You are currently viewing a new version of our website. To view the old version click .
Processes
  • Article
  • Open Access

21 August 2024

Modified PI Controller for Robustness Improvement of Quasi-Resonant Converters

,
,
and
Facultad de Ingeniería, Universidad Nacional Autónoma de México, Ciudad de México 04510, Mexico
*
Author to whom correspondence should be addressed.
This article belongs to the Section Energy Systems

Abstract

The challenge regarding the output voltage regulation control of quasi-resonant converters while concurrently fulfilling zero-current switching is addressed in this study. In particular, an alternative to the usual practice of considering fixed duty cycle operation is presented to deal with the narrow robustness margin against load variations exhibited by this condition. The main contribution was the introduction of an additional block in the control loop that implements a new linear relationship between the duty cycle and the switching frequency in terms of the load current. This block proportionally modifies the duty cycle with the switching frequency that, as usual, is used to regulate the output voltage. The structure of the contribution was obtained by exploiting the knowledge of the differential equations that describe the dynamical behavior of the topology. Although it was shown that this modification could be used regardless of the control scheme implemented for the operation of the converter, its usefulness was illustrated by presenting a modified implementation of a classical P I control scheme. It was shown via numerical evaluations that the robustness of the converter under classical P I control was drastically improved for both increases and decreases in the load value. From the implementation perspective, this contribution is attractive since it exhibits a simple structure and neither requires the use of auxiliary switches nor increases the cost of current solutions.

1. Introduction

In the field of power electronics, efforts are constantly being applied to increase the operational switching frequency ( f s w ) to reduce the size, weight, and passive volume of a power system, and thus, to increase the power density [1]. Soft-switching schemes were introduced to achieve these features by applying quasi-resonant (QR) and resonant converters under zero-current-switching (ZCS) and zero-voltage-switching (ZVS) techniques [2,3,4,5].
QR converters are derived from pulse-width-modulated (PWM) topologies by adding an auxiliary L C resonant tank to achieve soft-switching commutation at high frequencies, which allows for considerable stress reduction and low switching losses in power semiconductor devices. This resonant arrangement presents different time constants to those of the original PWM converter, which results in different time scales that are divided into low- (PWM filter stage) and high-frequency (resonant tank) networks.
Despite their success, QR converters still present some important challenges that make them an interesting option for research. One of them is related to the robust regulation of the output voltage by preserving soft-switching commutations over dynamic conditions. This problem refers to maintaining the value of the output voltage at a prescribed value despite severe changes in the load, and thus, simultaneously satisfying ZCS and ZVS.
The robust voltage regulation with the soft-switching problem for QR converters is an open problem due to the fact that both objectives depend on the operating frequency of the resonant tank in an inverse way. On the one hand, in order to be able to deal with large load variations, this frequency must be adjusted. However, frequency variation makes it more difficult to guarantee a soft-switching operation. In consequence, as shown in Table 1, it is usual to find contributions in the literature that assure ZCS or ZVS but without considering large load variations. Interestingly enough, this situation appears regardless of the control scheme proposed or implemented to operate the converter and a major implication is that the use of this kind of converter is restricted to applications where severe changes in the load are not expected.
Table 1. Illustrative reference review.
A more detailed analysis of the actual operation of QR converters shows that the main limitation for considering frequency variations lies in the current practice of keeping the duty cycle (D) fixed for the square signal used to feed the resonant tank. Under this condition, it is clear that soft switching is quickly lost if the operating frequency exhibits severe changes. Hence, in order to preserve an efficient operation, large load variations must be avoided. This scenario is illustrated in Table 1, where it is shown how, regardless of the control scheme, the listed references that operate under a fixed D are not able to report an exhaustive robustness analysis for the voltage regulation problem.
Indeed, Ref. [6] presents a QR flyback converter that features low switching loss by applying ZCS; however, even with the use of gallium nitride (GaN) devices, the robustness issue is not explored. In [7], a theoretical oriented passivity-based controller was developed for QR boost and buck converters. Since the objective was to guarantee stability properties for the averaged model of the device, neither the robustness nor the soft-switching issues were discussed in detail. A scheme that operates at a constant frequency and adjusts the output voltage by modifying the drive delay is reported in [8]. This kind of operation implies a constant D and it is not clear how to determine or delimit the robustness of the system under load uncertainties. Finally, the recent work [9] presents a new robust control strategy to regulate the output voltage and an evaluation to ensure soft-switching commutations on a QR buck converter. Nevertheless, the robustness evaluation of this proposal is not approached.
To close the analysis that explains the implications of operating QR converters under a fixed duty cycle, it is important to recognize that one of the reasons that has motivated this practice comes from the approach followed to model these circuits. Due to the fact of having different state variables with different time constants [10], which does not permit the use of conventional averaging techniques, such as state-space averaging (SSA) [11], or small-signal linearization models [12], the generalized state-space-averaging (GSSA) method was introduced [13,14,15]. This method considers the representation given by a set of differential equations in the state space, which permits an expansion of the circuit state variables by selecting finite terms in the Fourier series and approximating the ripple by applying sinusoidal functions. However, the GSSA method reduces the model dimension of the circuit by eliminating the L C array formed by the resonant tank, which leads to a nonlinear relationship between D and f s w . Consequently, the control algorithms for QR converters based on the GSSA model are limited to considering D as constant [16], varying it within a limited range [17], or introducing an external current sensor in the resonant tank inductor to preserve soft-switching commutations [18]. Thus, regardless of the methodology design used to propose a control scheme, the use of the GSSA representation will induce the same aforementioned limitation regarding the variation in f s w .
The main contribution of this study was the identification of a mechanism that allows for operating a QR buck converter under frequency variations without losing the soft-switching condition. Specifically, from a detailed mathematical analysis of the operation of the converter, regardless of the implemented control scheme, the typical alternative that considers a constant D is replaced by identifying a linear relationship between this variable and f s w , which enables the adjustment of the value of D in response to load variations. As a result, it was shown that the robustness properties of the system against load variations were drastically improved while guaranteeing soft-switching operation. As a consequence, this study contributes to the consolidation of QR converters as a feasible solution to achieve robust voltage regulation with high performance, i.e., increased power density.
From an implementation point of view, the use of the proposed mechanism translates the fact that instead of using the output of the control scheme to determine f w s , a modified control structure is implemented by inserting the aforementioned function that relates D and f s w between the controller and the converter. Thus, the simultaneous adjustment of both variables is achieved. One remarkable advantage of this modification is that due to the fact that the standard integrated circuits used to generate the square signal that is fed to the resonant tank allows for this kind of operation, it is clear that the introduction of the reported function does not impose additional costs to the existing solutions.
With the purpose to better evaluate the impact of the contribution, in this paper, its usefulness is illustrated by considering the widely accepted and most simple control scheme given by the proportional–integral ( P I ) controller. The rationale behind this choice is that besides its simple structure, a P I scheme is considered as a reference for any alternative control scheme reported in the literature. Then, it is the authors belief that an improved operation of this scheme signifies a valuable advance in the field. Thus, a complete and exhaustive study of the converter operation under load variations was performed to show that the modified implementation of the PI controller drastically improved the performance achieved by the QR converter.
It is important to point out the results obtained from the modified implementation of the P I controller in the sequel identified as P I + proposed in this paper, namely, the introduction of the function that relates D with f s w assures soft-switching commutations in spite of large load changes. This, in turn, leads to output voltage regulation under a scenario that allows for considering variations in the load up to two times what is admissible by the classical P I structure. These results were validated in a numerical setting by considering a realistic model of a half-wave zero-current-switching quasi-resonant (HW-ZCSQR) buck converter obtained by implementing representations of devices manufactured by the WolfspeedTM and STMicroelectronicsTM companies.
The rest of this paper is organized as follows: Section 2 is devoted to presenting the switching model, modes of operation, and differences between the PWM and HW-ZCSQR buck converters. In Section 3, the main contributions of this paper are presented, namely, the function that relates D and f w s and a modified implementation of the classical PI controller. The usefulness of the proposed control structure is illustrated in Section 4 via the implementation of a realistic numerical evaluation. Finally, some concluding remarks are included in Section 5, while the List of Symbols section includes a list of the symbols more frequently used in this document.

2. HW-ZCSQR Buck Converter

In this section, a detailed description of the HW-ZCSQR buck converter operation is presented. Although this operation is well known in the literature [10], it is included here because it plays a fundamental role in establishing the main contribution of this study.
The HW-ZCSQR buck converter (Figure 1) presents two different frequency networks, with the low network comprising the second-order low-pass filter ( L o and C o ) and the high network formed by the resonant tank ( L r and C r ). Additionally, active ( S 1 ) and discrete ( D 1 , D 2 ) switches achieve the modes of operation during a switching period, in which, for simplicity, a purely resistive load (R) is used for the mathematical evaluation.
Figure 1. HW-ZCSQR buck converter.
The circuit in Figure 1 presents a principal series switch ( S 1 and D 1 ), which performs unidirectional current and bidirectional voltage control. Therefore, during the switching period, the topology performs four different modes induced by the square signal α 1 illustrated in Figure 2, which correspond to the values of the parameters listed in Table 2, which were obtained from [9].
Figure 2. HW-ZCSQR converter operation during a switching period.
Table 2. Design parameters for the HW-ZCSQR buck converter reported in [9].
From Figure 2, it can be observed that during the time period T 0 T 1 when S 1 and D 2 are in the on state (Mode 1), the inductance L r is charging and this operation mode ends when the current i r is approximately in the same order as the output current i 0 . During the time period T 1 T 3 when S 1 is in the on state and D 1 is in the off state (Mode 2), the series arrangement L r C r operates in resonant mode. The soft-switching policy is evidenced at time T 3 since this operation mode finishes when the current i r is zero, which is the instant when S 1 is off. When S 1 and D 1 are in the off state in time period T 3 T 4 (Mode 3), the previously stored energy in C r is discharged through L o , C o , and R until the voltage v r is zero and the time period T 4 T 5 (Mode 4) begins. This last operation mode when D 1 is in the on state is known as the freewheeling time interval, and when it finishes at T 5 , the converter operation starts again.
From the description presented above, it is possible to identify two parameters that determine the operation of the converter: The switching period whose value is given by T = T 5 T 0 , which determines the switching frequency f s w = 1 / T , and the duty cycle computed as D = T 3 T 0 , which is determined by the time instant when the current i r crosses the zero value.
Concerning D, it is fundamental to recognize that for a given structure of the resonant tank, i.e., for fixed values of L r and C r , and therefore, the angular resonant frequency ω r , the value of D only depends on the load current i o . This fact is exploited below to develop the main contributions of this paper.
With the aim to better contextualize the importance of the result proposed in this paper, it is interesting to note the difference between the conventional PWM buck and HW-ZCSQR buck converters. To do this, consider a periodic signal v s ( t ) , as included in Figure 3.
Figure 3. Switched periodic signal of the PWM buck converter.
The average value of this switching periodic signal can be estimated by applying a conventional SSA model given by
v s = 1 T 0 T v s ( t ) d t = D v g
From (1), it is evident that the PWM buck converter has an output voltage that can be controlled by D. Indeed, a linear relationship exists between the conversion voltage and D that takes the form
D = v o u t / v g
where v o u t denotes the output voltage of the converter.
In contrast to the PWM buck converter, the HW-ZCSQR buck converter adds a resonant tank, which does not permit the analysis of the QR topology under the SSA model because f s w is no longer a constant but represents a parameter that must be changed in order to adjust the output voltage of the QR topology. In order to deal with this complexity, the usual practice is the use of the GSSA technique. Unfortunately, the crucial cost of this approach is that the structure of the duty cycle contains several variables, and therefore, an equivalent expression for (2) is lost. This can be observed in the mathematical representation of the HW-ZCSQR converter obtained by applying this averaging technique given by
d v C 0 d t d i 0 d t = 1 R C 0 1 C 0 1 0 0 v C 0 i 0 + 0 v g L o f s w 2 π f r H i v g , i 0
where
H i v g , i 0 = Z r i 0 2 v g + θ z + v g Z r i 0 1 cos θ z
with resonant frequency f r = ω r 2 π and ω r = 1 L r C r . Moreover, the relationship between the output and input voltages takes the form
M = v o u t v g = f s w 2 π f n H i v g , I 0
where f n is the natural frequency, and I 0 denotes the fundamental component of i 0 .
Several remarks are in order about the averaged model (3)–(5):
  • Unlike the PWM buck converter, where f s w is kept constant, this variable in (5) indicates the degree of freedom for the control algorithm to regulate the output voltage in the QR converter. Unfortunately, the relationship with the duty cycle D does not appear in the model, which leads to the necessity to constrain the converter operation in such a way that i 0 does not exhibit very large variations.
  • Another drawback related to the fact that D does not explicitly appear in the averaged model is related to the impossibility to adjust the value of this parameter under load variations to guarantee soft-switching commutations. Under this scenario, the alternatives available are to keep it constant, vary it within a limited range of operation, or implement an external sensor to identify the moment when the current i r crosses zero. However, independent of the choice, the result is again a restricted admissible variation in the converter operation.
  • The limitations mentioned in the items above will be present regardless of the control methodology design, as long as the GSSA model is considered to carry the design out.

3. A Method for Robustness Improvement of HW-ZCSQR Converters

In this section, the main contributions of this paper are presented, namely, the identification of a function that for the HW-ZCSQR linearly relates the frequency f s w with the duty cycle D, which allows for output voltage regulation under severe load changes while simultaneously satisfying soft-switching commutations, and a discussion about the implementation of this new block to propose a P I + control scheme that refers to a modified implementation of the classical P I control for this kind of converter.

3.1. Linear Relationship between f s w and D

In order to obtain the aforementioned linear relationship between f s w and D, the converter operation presented in Figure 2, which depicts the different operation modes described in Section 2, is analyzed in detail. In particular, the following features of the operation must be noticed:
  • The on-state time ( T o n ) satisfies
    T o n = D T
    where T = 1 f s w is the period of the cycle.
  • During the time period T 0 T 1 , the dynamic behavior of the converter is determined by the differential equation
    L r d i r d t = v g
    which satisfies i r ( T 0 ) = 0 and i r ( T 1 ) = i 0 , where i 0 stands for the load current. Thus, the explicit solution of this equation leads to
    T 1 T 0 = L r v g i 0
  • For the time period T 1 T 3 , the system operates in resonant mode with angular frequency
    ω r = 1 L r C r
    and resonant period
    T r = 1 f r
    with f r as the resonant frequency.
    Considering that ω r = 2 π f r , it is possible to conclude that
    T r = 2 π L r C r
    Moreover, since the time period T 1 T 2 corresponds to the resonant period, it is obtained that
    T 2 T 1 = π L r C r
As a result of the features listed above, the following expression holds for D in terms of the converter parameters and the load current:
D = f s w L r v g i 0 + π L r C r + T 3 T 2
Thus, in order to have an expression that allows for relating D with f s w while taking into account load variations, it remains to compute an expression for the time interval T 3 T 2 .
With the aim to find an expression for the missing term in (6), it is necessary to recognize that during this time period, the converter still operates in resonant mode and it is difficult to obtain an exact value for its magnitude. In this paper, to achieve this exact computation, it is instead proposed to obtain an approximate value by linearizing the curve described by i r around the point given when this curve is equal to i 0 at the time T 2 and consider that this approximation is valid for the time period T 2 T 3 .
To develop the described procedure, consider that the dynamic behavior for the resonant operation mode is described by the differential equations
C r d v r d t = i r i 0 ; v r ( T 1 ) = 0
L r d i r d t = v g v r ; i r ( T 1 ) = i 0
whose explicit solution is given by
v r = v g 1 cos ( ω r t )
i r = i 0 + v g Z r sin ( ω r t )
with
Z r = L r C r
The Taylor series expansion of (10) around interval T 2 leads to the first-order approximation
i r i 0 v g L r t T 2
which, when evaluated at T 3 , when i r ( T 3 ) = 0 , leads to the approximate value
T 3 T 2 L r v g i 0
Thus, the main result of this paper is obtained by substituting this last result into (6) to obtain
D = f s w 2 L r v g i 0 + π L r C r
which states the linear relationship that actually exists between f s w and D.

3.2. P I + Controller Implementation

With the relationship (11) at hand, a modified implementation of any control scheme developed for HW-ZCSQR can be proposed since instead of considering that the output of the control block modifies only the frequency f s w , as in a classical implementation, in this case, it also modifies D by inserting the new block between the control output and the converter input.
In this study, the possibility described above was implemented by considering the P I controller presented in Figure 4. In addition to the fact that this scheme is widely recognized as a reference to propose any alternative controller, the rationale behind this choice was that the simplest model-free structure of this scheme imposes a big challenge to achieve the desired performance since in its classical implementation, in order to deal with large load variations, it would be necessary to drastically adjust f s w , which puts the soft-switching commutation at risk and leads to the result that voltage regulation can only be satisfied under restricted variations in the load.
Figure 4. Closed loop system of the HW-ZCSQR buck converter by applying a PI controller.
To obtain the modified P I + controller, the new block that corresponds to (11) is inserted at the output of the P I controller to obtain the new closed-loop scheme presented in Figure 5, for which two important features can be recognized:
Figure 5. Closed-loop system of the HW-ZCSQR buck converter by applying the theoretical approach and a PI controller.
  • The implementation of the proposed function does not demand either significant changes or additional costs with respect to the current way that a control scheme is implemented. This is due to the fact that the commercial PWM controllers (UC3825 for example) offer the possibility to dynamically change both the frequency and duty cycle, although the usual practice is to fix the latter. In this sense, the contribution proposes not to fix this variable but adjust it in accordance to (11) without requiring a different integrated circuit.
  • The implementation of the proposed function does not demand a heavy computational burden. It requires knowledge of i 0 and the parameters associated with the resonant tank. While the use of an appropriate current sensor deals with the former requirement, the latter does not impose a problem since the values of the involved parameters are well known.

4. Numerical Validation

The usefulness of this contribution was validated in a numerical setting by implementing a realistic model for the converter. To carry out the evaluation, the MATLABTM-based environment SIMSCAPETM was used. This tool is an acausal and object-oriented numerical environment that allows for evaluating control systems under more realistic conditions than using general purpose alternatives, like SIMULINKTM. Actually, while the converter model was implemented in SIMSCAPETM, the control scheme and the proposed block were programmed in a SIMULINKTM environment with a proper interface with the former. In addition and with comparative purposes, both versions of the P I controller were implemented and evaluated under similar conditions to clearly illustrate at what extent the proposed P I + scheme improved the classical implementation.
Regarding the circuit model, switch S 1 was implemented by considering the block that corresponds to the Silicon Carbide MOSFET C3M0065090J manufactured by WolfspeedTM, while the diodes D 1 and D 2 corresponded to the Silicon Carbide Power Schottky Diode STPSCH65 manufactured by STMicroelectronicsTM. In both cases, datasheet was considered to define the block parameters. With respect to the passive components, SIMSCAPETM blocks that corresponded to parameters listed in Table 2 were considered. For both the converter model and the control implementation, the backward Euler numerical method was utilized with a sample time of 5 × 10 9 s.
Concerning the control structure, the P I control loop was used to determine f s w . This scheme was obtained by assuming that there was a frequency of the square signal f s w that generated an output voltage signal v r e f , and f ˜ s w = f s w f s w was defined, where f ˜ s w is a correction term. Then, the considered control law was as follows:
f ˜ s w = k p ( v r e f v o u t ) f ˙ s w = k i f ˜ s w .
where k p and k i represent the proportional and integral gains, respectively.
Once f s w was obtained, α 1 was generated with a defined value for D (either using the proposed algorithm or a classical implementation). The considered gains of the PI controller were k p = 1500 and k i = 300 , and the initial condition of the integral part was C . I . = 20,000. These values were obtained following the standard policy for P I control tuning, which dictated that the proportional gain must be increased until an acceptable transient response is obtained to later on refine the steady state error by increasing the integral gain. The simulation results were obtained by considering the values for D, f s w , v g , and v o u t listed in Table 2.
For the numerical validation, four tests were conducted to demonstrate the advantages of the proposed scheme. The features evaluated in the tests under time-varying load conditions on the HW-ZCSQR buck converter were the capacity to regulate the output voltage and the capacity to preserve soft-switching commutation.
The tests were performed as follows:
  • The first evaluation was carried out on the classical control scheme. It corresponded to the case when load variations imposed an increment in the demanded output current, i.e., a profile of decreasing load resistance was imposed on the control scheme. These variations were introduced every 0.05 s , starting with the nominal load R = 10 Ω , and then R = 7.5 Ω , R = 5 Ω , and R = 3 Ω , to finally reduce the load to R = 1 Ω at the time 0.18 s.
  • Second, the proposed structure shown in Figure 5 was evaluated with the same decreasing load resistance conditions imposed on the classical control implementation.
  • Third, the scheme shown in Figure 4 was evaluated under increasing load resistance conditions. These load resistance increments were introduced every 0.05 s, starting with the nominal load R = 10 Ω , and then R = 60 Ω , R = 100 Ω , and R = 160 Ω .
  • Finally, the contributed scheme was exposed to the same increasing load resistance conditions.
The aim of the previous tests carried out under the same operating conditions was to show how the use of the proposed P I + scheme increased the robustness of the operation in the HW-ZCSQR buck converter compared with its classical P I implementation when systematic changes in the load resistance were considered. The profiles imposed for the increments and decrements of this resistance were chosen in such a way that a wide range of variations was included to highlight the advantages of the proposed scheme.
Note that in some figures used to present these simulation results, the scales of the signals were modified to facilitate correct visualization, and these modifications are clarified in each figure.
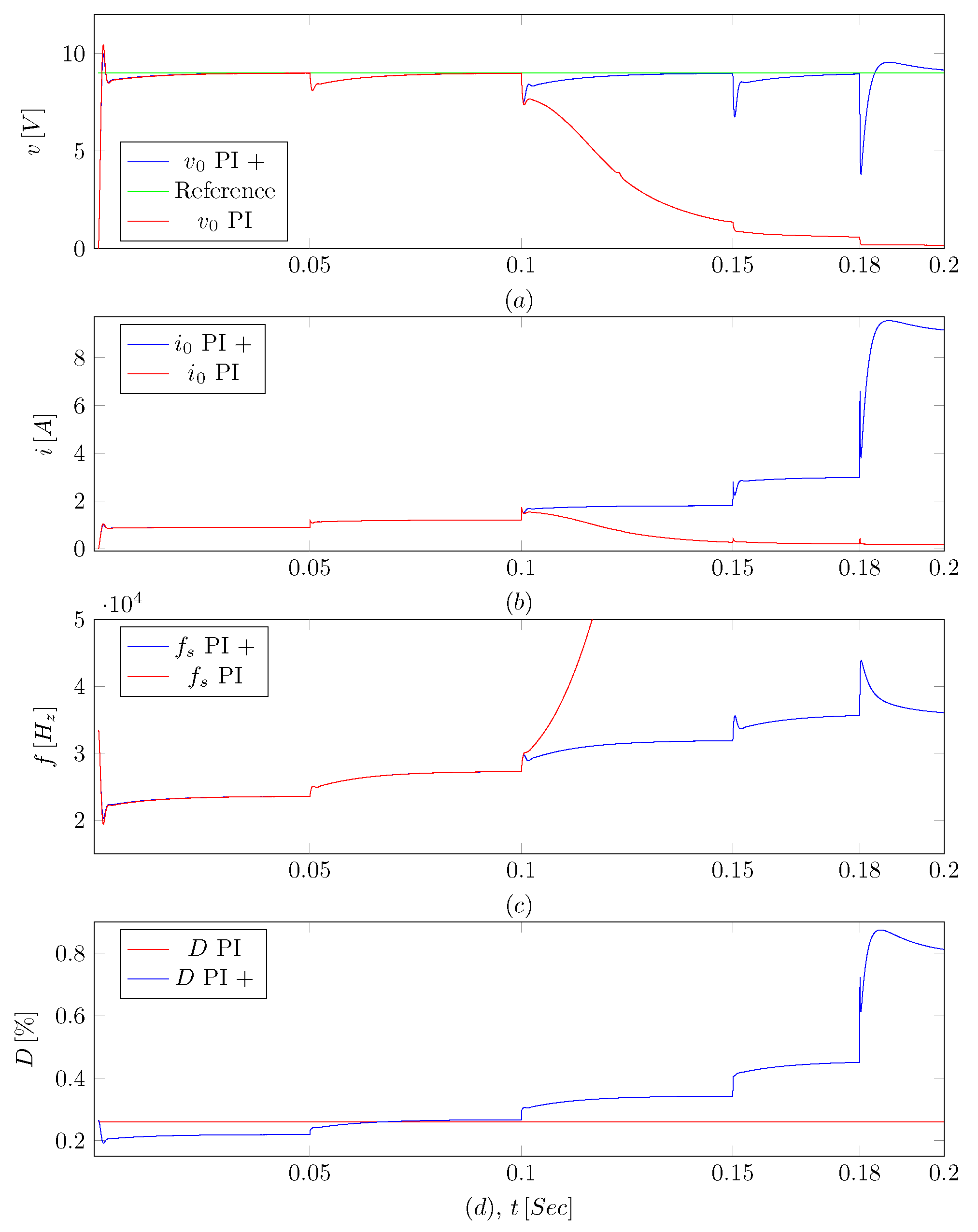
Based on the simulation results, Figure 6 shows the signals v o u t , i 0 , f s w , and D for both the P I and P I + controllers with the decreasing load resistance described before. In Figure 6a, v o u t remains equal to v r e f , independently the load variations for both P I and P I + up to t = 0.1 s, where the load was changed to R = 5 Ω . At this instant, the P I lost the output voltage regulation, in contrast to the P I + controller, which even for the load change introduced at t = 0.18 s, which corresponded to the lowest value R = 1 Ω , achieved the desired regulation. This behavior is presented in Figure 6b, where it can be noticed that at t = 0.1 s, the P I scheme failed to maintain the corresponding value of i 0 . Moreover, according to the linear relationship (11), Figure 6c shows that the proposed scheme was able to adjust f s w , while the classical one was not able to do it. In the bottom part of the figure, it is shown that in contrast to the classical implementation that fixed D at a constant value, this variable was adjusted by the proposed scheme up to a remarkable value of D = 0.8 . Hence, it was concluded that P I + was capable of regulating the output voltage over the entire load variation range compared with P I . In summary, the P I + controller allowed for a decrease in the load of more than 90% of the nominal value, which clearly showed an improvement in the performance offered by the P I controller.
Figure 6. Signals applied to the P I and P I + controllers by reducing the nominal load: (a) v o u t , (b) i 0 , (c) f s w , and (d) D.
To complete the analysis under decreasing load resistance conditions, Figure 7 shows the (scaled) signals v r , i r , and v g s , which were obtained under load conditions for the P I controller. Here, v g s was the gate–source voltage applied to the MOSFET that corresponded to α 1 in the SIMSCAPETM environment. Figure 7a,b show the signals of the resonant tank under nominal load and R = 7.5 Ω , respectively. Under these conditions, it was possible to guarantee output voltage regulation and the ZCS condition. However, for lower loads, Figure 7c,d exhibit that the ZCS requirement was completely lost.
Figure 7. Signals of i r , v r , and v g s in the steady state from the P I controller when (a) R = 10 Ω , (b) R = 7.5 Ω , (c) R = 5 Ω , and (d) R = 1 Ω .
On the other hand, the corresponding behavior of the P I + for this analysis is presented in Figure 8, where it can be observed that even for the lowest value R = 1 Ω (Figure 8d), in addition to the output voltage being regulated, the ZCS condition was satisfied. It must be noticed that the condition that v r remained at zero during the freewheeling operation mode did not hold due to the inclusion of the more realistic models during the numerical evaluation. From the previous results, it could be concluded that the P I + controller improved the performance when the load resistance decreased, thereby increasing the robustness of the system by more than 50% of the value allowed by the P I controller.
Figure 8. Signals of i r , v r , and v g s in the steady state from the P I + controller when (a) R = 10 Ω , (b) R = 7.5 Ω , (c) R = 5 Ω , and (d) R = 1 Ω .
Concerning the maximum load supported by both the P I and P I + controllers, Figure 9a shows the signal v o u t under increasing load resistance variations, as mentioned above. It can be noticed that both schemes achieved voltage regulation up to t = 0.15 s, where the load was changed to R = 160 Ω . At this instant, the P I controller was not able to guarantee correct operation, in contrast to the P I + scheme, which even for the load change introduced at t = 0.15 s, achieved the desired regulation. Figure 9b–d complement this evidence, where it is important to remark on the last one, where it is clear how the proposed scheme achieved the control objective by adjusting the value of D. In this sense, P I + presented an increase in the load resistance variation of more than one and a half times the maximum load allowed by P I .
Figure 9. Signals obtained from the P I and P I + controllers by increasing the nominal load: (a) v o u t , (b) i 0 , (c) f s w , and (d) D.
The increased load resistance study was complemented by analyzing the ZCS properties under this condition. In Figure 10, the signals i r , v r , and v g s from the P I controller are presented. It can be noticed from Figure 10a that while for nominal conditions, the ZCS condition was satisfied, for greater load values, this achievement was not clear (Figure 10b,c) since the current i r remained at zero before the v g s was turned off, or there was an evident loss of the desired operation (Figure 10d) for R = 160 Ω . On the other hand, the corresponding behavior of the P I + for this analysis is presented in Figure 11, where it can be observed that even for the lowest value R = 1 Ω (Figure 11d), in addition to the output voltage being regulated, the ZCS condition was satisfied. From the previous results, it can be concluded that the P I + controller improved the performance when the load resistance increased, thereby the robustness of the system was increased by more than 50% of the value allowed by the P I controller. Taking into account these simulation results, it was concluded that the P I + controller ensured both the output voltage regulation and ZCS condition for the whole range of load resistance variations.
Figure 10. Signals of i r , v r , and v g s in the steady state from the P I controller when (a) R = 10 Ω , (b) R = 60 Ω , (c) R = 100 Ω , and (d) R = 160 Ω .
Figure 11. Signals of i r , v r , and v g s in the steady state from the P I + controller when (a) R = 10 Ω , (b) R = 60 Ω , (c) R = 100 Ω , and (d) R = 160 Ω .

5. Conclusions

In this paper, a modified P I controller for an HW-ZCSQR buck converter is presented. The proposed scheme removes the usual restrictive practice of operating the converter under a fixed duty cycle by introducing an additional easy-to-use and affordable block that implements a linear relationship that, for a given switching frequency, computes its corresponding duty cycle in terms of the load current without requiring any auxiliary switch. The main result of this modification was that simultaneous output voltage regulation and ZCS were achieved under a wide range of load variations that drastically overcame the performance achieved by the classical P I controller implementation. Indeed, the simulation results indicate that the proposed implementation achieved output voltage regulation that allowed for an increase of up to one and a half times and a reduction of up to two and a half times in the load value relative to what is accepted when using the classical P I scheme. In addition, the ZCS operation was also improved since this condition was guaranteed for a reduced value of the nominal load by up to 90% in front of the P I controller, which permitted variations of up to 25%. Research is currently being carried out in order to extend the presented results to other quasi-resonant and resonant topologies.

Author Contributions

Conceptualization, O.M.R.-B.; formal analysis, I.O.-V.; methodology, A.S.-C.; supervision, G.E.-P. All authors read and agreed to the published version of this manuscript.

Funding

This research was funded by Programa de becas posdoctorales en la UNAM POSDOC, DGAPA-UNAM, Mexico, and DGAPA-UNAM, grant number [PAPIIT IN109622].

Data Availability Statement

Data are contained within the article.

Conflicts of Interest

The authors declare no conflicts of interest.

List of Symbols

The symbols more frequently used throughout this document:
SymbolDescription
QRQuasi-resonant
ZCS/ZVSZero-current/voltage switching
PWMPulse-width modulation
f w s Operational switching frequency
DDuty cycle
HWHalf-wave
G/SSAGeneralized/state-space averaging
PIProportional–integral
L o Low-pass filter inductance
C o Low-pass filter capacitance
L r Resonant tank inductance
C r Resonant tank capacitance
RLoad resistance
TPeriod of a cycle
v g Supply voltage
v o u t Output voltage
i r , V r Current and voltage of the resonant tank
i 0 Load current
ω r Resonant angular frequency
f r Resonant frequency

References

  1. Perreault, D.J.; Hu, J.; Rivas, J.M.; Han, Y.; Leitermann, O.; Pilawa-Podgurski, R.C.; Sagneri, A.; Sullivan, C.R. Opportunities and challenges in very high frequency power conversion. In Proceedings of the 2009 Twenty-Fourth Annual IEEE Applied Power Electronics Conference and Exposition, Washington, DC, USA, 15–19 February 2009; IEEE: Piscataway, NJ, USA, 2009; pp. 1–14. [Google Scholar]
  2. Hassan, J.; Bai, C.; Lim, J.W.; Kim, M. High Step-Up Quasi-Resonant Converter Featuring Minimized Switching Loss Over Wide Input Voltage Range. IEEE Trans. Ind. Electron. 2020, 68, 10784–10795. [Google Scholar] [CrossRef]
  3. Lee, F.C. High-frequency quasi-resonant converter technologies. Proc. IEEE 1988, 76, 377–390. [Google Scholar] [CrossRef]
  4. Lee, F.C.; Li, Q.; Nabih, A. High frequency resonant converters: An overview on the magnetic design and control methods. IEEE J. Emerg. Sel. Top. Power Electron. 2020, 9, 11–23. [Google Scholar] [CrossRef]
  5. Vorperian, V. Analysis of Resonant Converters; 1985. Available online: https://thesis.library.caltech.edu/1308/1/Vorperian_v_1984.pdf (accessed on 8 August 2024).
  6. Wang, C.; Xu, S.; Shen, W.; Lu, S.; Sun, W. A single-switched high-switching-frequency quasi-resonant flyback converter. IEEE Trans. Power Electron. 2018, 34, 8775–8786. [Google Scholar] [CrossRef]
  7. Shi, X.; Chan, C. A passivity approach to controller design for quasi-resonant converters. Automatica 2002, 38, 1727–1734. [Google Scholar] [CrossRef]
  8. Zhu, T.; Ji, Y.; Wang, J.; Liu, Y. A novel constant-frequency quasi-resonant converter. IEEE Access 2018, 6, 39635–39642. [Google Scholar] [CrossRef]
  9. Esmaeili, A.; Gholizade-Narm, H. Robust nonlinear control of a quasi-resonant DC-DC converter with turn-on and turn-off zero current switching. IET Power Electron. 2022, 15, 325–336. [Google Scholar] [CrossRef]
  10. Xu, J.; Lee, C. A unified averaging technique for the modeling of quasi-resonant converters. IEEE Trans. Power Electron. 1998, 13, 556–563. [Google Scholar] [CrossRef]
  11. Maksimovic, D.; Cuk, S. A general approach to synthesis and analysis of quasi-resonant converters. IEEE Trans. Power Electron. 1991, 6, 127–140. [Google Scholar] [CrossRef]
  12. Freeland, S.; Middlebrook, R. A unified analysis of converters with resonant switches. In Proceedings of the 1987 IEEE Power Electronics Specialists Conference, Blacksburg, VA, USA, 21–26 June 1987; IEEE: Piscataway, NJ, USA, 1987; pp. 20–30. [Google Scholar]
  13. Shipra, K.; Sharma, S.N.; Maurya, R. Passivity-based controllers for ZVS quasi-resonant boost converter. IET Control Theory Appl. 2020, 14, 3461–3475. [Google Scholar] [CrossRef]
  14. Wang, L.; Deng, X.; Han, P.; Qi, X.; Wu, X.; Li, M.; Xu, H. Electromagnetic transient modeling and simulation of power converters based on a piecewise generalized state space averaging method. IEEE Access 2019, 7, 12241–12251. [Google Scholar] [CrossRef]
  15. Wang, Y.; Song, H.; Xu, D. Soft-switching bidirectional DC/DC converter with an LCLC resonant circuit. IEEE J. Emerg. Sel. Top. Power Electron. 2019, 7, 851–864. [Google Scholar] [CrossRef]
  16. Lyshevski, S.E. Resonant converters: Nonlinear analysis and control. IEEE Trans. Ind. Electron. 2000, 47, 751–758. [Google Scholar] [CrossRef]
  17. Nejadpak, A.; Tahami, F. Stabilizing controller design for quasi-resonant converters described by a class of piecewise linear models. IEEE Trans. Circuits Syst. I Regul. Pap. 2013, 61, 312–323. [Google Scholar] [CrossRef]
  18. Pressman, A. Switching Power Supply Design; McGraw-Hill Education: New York, NY, USA, 2009. [Google Scholar]
Disclaimer/Publisher’s Note: The statements, opinions and data contained in all publications are solely those of the individual author(s) and contributor(s) and not of MDPI and/or the editor(s). MDPI and/or the editor(s) disclaim responsibility for any injury to people or property resulting from any ideas, methods, instructions or products referred to in the content.

Article Metrics

Citations

Article Access Statistics

Multiple requests from the same IP address are counted as one view.