equations. Another two samples (GPRC-1600-60-5 and GPRC-1600-120-10) were jointly used to test the prediction performance of the models, and the experimental results and errors are shown in Table 3.
{ (1) S BET = 288.834 0.097 T + 0.175 t 3.976 C R 2 = 0.79 (2) S micro = 254.993 0.120 T + 0.039 t 2.844 C R 2 = 0.91 (3) S meso = 37.951 + 0.025 T + 0.153 t 1.337 C R 2 = 0.60 (4) V total = 14.000 + 0.103 T   + 0.186 t 1.633 C 1000 R 2 = 0.74 (5) V micro = 125.444 0.058 T + 0.025 t 1.467 C 1000 R 2 = 0.89 (6) V meso = 136.444 + 0.163 T   + 0.175 t 0.333 C 1000 R 2 = 0.83 (7) D total = 6195.778 + 6.768 T 0.313 t + 94.500 C   1000 R 2 = 0.89 (8) D meso = 5418.778 + 7.433 T 2.103 t + 99.233 C 1000 R 2 = 0.84
From Table 3, the errors can reflect the prediction accuracy of the models, and the results can be divided into different pore types to conduct analysis. As for total pore, the errors are, on the whole, relatively large. Conversely, the errors are relatively small for micropore and large for mesopore. The results show that the multiple linear regression model can achieve a good prediction of micropore structural parameters.

3.3.2. Artificial Neural Network Model

The artificial neural network model used between the reaction parameters and pore structural parameters was built, and the corresponding diagram is exhibited in Figure 6, because the artificial neural network cannot directly show the specific equations. Reaction parameters were graphitization temperature, retention time, and catalyst additive ratio, which were used as the input layer; the pore structural parameters are shown in Section 2.2, and these were used as the output layer. The data were inputted and retrained repeatedly; the model was adopted when the relative coefficients of training, validation, and test were all higher than 0.99. Ten trained models were collected for averaging to acquire the model.
Also, GPRC-1600-60-5 and GPRC-1600-120-10 were employed to test the generalization performance of the ANN model, and the errors are shown in Table 4. Compared with the errors in Table 3, the ANN model can achieve a better prediction effect in total pore and the mesopore, while predicting the micropore is not so good.
Therefore, incorporating the results and analysis in Section 3.3, it is found that the multiple linear regression model has an advantage in predicting micropore structures and the artificial neural network model is beneficial for predicting the total pore and mesopore. The reasons for this were inferred from the ANN process and mechanism; the ANN model can achieve better fitting and prediction performance, which was because the ANN model was built based on repeated training in order to reduce fitting errors. Furthermore, the ANN model in this work was acquired based on ten average single ANN models to increase the prediction effect. Furthermore, the differences in data for total pore and mesopore were relatively large, which was beneficial for ANN training and prediction. As for micropore structural parameters, they were relatively close, which was not suitable for error elimination during ANN training, and the multiple linear regression method thus showed the better prediction performance.
This study mainly focused on the effects of the single important graphitization condition, the models between them, and pore structural parameters. However, the previous work [14] mainly focused on the catalytic graphitization effects, including the graphitization degree, carbon compositions, and the graphite sizes of reaction conditions. Therefore, they are totally different, with this work being a further study of previous work. Furthermore, the main advantage of Ni-Zn-B is the graphitization effect on phenolic resin char, and it can achieve relatively low-temperature graphitization and acquire a better lattice. However, the limitation of Ni-Zn-B is its separation from the graphitized chars. Also, the interactions between the graphitization conditions could influence pore structures, the study of which would be the next key work.

4. Conclusions

The phenolic resin char was graphitized with Ni-Zn-B at a low temperature based on orthogonal rules, and their pore structures were determined by a N2 adsorption and desorption method.
The graphitized phenolic resin chars are porous and mainly consist of micropores and mesopores. The effects of graphitization conditions on the pore structures of GPRCs were analyzed; this revealed that the increase in graphitization temperature would destroy micropores to form mesopores, while a longer retention time led to the production of small quantities of micropores and mesopores with some micropore spaces being occupied and mesopore skeletons destroyed to form large pores with a greater addition of Ni-Zn-B. The correlation models of the pore structural parameters and graphitization conditions were built and it was found that the multiple linear regression model had an advantage in predicting micropore structures, while the ANN model was beneficial for predicting the total pore and mesopore.
Therefore, this work has mainly analyzed the pore structural characteristics and built the correlation models. The findings in this work can further offer guidance on adjusting complex pores by changing the reaction conditions based on the experiments, mechanism analysis, and models.

Author Contributions

Conceptualization, H.W., H.Y., and Q.R.; data curation, Q.R. and R.H.; formal analysis, W.L.; funding acquisition, Q.R.; investigation, Q.R. and J.Z.; project administration, Q.R.; supervision, H.Y.; validation, C.Z.; visualization, R.H. and W.L.; writing—original draft, Q.R.; writing—review & editing, J.Z. and C.Z. All authors have read and agreed to the published version of the manuscript.

Funding

This research was financially supported by the China Postdoctoral Science Foundation (2023M741253).

Data Availability Statement

The data presented in this study are available on request from the corresponding author. The data are not publicly available due to the data forming part of an on-going study.

Acknowledgments

The authors would like to acknowledge the N2 adsorption–desorption analysis provided by zkec company (www.zkec.cc).

Conflicts of Interest

The authors declare no conflicts of interest.

References

  1. Hu, J.; Dong, H.; Song, S. Research on Recovery Mechanism and Process of Waste Thermosetting Phenolic Resins Based on Mechanochemical Method. Adv. Mater. Sci. Eng. 2020, 2020, 1384194. [Google Scholar] [CrossRef]
  2. Lu, Y.; Yu, X.; Han, L.; Zhang, K. Recent Progress of High Performance Thermosets Based on Norbornene Functional Benzoxazine Resins. Polymers 2021, 13, 1417. [Google Scholar] [CrossRef] [PubMed]
  3. Yu, Y.; Yang, Z.; Wang, F.; Liu, C.; Deng, L. A novel environment-friendly polyester binder to reduce the pollution of particulate matter produced by combustion of pyrotechnic. J. Clean. Prod. 2021, 278, 123733. [Google Scholar] [CrossRef]
  4. Filipa, A.M.M.G.; Marta, S.; Teresa, C.; Paula, F.; Patrícia, A. Advances in the development of biobased epoxy resins: Insight into more sustainable materials and future applications. Int. Mater. Rev. 2022, 67, 119–149. [Google Scholar]
  5. Yao, J.; Wang, J.; Zhang, Z.; Chen, F.; Liu, Y. Ferrocenecarboxaldehyde modified terephthalaldehyde-phenolic resin: A comprehensive study on the synthesis, curing behavior, and pyrolysis process. Polymer 2023, 278, 125993. [Google Scholar] [CrossRef]
  6. Zhang, M.; Qi, Y.; Zhang, W.; Wang, M.; Li, J.; Lu, Y. A review on waste tires pyrolysis for energy and material recovery from the optimization perspective. Renew. Sustain. Energy Rev. 2024, 199, 114531. [Google Scholar] [CrossRef]
  7. Chang, S.H. Plastic waste as pyrolysis feedstock for plastic oil production: A review. Sci. Total Environ. 2023, 877, 162719. [Google Scholar] [CrossRef]
  8. Xing, X.; Zhang, P.; Zhao, Y.; Ma, F.; Zhang, X.; Xue, F. Pyrolysis mechanism of phenylboronic acid modified phenolic resin. Polym. Degrad. Stab. 2021, 191, 109672. [Google Scholar] [CrossRef]
  9. Wang, S.; Wang, Y.; Bian, C.; Zhong, Y.; Jing, X. The thermal stability and pyrolysis mechanism of boron-containing phenolic resins: The effect of phenyl borates on the char formation. Appl. Surf. Sci. 2015, 331, 519–529. [Google Scholar] [CrossRef]
  10. Rico, J.R.; Pardo, A.G.; Fernandez, J.M.; Popov, V.V.; Orlova, T.S. Thermal conductivity of Fe graphitized wood derived carbon. Mater. Des. 2016, 99, 528–534. [Google Scholar] [CrossRef]
  11. Gong, Y.; Li, D.; Luo, C.; Fu, Q.; Pan, C. Highly porous graphitic biomass carbon as advanced electrode materials for supercapacitors. Green Chem. 2017, 19, 4132–4140. [Google Scholar] [CrossRef]
  12. Katsuya, I.; Yoshinobu, O. Formation and development of micropores in carbon prepared via catalytic carbonization of phenolic resin containing Fe or Ni compounds. Microporous Mesoporous Mater. 2011, 143, 60–65. [Google Scholar]
  13. Charon, E.; Rouzaud, J.N.; Aléon, J. Graphitization at low temperatures (600–1200 °C) in the presence of iron implications in planetology. Carbon 2014, 66, 178–190. [Google Scholar] [CrossRef]
  14. Ren, Q.; He, L.; Hu, S.; Li, H.; Li, S.; Deng, Z. Formation of highly graphitic char derived from phenolic resin carbonization by Ni-Zn-B alloy. Environ. Sci. Pollut. Res. 2020, 27, 22639–55647. [Google Scholar] [CrossRef]
  15. Andreas, M.K.; Bodo, Z.; Joachim, H.; Tobias, F.; Bastian, J.M.E. Thermal and Electrical Conductivity of Amorphous and Graphitized Carbide-Derived Carbon Monoliths. Chem. Eng. Technol. 2016, 39, 1121–1129. [Google Scholar]
  16. Kim, J.; Lee, J.; Choi, Y.; Jo, C. Synthesis of hierarchical linearly assembled graphitic carbon nanoparticles via catalytic graphitization in SBA-15. Carbon 2014, 75, 95–103. [Google Scholar] [CrossRef]
  17. Ren, Q.; Hu, S.; Li, Q.; Zhang, J.; Han, H.; Su, S.; Wang, Y. Treating waste tire to prepare high-yield sulfur-doped porous char via ZnCl2–KOH heat treatment method. J. Clean. Prod. 2022, 372, 133672. [Google Scholar] [CrossRef]
  18. Ren, Q.; Hu, S.; Hu, Q.; Li, Q.; He, L.; Lei, Z. Waste Tire Heat Treatment to Prepare Sulfur Self-Doped Char: Operando Insight into Activation Mechanisms Based on the Char Structures Evolution. Processes 2021, 9, 1622. [Google Scholar] [CrossRef]
  19. Xu, S.; Huang, J.; Wei, X.; Chen, Y.; Liu, M.; Wu, J. Preparation of amine functionalized micro-mesoporous silicon adsorbent from fly ash and its kinetic characteristics of CO2 adsorption/desorption process. Ceram. Int. 2024, 50, 25150–25160. [Google Scholar] [CrossRef]
  20. Ren, Q.; Zhang, J.; Hu, S.; Ma, S.; Huang, R.; Su, S. Novel photothermal pyrolysis on waste tire to generate high-yield limonene. Fuel 2022, 329, 125482. [Google Scholar] [CrossRef]
  21. Chang, C.; Chang, C.; Tsai, W. Effects of Burn-off and Activation Temperature on Preparation of Activated Carbon from Corn Cob Agrowaste by CO2 and Steam. J. Colloid Interface Sci. 2000, 232, 45–49. [Google Scholar] [CrossRef] [PubMed]
  22. Lua, A.C.; Yang, T. Effect of activation temperature on the textural and chemical properties of potassium hydroxide activated carbon prepared from pistachio-nut shell. J. Colloid Interface Sci. 2004, 274, 594–601. [Google Scholar] [CrossRef] [PubMed]
  23. Choi, J.H.; Lee, S.C.; Lee, K.R. A first-principles study on the bond characteristics in carbon containing Mo, Ag, or Al impurity atoms. Carbon 2008, 46, 185–188. [Google Scholar] [CrossRef]
  24. He, L.; Liao, G.; Hu, S.; Jiang, L.; Han, H.; Li, H. Effect of temperature on multiple competitive processes for co-production of carbon nanotubes and hydrogen during catalytic reforming of toluene. Fuel 2020, 264, 116749. [Google Scholar] [CrossRef]
Figure 1. The isothermal adsorption and desorption curves of the GPRCs.
Figure 1. The isothermal adsorption and desorption curves of the GPRCs.
Processes 13 00014 g001
Figure 2. The pore distribution curves of GPRCs.
Figure 2. The pore distribution curves of GPRCs.
Processes 13 00014 g002
Figure 3. The effects of graphitization conditions on total pore structural parameters.
Figure 3. The effects of graphitization conditions on total pore structural parameters.
Processes 13 00014 g003
Figure 4. The effects of graphitization conditions on micropore structural parameters.
Figure 4. The effects of graphitization conditions on micropore structural parameters.
Processes 13 00014 g004
Figure 5. The effects of graphitization conditions on mesopore structural parameters.
Figure 5. The effects of graphitization conditions on mesopore structural parameters.
Processes 13 00014 g005
Figure 6. The diagram for artificial neural network model.
Figure 6. The diagram for artificial neural network model.
Processes 13 00014 g006
Table 1. Graphitization conditions for GPRCs.
Table 1. Graphitization conditions for GPRCs.
GPRCGraphitization Temperature (°C)Retention Time (min)Catalyst Additive Ratio (%)
GPRC-1300-60-51300605
GPRC-1300-120-10130012010
GPRC-1300-180-15130018015
GPRC-1400-60-1514006015
GPRC-1400-120-514001205
GPRC-1400-180-10140018010
GPRC-1500-60-1015006010
GPRC-1500-120-15150012015
GPRC-1500-180-515001805
Table 2. Pore structural parameters of GPRCs.
Table 2. Pore structural parameters of GPRCs.
GPRCSpecific Surface Area (m2/g)Pore Volume (cm3/g)Average Pore Diameter (nm)
SBETSmicroSmesoVtotalVmicroVmesoDtotalDmeso
GPRC-1300-60-5143.59488.48161.7510.1180.0440.0793.2805.093
GPRC-1300-120-10152.91777.52584.0900.1350.0390.1023.5424.847
GPRC-1300-180-15138.72968.06875.6490.1280.0340.0983.6965.189
GPRC-1400-60-15112.44947.59672.2370.1280.0240.1094.5706.046
GPRC-1400-120-5146.34970.97383.5480.1350.0360.1053.7015.028
GPRC-1400-180-10132.69858.59982.9500.1430.0300.1194.3175.759
GPRC-1500-60-10120.66052.38772.5520.1370.0260.1144.5276.286
GPRC-1500-120-1587.81134.18560.4790.1270.0170.1155.8017.583
GPRC-1500-180-5168.32775.731103.1980.1790.0390.1484.2515.720
Table 3. Experimental value and calculated errors of pore parameters.
Table 3. Experimental value and calculated errors of pore parameters.
ParameterGPRC-1600-60-5GPRC-1600-120-10
ExperimentalErrorExperimentalError
SBET (m2/g)124.1440.09%98.46516.66%
Vtotal (cm3/g)0.13315.64%0.12822.49%
Dtotal (nm)4.27818.90%5.1846.88%
Smicro (m2/g)51.819−1.36%38.5471.78%
Vmicro (cm3/g)0.0263.11%0.01910.39%
Smeso (m2/g)78.3282.70%72.30814.71%
Vmeso (cm3/g)0.11218.92%0.11622.44%
Dmeso (nm)5.69820.11%6.39212.86%
Table 4. Experimental value and prediction errors of pore parameters.
Table 4. Experimental value and prediction errors of pore parameters.
ParameterGPRC-1600-60-5GPRC-1600-120-10
ExperimentalErrorExperimentalError
SBET (m2/g)124.144−3.57%98.46517.35%
Vtotal (cm3/g)0.1336.36%0.12813.27%
Dtotal (nm)4.27813.90%5.1848.33%
Smicro (m2/g)51.8192.03%38.54712.84%
Vmicro (cm3/g)0.026−37.50%0.01923.02%
Smeso (m2/g)78.328−4.50%72.3087.25%
Vmeso (cm3/g)0.112−5.22%0.1161.92%
Dmeso (nm)5.69818.73%6.39210.49%
Disclaimer/Publisher’s Note: The statements, opinions and data contained in all publications are solely those of the individual author(s) and contributor(s) and not of MDPI and/or the editor(s). MDPI and/or the editor(s) disclaim responsibility for any injury to people or property resulting from any ideas, methods, instructions or products referred to in the content.

Share and Cite

MDPI and ACS Style

Ren, Q.; Zhou, J.; Huang, R.; Li, W.; Zhou, C.; Wu, H.; Yang, H. Analysis and Joint Correlation Models on Pore Structures of Graphitized Phenolic Resin Char Under Ni-Zn-B Catalytic Effect. Processes 2025, 13, 14. https://doi.org/10.3390/pr13010014

AMA Style

Ren Q, Zhou J, Huang R, Li W, Zhou C, Wu H, Yang H. Analysis and Joint Correlation Models on Pore Structures of Graphitized Phenolic Resin Char Under Ni-Zn-B Catalytic Effect. Processes. 2025; 13(1):14. https://doi.org/10.3390/pr13010014

Chicago/Turabian Style

Ren, Qiangqiang, Jing Zhou, Renhua Huang, Wulin Li, Changsong Zhou, Hao Wu, and Hongmin Yang. 2025. "Analysis and Joint Correlation Models on Pore Structures of Graphitized Phenolic Resin Char Under Ni-Zn-B Catalytic Effect" Processes 13, no. 1: 14. https://doi.org/10.3390/pr13010014

APA Style

Ren, Q., Zhou, J., Huang, R., Li, W., Zhou, C., Wu, H., & Yang, H. (2025). Analysis and Joint Correlation Models on Pore Structures of Graphitized Phenolic Resin Char Under Ni-Zn-B Catalytic Effect. Processes, 13(1), 14. https://doi.org/10.3390/pr13010014

Note that from the first issue of 2016, this journal uses article numbers instead of page numbers. See further details here.

Article Metrics

Back to TopTop