Mass Transfer Kinetics of Volatile Organic Compound Desorption from a Novel Adsorbent
Abstract
1. Introduction
2. Materials and Methods
2.1. Adsorbent and Adsorbates
2.2. Experimental Equipment and Methods
3. Mathematical Model
3.1. Mass Transfer Process Analysis
3.2. Adsorption Breakthrough Curve Model
4. Results and Discussion
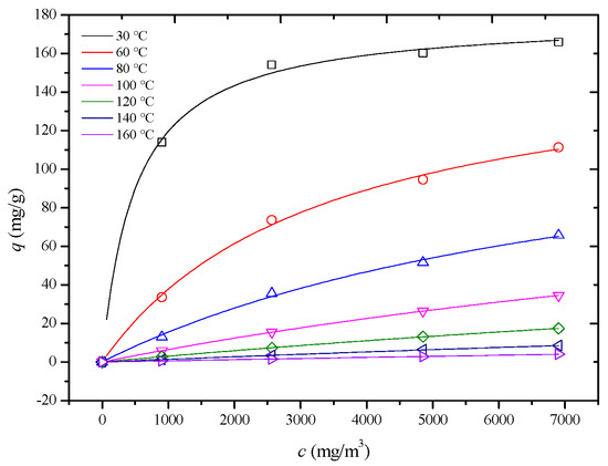
4.1. Adsorption Isotherms
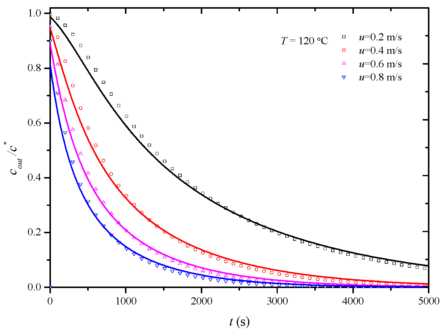
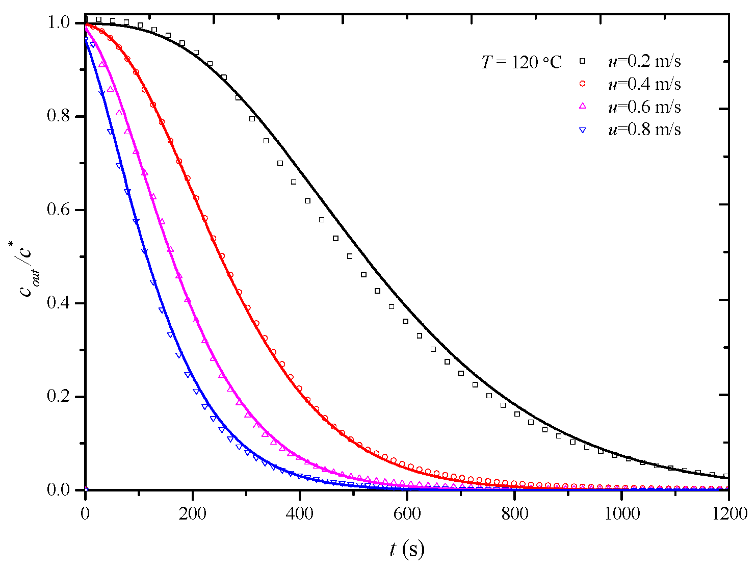
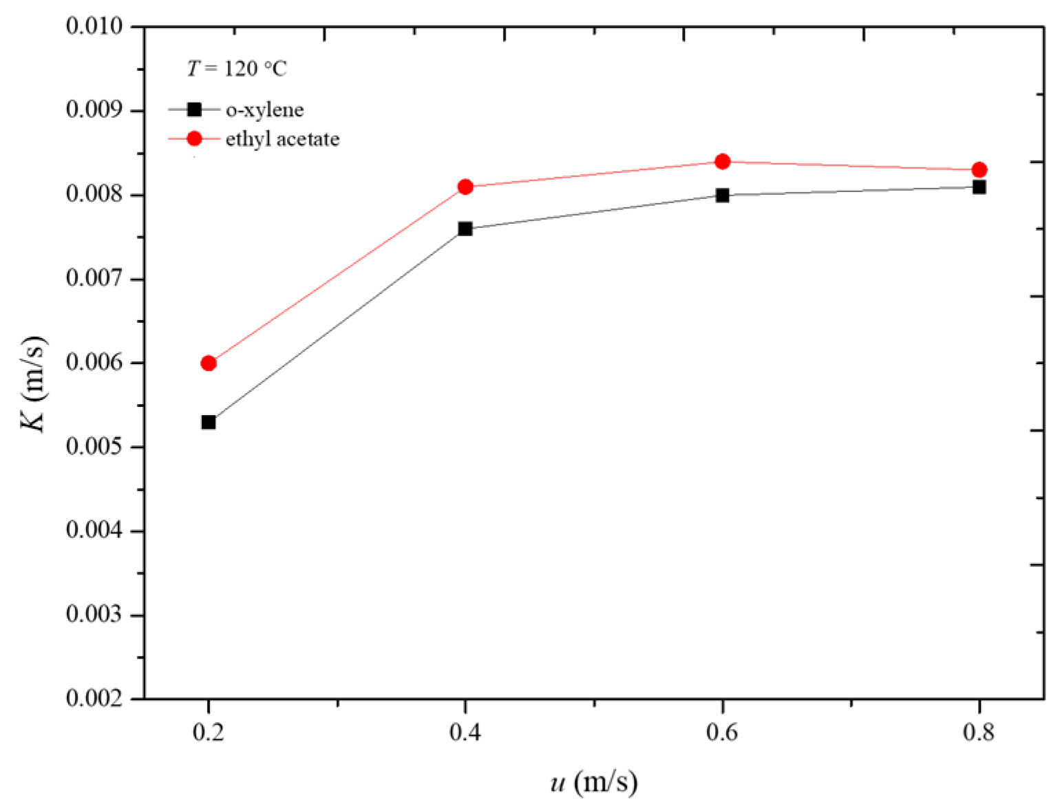
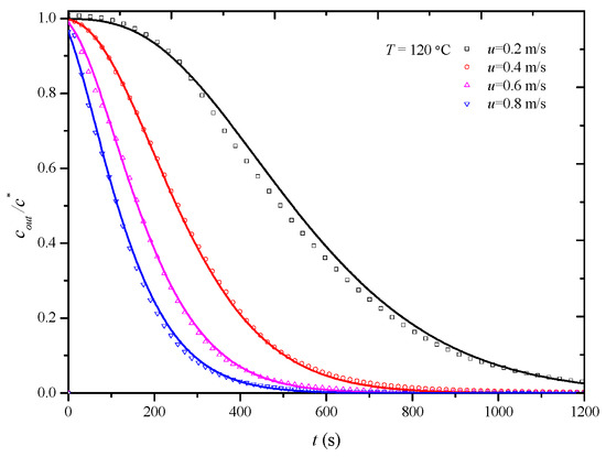
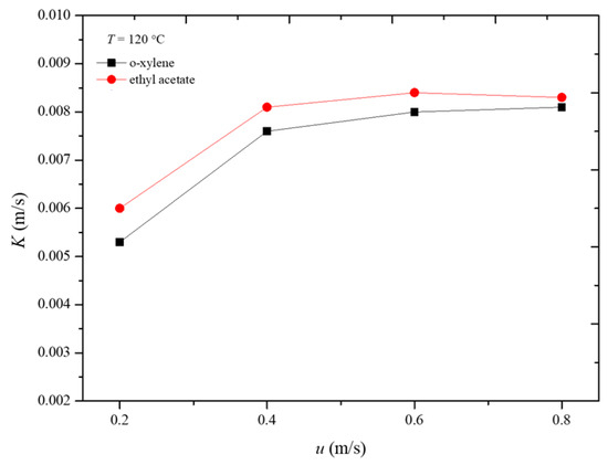
4.2. Effect of Air Velocity on Overall Mass Transfer Coefficient
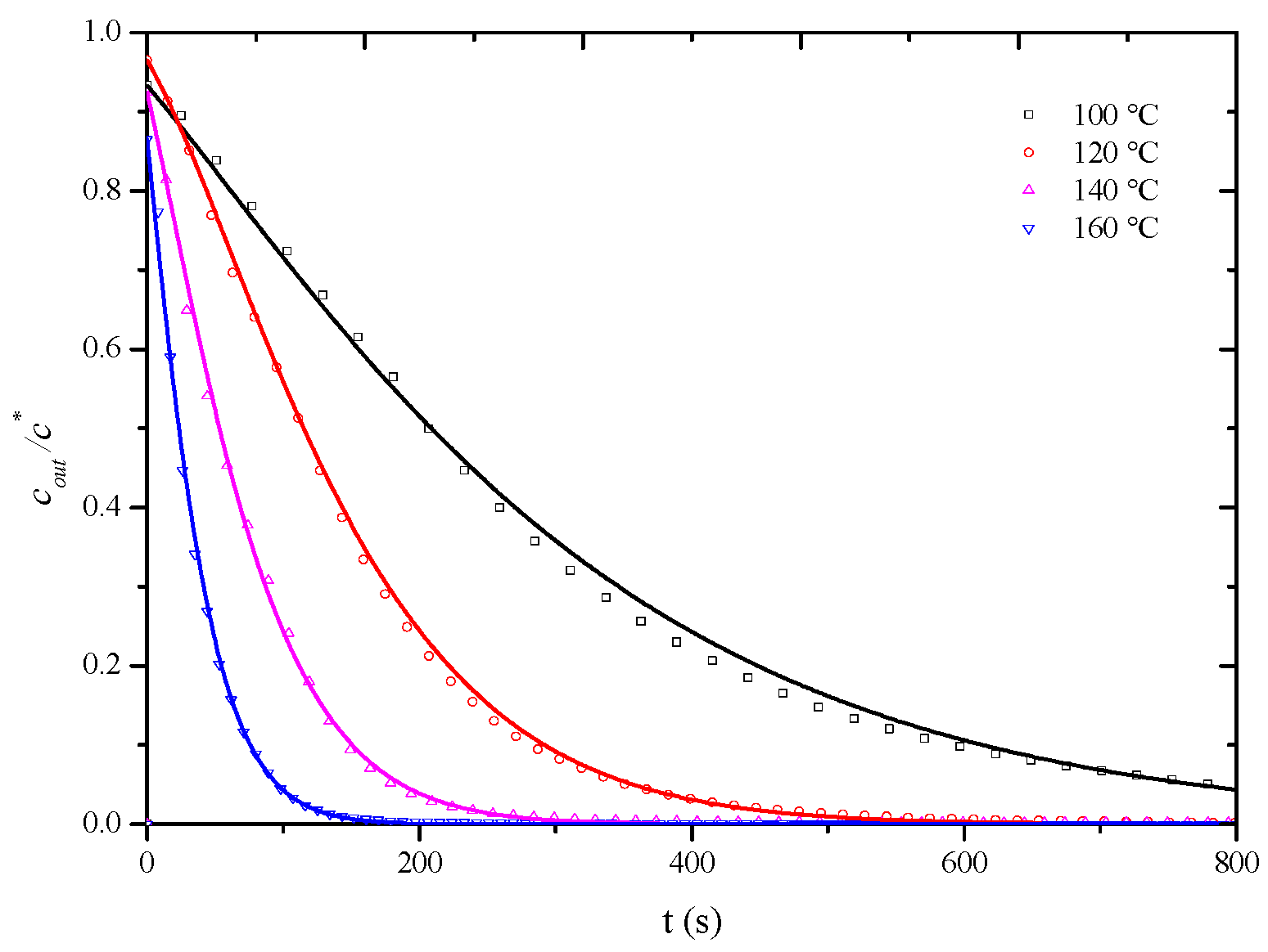
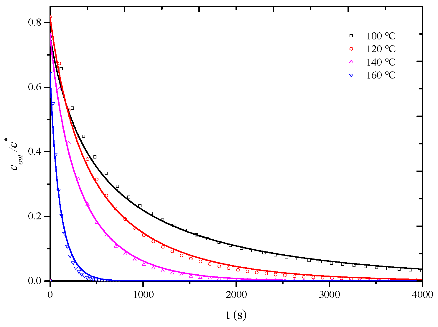
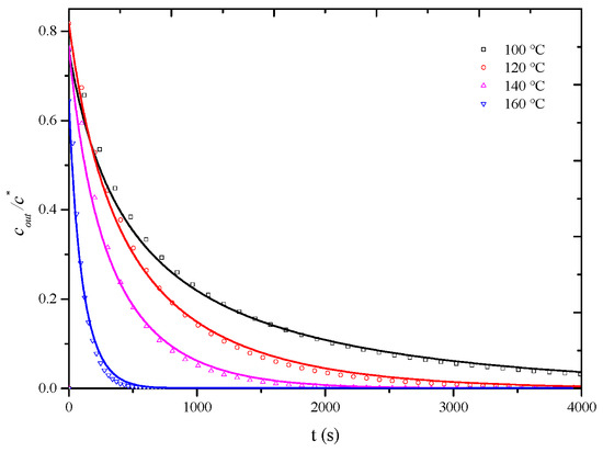
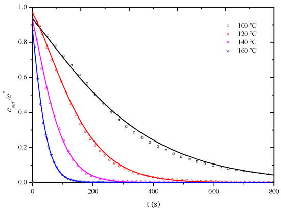
4.3. Effect of Temperature on Internal Mass Transfer Coefficient
4.4. Comparison of Adsorption and Desorption Internal Mass Transfer
5. Conclusions
Author Contributions
Funding
Data Availability Statement
Conflicts of Interest
References
- Huang, R.-J.; Zhang, Y.; Bozzetti, C.; Ho, K.-F.; Cao, J.-J.; Han, Y.; Daellenbach, K.R.; Slowik, J.G.; Platt, S.M.; Canonaco, F. High secondary aerosol contribution to particulate pollution during haze events in China. Nature 2014, 514, 218–222. [Google Scholar] [CrossRef] [PubMed]
- Wu, X.; Huang, W.; Zhang, Y.; Zheng, C.; Jiang, X.; Gao, X.; Cen, K. Characteristics and uncertainty of industrial VOCs emissions in China. Aerosol Air Qual. Res. 2015, 15, 1045–1058. [Google Scholar] [CrossRef]
- Jiyu, Y. Determination of VOCs source strength and analysis of typical pollution control measures in environmental impact assessment of wood furniture. Environ. Dev. 2019, 31, 30–31. [Google Scholar]
- Du, Z.; Yuan, X.L.; Ren, A.L.; Fu, F.Y. Typical Pharmaceutical Process VOCs and Stench Pollution Characteristics and Control Techniques. Adv. Mater. Res. 2013, 726–731, 2017–2021. [Google Scholar] [CrossRef]
- Zheng, G.; Wei, K.; Kang, X.; Fan, W.; Ma, N.L.; Verma, M.; Ng, H.S.; Ge, S. A new attempt to control volatile organic compounds (VOCs) pollution—Modification technology of biomass for adsorption of VOCs gas. Environ. Pollut. 2023, 336, 122451. [Google Scholar] [CrossRef]
- Pei, L.X.; Lv, Z.M.; Zhang, L.Z. Selective adsorption of a novel high selective desiccant for prospective use in heat and moisture recovery for buildings. Build. Environ. 2012, 49, 124–128. [Google Scholar] [CrossRef]
- Kim, Y.H. Development of process model of a rotary kiln for volatile organic compound recovery from coconut shell. Korean J. Chem. Eng. 2012, 29, 1674–1679. [Google Scholar] [CrossRef]
- Zheng, J.; Song, W.; Du, L.; Wang, L.; Li, S. Desorption of VOC from polymer adsorbent in multistage fluidized bed. Chin. J. Chem. Eng. 2020, 28, 1709–1716. [Google Scholar] [CrossRef]
- Wang, L.; Zheng, J.; Du, L.; Li, S.; Song, W. Study on mass transfer of ethyl acetate in polymer adsorbent by experimental and theoretical breakthrough curves. Chin. J. Chem. Eng. 2020, 28, 84–89. [Google Scholar] [CrossRef]
- Brosillon, S.; Manero, M.-H.; Foussard, J.-N. Mass transfer in VOC adsorption on zeolite: Experimental and theoretical breakthrough curves. Environ. Sci. Technol. 2001, 35, 3571–3575. [Google Scholar] [CrossRef]
- Weber Jr, W.; Liu, K. Determination of mass transport parameters for fixed-bed adsorbers. Chem. Eng. Commun. 1980, 6, 49–60. [Google Scholar] [CrossRef]
- Marin, P.; Borba, C.E.; Módenes, A.N.; Espinoza-Quiñones, F.R.; de Oliveira, S.P.D.; Kroumov, A.D. Determination of the mass transfer limiting step of dye adsorption onto commercial adsorbent by using mathematical models. Environ. Technol. 2014, 35, 2356–2364. [Google Scholar] [CrossRef] [PubMed]
- Chang, Y.; Zheng, J.; Du, L.; Li, S.; Song, W. Resin based spherical activated carbon for fluidized bed and its VOCs adsorption performance. Guocheng Gongcheng Xuebao 2018, 18, 1112–1118. [Google Scholar]
- Tong, R.; Zhang, L.; Yang, X.; Liu, J.; Zhou, P.; Li, J. Emission characteristics and probabilistic health risk of volatile organic compounds from solvents in wooden furniture manufacturing. J. Clean. Prod. 2019, 208, 1096–1108. [Google Scholar] [CrossRef]
- Fuller, E.N.; Schettler, P.D.; Giddings, J.C. New method for prediction of binary gas-phase diffusion coefficients. Ind. Eng. Chem. 1966, 58, 18–27. [Google Scholar] [CrossRef]
- Scott, D.; Dullien, F. Diffusion of ideal gases in capillaries and porous solids. AIChE J. 1962, 8, 113–117. [Google Scholar] [CrossRef]
- Maxwell, J.C. Electricity and Magnetism; Dover: New York, NY, USA, 1954; Volume 2. [Google Scholar]
- Gilliland, E.R.; Baddour, R.F.; Perkinson, G.P.; Sladek, K.J. Diffusion on surfaces. I. Effect of concentration on the diffusivity of physically adsorbed gases. Ind. Eng. Chem. Fundam. 1974, 13, 95–100. [Google Scholar] [CrossRef]
- Glueckauf, E. Theory of chromatography. Part 10.—Formulæ for diffusion into spheres and their application to chromatography. Trans. Faraday Soc. 1955, 51, 1540–1551. [Google Scholar] [CrossRef]
- Heese, C.; Worch, E. A New User-Oriented Method for Prediction of Intraparticle Mass Transfer Coefficients for Adsorber Modelling; Eine Neue Anwenderorientierte Methode zur Vorausberechnung von Stoffuebergangskoeffizienten Fuer Die Adsorbermodellierung. 1997. Available online: https://www.osti.gov/etdeweb/biblio/584087 (accessed on 30 July 2024).
- Worch, E. Fixed-bed adsorption in drinking water treatment: A critical review on models and parameter estimation. J. Water Supply Res. Technol.—AQUA 2008, 57, 171–183. [Google Scholar] [CrossRef]
- Langmuir, I. The adsorption of gases on plane surfaces of glass, mica and platinum. J. Am. Chem. Soc. 1918, 40, 1361–1403. [Google Scholar] [CrossRef]
- Frost, A.C.; Sawyer, J.E.; Summers, J.C.; Shah, Y.T.; Dassori, C.G. Kinetics and transport parameters for the fixed-bed catalytic incineration of volatile organic compounds. Environ. Sci. Technol. 1991, 25, 2065–2070. [Google Scholar] [CrossRef]
- Howard-Reed, C.; Corsi, R.L.; Moya, J. Mass transfer of volatile organic compounds from drinking water to indoor air: The role of residential dishwashers. Environ. Sci. Technol. 1999, 33, 2266–2272. [Google Scholar] [CrossRef]
- Li, L.; Liu, Z.; Qin, Y.; Sun, Z.; Song, J.; Tang, L. Estimation of volatile organic compound mass transfer coefficients in the vacuum desorption of acetone from activated carbon. J. Chem. Eng. Data 2010, 55, 4732–4740. [Google Scholar] [CrossRef]
- Meininghaus, C.K.; Prins, R. Sorption of volatile organic compounds on hydrophobic zeolites. Microporous Mesoporous Mater. 2000, 35, 349–365. [Google Scholar] [CrossRef]
- Chen, T.; Fu, C.; Liu, Y.; Pan, F.; Wu, F.; You, Z.; Li, J. Adsorption of volatile organic compounds by mesoporous graphitized carbon: Enhanced organophilicity, humidity resistance, and mass transfer. Sep. Purif. Technol. 2021, 264, 118464. [Google Scholar] [CrossRef]
- Mateus, M.-L.; Lindinger, C.; Gumy, J.-C.; Liardon, R. Release kinetics of volatile organic compounds from roasted and ground coffee: Online measurements by PTR-MS and mathematical modeling. J. Agric. Food Chem. 2007, 55, 10117–10128. [Google Scholar] [CrossRef]
- Kim, H.; Annable, M.D.; Rao, P.S.C. Effect of water content on kinetics of volatile organic compounds mass transfer between gas and aqueous phases during gas transport in unsaturated sand. Soil Sci. 2005, 170, 680–691. [Google Scholar] [CrossRef]
- Sheng, M.; Li, G.; Huang, Z.; Tian, S.; Shah, S.; Geng, L. Pore-scale modeling and analysis of surface diffusion effects on shale-gas flow in Kerogen pores. J. Nat. Gas Sci. Eng. 2015, 27, 979–985. [Google Scholar] [CrossRef]











| Characteristics | Value | Characteristics | Value | |
|---|---|---|---|---|
| Adsorbent | HCP-5 | Adsorbates | O-Xylene | Ethyl Acetate |
| Average Particle Size/mm | 0.92 | Molecular Weight/g/mol | 106.17 | 88.11 |
| Particle Density/kg/m3 | 702 | Relative Permittivity/- | 2.6 | 6.1 |
| Bulk Density/kg/m3 | 392 | Boiling Point/°C | 144 | 77 |
| Specific Surface Area/m2/g | 859 | Density/kg/m3 | 876 | 902 |
| Total Pore Volume/cm3/g | 1.15 | Critical Temperature/°C | 357 | 251 |
| Average Pore Diameter/nm | 5.30 | Critical Pressure/MPa | 3.73 | 3.83 |
| Particle Porosity/- | 0.40 | Critical Volume/cm3/mol | 370 | 286 |
| Coefficient | Calculation Formula | Source |
|---|---|---|
| Molecular Diffusion Coefficient | Fuller [15] | |
| Knudsen Diffusion Coefficient | Scott [16] | |
| Deflection Factor | Maxwell [17] | |
| Pore Diffusion Coefficient | Maxwell [17] | |
| Surface Diffusion Coefficient | Gilliland [18] |
| Temperature (°C) | O-Xylene | Ethyl Acetate | ||
|---|---|---|---|---|
| / | qm | kL | qm | kL |
| 30 | 300.67 | 2.14 × 10−3 | 178.77 | 2.02 × 10−3 |
| 60 | 249.70 | 1.19 × 10−3 | 163.82 | 2.99 × 10−4 |
| 80 | 195.42 | 6.88 × 10−4 | 142.91 | 1.22 × 10−4 |
| 100 | 164.05 | 5.24 × 10−4 | 128.94 | 5.30 × 10−5 |
| 120 | 110.34 | 3.54 × 10−4 | 88.67 | 3.55 × 10−5 |
| 140 | 72.22 | 2.48 × 10−4 | 65.94 | 2.16 × 10−5 |
| 160 | 31.16 | 1.12 × 10−4 | 41.70 | 1.53 × 10−5 |
| Temperature (°C) | MSE | Internal Mass Transfer Coefficient (m/s) | ||
|---|---|---|---|---|
| O-Xylene | Ethyl Acetate | O-Xylene | Ethyl Acetate | |
| 100 | 45 | 30 | 0.0071 | 0.0069 |
| 120 | 53 | 20 | 0.0081 | 0.0083 |
| 140 | 23 | 20 | 0.0065 | 0.0061 |
| 160 | 28 | 20 | 0.0045 | 0.0046 |
| Characteristics | Adsorption Process | Desorption Process |
|---|---|---|
| Temperature (°C) | 30 | 160 |
| Pore Diffusion Coefficient Dp (m2/s) | 1.39 × 10−7 | 1.70 × 10−7 |
| Internal Mass Transfer Coefficient kp (m/s) | 8.40 × 10−2 | 4.60 × 10−3 |
| Contribution of Pore Diffusion to Internal Mass Transfer (m/s) | 1.51 × 10−3 | 1.85 × 10−3 |
| Contribution of Surface Diffusion to Internal Mass Transfer (m/s) | 8.25 × 10−2 | 2.75 × 10−3 |
Disclaimer/Publisher’s Note: The statements, opinions and data contained in all publications are solely those of the individual author(s) and contributor(s) and not of MDPI and/or the editor(s). MDPI and/or the editor(s) disclaim responsibility for any injury to people or property resulting from any ideas, methods, instructions or products referred to in the content. |
© 2024 by the authors. Licensee MDPI, Basel, Switzerland. This article is an open access article distributed under the terms and conditions of the Creative Commons Attribution (CC BY) license (https://creativecommons.org/licenses/by/4.0/).
Share and Cite
Zheng, J.; Yang, C.; Xue, M.; Li, X.; Zhao, X. Mass Transfer Kinetics of Volatile Organic Compound Desorption from a Novel Adsorbent. Processes 2024, 12, 2031. https://doi.org/10.3390/pr12092031
Zheng J, Yang C, Xue M, Li X, Zhao X. Mass Transfer Kinetics of Volatile Organic Compound Desorption from a Novel Adsorbent. Processes. 2024; 12(9):2031. https://doi.org/10.3390/pr12092031
Chicago/Turabian StyleZheng, Jiale, Chuanruo Yang, Ming Xue, Xingchun Li, and Xinglei Zhao. 2024. "Mass Transfer Kinetics of Volatile Organic Compound Desorption from a Novel Adsorbent" Processes 12, no. 9: 2031. https://doi.org/10.3390/pr12092031
APA StyleZheng, J., Yang, C., Xue, M., Li, X., & Zhao, X. (2024). Mass Transfer Kinetics of Volatile Organic Compound Desorption from a Novel Adsorbent. Processes, 12(9), 2031. https://doi.org/10.3390/pr12092031
