Next Article in Journal
Influence of Aeration, Introduction of Probiotics, and Supply of Water on Landfill Gas Production—Study of Models
Next Article in Special Issue
Co-Gasification of Plastic Waste Blended with Biomass: Process Modeling and Multi-Objective Optimization
Previous Article in Journal
Practices and Trends in the Prescription of Probiotics: A Detailed Analysis in an Eastern European Region
Previous Article in Special Issue
Experimental Study of the Characteristics of HI Distillation in the Thermochemical Iodine–Sulfur Cycle for Hydrogen Production
 
 
Font Type:
Arial Georgia Verdana
Font Size:
Aa Aa Aa
Line Spacing:
Column Width:
Background:
Article

Preliminary Exploration of Low Frequency Low-Pressure Capacitively Coupled Ar-O2 Plasma

by
Niaz Wali
1,
Weiwen Xiao
2,*,
Qayam Ud Din
3,
Najeeb Ur Rehman
3,
Chiyu Wang
4,
Jiatong Ma
1,
Wenjie Zhong
1 and
Qiwei Yang
5,6
1
Institute for Fusion Theory and Simulation, School of Physics, Zhejiang University, Hangzhou 310058, China
2
School of Physics, Zhejiang University of Technology, Hangzhou 310014, China
3
Plasma Research Laboratory, Department of Physics, COMSATS University, Islamabad 45550, Pakistan
4
Southwestern Institute of Physics, Chengdu 610041, China
5
Key Laboratory of Biomass Chemical Engineering of Ministry of Education, College of Chemical and Biological Engineering, Zhejiang University, Hangzhou 310027, China
6
Institute of Zhejiang University-Quzhou, Quzhou 324000, China
*
Author to whom correspondence should be addressed.
Processes 2024, 12(9), 1858; https://doi.org/10.3390/pr12091858
Submission received: 4 August 2024 / Revised: 17 August 2024 / Accepted: 25 August 2024 / Published: 31 August 2024

Abstract

Non-thermal plasma as an emergent technology has received considerable attention for its wide range of applications in agriculture, material synthesis, and the biomedical field due to its low cost and portability. It has promising antimicrobial properties, making it a powerful tool for bacterial decontamination. However, traditional techniques for producing non-thermal plasma frequently rely on radiofrequency (RF) devices, despite their effectiveness, are intricate and expensive. This study focuses on generating Ar-O2 capacitively coupled plasma under vacuum conditions, utilizing a low-frequency alternating current (AC) power supply, to evaluate the system’s antimicrobial efficacy. A single Langmuir probe diagnostic was used to assess the key plasma parameters such as electron density (ne), electron temperature (Te), and electron energy distribution function (EEDF). Experimental results showed that ne increases (7 × 1015 m−3 to 1.5 × 1016 m−3) with a rise in pressure and AC power. Similarly, the EEDF modified into a bi-Maxwellian distribution with an increase in AC power, showing a higher population of low-energy electrons at higher power. Finally, the generated plasma was tested for antimicrobial treatment of Xanthomonas campestris pv. Vesicatoria. It is noted that the plasma generated by the AC power supply, at a pressure of 0.5 mbar and power of 400 W for 180 s, has 75% killing efficiency. This promising result highlights the capability of the suggested approach, which may be a budget-friendly and effective technique for eliminating microbes with promising applications in agriculture, biomedicine, and food processing.

1. Introduction

Non-thermal plasma (NTP), often known as cold plasma, is an ionized gas in which ions and neutral particles are at significantly lower temperatures than electrons [1]. NTP has received great attention from researchers due to its versatile applications in various fields, including material synthesis [2], agriculture [3,4], and biomedical technology [5]. It can be easily generated using many types of electrical discharges in gases at atmospheric pressure as well as under vacuum conditions. The advantages of this plasma are its ability to be created at ambient temperatures, its scalability, cost-effectiveness, and flexible operation. This plasma technology has proven valuable, as it does not cause any thermal damage to the target due to its low temperature [6].
Microbial decontamination is the process of eliminating or breaking down different types of microorganisms, including bacteria, fungi, viruses, and other harmful agents. Non-thermal plasmas have been extensively studied in recent decades due to their remarkable antibacterial and antiviral effects. Undoubtedly, the use of non-thermal low-pressure capacitively coupled plasma demonstrated great potential in sterilization through bacterial disinfection [7,8]. Generally, rare gases—such as argon (Ar) and helium (He) are utilized as feeding gases for the generation of non-thermal low-pressure plasma. The characteristics of a discharge can be substantially changed by incorporating a small percentage of molecular gases into a rare gas, such as O2, CF4, and N2. These reactive gases may generate a significant amount of microbicidal and virucidal agents, reactive oxygen species (ROS), reactive nitrogen species (RNS), and energetic radiation. This effect is vital for ensuring sterility (decontamination or inactivation) and plays a critical role in various biological applications [9].
The generation and physics of low-pressure plasma processes have received much attention from researchers over the past several decades [10,11,12]. The low-pressure systems have advantages over atmospheric pressure plasmas, such as the ability to accelerate electrons to higher energies due to the larger mean free path at low pressures. This phenomenon enables the occurrence of high-temperature reactions, such as excitation, ionization, and dissociation, at comparatively lower gas temperatures [13]. Key parameters such as electron density (ne), electron temperature (Te), and the electron energy distribution function (EEDF) are useful for knowing the critical quantities in plasma processing [14,15]. The operational discharge parameters, such as the discharge type, the reactor geometry, the working gas pressure, the gas composition, and concentration, play a significant role in determining the ne, the Te, and the EEDF [16,17,18,19]. In recent decades, numerous experimental and theoretical studies have examined the impact of oxygen and nitrogen admixture on argon discharge for various medical and industrial purposes. There is extensive literature available on the RF inductively [20,21,22,23,24,25] and capacitively coupled Ar-O2 plasma in low-pressure conditions [13,26,27,28,29,30,31]. In this work, we aimed to explore the characteristics of asymmetric capacitively coupled Ar-O2 plasma produced by a low-frequency power supply under vacuum conditions.
The power supply system plays a vital role in plasma generation systems, as it determines their applicability for industrial applications. The successful functioning of a non-thermal plasma reactor relies on the distinct characteristics of the power source (generator) [32]. NTP can be produced by employing microwave discharge, direct current (DC) discharge, and radiofrequency (RF) discharge. Different types of power supply offer distinctive advantages and are chosen based on the required plasma properties. DC power supplies [33], for instance, are renowned for their simplicity, which makes them suitable for industrial applications, such as metal sputtering and coatings. Nevertheless, due to constant voltage supply, DC power supplies can cause considerable deterioration of the electrodes, resulting in the need for more frequent maintenance and inconsistency in the plasma process [34,35]. Radiofrequency (RF) power generators have traditionally dominated the field due to their effectiveness in industrial and plasma-based sterilization. However, the intricate technology involved in RF systems leads to significant manufacturing and operational costs. These systems require sophisticated engineering to effectively control power outputs and frequency ranges [36,37].
The use of a low-frequency AC power supply presents a novel approach under vacuum conditions. Based on our comprehensive literature review, there is a lack of studies examining Ar-O2 admixture in capacitively coupled configurations under low-pressure conditions driven by the low-temperature Plasma Experimental Power Supply (CTP-2000S), a low-frequency AC power supply. This method offers distinct advantages in terms of cost-effectiveness, compactness, portability, a direct electrode connection, and ease of operation, which are important in both materials’ scientific and biological applications. The flexibility allows for a broad tuning of plasma conditions, accommodating a wide range of industrial and research applications. AC systems produce less electromagnetic interference compared to RF systems, making them more positional for use in environments where electronic noises need to be minimized.
This work aims to investigate the disparity in current research by comparing the impacts of low-frequency alternating current (AC) generated plasma to those typically achieved with radio frequency (RF) systems, particularly in Ar-O2 capacitively coupled plasma under vacuum conditions. The effectiveness of a low-frequency AC-generated plasma is investigated against the inactivation of Xanthomonas campestris pv. Vesicatoria (X. c. pv. vesicatoria) bacteria. The reduction in bacterial growth following plasma treatment indicates that the Ar-O2 plasma produced by a low-frequency AC power supply offers a valuable and affordable pathway to generate the non-thermal low-pressure plasma. This study provides insights into optimizing plasma parameters for effective bacterial inactivation, which could not only be advantageous in agricultural practices to control bacterial plant pathogens but could be potentially employed in biomedical applications, particularly for sterilizing medical instruments and food processing.
The paper is organized as follows: Section 2 describes the experimental setup and data analysis method obtained by a single Langmuir probe. The experimental results, including the ne, the Te, the EEDF, and bacterial inactivation, are discussed in Section 3. The conclusion is presented in Section 4.

2. Material and Methods

2.1. Experimental Setup

The experiment is conducted in a stainless-steel vacuum chamber with an inner diameter of 39 cm and a height of 42.0 cm [13,38]. The Ar-O2 plasma is generated in asymmetrical capacitively coupled electrodes installed with the low-temperature plasma experimental power supply, as shown in Figure 1. The key diagnostic system is the single Langmuir probe in this experiment. Significantly, the AC power offers sinusoidal output voltage that ranges from 0 to 30 kV at 6 kHz. The diameter of each electrode in the chamber is 14 cm, and a distance of 4.5 cm separates them.
The AC power drives the lower electrode, and the rest of the chamber, including the upper electrode, is kept at zero potential, as shown in Figure 1 in the red text. The system is asymmetric and capacitively coupled, as only the lower electrode is powered, and the upper electrode and the whole chamber are grounded.
Before feeding the mixture of gases, the vacuum chamber was pumped down to less than 3 × 10 3 mbar for the discharge condition. A speed valve was used between the extension port and the rotary pump to isolate the plasma chamber from the pump. A Teledyne Hastings mass flowmeter controlled the feeding gas flow, whereas the Pirani gauge recorded the working gas pressure. The main experiment of this work was carried out at two different filling gas pressures of about 0.5 mbar and 0.7 mbar with the overall fixed gas flow rate of 25 SCCM (standard cubic centimeter per minute). However, an experiment at 0.3 mbar was performed for comparison with the already published work utilizing an RF power supply. The AC power at 6 kHz was varied between 100 W and 900 W by employing the voltage regulator. This is the apparent power provided by an external source to the chamber to generate plasma and was measured by the power supply. A digital storage oscilloscope (GDS-820S) in the setup is used to detect the operating frequency and provide a visual view of the electrical characteristics of the plasma generation process.
A multichannel digital storage oscilloscope (GW Instek GDS-3504, Jiangsu, China) with a sample rate of 4 GSa/s and a bandwidth of 500 MHz was used to study the voltage-current waveform of the Ar-O2 plasma discharge generated by the AC power supply. The discharge voltage was measured with a high-voltage probe (TESTEC TT-HVP 2739, Batronix GmbH, Preetz, Germany) that has a bandwidth of 250 MHz. The discharge current was measured with a current probe (GW Instek GCP-530, Jiangsu, China) that has a bandwidth of 50 MHz. To obtain a stabilized waveform of the discharge, both the voltage and current probes are grounded. The instantaneous power delivered to the plasma was also recorded by calculating the product of the voltage and current waveforms. The instantaneous power P ( t ) was measured using the following equation:
P t = V t   I t
Here, V t and I t represent the instantaneous voltage and current, respectively.
An Alternating current (AC) low-temperature plasma generator was the main power source in this work. The AC power generator utilized in this work had two main components: the Output Low-Temperature Plasma Experimental Power Supply (CTP-2000S) and the TDGC2-1 Voltage Regulator. The main machine operated with an output voltage range of 0 to 30 KV and a frequency that was adjustable between 1 kHz to 10 kHz. This power unit dimensions measured 250 mm wide, 250 mm deep, and 380 mm high, weighing 12 kg. The voltage regulator, essential for controlling the power supply, had a rated input voltage of 220 V and a capacity of 1 kVA. It operated at a frequency of 50 Hz, providing an output voltage range from 0 to 250 V, with a rated output current of 4 A. This was a single phase and weighed 6.5 kg. Additionally, the power supply includes interfaces for monitoring input power and high-voltage output voltage and current, boasting an efficiency rating of about 90%.

2.2. Sample Preparation for Non-Thermal Plasma Treatment

A bacterial growth medium was prepared by dissolving 10 g of tryptone, 5 g of yeast extract, and 10 g of sodium chloride in 1 L of distilled water. The pH was calibrated to 7.0 using a pH meter by adding 1M sodium hydroxide (NaOH). The solution was then sterilized by autoclaving at a temperature of 121 °C for 15–20 min. The growth medium was poured into sterile Petri dishes within a controlled environment to avoid any contamination. The dishes were then stored at a temperature of 4 °C until they were needed. The Petri dishes that were treated with the bacteria were placed in an incubator at room temperature for 72 h. The developed colonies were measured before the plasma treatment, estimating 106 CFU/mL (CFU, colony forming units). The Petri dish was placed inside the vacuum chamber for various time exposures to treat the bacterial sample, as described in Section 3.4. This treatment was repeated 3 times to assess the outcomes.
To evaluate the feasibility of the treated bacteria, colonies from the treated plates were transferred to sterile media and cultured under identical conditions as previously established. The presence of growth on the newly introduced plates demonstrated the survival of the bacteria following exposure to nonthermal plasma treatment. This procedure guaranteed a regulated and aseptic technique for preparing, treating, and assessing bacterial samples.

2.3. Analysis Method of a Single Langmuir Probe

The I-V characteristics are monitored by employing a single Langmuir probe (LP). Here, LP is made of tungsten wire with a radius of 0.195 mm, and just a length of 10 mm is inserted into bulk plasma. A 5 mm probe tip is exposed to plasma, and the remaining 5 mm is coated with ceramic. The probe tip is embedded into the reactor via a side window port to diagnose the bulk plasma, as shown in Figure 1. The system has a computer-controlled power supply that can sweep the probe biasing voltage from −20 V to +50 V while keeping a constant step voltage of 0.5 V.
The probe current is recorded during the experiment, while the voltage varies concerning the reference grounded electrode and the chamber wall. The probe tip is cleaned before each measurement by applying a bias voltage of 150 V using electron bombardment to avoid contamination affecting the probe I-V characteristics. The cleaning process removes any contamination on the probe tip, which is essential for obtaining more reliable I-V characteristics. The electron density, electron temperature, plasma potential (Vp), floating potential (Vf), and EEDF are automatically derived from the built-in Impedans Ltd. (Dublin, Ireland) automated Langmuir probe software (SOFTWARE VERSION: 2.3.0) [13]. Plasma potential is measured utilizing the second derivative zero crossing approach [39], whereas the ne and Te are obtained from the I-V characteristics curve using the probe current. The calculation equations are as follows:
1 k T e = I ( V p ) V f V p I V d V
and
n e = I V p A p 2 π m e e 2 k B T e
Here, Equations (1) and (2) are generally deemed applicable for a Maxwellian distribution. k B is the Boltzmann constant, V f and V p are the floating and plasma potential, respectively, V is the probe biasing voltage concerning V p , and the probe current is I . A p is the probe area. e and the m e represent the charge and mass of the electron, respectively.
The EEDF is determined by using the second derivative of the I-V characteristics, and the Druyvesteyn method is based on the following [40,41,42]:
d 2 I e d V 2 = e 2 A p 4 2 e m e V 1 2 f e ε
Here, f e ε , ε , V , A p , m e , and e signifies the EEDF, the energy variable, the probe biasing voltage, the probe tip area, the electron mass, and the electron charge, respectively.

3. Experimental Results and Discussion

The experiment was carried out in a capacitively coupled plasma (CCP) chamber for a non-equilibrium Ar-O2 plasma by the AC power supply. The current and voltage waveform, as displayed in Figure 2a, provides a clear understanding of plasma discharge behavior under particular conditions. The experiment was conducted at a pressure of 0.5 mbar, with an apparent applied power of 100 W, and at 6 kHz frequency. The voltage and current waveforms exhibit a sinusoidal pattern with both signals being almost in phase. The consistent and repetitive patterns of the waveforms indicate that the plasma discharge is in a stable condition without significant instabilities. Figure 2b shows a graph of instantaneous power, alternating between positive and negative values, which support the sinusoidal characteristics of the voltage and current waveform. The observed behavior demonstrates effective energy transfer from the power supply to the plasma and indicates the relationship between the power source and the stability of the plasma.
The current-voltage (I-V) characteristics of the Langmuir probe are used to determine the various plasma parameters. Figure 2c displays the I-V curve obtained by applying a biasing voltage to a Langmuir probe ranging from −20 V to +50 V. The measurements were carried out in both argon and Ar-O2 plasma environments at a low pressure of 0.5 mbar. In both cases, the probe current increases with a rise in probe biasing voltage, which is characteristic of a plasma response to an electric field. The measurements obtained from the Langmuir probe provide essential information about the local plasma properties, such as electron density and electron temperature. However, it is important to note that these aforementioned measurements do not represent the total applied power to plasma. The 400 W applied power refers to the apparent power supplied to the plasma system by an external power supply and is not directly related to localized measurements taken by the Langmuir probe. The role of the applied power is to ensure that the plasma remains stable and operational across the entire chamber. The externally applied power was measured by the power supply utilizing the voltage regulator.
It is clear from the figure that the current rise is more gradual and occurs at a higher threshold voltage in Ar-O2 compared to the pure argon plasma. This behavior is typically due to the presence of oxygen, which is an electronegative gas. O2 molecules have greater electron affinity compared to argon and have a greater tendency to capture electrons, leading to lower overall electron density [13]. This results in higher attachment rates, which affects the I-V characteristics and the zero-crossing point.

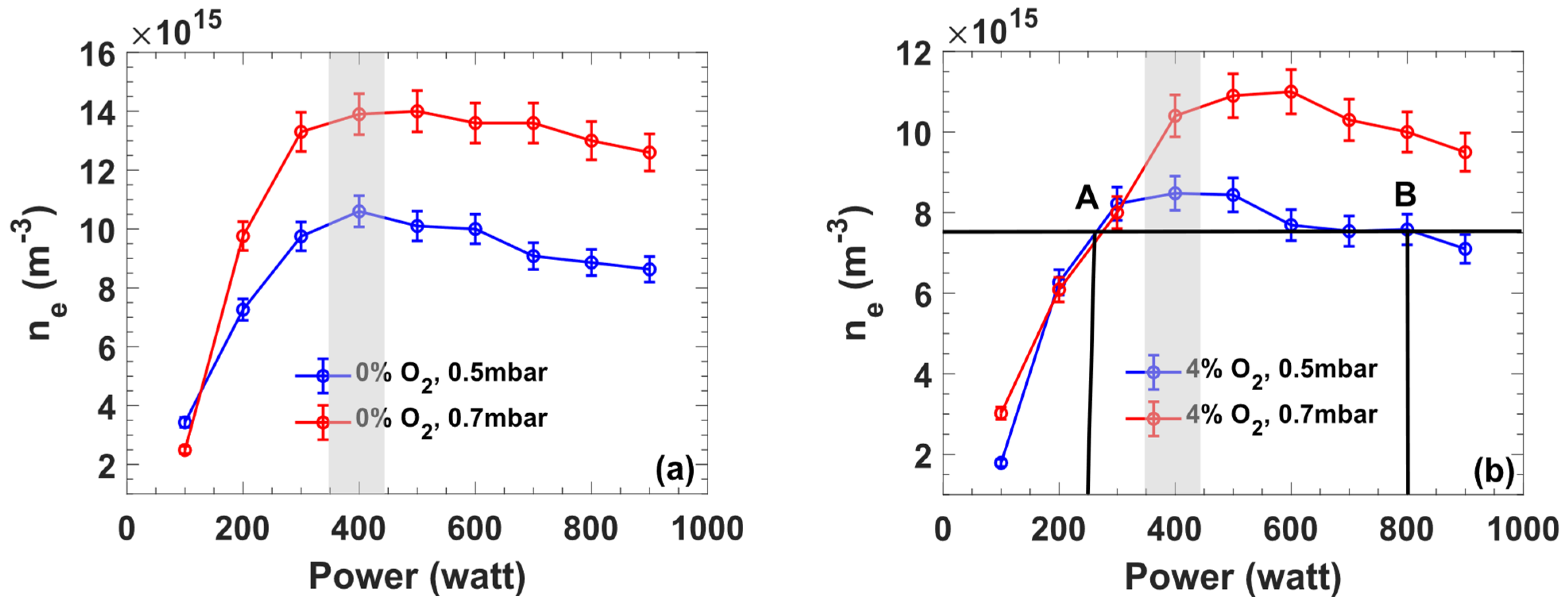
3.1. Plasma Electron Density

The density evolution of the Argon plasma and Ar-O2 mixture plasma is shown in Figure 3a,b as a function of applied power at different pressures. A nonlinear phenomenon of the n e change with AC power rising is observed in Figure 3. The trend of the density changes is similar at different gas pressures, both at 0% (pure argon) and 4% (volume percentage) O2 contents. A peak of the plasma density exists when the AC power is about 400 W, as shown in Figure 3 by the grey bar.
The electron density n e can be altered with the change in gas pressure and oxygen concentrations as a function of the AC power. The increasing trend of the plasma density was noted with the input power increases from 100 W to 300 W, as shown in Figure 3. It indicates that when the AC power increases, the electrons gain more energy due to the increased available electrical energy, which can create more ionizations to raise the electron density. When the AC power exceeds 400 W, the density decays with the increased applied power, as shown in Figure 3. The slight decrease or saturation in ne at high power could be attributed to energy redistribution among various processes. This redistribution occurs possibly due to a change in the balance of electron production and loss mechanism, leading to a saturation or decrease in the ne. The variations in electron density in pure argon and Ar-O2 mixture plasma with rising gas pressure are also noted. This increase in electron density may be due to the increased collision rates, which further enhanced the excitation and ionization. In addition, the mean free path of electrons reduces as pressure increases. A similar trend of electron density with increasing input RF power and filling gas pressure can be found in Ref. [8].
The existence of a plasma density peak may be valuable to obtain the needed densities in the low-temperature plasma because one can save the AC power based on the experimental goals. For example, if one hopes to obtain a plasma density of the Ar-O2 plasma of about 7 × 10 15   m 3 , one can set the AC power to about 250 W at the “A” point or about 800 W at the “B” point, as shown in Figure 3b by the black lines. The AC power at “A” point is more economically valuable to obtain the same plasma density. The plasma behavior at about 400 W of AC power is primarily studied because of the density peak.
Figure 4 shows the relationship between the Ar-O2 plasma density and the O 2 contents at 400 W of the AC power at 0.3 mbar and 0.5 mbar. With the fixed AC power (400 W) at both pressures, the trend of the n e is decayed with a rise in O 2 contents, as shown in Figure 4. The declining trend of the Ar-O2 plasma density has been reported in Ref. [13], which studied the evolution of the n e with different O 2 contents at fixed RF power (130 W) and fixed gas pressure (0.3 mbar), as shown in Figure 4.
A comparison of different discharge types between the AC-powered and the RF-powered is shown in Table 1. This comparison aims to observe the trends in electron density (ne) with the addition of O2 contents. The finding shows that incorporating O2 contents into argon produces a decreasing trend of ne similar to the one observed in RF plasma. The existing RF studies were carried out specifically at 4%, 8%, and 12%, respectively. This comparison implies that AC capacitively coupled Ar-O2 plasma could be useful under vacuum conditions.

3.2. Electron Temperature

The Te is another significant parameter in the Ar-O2 plasma. Using the similar study method as mentioned above, we compared the results of the evolution of the Te with different AC power and different gas pressures. The Te is measured at 0.5 mbar and 0.7 mbar as a function of the AC power rising, respectively, as shown in Figure 5a. Here, the blue curve is the evolution of the Te at 0.5 mbar, and the red curve is the evolution of the Te at 0.7 mbar. Figure 5a indicates a decreasing trend in Te with both applied power and filling gas pressure while O2 contents are maintained fixed. This declining tendency with rising applied AC power is caused by an increase in ne, which raises the frequency of electron-electron collisions relative to electron-neutral collisions and lowers the Te [38].
Similarly, the electron temperature decreases with increasing filling gas pressure at a fixed frequency and O2 contents, as depicted in Figure 5a. This decrease can be accredited to the higher collision rate caused by increased pressure, which leads to energy being utilized in collisional processes like excitation, dissociation, and ionization. On the other hand, the increase in the electron temperature with the addition of O2 contents is shown by the blue curve in Figure 5b. The addition of O2 contents causes the generation of vibrational and rotational excited states via electron collisions, which compete with electron impact ionization. Consequently, ionization decreases as electrons within the plasma are reduced through dissociative attachments and recombination with oxygen atoms and O2 molecules. As a result, electron density decreases, reducing electron–electron collisions and allowing for a higher value of electron temperature.
The evolution of the Te by the AC power is also compared with the previous result [13] by the RF generator. A good agreement is observed between this work and the earlier results by the RF plasma, although the discharge types are different. The comparison indicates that the different discharge types, the AC power supply, and the RF power supply can cause similar behaviors in the Ar-O2 low-pressure plasma. However, AC-powered plasma has slightly higher Te than RF plasma, possibly due to the difference in the power deposition mechanism. In AC, power is directly deposited into the plasma by the electrodes, while in RF, power is transmitted to the plasma through the sheath, resulting in reduced energy transfer to the electrons and, consequently, lower Te than AC-powered discharge. This comparison is more clearly displayed in Table 2.
Note: The purpose of the inclusion of two curves for AC power in Figure 5b is to show the effect of AC power for two different pressures as a function of oxygen contents. To compare the behavior of electron temperature with AC power at the same pressure (0.3 mbar), a curve for RF power at 0.3 mbar is also displayed.

3.3. Electron Energy Distribution Function (EEDF)

To understand the dynamic behaviors of the Ar-O2 plasma, the Electron Energy Distribution Function (EEDF) has also been studied, even though we have compared the ne and the Te in different discharge types. The EEDF of the low-temperature plasma describes both the heating process and the numerous collisional processes [13,43,44]. Figure 6a shows the variation of EEDF in different gas pressures while fixed AC power and oxygen concentration. Figure 6b shows the variation of EEDF in different AC power while at fixed oxygen concentration and fixed pressure. The graph clearly shows the low-energy and high-energy electrons at any specific power and pressure. Generally, the peak at lower energies corresponds to the low-energy electrons, while the high-energy electrons correspond to the peak at higher energies. Note: according to the definition, the energy distribution of low-energy electrons is usually in the range of several electron volts. These low-energy electrons are primarily responsible for the plasma chemical reactions and play a crucial role in plasma sustaining. High-energy electrons typically have energies ranging from ten to a few tens of eV [14,15,29]. They are responsible for plasma heating, ionization, and excitation of the gas or mixture of gases.
The trend in Figure 6a indicates a reduction in the low-energy (particularly ≤ 3 eV) electron population with a rise in gas pressure at constant applied power, suggesting that initial energy transfer to the gas molecules via elastic collision without causing ionization. Concurrently, as pressure increases, electrons may absorb energy through inelastic collisions, which enhances the excitation and ionization processes, contributing to the increased electron population at energies beyond 3 eV. Lee et al. discussed the shift toward a bi-Maxwellian distribution and an increase in low-energy electrons with gas pressure in oxygen and argon plasma [14]. A similar study has been documented in Ref. [45]. The non-Maxwellian shape is typical of the non-thermal plasmas such as those used for material processing and sterilization, where electron energy is often dictated by a balance between electric field acceleration and collisional cooling processes.
Figure 6b shows the EEDF at two different applied powers in Ar-O2 plasma at fixed gas pressure. At the low input power of ~200 W, there is a higher concentration of high-energy electrons, while the high input power results in larger population of low-energy electrons, showing more efficient energy transfer to the plasma at ~600 W. This also might be possible that at high power, more electrons utilize their energy in inelastic collisions (exciting or ionizing gas atoms or molecules), leading to a reduction in the high-energy tail of the EEDF [46]. A pivotal energy level is identified by the precise crossover point at which the populations equalize for both the input power. Below this point, low-energy electron density increases with higher power, and above it decreases. This has an impact on the dynamics of chemical reactions in the plasma, where high-energy electrons drive ionization and excitation processes, and low-energy electrons facilitate adsorption and surface reactions.
These characteristics of the Ar-O2 plasma by the AC power are similar to the case of the RF capacitively coupled plasma [13]. Experimental results suggest that this preliminary experiment on the low-pressure Ar-O2 plasma generated by low-frequency AC power is worth studying and expanding on in the future.

3.4. Bacterial Inactivation by AC Plasma Treatment

Although causing fewer diseases and relatively less economic damage than fungi or viruses, plant pathogenic bacteria negatively impact the economic condition in many agricultural countries [47].
This study aims to evaluate the efficiency of low-frequency AC power supply generated Ar-O2 plasma at low-pressure conditions for sterilizing pathogenic bacteria, a Xanthomonas campestris pv. Vesicatoria (X. c. pv. vesicatoria), which is recognized for causing bacterial spot disease in plants, particularly affecting tomatoes, was treated. A bacterial suspension with a specific concentration of X. c. pv. Vesicatoria, roughly containing 106 CFU/mL, was prepared and spread across the Petri dish. The prepared sample was carefully placed on the lower electrode. Subsequently, Ar-O2 (4% O2) was applied at a frequency of 6 kHz, maintaining a pressure of 0.5 mbar and utilizing 400 W AC power for the plasma treatment process. Photographs of untreated and treated samples of X. c. pv. vesicatoria are shown in Figure 7a–d, respectively. Following the Ar-O2 plasma treatment, the samples were kept in the incubator for 72 h under 28 °C to observe the bacterial growth of untreated and treated samples. Our findings revealed a significant reduction of almost 75% in bacterial growth following plasma treatment for 180 s, as shown in Figure 7e. This promising result underscores the potential application of non-thermal plasma driven by a low-frequency AC power supply at lower pressures as an effective means of controlling and mitigating the impact of plant pathogens, offering a sustainable and environmentally friendly approach to enhance crop health and yield.
A detailed comparison between AC and RF power generators across multiple features is provided in Table 3.

4. Conclusions

This study explored the characteristics and potential applications of non-thermal Ar-O2 plasma generated by a low-frequency AC power supply under vacuum conditions. The study found that AC-generated plasma provides distinct advantages over conventional RF plasma systems, including cost-effectiveness, portability, and less electromagnetic interference, rendering it a promising choice for various industrial and biomedical applications. Findings suggested that electron density and electron temperature could be efficiently controlled by adjusting the applied power and pressure. The plasma behavior at about 400 W was studied as this work’s main point. The EEDF was studied to understand the dynamic behaviors of the Ar-O2 plasma in the AC power conditions. The non-Maxwellian shape of the EEDF in the Ar-O2 plasma is characterized by the population of low and high-energy electrons depending on the applied power and pressure.
Significantly, the utilization of AC power generated plasma for inactivating X. c. pv. vesicatoria showed a notable reduction of 75% in bacterial growth after plasma treatment for 180 s at 6 kHz. This suggests that the simple and cost-effective AC-powered non-thermal plasma may be a viable and environmentally friendly method in agricultural and biomedical sterilization processes. Future research could explore the optimization of plasma parameters and extend the application of this technology to other fields.

Author Contributions

Conceptualization, N.W., W.X., N.U.R. and Q.Y.; Methodology, N.W., W.X., Q.U.D., N.U.R., C.W., J.M. and W.Z.; Software, N.W., J.M. and W.Z.; Validation, W.X. and N.U.R.; Formal analysis, N.W., W.X., C.W., J.M. and W.Z.; Investigation, N.W., W.X., Q.U.D., N.U.R., C.W. and Q.Y.; Resources, W.X.; Data curation, N.W. and Q.U.D.; Writing—original draft, N.W.; Writing—review & editing, N.W., W.X., N.U.R. and Q.Y.; Visualization, N.W., W.X. and N.U.R.; Supervision, W.X.; Project administration, W.X.; Funding acquisition, W.X. All authors have read and agreed to the published version of the manuscript.

Funding

This work is supported by the National Natural Science Foundation of China (Grant No. 11875234).

Data Availability Statement

This manuscript has no associated data. The data that support the findings of this study are available from the corresponding author upon reasonable request.

Acknowledgments

The authors thank Kamal Hussain and Zakia Anjum for their experimental support.

Conflicts of Interest

The authors do not have any relevant financial or non-financial interests to declare.

References

  1. Scholtz, V.; Jirešová, J.; Fišer, L.; Obrová, K.; Sláma, M.; Klenivskyi, M.; Khun, J.; Vaňková, E. Non-thermal plasma disinfecting procedure is harmless to delicate items of everyday use. Sci. Rep. 2023, 13, 15479. [Google Scholar] [CrossRef]
  2. Iqbal, W.; ur-Rehman, N.; Wali, N. Synthesis and structural analysis of graphene nanosheets via microwave atmospheric pressure plasma. Int. J. Mod. Phys. B 2024, 2540043. [Google Scholar] [CrossRef]
  3. Stryczewska, H.D.; Boiko, O. Applications of plasma produced with electrical discharges in gases for agriculture and biomedicine. Appl. Sci. 2022, 12, 4405. [Google Scholar] [CrossRef]
  4. Gutiérrez-León, D.G.; Serrano-Ramírez, T.; López-Callejas, R.; Rodríguez-Méndez, B.G. Non-Thermal Plasma as an Alternative to Enhance the Early Growth Structures in Lentil Plants. Agronomy 2022, 12, 2920. [Google Scholar] [CrossRef]
  5. Todorova, Y.; Benova, E.; Marinova, P.; Yotinov, I.; Bogdanov, T.; Topalova, Y. Non-Thermal Atmospheric Plasma for Microbial Decontamination and Removal of Hazardous Chemicals: An Overview in the Circular Economy Context with Data for Test Applications of Microwave Plasma Torch. Processes 2022, 10, 554. [Google Scholar] [CrossRef]
  6. Safaai, S.S.; Agun, L.; Redzuan, N.; Ahmad, N. Atmosphere Non-Thermal Plasma for Seed Treatment. In Emerging Developments and Applications of Low Temperature Plasma; IGI Global: Hershey, PA, USA, 2022; pp. 131–148. [Google Scholar]
  7. Manzoor, N.; Qasim, I.; Khan, M.I.; Ahmed, M.W.; Guedri, K.; Bafakeeh, O.T.; Tag-Eldin, E.S.M.; Galal, A. Antibacterial Applications of Low-Pressure Plasma on Degradation of Multidrug Resistant V. cholera. Appl. Sci. 2022, 12, 9737. [Google Scholar] [CrossRef]
  8. Elaissi, S.; Alkallas, F.H.; Ben Gouider Trabelsi, A.; Abu El Maati, L.; Charrada, K. Optimal Discharge Parameters for Biomedical Surface Sterilization in Radiofrequency AR/O2 Plasma. Energies 2022, 15, 1589. [Google Scholar] [CrossRef]
  9. Dyatko, N.A.; Ionikh, Y.Z.; Napartovich, A.P. Influence of Nitrogen Admixture on Plasma Characteristics in a dc Argon Glow Discharge and in Afterglow. Atoms 2019, 7, 13. [Google Scholar] [CrossRef]
  10. Yin, G.; Gao, S.; Liu, Z.; Yuan, Q. The discharge characteristics of low-pressure capacitively coupled argon plasma with Langmuir probe. Phys. Lett. A 2022, 426, 127910. [Google Scholar] [CrossRef]
  11. Yin, G.Q.; Wang, J.J.; Yuan, Q.H. The Discharge Characteristics of Capacitively Coupled Ar Plasma as the Change of Pressure. Plasma Phys. Rep. 2023, 49, 802–807. [Google Scholar] [CrossRef]
  12. Neogi, S. Inactivation characteristics of bacteria in capacitively coupled argon plasma. IEEE Trans. Plasma Sci. 2009, 37, 2347–2352. [Google Scholar]
  13. Anjum, Z.; Rehman, N.U. Temporal evolution of plasma parameters in a pulse-modulated capacitively coupled Ar/O2 mixture discharge. AIP Adv. 2020, 10, 115005. [Google Scholar] [CrossRef]
  14. Lee, M.H.; Lee, H.C.; Chung, C.-W. Comparison of pressure dependence of electron energy distributions in oxygen capacitively and inductively coupled plasmas. Phys. Rev. E 2010, 81, 046402. [Google Scholar] [CrossRef] [PubMed]
  15. Chung, C.; Chang, H.Y. Heating-mode transition in the capacitive mode of inductively coupled plasmas. Appl. Phys. Lett. 2002, 80, 1725–1727. [Google Scholar] [CrossRef]
  16. Godyak, V.A.; Piejak, R.B.; Alexandrovich, B.M. Measurement of electron energy distribution in low-pressure rf discharges. Plasma Sources Sci. Technol. 1992, 1, 36–58. [Google Scholar] [CrossRef]
  17. Melzer, A.; Flohr, R.; Piel, A. Comparison of probe measurements and emission spectroscopy in a radiofrequency discharge. Plasma Sources Sci. Technol 1995, 4, 424–431. [Google Scholar] [CrossRef]
  18. Mussenbrock, T.; Brinkmann, R.P. Nonlinear electron resonance heating in capacitive radio frequency discharges. Appl. Phys. Lett. 2006, 88, 151503. [Google Scholar] [CrossRef]
  19. Surendra, M.; Graves, D.B.; Morey, I.J. Electron heating in low-pressure rf glow discharges. Appl. Phys. Lett. 1990, 56, 1022–1024. [Google Scholar] [CrossRef]
  20. Han, X.; Wei, X.; Xu, H.; Zhang, W.; Li, Y.; Li, Y.; Yang, Z. Investigation on the parameter distribution of Ar/O2 inductively coupled plasmas. Vacuum 2019, 168, 108821. [Google Scholar] [CrossRef]
  21. Chung, T.H.; Ra-Kang, H.; Keun Bae, M. Optical emission diagnostics with electric probe measurements of inductively coupled Ar/O2/Ar-O2 plasmas. Phys. Plasmas 2012, 19, 113502. [Google Scholar] [CrossRef]
  22. Hsu, C.-C.; Nierode, M.A.; Coburn, J.W.; Graves, D.B. Comparison of model and experiment for Ar, Ar/O2 and Ar/O2/Cl2 inductively coupled plasmas. J. Phys. D Appl. Phys. 2006, 39, 3272. [Google Scholar] [CrossRef]
  23. Gudmundsson, J.T.; Marakhtanov, A.M.; Patel, K.K.; Gopinath, V.P.; Lieberman, M.A. On the plasma parameters of a planar inductive oxygen discharge. J. Phys. D Appl. Phys. 2000, 33, 1323–1331. [Google Scholar] [CrossRef]
  24. Lazzaroni, C.; Baba, K.; Nikravech, M.; Chabert, P. Model of a low-pressure radio-frequency inductive discharge in Ar/O2 used for plasma spray deposition. J. Phys. D. Appl. Phys. 2012, 45, 485207. [Google Scholar] [CrossRef]
  25. Liu, W.; Wen, D.Q.; Zhao, S.X.; Gao, F.; Wang, Y.N. Characterization of O2/Ar inductively coupled plasma studied by using a Langmuir probe and global model. Plasma Sources Sci. Technol. 2015, 24, 025035. [Google Scholar] [CrossRef]
  26. Pulpytel, J.; Morscheidt, W.; Arefi-Khonsari, F. Probe diagnostics of argon-oxygen-tetramethyl tin capacitively coupled plasmas for the deposition of tin oxide thin films. J. Appl. Phys. 2007, 101, 073308. [Google Scholar] [CrossRef]
  27. Asghar, A.H.; Galaly, A.R. The Effect of oxygen admixture with argon discharges on the impact parameters of atmospheric pressure plasma jet characteristics. Appl. Sci. 2021, 11, 6870. [Google Scholar] [CrossRef]
  28. Li, S.Z.; Wu, Q.; Zhang, J.; Wang, D.; Uhm, H.S. Discharge characteristics of a radio-frequency capacitively coupled Ar/O2 glow discharge at atmospheric pressure. Thin Solid Film. 2011, 519, 6990–6993. [Google Scholar] [CrossRef]
  29. Tsutsumi, T.; Greb, A.; Gibson, A.R.; Hori, M.; O’Connell, D.; Gans, T. Investigation of the radially resolved oxygen dissociation degree and local mean electron energy in oxygen plasmas in contact with different surface materials. J. Appl. Phys. 2017, 121, 143301. [Google Scholar] [CrossRef]
  30. Fiebrandt, M.; Lackmann, J.W.; Stapelmann, K. From patent to product? 50 years of low-pressure plasma sterilization. Plasma Process. Polym. 2018, 15, 1800139. [Google Scholar] [CrossRef]
  31. Bera, K.; Rauf, S.; Collins, K. Plasma dynamics in low-pressure capacitively coupled oxygen plasma using PIC–MCC/fluid hybrid model. IEEE Trans. Plasma Sci. 2011, 39, 2576–2577. [Google Scholar] [CrossRef]
  32. Komarzyniec, G.; Aftyka, M. Operating Problems of Arc Plasma Reactors Powered by AC/DC/AC Converters. Appl. Sci. 2020, 10, 3295. [Google Scholar] [CrossRef]
  33. Li, J.; Wu, F.; Nie, L.; Lu, X.; Ostrikov, K. The production efficiency of reactive oxygen and nitrogen species (RONS) of AC and pulse-DC plasma jet. IEEE Trans. Plasma Sci. 2020, 48, 4204. [Google Scholar] [CrossRef]
  34. Ochs, D.; Rettich, T. Advanced Power Supplies designed for Plasma Deposition and Etching. Vak. Forsch. Prax. 2006, 18, 32–36. [Google Scholar] [CrossRef]
  35. Cogollo de Cádiz, M.; López Arrabal, A.; Díaz Lantada, A.; Aguirre, M.V. Materials degradation in non-thermal plasma generators by corona discharge. Sci. Rep. 2021, 11, 24175. [Google Scholar] [CrossRef]
  36. Liu, Y.X.; Zhang, Q.Z.; Zhao, K.; Zhang, Y.R.; Gao, F.; Song, Y.H.; Wang, Y.N. Fundamental study towards a better understanding of low-pressure radio-frequency plasmas for industrial applications. Chin. Phys. B 2022, 31, 085202. [Google Scholar] [CrossRef]
  37. Rossi, F.; Kylián, O.; Hasiwa, M. Decontamination of surfaces by low pressure plasma discharges. Plasma Process. Polym. 2006, 3, 431–442. [Google Scholar] [CrossRef]
  38. Anjum, Z.; Younus, M.; Hasiwa, N.U. Evolution of plasma parameters in capacitively coupled He-O2/Ar mixture plasma generated at low pressure using 13.56 MHz generator. Phys. Scr. 2020, 95, 045403. [Google Scholar] [CrossRef]
  39. Schiesko, L.; Franzen, P.; Fantz, U. Investigation of the magnetic field influence on the plasma parameter homogeneity in a large H−/D− R.F. ion source relevant for ITER. Plasma Sources Sci. Technol. 2012, 21, 065007. [Google Scholar] [CrossRef][Green Version]
  40. Godyak, V.A.; Alexandrovich, B.M. Comparative analyses of plasma probe diagnostics techniques. J. Phys. D Appl. Phys. 2015, 118, 233302. [Google Scholar] [CrossRef]
  41. Demidov, V.I.; Ratynskaia, S.V.; Rypdal, K. Electric probes for plasmas: The link between theory and instrument. Rev. Sci. Instrum. 2002, 73, 3409–3439. [Google Scholar] [CrossRef]
  42. Godyak, V.A.; Demidov, V.I. Probe measurements of electron-energy distributions in plasmas: What can we measure and how can we achieve reliable results. J. Phys. D Appl. Phys. 2011, 44, 233001. [Google Scholar] [CrossRef]
  43. Chen, X.; Tan, Z.; Liu, Y.; Wang, X.; Li, X. Effects of oxygen concentration on the electron energy distribution functions in atmospheric pressure helium/oxygen and argon/oxygen needle-electrode plasmas. J. Phys. D Appl. Phys. 2018, 51, 375202. [Google Scholar] [CrossRef]
  44. Abdel-Fattah, E.; Bazavan, M.; Sugai, H. Electron energy distribution functions measured by Langmuir probe with optical emission spectroscopy in very high-frequency capacitive discharge in nitrogen. Phys. Plasmas 2012, 19, 113503. [Google Scholar] [CrossRef]
  45. Abdel-Fattah, E.; Sugai, H. Combined effects of gas pressure and exciting frequency on electron energy distribution functions in hydrogen capacitively coupled plasmas. Phys. Plasmas 2013, 20, 023501. [Google Scholar] [CrossRef]
  46. Choi, S.Y.; Minami, W.; Kim, L.H.; Kim, H.J. Characteristics of 2.45 GHz microwave plasma by Langmuir probe measurements. Solid State Phenom. 2007, 124, 1621–1624. [Google Scholar] [CrossRef]
  47. Adhikari, B.; Pangomm, K.; Veerana, M.; Mitra, S.; Park, G. Plant disease control by non-thermal atmospheric-pressure plasma. Front. Plant Sci. 2020, 11, 77. [Google Scholar] [CrossRef] [PubMed]
  48. Anon. Available online: https://www.alibaba.com/product-detail/RF-2KW-plasma-generator-issuitable_1600818946549.html (accessed on 19 May 2023).
  49. Lei, F.; Li, X.; Liu, Y.; Liu, D.; Yang, M.; Xie, K.; Yao, B. An amplitude modulated radio frequency plasma generator. Phys. Plasmas 2017, 24, 043513. [Google Scholar] [CrossRef]
  50. Gupta, A.; Arondekar, Y.; Ravindranath, S.V.G.; Krishnaswamy, H.; Jagatap, B.N. A 13.56 MHz high power and high efficiency R.F. source. In Proceedings of the IEEE MTT-S International Microwave Symposium Digest (MTT), Seattle, WA, USA, 2–7 June 2013. [Google Scholar]
  51. Stam, R. Occupational exposure to radiofrequency electromagnetic fields. Ind. Health 2021, 60, 201–215. [Google Scholar] [CrossRef] [PubMed]
  52. International Commission on Non-Ionizing Radiation Protection (ICNIRP), International Labour Office, & World Health Organization. Safety in the Use of Radiofrequency Dielectric Heaters and Sealers: A Practical Guide (Occupational Safety and Health Series No. 71); International Labour Office, 1998; ISBN 92-2-110333-1. [Google Scholar]
Figure 1. Schematic diagram of the AC capacitively coupled experimental setup with installed single Langmuir probe to study the low-frequency Ar-O2 plasma discharge.
Figure 1. Schematic diagram of the AC capacitively coupled experimental setup with installed single Langmuir probe to study the low-frequency Ar-O2 plasma discharge.
Processes 12 01858 g001
Figure 2. (a) Current–voltage waveform; (b) the instantaneous power as a function of time. The experiment was conducted at 4% oxygen content, 100 W applied AC power, 6 kHz fixed frequency, and 0.5 mbar pressure. (c) The I-V characteristics of AC power supply generated Argon and Ar-O2 (O2, 4%) plasma at ~400 W and 0.5 mbar.
Figure 2. (a) Current–voltage waveform; (b) the instantaneous power as a function of time. The experiment was conducted at 4% oxygen content, 100 W applied AC power, 6 kHz fixed frequency, and 0.5 mbar pressure. (c) The I-V characteristics of AC power supply generated Argon and Ar-O2 (O2, 4%) plasma at ~400 W and 0.5 mbar.
Processes 12 01858 g002
Figure 3. (a) Represents the evolution of the n e with different AC power supply of Argon plasma, (b) the evolution of the n e with different AC power supplies of Ar-O2 plasma at 0.5 mbar and 0.7 mbar, respectively. The grey bars show a plasma density peak when the AC power is at ~400 W and 0.5 mbar.
Figure 3. (a) Represents the evolution of the n e with different AC power supply of Argon plasma, (b) the evolution of the n e with different AC power supplies of Ar-O2 plasma at 0.5 mbar and 0.7 mbar, respectively. The grey bars show a plasma density peak when the AC power is at ~400 W and 0.5 mbar.
Processes 12 01858 g003
Figure 4. The evolution of the n e with different O 2 contents at fixed AC power ~400 W for two different gas pressures ~0.3 mbar and ~0.5 mbar, and the evolution of the n e with different O 2 contents at fixed RF power ~130 W and fixed gas pressure ~0.3 mbar. Similar trends of density changes are observed for both types of discharges. The RF curve is deduced from the Figure 4c of Ref. [13].
Figure 4. The evolution of the n e with different O 2 contents at fixed AC power ~400 W for two different gas pressures ~0.3 mbar and ~0.5 mbar, and the evolution of the n e with different O 2 contents at fixed RF power ~130 W and fixed gas pressure ~0.3 mbar. Similar trends of density changes are observed for both types of discharges. The RF curve is deduced from the Figure 4c of Ref. [13].
Processes 12 01858 g004
Figure 5. (a) Represents the evolution of the T e with different AC power at 0.5 mbar and 0.7 mbar, respectively. (b) a comparison of the Te in different discharge types by the AC power supply and the RF power supply. The RF curve is deduced from the Figure 5c of Ref. [13].
Figure 5. (a) Represents the evolution of the T e with different AC power at 0.5 mbar and 0.7 mbar, respectively. (b) a comparison of the Te in different discharge types by the AC power supply and the RF power supply. The RF curve is deduced from the Figure 5c of Ref. [13].
Processes 12 01858 g005
Figure 6. (a) Represents the EEDF at fixed AC input power, and (b) illustrates the EEDF at fixed pressure. The blue arrow shows that the EEDF is non-Maxwellian.
Figure 6. (a) Represents the EEDF at fixed AC input power, and (b) illustrates the EEDF at fixed pressure. The blue arrow shows that the EEDF is non-Maxwellian.
Processes 12 01858 g006
Figure 7. Photographs of (a) untreated X. c. pv. vesicatoria bacteria sample, (b) Ar-O2 plasma treatment, (c) treated for 90 s, and (d) treated for 180 s, (e) the number of survival colonies after Ar-O2 (4% oxygen contents) plasma treatment. The treatment was carried out at a fixed frequency of 6 kHz, 0.5 mbar pressure, and power of 400 W.
Figure 7. Photographs of (a) untreated X. c. pv. vesicatoria bacteria sample, (b) Ar-O2 plasma treatment, (c) treated for 90 s, and (d) treated for 180 s, (e) the number of survival colonies after Ar-O2 (4% oxygen contents) plasma treatment. The treatment was carried out at a fixed frequency of 6 kHz, 0.5 mbar pressure, and power of 400 W.
Processes 12 01858 g007
Table 1. Comparative electron density (ne) values for AC and RF plasma at various O2 contents.
Table 1. Comparative electron density (ne) values for AC and RF plasma at various O2 contents.
O2 Content (%)ne (m−3)
0.5 mbar AC Power
ne (m−3)
0.3 mbar AC Power
ne (m−3)
0.3 mbar RF Power
01.06 × 10166.47e × 10151.05 × 1016
29.36 × 10156.25 × 1015-
48.48 × 10156.19 × 10153.91 × 1015
68.50 × 10155.85 × 1015-
88.48 × 10155.78 × 10153.18 × 1015
12--2.28 × 1015
Table 2. Comparative electron temperature values for AC and RF plasma at various O2 contents.
Table 2. Comparative electron temperature values for AC and RF plasma at various O2 contents.
O2 Content (%)Te (eV)
0.5 mbar AC Power
Te (eV)
0.3 mbar AC Power
Te (eV)
0.3 mbar RF Power
03.834.752.73
25.375.46-
45.976.874.01
64.956.69-
85.297.054.35
12--5.51
Table 3. A comparison between the AC and the RF power generators.
Table 3. A comparison between the AC and the RF power generators.
FeaturesR.F. SourceAC Power Supply
CostHigh price [48]Cheaper than RF power generator
Compatibility Versatile [49]Compatible with most devices
Power OutputHigh power output [50]~1000 VA of power output
Frequency RangeHigh frequency [49,50]Low frequency up to 10 kHz
PortabilityInconveniently moveable, a matching network is required [49]Portable
NoiseRequire filtering or shielding [49]Low distortion and noise
SafetyPotential exposure to radiation [51,52]Safer
Disclaimer/Publisher’s Note: The statements, opinions and data contained in all publications are solely those of the individual author(s) and contributor(s) and not of MDPI and/or the editor(s). MDPI and/or the editor(s) disclaim responsibility for any injury to people or property resulting from any ideas, methods, instructions or products referred to in the content.

Share and Cite

MDPI and ACS Style

Wali, N.; Xiao, W.; Din, Q.U.; Rehman, N.U.; Wang, C.; Ma, J.; Zhong, W.; Yang, Q. Preliminary Exploration of Low Frequency Low-Pressure Capacitively Coupled Ar-O2 Plasma. Processes 2024, 12, 1858. https://doi.org/10.3390/pr12091858

AMA Style

Wali N, Xiao W, Din QU, Rehman NU, Wang C, Ma J, Zhong W, Yang Q. Preliminary Exploration of Low Frequency Low-Pressure Capacitively Coupled Ar-O2 Plasma. Processes. 2024; 12(9):1858. https://doi.org/10.3390/pr12091858

Chicago/Turabian Style

Wali, Niaz, Weiwen Xiao, Qayam Ud Din, Najeeb Ur Rehman, Chiyu Wang, Jiatong Ma, Wenjie Zhong, and Qiwei Yang. 2024. "Preliminary Exploration of Low Frequency Low-Pressure Capacitively Coupled Ar-O2 Plasma" Processes 12, no. 9: 1858. https://doi.org/10.3390/pr12091858

APA Style

Wali, N., Xiao, W., Din, Q. U., Rehman, N. U., Wang, C., Ma, J., Zhong, W., & Yang, Q. (2024). Preliminary Exploration of Low Frequency Low-Pressure Capacitively Coupled Ar-O2 Plasma. Processes, 12(9), 1858. https://doi.org/10.3390/pr12091858

Note that from the first issue of 2016, this journal uses article numbers instead of page numbers. See further details here.

Article Metrics

Back to TopTop