Next Article in Journal
Optimal Reactive Power Dispatch and Demand Response in Electricity Market Using Multi-Objective Grasshopper Optimization Algorithm
Next Article in Special Issue
Analysis and Joint Correlation Models on Pore Structures of Graphitized Phenolic Resin Char Under Ni-Zn-B Catalytic Effect
Previous Article in Journal
Research on the Phase Behavior of Multi-Component Thermal-Fluid-Heavy Oil Systems
 
 
Font Type:
Arial Georgia Verdana
Font Size:
Aa Aa Aa
Line Spacing:
Column Width:
Background:
Article

Modification of Sulfur Cake—Waste from Sulfuric Acid Production

by
Yerdos Ongarbayev
1,2,*,
Yerbol Tileuberdi
1,3,
Aigul Baimagambetova
1,3,
Yerzhan Imanbayev
1,2,
Yernar Kanzharkan
1,3,
Ainur Zhambolova
1,
Aliya Kenzhegaliyeva
1,4 and
Aksaule Kydyrali
1,2
1
Institute of Combustion Problems, 172, Bogenbai Batyr Str., Almaty 050012, Kazakhstan
2
Faculty of Chemistry and Chemical Technology, Al-Farabi Kazakh National University, 71, Al-Farabi Ave., Almaty 050040, Kazakhstan
3
Faculty of Natural Science and Geography, Abai Kazakh National Pedagogical University, 13, Dostyk Ave., Almaty 050010, Kazakhstan
4
Faculty of Natural Science and Geography, M. Utemisov West Kazakhstan University, 162, Dostyk Ave., Uralsk 090000, Kazakhstan
*
Author to whom correspondence should be addressed.
Processes 2024, 12(9), 2048; https://doi.org/10.3390/pr12092048
Submission received: 10 September 2024 / Revised: 19 September 2024 / Accepted: 20 September 2024 / Published: 22 September 2024
(This article belongs to the Special Issue Development and Utilization of Biomass, Coal and Organic Solid Wastes)

Abstract

In the production of sulfuric acid, sulfur cake—a waste product of the sulfur purification process—is formed in large quantities, which requires its disposal and use. For its use in composite materials, modification is necessary to convert sulfur into a polymer form. The aim of the study was to develop a method for modifying sulfur cake—a waste product of sulfuric acid production—for its disposal. Available reagents—styrene, glycerol, and oleic acid—were tested as modifiers in the work. The sample compositions consisted of 100% sulfur cake (no. 1) and its mixtures: 97% sulfur cake + 3% styrene (no. 2), 97% sulfur cake + 3% glycerol (no. 3), 97% sulfur cake + 3% oleic acid (no. 4), 95% sulfur cake + 3% styrene, 1% glycerol, and 1% oleic acid (no. 5). Modification of sulfur cake was carried out at a temperature of 140 °C for 30 min. The composition, crystal structure, and thermal properties of the samples of the original and modified sulfur cake were studied using X-ray phase and X-ray structural analyses, IR spectroscopy, differential scanning calorimetry, differential thermal and thermogravimetric analysis. The optimal modifier for sulfur cake was a mixture of styrene, glycerol, and oleic acid, which led to the formation of acetal (polyoxymethylene) and an improvement in the structure due to a decrease in the content of impurities. Modification of sulfur cake with styrene resulted in the appearance of a CAr–S bond band at 571 cm−1, and modification with oleic acid a C–S band in the region of 694 cm−1 in the IR spectra. The results of differential scanning calorimetric analysis showed an increase in the heat of fusion of sulfur by 12.45 J/g in the samples of sulfur cake modified with glycerol and styrene. Modification of sulfur cake with oleic acid and a mixture of reagents resulted in the appearance of a third peak with maxima at 244.2 and 264.0 °C, which demonstrated a significant effect of the indicated additives on the thermal behavior of the sulfur cake. Proposed schemes for modifying sulfur cake with styrene and oleic acid are presented.

1. Introduction

In the production of sulfuric acid, sulfur is pre-cleaned from ash and other impurities that deactivate the catalyst. Molten sulfur vapor is passed through a filter material—a mixture of perlite, carbonate, and calcium hydroxide, which turns into sulfur cake with a sulfur content of 35–40 wt%.
Sulfur cake belongs to class IV, the sulfur in it to a class III hazard and is characterized by the ability to spontaneous combust and is prohibited from burial in industrial waste landfills, which leads to its accumulation [1]. Its accumulation and storage are harmful to the environment and human life.
For the disposal of sulfur cake, a method for treatment with hot water was proposed and a composite composition was developed for the treatment of farm animals [2]. The insoluble part of the waste is recommended as a fertilizer-ameliorant. However, when boiling sulfur cake, hydrogen sulfide is released as a result of the hydrolysis of polysulfides. With increasing temperature, the solubility of sulfur in alkali increases and the proportion of polysulfides decreases, which leads to a decrease in their stability.
In recent years, sulfur-based compositions have been used as a binder in building materials. This is due to their rapid hardening, strength, resistance to aggressive environments, and hydrophobicity [3]. The sulfur content in concrete makes it stronger and increases the frost and abrasion resistance of products by 1.5 times.
Pure sulfur is not used in the production of building materials due to its brittleness, so it is chemically modified by introducing various additives in order to give it strength, oxidation resistance, adhesive and enveloping characteristics, a stable structure, elasticity, and biostability. Dicyclopentadiene, styrene, turpentine, and furfural, which inhibit the crystallization of sulfur, have been proposed as modifiers [4]. All of them are high-boiling liquids or light-solid substances that impart plasticity to the binder. They undergo copolymerization with sulfur at 140 °C, forming linear or cross-linked structures.
In the patent [5], sulfur concrete with increased compressive and flexural strength and improved corrosion properties was produced by mixing sulfur, dicyclopentadiene, and filler at 120–160 °C. Despite the improvement in the characteristics of the sulfur concrete, dicyclopentadiene is an expensive and inaccessible reagent, which reduces the economic efficiency of this method.
Bismaleimides were proposed as sulfur modifiers, and it was found that UV irradiation and azobisisobutyronitrile accelerate their interaction with sulfur [6]. The use of physical action (UV radiation) and a high-temperature initiator complicates the process of sulfur modification.
A method for stabilizing sulfur by introducing carbon black was also proposed [7]. It was found that when sulfur interacts with zinc chloride, a system of strong, thermodynamically stable compounds for road materials was formed [8]. Modification of sulfur with these reagents implies additional drying of sulfur after grinding, since the melt contains a considerable amount of crystallized solution.
Sulfur cake in the amount of 1% was proposed for obtaining sulfur concrete of the following composition: cement—22%; sand—20%; crushed stone—57%, which corresponded to the standards for concrete paving slabs, while sulfur cake increased the strength and adhesion of the concrete mixtures by 2–3 times [9]. Increasing the content of sulfur cake to 25% in a mixture of sulfur (50%) and sand (25%) led to an increase in compressive strength (51.3 MPa), water absorption (0.28), and chemical resistance (weight loss 0.23–0.25%) of sulfur concrete compared to cement concrete [10]. The disadvantage of these methods is the low percentage of sulfur polymerization without preliminary modification.
A method for recycling sulfur cake to produce sulfur concrete [11] involves mixing the cake melt for 1 h at 160–180 °C with a mixture of dicyclopentadiene and caprolactam production waste in a 2:1 ratio, and modifying the sulfur for 5 min at 120–140 °C. Then, crushed stone screenings heated to 120–140 °C are added, mixing for 60 min at 140–160 °C, and after this the sulfur concrete is poured into molds. The disadvantage of this method is high energy consumption due to the length of the mixing process and the use of an expensive modifier.
Sulfur has been used in road surfaces since 1980, but is limited due to environmental issues and high reactivity. The problem is solved by chemically modifying sulfur before adding it to bitumen. Addition of sulfur to bitumen resulted in its polymerization, formation of a fine grain structure, crystallization control, uniform distribution of sulfur in bitumen, increased resistance to crack formation, better thermal stability, and changes in sulfur mineralogy [12].
Sulfur was converted into a stable form using petroleum fraction and bitumen [13]. The recommended sulfur to bitumen ratio is 40/60, increasing the sulfur content leads to an increase in the rigidity of the mixture, which is more prone to cracking under heavy loads.
Polysulfides were synthesized from sulfur and unsaturated organic compounds (dicyclopentadiene, styrene, and limonene) [14]. The resulting bitumen binders are less sensitive to elevated temperatures and more resistant to residual deformations and aging processes at low temperatures. Modification of bitumen with sulfur increases the penetration, stiffness, viscosity of the binder, and softening point, while helping to reduce the compaction temperature and mixing requirements [15]. Sulfur-modified asphalt had the same resistance to moisture, rutting, and cracking as polymer-modified asphalt. Sulfur-containing bitumens were obtained by mixing bitumen with 1–20 wt% sulfur at 135–140 °C with a stirring speed of 500 rpm for 30 min [16]. A model of sulfur distribution by states has been developed [17]; with an increase in the sulfur content, the reduced content of physically free sulfur increases, which forms an additional dispersed phase, increasing the viscosity and the properties of the sulfur-bitumen binder.
The disadvantage of the technologies is the possibility of releasing harmful substances (H2S, SO2) and the presence of sulfur vapors during the production and the use of the materials, which makes the process fire and explosion hazardous. In the case of using elemental sulfur, the material loses its properties (strength, hydrophobicity) over time. Thanks to the chemical modification of sulfur, these disadvantages can be eliminated.
The available literature [18,19,20] on the production of sulfur compositions with a modifier is largely scattered, does not disclose the modification process, its patterns, the influence of conditions and type of modifier on the composition and structure of the compositions, as well as the methods for analyzing their quality characteristics. The information is reduced to a description of the conditions of the process mode over a wide range and the physical and mechanical properties of the final composite materials. There is no single criterion for assessing the quality of compositions to compare their various types with each other.
Thus, there is information in the literature on methods for preparing sulfur concrete and sulfur bitumen using elemental sulfur and sulfur cake after modification. However, the proposed modifiers such as dicyclopentadiene and others are expensive and scarce, their mechanism of action has not been established, and the specific conditions for converting sulfur into a polymer form have not been determined. At the Stepnogorsk Sulfuric Acid Plant LLP (Stepnogorsk, Kazakhstan), there is a sulfuric acid production facility where production waste is formed—sulfur cake with a volume of about 130–200 tons per year, the storage of which negatively affects the environment. In this regard, the issue of recycling sulfur cake in order to obtain the target product is acute. The purpose of the study was to develop a method for modifying sulfur cake—a waste product of sulfuric acid production—for its recycling. The novelty of the study lies in the study of the chemical composition and thermal properties of the sulfur cake of the Stepnogorsk Sulfuric Acid Plant LLC when modified with available reagents such as styrene, glycerol, and oleic acid. The use of sulfur cake without modification is impossible, since the waste is toxic and fire hazardous. When modified with the available modifiers, chemical interaction with sulfur occurs, and the sulfur maintains a stable state for a long time and does not emit toxic gases. Known world technologies for the production of sulfur concrete and sulfur bitumen are based on the modification of ready-made elemental sulfur. In this work, sulfur cake was considered as a raw material, which has not been previously studied or used.

2. Materials and Methods

The object of the study was sulfur cake obtained from Stepnogorsk Sulfuric Acid Plant LLC (Stepnogorsk, Kazakhstan). Sulfur cake was formed by passing molten sulfur S through a mixture of perlite (Al2O3·CaO·Fe2O3·K2O·MgO·Na2O·SiO2), calcium carbonate (CaCO3), and calcium hydroxide (Ca(OH)2).
The process of modification of sulfur cake was carried out as follows: sulfur cake was heated to a temperature of 140 ± 5 °C, then a modifier with a content of 1 or 3 wt% introduced and the mixture stirred for 30 min. Styrene, glycerol, and oleic acid were used as modifiers. Table 1 shows the compositions of the samples with an indication of the content of sulfur cake and modifiers.
The composition and structure of the initial sulfur cake and its modification products were analyzed using X-ray phase analysis, X-ray structural analysis, IR spectroscopy, differential scanning calorimetry, differential thermal analysis, and thermogravimetry.
X-ray phase analysis is based on obtaining data on the chemical composition of a sample based on powder X-ray diffraction. The main task of X-ray phase analysis is to identify various phases in a mixture based on the analysis of the diffraction pattern given by the sample under study. The substance in the mixture is determined by the set of its interplanar distances and the relative intensities of the corresponding lines on the X-ray diffraction pattern. X-ray phase analysis of the samples was performed on a DW-XRD-27mini X-ray diffractometer (Chongqing Drawell Instrument Co., Ltd., Chongqing, China) using CuKα radiation, U = 35 kV, I = 13 mA, θ–2θ scanning in the 2θ angle range from 5 to 50°.
X-ray structural analysis is a method of studying the structure of a substance by the spatial distribution and intensity of X-ray radiation scattered on the analyzed object. The method is used to establish the atomic structure of crystalline bodies. This is due to the fact that crystals have a strictly periodic structure and represent a diffraction grating for X-rays created by nature itself. X-ray structural analysis of the samples was performed on a PANalytical X’Pert Pro X-ray diffractometer (PANAlytical BV, Almelo, Netherlands). The default configuration of this instrument is Bragg–Brentano geometry with an X’Celerator high-speed high-resolution detector using Open Eularian Cradle sample stand.
IR spectroscopy is based on the phenomenon of absorption of infrared radiation by chemical substances with simultaneous excitation of molecular vibrations. The wavelengths (or frequencies) at which maximum absorption of IR radiation is observed may indicate the presence of certain functional groups and other fragments in the sample molecules, which is widely used in various fields of chemistry to establish the structure of compounds. IR spectroscopy analysis was performed with an Alpha II FTIR spectrometer (Bruker Elemental GmbH, Kalkar, Germany) in the range of 450–4500 cm−1 with spectral resolution of 2 cm−1.
Differential scanning calorimetry is a technique in which the difference in the amount of heat required to raise the temperature of a sample and a reference is measured as a function of temperature. The technique is useful for detecting phase transitions such as melting, crystallization, or chemical reactions. Differential scanning calorimetric analysis of samples was performed on an SKZ1052 calorimeter (SKZ Industrial Co., Ltd., Jinan, China) in air with a temperature increase rate of 5 °C/min and sample weight 20 mg.
Differential thermal analysis (DTA) is a method that involves heating or cooling a sample at a certain rate and recording the time dependence of the temperature difference between the sample and a standard that does not undergo any changes in the temperature range under consideration. Thermogravimetry (TG) is a method that records the change in sample mass depending on temperature. In synchronous DTA/TG analysis, the change in heat flow and sample mass are measured simultaneously as a function of temperature or time, which allows one to separate endothermic and exothermic processes that are not accompanied by a change in mass from those that do. Thermal properties of the samples were studied by synchronous differential thermal analysis and thermogravimetry (DTA/TG) on a NETZSCH STA 449 F3 (NETZSCH-Gerätebau GmbH, Selb, Germany) setup. The analysis was performed in a nitrogen atmosphere with a gas feed rate of 50 mL/min. Aluminum oxide crucibles were used. The samples were heated at a rate of 10 °C/min to 1000 °C.

3. Results

The results of the X-ray phase analysis presented in Figure 1 showed that the sulfur cake consisted of a crystalline phase represented by orthorhombic sulfur S8. The sample also contained traces of calcium sulfate (CaSO4) and calcium carbonate (CaCO3).
The diffraction patterns of the modified cake samples have the same appearance as the diffraction pattern of the original sulfur cake, they contain mainly the crystalline sulfur phase and traces of calcium sulfate (CaSO4) and calcium carbonate (CaCO3). The diffraction pattern of only one sample (Figure 1d)—cake modified with 3 wt% oleic acid—is represented by the orthorhombic sulfur phase; traces of calcium compounds are absent.
Figure 2 shows the X-ray diffraction patterns of the initial and modified sulfur cake samples. The method allows identification of the structure of crystalline compounds in the samples. Table 2 shows the compounds determined in the samples as a result of this analysis. As can be seen from Table 2, the initial cake is represented only by crystalline sulfur. After modification of the sulfur cake with various reagents, other crystalline compounds were found in the samples. Crystals of silicon dioxide, magnesium oxide and sulfide were found in the cake sample (Figure 2b) modified with 3 wt% styrene. The X-ray diffraction pattern of the cake sample (Figure 2c) modified with 3 wt% glycerol showed the presence of sulfur and chlorine (IV) oxide in its composition, which indicates incomplete interaction of sulfur with glycerol. The structure of sulfur in this sample differs from the structure of sulfur in the initial cake. In the sulfur cake, sulfur is represented as S8 with an orthorhombic structure and a molecular weight of 256 g/mol. In the modified cake, the sulfur structure changed from S8 to S with an orthorhombic structure and a molecular weight of 32 g/mol.
The crystal structure of the cake sample (Figure 2d) modified with 3 wt% oleic acid is represented only by sodium silicon. In the structure of the sulfur cake modified with 3 wt% styrene, 1 wt% glycerol, and 1 wt% oleic acid (Figure 2e), the crystal structures of acetal (CH2O)n, copper (I) chlorides, and µ-dichlorodiphenanthroline copper were found. The formation of acetal (polyoxymethylene) confirms the reaction of formation and polymerization of formaldehyde during heating of the organic modifiers.
The IR spectra of the original sulfur cake and the one modified with different reagents are shown in Figure 3. In all spectra, except for the spectrum of the sulfur cake modified with oleic acid, the presence of sulfur-containing groups S=O and S–C is confirmed by broad intense bands of sulfur-containing compounds in the regions of 1040–1060 cm−1 and 1100–1200 cm−1. Intense bands containing bonds of the sulfur-containing compound appear in the regions of 1015 cm−1 and 1060 cm−1. An absorption band is observed in the region of 1400–1450 cm−1, which is characteristic of polysulfides and organic derivatives of sulfur and has different intensities depending on the type and amount of the modifier, which emphasizes some continuity of their chemical structure.
The reaction of modifiers with sulfur in the sulfur cake can be indirectly judged by the change in absorption intensity in the region characteristic of C=C and deformation vibrations of =C-H bonds, in the region of 3000–3100 cm−1, which allows a qualitative assessment of the transformation of double bonds of the modifier. The absence of pronounced absorption in the region of 3010–3040 cm−1 in the spectrum of modified sulfur cake samples confirms the opening of double bonds in the process of obtaining the compositions.
Small absorption bands in the region of 2922–2948 and 2846–2878 cm−1 are characteristic of alkyl R-CH2-SH and R-CH2-(S-C) bonds, which indicates an insignificant presence of trace amounts of saturated hydrocarbons in the cake, which inevitably remain during its purification.
The intensity of the absorption bands in the region of 450–500 cm−1 also varies greatly for different samples. This absorption is characteristic of deformation vibrations of the S–S group of organic polysulfides. An increase in the absorption intensity in this region may indicate an increase in the amount of polysulfides in the sample and characterize the completeness of the reaction. A change in the intensity of the absorption band at 584 cm−1 in the spectra corresponds to the formation of a disulfide bond S–S between adjacent thiol groups.
The results of differential scanning calorimetric (DSC) analysis of the sulfur cake samples before and after modification are shown in Figure 4. The DSC curves for the original sulfur cake (curve 1 in Figure 4) show two endothermic effects: the first of which corresponds to the structural transition of sulfur from the crystal lattice of orthorhombic symmetry Sα to monoclinic Sβ (temperature range from 104 to 118 °C); the second to the melting of sulfur (temperature range from 119 to 133 °C). From a comparison of the DSC data for the original and modified sulfur cake it follows that the thermal effect corresponding to melting remains virtually unchanged, the onset of the melting temperature of sulfur is in the range from 116.5 to 118.7 °C, and the end of the melting temperature of sulfur is in the range from 122.3 to 125.2 °C. In contrast to the original sulfur cake, the modified samples show an increase in the heat of fusion. For example, for sulfur cake, the enthalpy of fusion is 35.22 J/g, while for cake samples modified with glycerol and styrene, the enthalpy increases to 47.67 J/g. This is due to the fact that modification led to the formation of a structure with fewer defects and impurities, and, accordingly, more energy is required to carry out melting. In the modified samples, the minimum on the curve shifts from 119.8 to 122.2 °C.
The thermal properties of the original and modified sulfur cake were studied by differential thermal analysis and thermogravimetry. As can be seen from Figure 5, two peaks of different intensity mainly appear on the DTA thermograms (blue lines). The first endothermic peak is observed in the temperature range of 100–125 °C, which corresponds to melting of the sample. As can be seen from Table 3, the temperature values of the first maximum in all samples are close and are in the range from 115.7 to 124.9 °C. The second intense peak is observed at the beginning of the thermolysis process, which corresponds to phase transitions and rearrangements in the sample structure. The thermolysis process for all samples, except for sulfur cake modified with styrene, begins in the range from 372.8 to 393.1 °C. In the case of modification with styrene, the thermolysis onset temperature is increased to 419.3 °C. Unlike other samples, when sulfur cake is modified with oleic acid and a mixture of reagents, a third peak of medium intensity with maxima of 244.2 and 264.0 °C, respectively, appears among the two main intense peaks. The appearance of this peak shows a significant effect of the indicated additives on the thermal behavior of the modified sulfur cake.
According to the thermogravimetric curves (green lines), the masses of all samples do not change up to 140 °C. Above 140 °C, the samples begin to decompose in two stages—before and after the thermolysis process with different mass losses. The mass loss before the thermolysis process in all samples, except for the one modified with styrene, is close and equal to 74.05–78.58%. In the original sulfur cake sample, no mass loss is observed during thermolysis, and the total mass loss is also 78.56%. The cake modified with styrene showed a mass loss of 98.55% before the thermolysis process, which is explained by the almost complete decomposition of the obtained composite. Among other samples, the greatest mass loss during thermolysis was shown by sulfur cake modified with oleic acid.

4. Discussion

In the work, available reagents such as styrene, glycerol, and oleic acid were tested for modifying sulfur cake. The choice of these modifiers was due to the fact that styrene and oleic acid contain double bonds for attachment to sulfur, while styrene also has the ability to polymerize. Glycerol contains hydroxyl groups that can react with sulfur and initiate the formation of active sulfur centers.
X-ray phase analysis of the original and modified sulfur cake showed the presence of rhombic sulfur and traces of sulfate and calcium carbonate in its composition. The presence of traces of sulfate and calcium carbonate is explained by their incomplete consumption as a filter material during sulfur purification. X-ray phase analysis did not show the presence of any other compounds, therefore, the compositions of the samples were studied by X-ray structural analysis.
The presence of crystals of silicon dioxide, as well as magnesium, sodium, and copper compounds as a result of modification confirms their presence in the composition of the original sulfur cake.
In [1,8,20] the composition of sulfur cake was presented by rhombic sulfur, thaumasite, iron sulfate, quartz, and calcium sulfate. The composition of the studied sulfur cake was close in composition to these data, which confirms the identity of the process of purification of sulfur from undesirable impurities in the production of sulfuric acid. For the first time in the composition of modified sulfur cake, acetal, as well as magnesium, sodium, and copper compounds were found.
The presence of intense absorption in the characteristic regions of the IR spectra of the studied compositions suggests the presence of various organosulfur compounds, including polysulfides. Modification of sulfur cake with styrene led to the appearance of a band at 571 cm−1, characteristic of stretching vibrations of the CAr–S bond. Modification of sulfur cake with oleic acid led to the appearance of a narrow intense band in the region of 694 cm−1, confirming the presence of a C–S bond.
The IR spectrum of sulfur modified with 2% croton aldehyde also showed absorption bands confirming the presence of –CH–S, S=O, S–H groups [21]. In the IR spectrum of sulfur modified with gossypol resin and pyrolysis distillate, the peak of the C–S bond at 1650 cm−1, associated with unsaturated bonds of the pyrolysis distillate, decreased, and a new bond was formed at 694 cm−1, which is consistent with the C–S bond [22].
The DSC curves for sulfur show three endothermic effects: the first of which corresponds to the transition of sulfur from orthorhombic to monoclinic, the second to its melting, and the third, lying in the range of 170–206 °C, corresponds to the polymerization process of sulfur [23]. The first two endothermic effects are also observed on the DSC curves of the original and modified sulfur cake; the absence of the third peak, unlike sulfur, is explained by the insufficient progress of the polymerization process. Comparing the thermal effects for the samples of the original and modified sulfur cake, we can conclude that modification leads to an increase in the energy required to melt the crystal lattice, due to the more perfect structure and a decrease in the impurity content.
TGA measures the weight loss of a material as a result of chemical reactions that release gases and cause structural decomposition. In the temperature range of 303–572 °C, the mass loss is associated with various processes: oxidation of sulfur, decomposition of polymeric sulfur with the participation of oxides and peroxides, and the release of volatile substances [24]. The mass loss on the TGA curve with increasing temperature is due to the continued destruction of high-molecular sulfur compounds. When heated to 140 °C, solvents and other volatile compounds evaporate in the form of hydrogen sulfide, and an endothermic effect is observed, characteristic of this process. The mass loss of sulfur cake up to 78.6% at a temperature of 460 °C is associated with the ignition of bound sulfur in the perlite. The addition of styrene to sulfur cake led to significant changes in thermal stability; large mass losses of up to 99% are observed, which is associated with the conversion of unbound sulfur into sulfur oxides.
When the temperature changes, the transformation of sulfur modifications proceeds according to the following scheme in Figure 6 [7,25]:
Where Sα is orthorhombic sulfur, Sβ is monoclinic sulfur, Sγ is amorphous sulfur, Sμ is polymeric sulfur, and Sδ is sulfur vapor. At a temperature of 119 °C, cyclo-octasulfide partially transforms into polymeric zigzag chains (bond length 0.204 nm) [26]. At a heating temperature of less than 140 °C, elemental sulfur forms polysulfide compounds, which initiate chemical reactions with the formation of various sulfide compounds. Such structures differ significantly in chemical and thermal stability from unmodified sulfur.
The mechanism of the sulfur polymerization process is that sulfur atoms are attached to the double bonds of the modifiers and form cross-linking disulfide bridges between them.
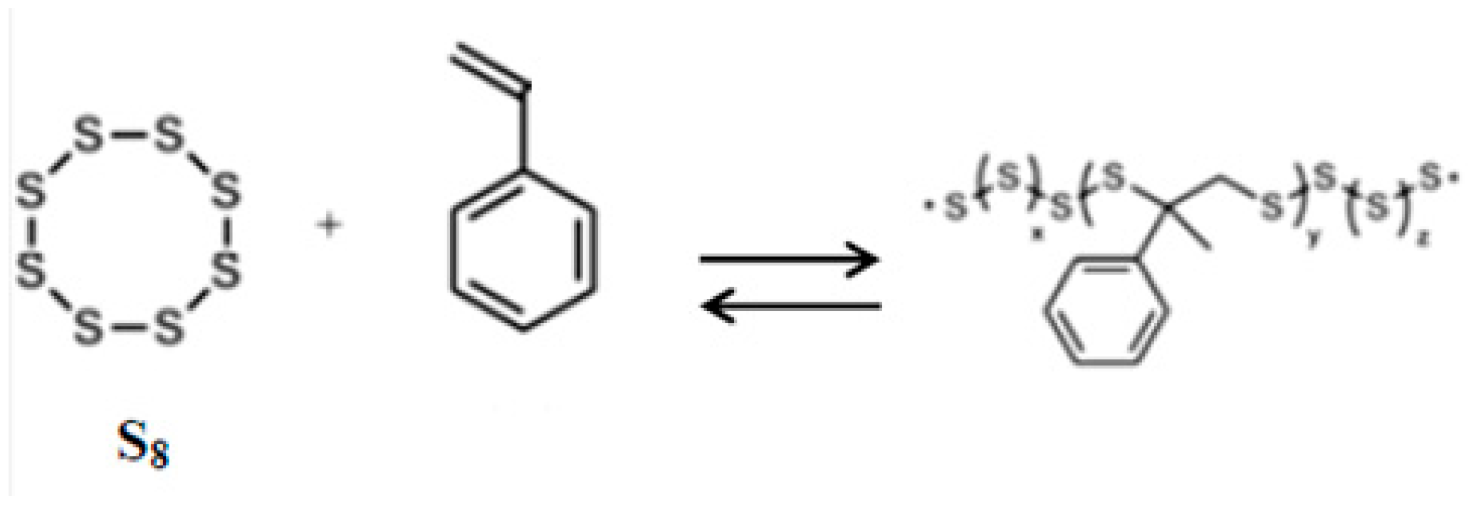
Based on the X-ray analysis in [27], a conclusion was made about the positive effect of polystyrene, due to the formation of a solid solution of sulfur and polymer macromolecules. The interaction of sulfur with styrene proceeds according to the following proposed scheme (Figure 7), where as a result of the process, according to [28], a linear oligosulfide with a substituent in the side chain is formed:
Oleic acid, as a monobasic carboxylic acid of unsaturated series with a double bond, has the ability to form a homogeneous system with sulfur. The reaction of sulfur with oleic acid was carried out with the aim of using the product in the production of sulfur–asphalt concrete mixtures [29]. The interaction of sulfur with oleic acid proceeds according to the following proposed scheme (Figure 8), where it reacts with the double bond of oleic acid to form polysulfides [6]:
The activating effect of the reagents consists of lowering the bond energy in the sulfur cycle, weakening and breaking the bonds between sulfur atoms, resulting in the formation of reactive radicals capable of quickly entering into chemical interaction with other components.
Thus, as a result of the conducted studies, a favorable effect of a composite modifier—a mixture of styrene, glycerol, and oleic acid was established in comparison with the individual modifiers, which was confirmed by the results of X-ray structural analysis, IR spectroscopy, differential scanning calorimetry, differential thermal and thermogravimetric analyses.
Since mineral components such as calcium and sulfates in sulfur cake are contained in a content close to the technological one, and organic compounds are insignificant, it is possible to use the cake in the future for the production of composite materials for construction purposes.

5. Conclusions

Sulfur cake, a waste product of sulfuric acid production, was modified at 140 ± 5 °C for 30 min for the purpose of its utilization and further use in composite materials. Styrene, glycerol, and oleic acid in an amount of 3 wt% individually and in mixtures were used as modifiers. The results of X-ray phase analysis showed the presence of elemental sulfur and traces of calcium sulfate and carbonate in the samples of the original and modified sulfur cake. The X-ray structural analysis method established the positive effect of a mixture of styrene, glycerol, and oleic acid; the modification of which led to the detection of acetal, as well as magnesium, sodium, and copper compounds in the sulfur cake. The IR spectroscopy method established the presence of various organosulfur compounds, including polysulfides, in the samples of the modified sulfur cake. Modification of sulfur cake with styrene resulted in the appearance of a CAr–S bond band at 571 cm−1, and modification with oleic acid a C–S band in the region of 694 cm−1. The change in the intensity of the absorption band at 584 cm−1 in the spectra corresponds to the formation of a disulfide bond S–S between neighboring thiol groups. The results of differential scanning calorimetric analysis determined an increase in the heat of fusion of sulfur by 12.45 J/g in the samples of sulfur cake modified with glycerol and styrene due to their more perfect structure caused by a decrease in the impurity content. The process of thermolysis of the samples begins at 372.8–393.1 °C and in the case of modification with styrene at 419.3 °C. Modification of sulfur cake with oleic acid and a mixture of reagents resulted in the appearance of a third peak with maxima at 244.2 and 264.0 °C, which demonstrates a significant effect of the indicated additives on the thermal behavior of sulfur cake. The optimal sulfur cake modifier was a mixture of 2 wt% styrene, 1 wt% glycerol, and 1 wt% oleic acid with the formation of acetal in the cake structure and a new peak in the DTA curve.

Author Contributions

Conceptualization, Y.O. and Y.T.; methodology, Y.T. and Y.I.; investigation, A.B., Y.K., A.Z., A.K. (Aliya Kenzhegaliyeva), and A.K. (Aksaule Kydyrali); data curation, Y.I. and A.K. (Aliya Kenzhegaliyeva); writing—original draft preparation, Y.O. and Y.I.; writing—review and editing, Y.O.; supervision, Y.O.; project administration, Y.O.; funding acquisition, Y.O. All authors have read and agreed to the published version of the manuscript.

Funding

This research was funded by the Science Committee of the Ministry of Science and Higher Education of the Republic of Kazakhstan (Grant No. AP23489516 «Development of technologies for producing sulfur concrete and sulfur bitumen using modified sulfur cake»).

Data Availability Statement

The data that support the findings of this study are included within the manuscript.

Conflicts of Interest

The authors declare no conflicts of interest.

References

  1. Surovaya, V.E.; Kravchenko, K.N. Recycling of sulfuric acid production waste. TSUJC 2017, 9, 27–34. [Google Scholar]
  2. Bekzhanov, M.A.; Akbasova, A.D.; Saparbaev, K.A.; Sainova, G.A.; Baykhamurova, M.O. Disposal of sulfur-containing waste from the oil and chemical industries. KBTU Her. 2019, 2, 13–21. [Google Scholar]
  3. Fediuk, R.; Amran, Y.H.M.; Mosaberpanah, M.A.; Danis, A.; El-Zeadani, M.; Klyuev, S.V.; Vatin, N. A Critical Review on the Properties and Applications of Sulfur-Based Concrete. Materials 2020, 13, 4712. [Google Scholar] [CrossRef] [PubMed]
  4. Lewandowski, M.; Kotynia, R. Assessment of sulfur concrete properties for use in civil engineering. MATEC Web Conf. 2018, 219, 03006. [Google Scholar] [CrossRef]
  5. Leutner, B.; Diehl, M.L. Manufacture of Sulfur Concrete. U.S. Patent 4025352, 24 May 1977. [Google Scholar]
  6. Skripunov, D.A. Preparation of Compositions Based on Organic Polysulfides and Sulfur for Road and Building Materials. Ph.D. Dissertation, K.G. Razumovsky Moscow State University of Technologies and Management, Moscow, Russia, 2016. [Google Scholar]
  7. You, X.M. Research Progress of the Modification in Sulfur Concrete. Mater. Sci. Appl. 2021, 12, 353–361. [Google Scholar] [CrossRef]
  8. Yusupova, A.A.; Barayeva, L.R.; Akhmetova, R.T.; Khatsrinov, A.I.; Bobryshev, A.A. Highly effective composite materials based on waste of technogenic sulfur. IOP Conf. Ser. Mater. Sci. Eng. 2019, 570, 012103. [Google Scholar] [CrossRef]
  9. Kravchenko, K.N. Possibilities of Using Sulfur Cake as a Dispersant for Concrete Mixtures. X All-Russian Sci. and Pract. Conf. of Young Sci. “Young Russia”. 24-27.04.2018, 53406–1. ISBN 978-5-906969-83-5. Available online: https://science.kuzstu.ru/wp-content/Events/Conference/RM/2018/RM18/index.htm (accessed on 20 April 2018).
  10. Shalukho, N.M.; Bulay, T.V.; Lukash, E.V.; Yuzhik, A.V. Production of concrete using sulfur cake. BSTU Proc. 2022, 2, 64–71. [Google Scholar]
  11. Galuziy, N.V.; Egorov, V.S.; Cherkasova, T.G. Method for Recycling Cake from Sulfuric Acid Production to Produce Sulfur Concrete. Patent of Russia 2607845, 20 January 2017. [Google Scholar]
  12. Abdel-Mohsen, O.; Mohamed, J.; Maisa, E.G. Sulfur based hazardous waste solidification. Environ. Geol. 2007, 53, 159–175. [Google Scholar] [CrossRef]
  13. Souaya, E.R.; Elkholy, S.A.; Abd El-Rahman, A.M.M.; El-Shafie, M.; Ibrahim, I.M.; Abo-Shanab, Z.L. Partial substitution of asphalt pavement with modified sulfur. Egypt. J. Pet. 2015, 24, 483–491. [Google Scholar] [CrossRef]
  14. Wreczycki, J.; Demchuk, Y.; Bielinski, D.M.; Bratychak, M.; Gunka, V.; Anyszka, R.; Gozdek, T. Bitumen Binders Modified with Sulfur/Organic Copolymers. Materials 2022, 15, 1774. [Google Scholar] [CrossRef] [PubMed]
  15. Singh, M.; Jain, K.; Kahlon, S.S. Use of Sulfur as an Additive in Bitumen: A Review. Int. Res. J. Eng. Technol. 2020, 7, 10. [Google Scholar]
  16. Saidakhmedov, I.M.; Saidakhmedov, E.E. Peculiarities of using elemental sulfur as a modifier in the production of sulfur bitumine binders. In Proceedings of the LXXXV International Correspondence Scientific and Practical Conference, Boston, MA, USA, 30–31 May 2022. [Google Scholar]
  17. Le, H.T. Physico-mechanical properties of sulfur bitumen binders and sulfur asphalt concrete. Eng. Bull. Don 2022, 6. Available online: https://ivdon.ru/ru/magazine/archive/n6y2022/7745 (accessed on 6 May 2022).
  18. Zoltowski, M.; Jeleniewicz, K. Diagnostics of Sulfur Cement Properties. MATEC Web Conf. 2019, 302, 01025. [Google Scholar] [CrossRef]
  19. ACI 548.2R-93; Guide for Mixing and Placing Sulfur Concrete in Construction. ACI Committee: Farmington Hills, MI, USA, 1998.
  20. Galuziy, N.V.; Cherkasova, T.G. Utilization of sulfur-containing waste (bitumen sludge) generated during the production of sulfuric acid. KuzSTU Bull. 2019, 2, 45–50. [Google Scholar]
  21. Amanova, N.D.; Turaev, K.K.; Beknazarov, K.S. Synthesis and study of the properties of modified sulfur and sulfur concrete. Univers. Tech. Sci. 2020, 11. Available online: https://7universum.com/ru/tech/archive/item/10933 (accessed on 26 November 2020). [CrossRef]
  22. Turaev, F.T.; Beknazarov, K.S.; Dzhalilov, A.T. Study of modification of road bitumen with elemental sulfur. Univers. Tech. Sci. 2020, 2. Available online: http://7universum.com/ru/tech/archive/item/6978 (accessed on 20 February 2019).
  23. Khusainov, A.N. Obtaining Sulfur Nanoparticles by Mechanical Treatment and Chemical Precipitation. Ph.D. Dissertation, Bashkir State University, Ufa, Russia, 2013. [Google Scholar]
  24. Amonova, N.D.; Turaev, K.K.; Beknazarov, K.S.; Eshkurbonov, F.B. Study of the kinetics of thermal oxidative destruction of initial and modified sulfur samples by DTA and TGA methods. Sci. World 2020, 6, 8–12. [Google Scholar]
  25. Wei, M.S. The Preparation of Polymeric Sulfur and Study on Its Dielectric Properties; Beijing University of Chemical Technology: Beijing, China, 2018. [Google Scholar]
  26. Voronkov, M.G.; Vyazankin, N.S.; Deryagina, E.N. Reaction of Sulfur with Organic Compounds; Nauka: Novosibirsk, Russia, 1979. [Google Scholar]
  27. Dalenova, N.A. Finishing Sulfur Compositions Using Copolymer Sulfur. Ph.D. Dissertation, Research and Design Institute of Building Materials “NIIStromproekt”, Almaty, Kazakhstan, 2010. [Google Scholar]
  28. Chung, W. The use of elemental sulfur as an alternative feedstock for polymeric materials. Nat. Chem. 2013, 5, 518–524. [Google Scholar] [CrossRef] [PubMed]
  29. Fomin, A.Y. Bitumen-Polysulfide Binders for Road Asphalt Concrete. Ph.D. Dissertation, Kazan State Academy of Architecture and Civil Engineering, Kazan, Russia, 2004. [Google Scholar]
Figure 1. Diffraction patterns of samples based on the results of X-ray phase analysis: (a)—sulfur cake; sulfur cake samples modified with (b)—styrene, (c)—glycerol, (d)—oleic acid, (e)—styrene, glycerol, and oleic acid.
Figure 1. Diffraction patterns of samples based on the results of X-ray phase analysis: (a)—sulfur cake; sulfur cake samples modified with (b)—styrene, (c)—glycerol, (d)—oleic acid, (e)—styrene, glycerol, and oleic acid.
Processes 12 02048 g001aProcesses 12 02048 g001b
Figure 2. Diffraction patterns of samples based on the results of X-ray structural analysis: (a)—sulfur cake; sulfur cake samples modified with: (b)—styrene, (c)—glycerol, (d)—oleic acid, (e)—styrene, glycerol, and oleic acid.
Figure 2. Diffraction patterns of samples based on the results of X-ray structural analysis: (a)—sulfur cake; sulfur cake samples modified with: (b)—styrene, (c)—glycerol, (d)—oleic acid, (e)—styrene, glycerol, and oleic acid.
Processes 12 02048 g002aProcesses 12 02048 g002b
Figure 3. IR spectra of samples: 1—sulfur cake; sulfur cake samples modified with 2—styrene, 3—glycerol, 4—oleic acid, 5—styrene, glycerol, and oleic acid.
Figure 3. IR spectra of samples: 1—sulfur cake; sulfur cake samples modified with 2—styrene, 3—glycerol, 4—oleic acid, 5—styrene, glycerol, and oleic acid.
Processes 12 02048 g003
Figure 4. Differential scanning calorimetric analysis curves of samples: 1—sulfur cake; sulfur cake samples modified with 2—styrene, 3—glycerol, 4—oleic acid, 5—styrene, glycerol, and oleic acid.
Figure 4. Differential scanning calorimetric analysis curves of samples: 1—sulfur cake; sulfur cake samples modified with 2—styrene, 3—glycerol, 4—oleic acid, 5—styrene, glycerol, and oleic acid.
Processes 12 02048 g004
Figure 5. Thermograms of samples based on the results of differential thermal analysis and thermogravimetry: (a)—sulfur cake; sulfur cake samples modified with (b)—styrene, (c)—glycerol, (d)—oleic acid, (e)—styrene, glycerol, and oleic acid.
Figure 5. Thermograms of samples based on the results of differential thermal analysis and thermogravimetry: (a)—sulfur cake; sulfur cake samples modified with (b)—styrene, (c)—glycerol, (d)—oleic acid, (e)—styrene, glycerol, and oleic acid.
Processes 12 02048 g005
Figure 6. Scheme of transformation of sulfur forms.
Figure 6. Scheme of transformation of sulfur forms.
Processes 12 02048 g006
Figure 7. Scheme of the reaction of sulfur with styrene.
Figure 7. Scheme of the reaction of sulfur with styrene.
Processes 12 02048 g007
Figure 8. Scheme of the reaction of sulfur with oleic acid.
Figure 8. Scheme of the reaction of sulfur with oleic acid.
Processes 12 02048 g008
Table 1. Compositions of the samples of the original and modified sulfur cake.
Table 1. Compositions of the samples of the original and modified sulfur cake.
Sample NumberSulfur Cake, wt%Styrene, wt%Glycerol, wt%Oleic Acid, wt%
1100.0---
297.03.0--
397.0-3.0-
497.0--3.0
595.03.01.01.0
Table 2. Results of X-ray structural analysis of samples.
Table 2. Results of X-ray structural analysis of samples.
Sample NumberName of the Compound and Its Chemical FormulaName of the MineralIntensity RatioIntensity, %
1Sulfur S8-1.00100.00
2Silicon dioxide SiO2Quartz1.0040.14
Magnesium oxide MgOPericlase0.7730.83
Magnesium sulfide MgSNiningerite0.7229.03
3Sulfur S-0.9270.50
Chlorine (IV) oxide ClO2-0.3829.50
4Sodium silicon Na3Si136-1.00100.00
5Acetal (CH2O)n-1.0051.40
µ-Dichlorodiphenanthroline copper chloride C24H16Cl4Cu2N4-0.6332.40
Copper (I) chloride CuCl-0.3216.20
Table 3. Results of differential thermal analysis and thermogravimetry of samples.
Table 3. Results of differential thermal analysis and thermogravimetry of samples.
Sample NumberTemperature of the First Maximum, °CTemperature of the Second Maximum, °CThermolysis Onset Temperature, °CWeight Loss before Thermolysis, %Weight Loss during Thermolysis, %
1122.6-378.078.56-
2116.8-419.398.551.48
3124.9-393.178.584.26
4119.4244.2372.874.0511.60
5115.7264.0392.977.049.13
Disclaimer/Publisher’s Note: The statements, opinions and data contained in all publications are solely those of the individual author(s) and contributor(s) and not of MDPI and/or the editor(s). MDPI and/or the editor(s) disclaim responsibility for any injury to people or property resulting from any ideas, methods, instructions or products referred to in the content.

Share and Cite

MDPI and ACS Style

Ongarbayev, Y.; Tileuberdi, Y.; Baimagambetova, A.; Imanbayev, Y.; Kanzharkan, Y.; Zhambolova, A.; Kenzhegaliyeva, A.; Kydyrali, A. Modification of Sulfur Cake—Waste from Sulfuric Acid Production. Processes 2024, 12, 2048. https://doi.org/10.3390/pr12092048

AMA Style

Ongarbayev Y, Tileuberdi Y, Baimagambetova A, Imanbayev Y, Kanzharkan Y, Zhambolova A, Kenzhegaliyeva A, Kydyrali A. Modification of Sulfur Cake—Waste from Sulfuric Acid Production. Processes. 2024; 12(9):2048. https://doi.org/10.3390/pr12092048

Chicago/Turabian Style

Ongarbayev, Yerdos, Yerbol Tileuberdi, Aigul Baimagambetova, Yerzhan Imanbayev, Yernar Kanzharkan, Ainur Zhambolova, Aliya Kenzhegaliyeva, and Aksaule Kydyrali. 2024. "Modification of Sulfur Cake—Waste from Sulfuric Acid Production" Processes 12, no. 9: 2048. https://doi.org/10.3390/pr12092048

APA Style

Ongarbayev, Y., Tileuberdi, Y., Baimagambetova, A., Imanbayev, Y., Kanzharkan, Y., Zhambolova, A., Kenzhegaliyeva, A., & Kydyrali, A. (2024). Modification of Sulfur Cake—Waste from Sulfuric Acid Production. Processes, 12(9), 2048. https://doi.org/10.3390/pr12092048

Note that from the first issue of 2016, this journal uses article numbers instead of page numbers. See further details here.

Article Metrics

Back to TopTop