Construction of Fe2O3-CuO Heterojunction Photoelectrode for Enhanced Efficiency of Solar Redox Flow Batteries
Abstract
1. Introduction
2. Materials and Methods
2.1. Preparation of Fe2O3-CuO Heterojunction Photoelectrode
2.2. Preparation of DES and Electrolyte
2.3. Electrochemical and Photoelectrochemical Test
3. Results
3.1. Photoelectrochemical Performance
3.2. Physical Properties of Fe2O3-CuO Heterojunction Photoelectrode
3.3. Performance of Fe2O3-CuO Heterojunction Photoelectrode on SRFBs Using DES Electrolyte
4. Conclusions
- (1)
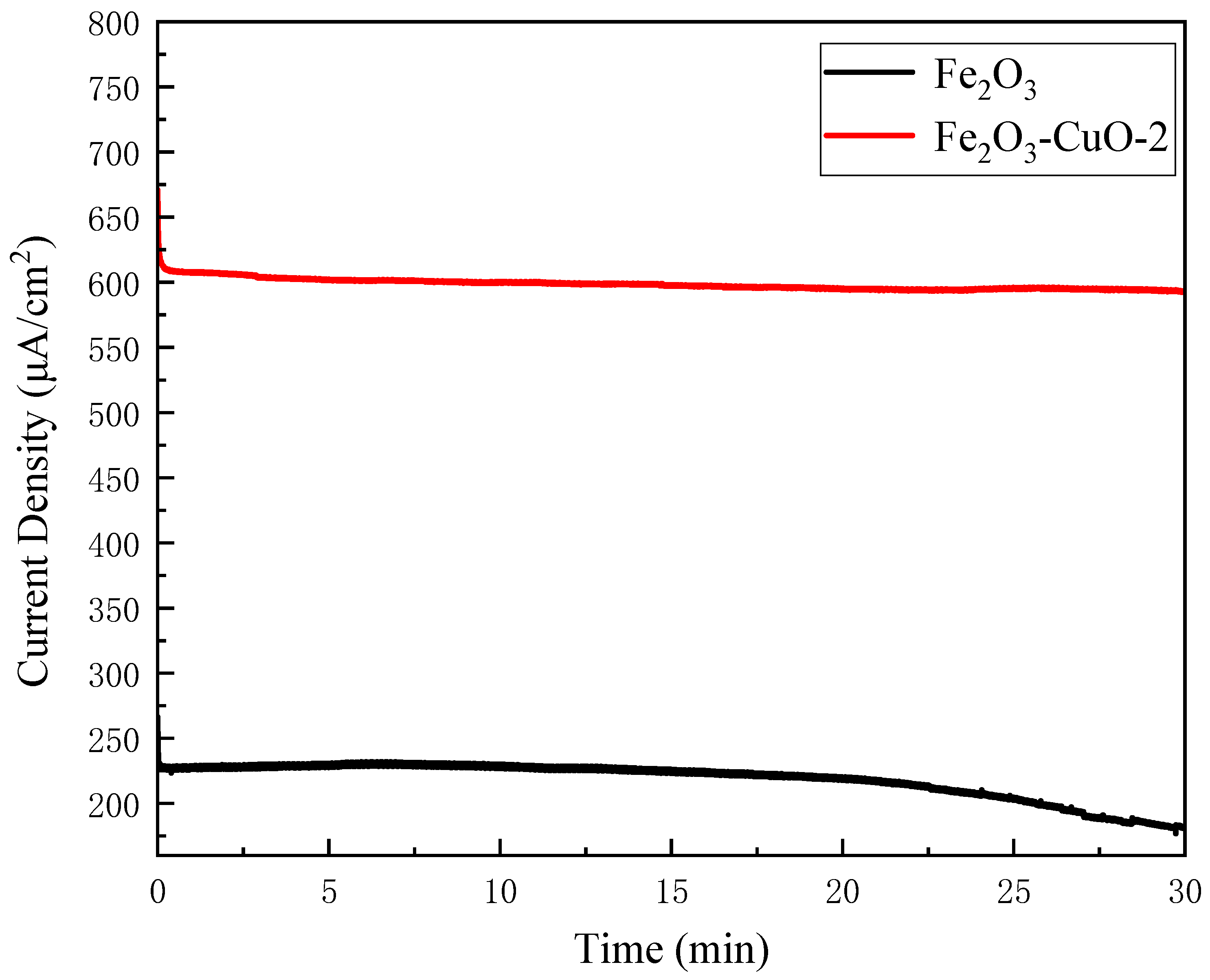
- In comparison to standalone Fe2O3 photoelectrodes, the fabricated Fe2O3/CuO-2 photoelectrode exhibits remarkable photocharging capabilities, surpassing both Fe2O3 and commercial TiO2 photoelectrodes by a wide margin.
- (2)
- Notably, the Fe2O3/CuO-2 photoelectrode boasts an average current density of 598.68 μA∙cm−2, significantly higher than the 218.34 μA∙cm−2 of the Fe2O3 photoelectrode and the 116.21 μA∙cm−2 of the TiO2 photoelectrode.
- (3)
- Specifically, its charging current density is 2.74 times and 5.15 times that of the Fe2O3 and TiO2 photoelectrodes, respectively.
Author Contributions
Funding
Data Availability Statement
Conflicts of Interest
References
- Yu, M.; McCulloch, W.D.; Beauchamp, D.R.; Huang, Z.; Ren, X.; Wu, Y. Aqueous lithium–iodine solar flow battery for the simultaneous conversion and storage of solar energy. J. Am. Chem. Soc. 2015, 137, 8332–8335. [Google Scholar]
- Lu, P.; Sun, P.; Ma, Q.; Su, H.; Leung, P.; Yang, W.; Xu, Q. Rationally Designed Ternary Deep Eutectic Solvent Enabling Higher Performance for Non-Aqueous Redox Flow Batteries. Processes 2022, 10, 649. [Google Scholar] [CrossRef]
- Miao, J.; Yang, Y.; Cui, P.; Ru, C.; Zhang, K. Improving Charge Transfer Beyond Conventional Heterojunction Photoelectrodes: Fundamentals, Strategies and Applications. Adv. Funct. Mater. 2024, 2406443. [Google Scholar] [CrossRef]
- Lu, P.; Gu, Z.; Zhang, Z.; Su, H.; Ma, Q.; Li, C.; Wei, L.; Xu, Q. Outside-to-inside: Efficacy comparation of Mn bulk and surface-doped TiO2{201} in E-fueled solar flow battery system. Surf. Interfaces 2024, 46, 104174. [Google Scholar]
- Kim, Y.; Seo, J.-W.; Lee, I.-H.; Kim, J.-Y. Investigating the Influence of PbS Quantum Dot-Decorated TiO2 Photoanode Thickness on Photoelectrochemical Hydrogen Production Performance. Materials 2024, 17, 225. [Google Scholar]
- Wakatsuki, N.; Tojo, T. Fabrication of Titanium Oxide Thin-Film Electrodes with Photocatalytic Activities and an Evaluation of Their Photoelectrochemical Properties. Eng. Proc. 2023, 55, 57. [Google Scholar] [CrossRef]
- Costa, M.B.; de Araújo, M.A.; Tinoco, M.V.d.L.; Brito, J.F.d.; Mascaro, L.H. Current trending and beyond for solar-driven water splitting reaction on WO3 photoanodes. J. Energy Chem. 2022, 73, 88–113. [Google Scholar]
- Momin, R.B.N.; Rajput, R.B.; Shaikh, R.S.; Kale, R.B. A review of WO3-based dye-sensitized solar cells: Unveiling the potential of tungsten oxide as counter and working electrodes. Mater. Sci. Semicond. Process. 2024, 181, 108662. [Google Scholar]
- Mohd Amin, N.A.A.; Mohd Zaid, H.F. A review of hydrogen production using TIO2-based photocatalyst in tandem solar cell. Int. J. Hydrogen Energy 2024, 77, 166–183. [Google Scholar]
- Jiang, Z.; Cheng, B.; Zhang, L.; Zhang, Z.; Bie, C. A review on ZnO-based S-scheme heterojunction photocatalysts. Chin. J. Catal. 2023, 52, 32–49. [Google Scholar]
- Maragno, A.R.A.; Morozan, A.; Fize, J.; Pellat, M.; Artero, V.; Charton, S.; Matheron, M. Thermally integrated photoelectrochemical devices with perovskite/silicon tandem solar cells: A modular approach for scalable direct water splitting. Sustain. Energy Fuels 2024, 8, 3726–3739. [Google Scholar]
- Kumar, S.G.; Rao, K.S.R.K. Comparison of modification strategies towards enhanced charge carrier separation and photocatalytic degradation activity of metal oxide semiconductors (TiO2, WO3 and ZnO). Appl. Surf. Sci. 2017, 391, 124–148. [Google Scholar]
- Zhang, J.-X.; Zhao, Z.-Y.; Yang, T.-L.; Yang, J.; Zhang, J.; Liu, Q.-J.; Kuang, Y. Harnessing intrinsic defect complexes for visible-light-driven photocatalytic activity in Delafossite CuAlO2. Acta Mater. 2024, 269, 119801. [Google Scholar]
- Ryabchuk, V. Photophysical processes related to photoadsorption and photocatalysis on wide band gap solids: A review. Int. J. Photoenergy 2004, 6, 582750. [Google Scholar]
- Zhang, Y.; Zhang, N.; Wang, T.; Huang, H.; Chen, Y.; Li, Z.; Zou, Z. Heterogeneous degradation of organic contaminants in the photo-Fenton reaction employing pure cubic β-Fe2O3. Appl. Catal. B Environ. 2019, 245, 410–419. [Google Scholar]
- Li, J.; You, J.; Wang, Z.; Zhao, Y.; Xu, J.; Li, X.; Zhang, H. Application of α-Fe2O3-based heterogeneous photo-Fenton catalyst in wastewater treatment: A review of recent advances. J. Environ. Chem. Eng. 2022, 10, 108329. [Google Scholar]
- Liang, S.; Zheng, L.-J.; Song, L.-N.; Wang, X.-X.; Tu, W.-B.; Xu, J.-J. Accelerated Confined Mass Transfer of MoS2 1D Nanotube in Photo-Assisted Metal–Air Batteries. Adv. Mater. 2024, 36, 2307790. [Google Scholar]
- Fontenla, J.; White, O.R.; Fox, P.A.; Avrett, E.H.; Kurucz, R.L. Calculation of solar irradiances. I. Synthesis of the solar spectrum. Astrophys. J. 1999, 518, 480. [Google Scholar]
- Liao, A.; He, H.; Zhou, Y.; Zou, Z. Typical strategies to facilitate charge transfer for enhanced oxygen evolution reaction: Case studies on hematite. J. Semicond. 2020, 41, 091709. [Google Scholar]
- Li, W.; Li, J.-J.; Liu, Z.-F.; Ma, H.-Y.; Fang, P.-F.; Xiong, R.; Wei, J.-H. Fast charge transfer kinetics in Sv-ZnIn2S4/Sb2S3 S-scheme heterojunction photocatalyst for enhanced photocatalytic hydrogen evolution. Rare Met. 2024, 43, 533–542. [Google Scholar]
- Huang, W.; Zhang, D.; Wang, M. A Review: Research Progress on Photoelectric Catalytic Water Splitting of α-Fe2O3. Curr. Nanosci. 2023, 19, 758–769. [Google Scholar]
- Shaheen, S.; Li, Z.; Zada, A.; Bian, J.; Zhang, Z.; Qu, Y.; Jing, L. Recent advances in modulating charge separation of α-Fe2O3-based photocatalysts. Surf. Interfaces 2024, 44, 103623. [Google Scholar]
- Chen, L.; Arshad, M.; Chuang, Y.; Nguyen, T.-B.; Wu, C.-H.; Chen, C.-W.; Dong, C.-D. A novel nano-heterojunction MoS2/α-Fe2O3 photocatalysts with high photocatalytic and photoelectrochemical performance under visible light irradiation. J. Alloys Compd. 2023, 947, 169577. [Google Scholar]
- Zhang, R.; Zhao, G.; Hu, J.; Lu, P.; Liu, S.; Li, X. Enhanced photoelectrochemical performance of ZnO/α-Fe2O3 heterojunction photoelectrode fabricated by facile hydrothermal and spin-coating method. Int. J. Hydrogen Energy 2024, 51, 633–642. [Google Scholar]
- Zhang, B.; Ruan, M.; Wang, C.; Guo, Z.; Liu, Z. Enhanced photoelectrochemical performance of α-Fe2O3 photoanode modified with NiCo layered double hydroxide. J. Electroanal. Chem. 2023, 936, 117388. [Google Scholar]
- Ma, J.; Wang, Q.; Li, L.; Zong, X.; Sun, H.; Tao, R.; Fan, X. Fe2O3 nanorods/CuO nanoparticles p-n heterojunction photoanode: Effective charge separation and enhanced photoelectrochemical properties. J. Colloid Interface Sci. 2021, 602, 32–42. [Google Scholar]
- Nie, J.; Yu, X.; Wei, Y.; Liu, Z.; Zhang, J.; Yu, Z.; Ma, Y.; Yao, B. Interfacial charge transfer effects of α-Fe2O3/Cu2O heterojunction and enhancement mechanism of its photocatalytic oxidation. Process Saf. Environ. Prot. 2023, 170, 241–258. [Google Scholar]
- Yang, H. A short review on heterojunction photocatalysts: Carrier transfer behavior and photocatalytic mechanisms. Mater. Res. Bull. 2021, 142, 111406. [Google Scholar]
- Wang, D.; Liu, X.; Kang, Y.; Wang, X.; Wu, Y.; Fang, S.; Yu, H.; Memon, M.H.; Zhang, H.; Hu, W.; et al. Bidirectional photocurrent in p–n heterojunction nanowires. Nat. Electron. 2021, 4, 645–652. [Google Scholar]
- Saleem, M.H.; Ejaz, U.; Vithanage, M.; Bolan, N.; Siddique, K.H.M. Synthesis, characterization, and advanced sustainable applications of copper oxide nanoparticles: A review. Clean Technol. Environ. Policy 2024. [Google Scholar] [CrossRef]
- Pastrana, E.C.; Zamora, V.; Wang, D.; Alarcón, H. Fabrication and characterization of α-Fe2O3/CuO heterostructure thin films via dip-coating technique for improved photoelectrochemical performance. Adv. Nat. Sci. Nanosci. Nanotechnol. 2019, 10, 035012. [Google Scholar]
- Gao, Y.; Zhang, N.; Wang, C.; Zhao, F.; Yu, Y. Construction of Fe2O3@CuO Heterojunction Nanotubes for Enhanced Oxygen Evolution Reaction. ACS Appl. Energy Mater. 2020, 3, 666–674. [Google Scholar]










Disclaimer/Publisher’s Note: The statements, opinions and data contained in all publications are solely those of the individual author(s) and contributor(s) and not of MDPI and/or the editor(s). MDPI and/or the editor(s) disclaim responsibility for any injury to people or property resulting from any ideas, methods, instructions or products referred to in the content. |
© 2024 by the authors. Licensee MDPI, Basel, Switzerland. This article is an open access article distributed under the terms and conditions of the Creative Commons Attribution (CC BY) license (https://creativecommons.org/licenses/by/4.0/).
Share and Cite
Lu, P.; Zhang, Z.; Gu, Z.; Li, Z.; Su, H.; Shen, X.; Xu, Q. Construction of Fe2O3-CuO Heterojunction Photoelectrode for Enhanced Efficiency of Solar Redox Flow Batteries. Processes 2024, 12, 1765. https://doi.org/10.3390/pr12081765
Lu P, Zhang Z, Gu Z, Li Z, Su H, Shen X, Xu Q. Construction of Fe2O3-CuO Heterojunction Photoelectrode for Enhanced Efficiency of Solar Redox Flow Batteries. Processes. 2024; 12(8):1765. https://doi.org/10.3390/pr12081765
Chicago/Turabian StyleLu, Ping, Zihan Zhang, Zixing Gu, Zhuo Li, Huaneng Su, Xiaozhong Shen, and Qian Xu. 2024. "Construction of Fe2O3-CuO Heterojunction Photoelectrode for Enhanced Efficiency of Solar Redox Flow Batteries" Processes 12, no. 8: 1765. https://doi.org/10.3390/pr12081765
APA StyleLu, P., Zhang, Z., Gu, Z., Li, Z., Su, H., Shen, X., & Xu, Q. (2024). Construction of Fe2O3-CuO Heterojunction Photoelectrode for Enhanced Efficiency of Solar Redox Flow Batteries. Processes, 12(8), 1765. https://doi.org/10.3390/pr12081765

