Heterogeneous Catalyst Characteristics of TiO2 Nanoparticles Impregnated with Alkaline CH3ONa for Use in Transesterification Process
Abstract
1. Introduction
2. Experiment Details
2.1. Preparation of Strong Solid TiO2/CH3ONa Alkaline Photocatalysts
2.2. Analysis for Properties of TiO2/CH3ONa Solid Alkaline Catalysts
2.3. Transesterification of Palm Oil Using Heterogeneous Nanocatalysts TiO2/CH3ONa
3. Results and Discussion
3.1. Effect of Forging Temperature on the Characteristic Bonding of TiO2/CH3ONa Alkaline Catalyst
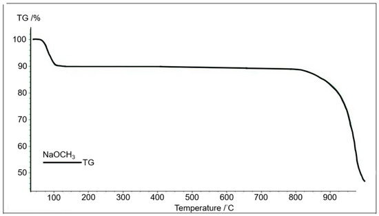
3.2. Thermogravimetric Analysis of CH3Ona Catalysts
3.3. Structural Analysis for TiO2/CH3Ona Catalyst
3.4. Scanning Electron Microscopy and Elemental Na Analysis for TiO2/CH3Ona Catalyst
4. Conclusions
- (1)
- A FTIR was used to find the wavelengths of sodium methoxide (CH3ONa) bonding in the infrared spectral frequency ranging from 560 cm−1 to 1500 cm−1. The FTIR spectra confirmed that CH3ONa was successfully sintered and bonded onto the TiO2 carrier employing the current catalyst impregnation method.
- (2)
- The elemental analysis by EDS revealed that the solid, strong, alkaline catalyst prepared by the current immersion method contained the CH3ONa catalyst inside the porous surface of the carrier TiO2 nanoparticles.
- (3)
- A TGA was used to analyze the CH3ONa catalyst heated from 40 °C to 1000 °C. There was no significant weight loss of the CH3ONa catalyst when heated from 100 °C to 800 °C, although the weight loss was noticeable when the catalyst was heated from 40 °C to 100 °C. This proved the thermal stability of the CH3ONa catalyst and presented no phase change or thermal cracking upon heating the catalyst from 100 °C to 800 °C.
- (4)
- The TiO2/CH3ONa strong alkaline catalyst produced in this study did not alter the crystalline structure of the TiO2 nanoparticles in the presence of the CH3ONa catalyst. However, the merging of the CH3ONa compound into the nanoparticles of TiO2 crystals did affect the catalyst characteristics of TiO2 after sintering CH3ONa into the TiO2 nanoparticles. In addition, the wavelength intensity of the anatase-type TiO2 was reduced due to the loading of CH3ONa into the TiO2 carrier.
Author Contributions
Funding
Data Availability Statement
Acknowledgments
Conflicts of Interest
References
- Lin, C.-Y.; Lin, K.-H. Comparison of the engine performance of soybean oil biodiesel emulsions prepared by phase inversion temperature and mechanical homogenization methods. Processes 2023, 11, 907. [Google Scholar] [CrossRef]
- Nitbani, F.O.; Tjitda, P.J.P.; Nurohmah, B.A.; Wogo, H.E. Preparation of fatty acid and monoglyceride from vegetable oil. J. Oleo Sci. 2020, 69, 277–295. [Google Scholar] [CrossRef] [PubMed]
- Jin, Y.; Shi, H.; Zhao, Y.; Dai, J.; Zhang, K. Organophosphate ester cresyl diphenyl phosphate disrupts lipid homeostasis in zebrafish embryos. Environ. Pollut. 2024, 342, 123149. [Google Scholar] [CrossRef] [PubMed]
- Maltsev, Y.; Maltseva, K. Fatty acids of microalgae: Diversity and applications. Rev. Environ. Sci. Biotechnol. 2021, 20, 515–547. [Google Scholar] [CrossRef]
- Torres-García, M.; Martin, J.F.G.; Aguilar, F.J.J.-E.; Barbin, D.F.; Álvarez-Mateos, P. Vegetable oils as renewable fuels for power plants based on low and medium speed diesel engines. J. Energy Inst. 2020, 93, 953–961. [Google Scholar] [CrossRef]
- Bai, S.-T.; De Smet, G.; Liao, Y.; Sun, R.; Zhou, C.; Beller, M.; Maes, B.U.W.; Sels, B.F. Homogeneous and heterogeneous catalysts for hydrogenation of CO2 to methanol under mild conditions. Chem. Soc. Rev. 2020, 50, 4259–4298. [Google Scholar] [CrossRef] [PubMed]
- Hu, N.; Ning, P.; He, L.; Guan, Q.; Shi, Y.; Miao, R. Near-room temperature transesterification over bifunctional CunO-Bs/SBA-15 catalyst for biodiesel production. Renew. Energy 2021, 170, 1–11. [Google Scholar] [CrossRef]
- Mukhtar, A.; Saqib, S.; Lin, H.; Shah, M.U.H.; Ullah, S.; Younas, M.; Rezakazemi, M.; Ibrahim, M.; Mahmood, A.; Asif, S.; et al. Current status and challenges in the heterogeneous catalysis for biodiesel production. Renew. Sustain. Energy Rev. 2022, 157, 112012. [Google Scholar] [CrossRef]
- Jan, H.A.; Saqib, N.U.; Khusro, A.; Sahibzada, M.U.K.; Rauf, M.; Alghamdi, S.; Almehmadi, M.; Khandaker, M.U.; Bin Emran, T.; Mohafez, H. Synthesis of biodiesel from Carthamus tinctorius L. oil using TiO2 nanoparticles as a catalyst. J. King Saud Univ.-Sci. 2022, 34, 102317. [Google Scholar] [CrossRef]
- Sajjad, N.; Orfali, R.; Perveen, S.; Rehman, S.; Sultan, A.; Akhtar, T.; Nazir, A.; Muhammad, G.; Mehmood, T.; Ghaffar, S.; et al. Biodiesel production from alkali-catalyzed transesterification of Tamarindus indica seed oil and optimization of process conditions. Molecules 2022, 27, 3230. [Google Scholar] [CrossRef]
- Prabhahar, R.S.S.; Benitha, V.S.; Nagarajan, J. Improved yield of palm oil biodiesel through nano catalytic transesterification. Mater. Today Proc. 2021, 46, 8433–8437. [Google Scholar] [CrossRef]
- Jambhulkar, D.K.; Ugwekar, R.P.; Bhanvase, B.A.; Barai, D.P. A review on solid base heterogeneous catalysts: Preparation, characterization and applications. Chem. Eng. Commun. 2022, 209, 433–484. [Google Scholar] [CrossRef]
- Alipour, Z.; Borugadda, V.B.; Wang, H.; Dalai, A.K. Syngas production through dry reforming: A review on catalysts and their materials, preparation methods and reactor type. Chem. Eng. J. 2023, 452, 139416. [Google Scholar] [CrossRef]
- Zhu, W.; Chen, X.; Li, C.; Liu, Z.; Liang, C. Manipulating morphology and surface engineering of spinel cobalt oxides to attain high catalytic performance for propane oxidation. J. Catal. 2021, 396, 179–191. [Google Scholar] [CrossRef]
- Riaz, S.; Park, S.-J. An overview of TiO2-based photocatalytic membrane reactors for water and wastewater treatments. J. Ind. Eng. Chem. 2020, 84, 23–41. [Google Scholar] [CrossRef]
- Li, Y.; Liu, Y.; Zhang, M.; Zhou, Q.; Li, X.; Chen, T.; Wang, S. Preparation of Ag3PO4/TiO2 (B) heterojunction nanobelt with extended light response and enhanced photocatalytic performance. Molecules 2021, 26, 6987. [Google Scholar] [CrossRef]
- Xu, Y.; Wu, Y.; Li, J.; Wei, S.; Gao, X.; Wang, P. Combustion-impregnation preparation of Ni/SiO2 catalyst with improved low-temperature activity for CO2 methanation. Int. J. Hydrogen Energy 2021, 46, 20919–20929. [Google Scholar] [CrossRef]
- Dias, A.P.S.; Ramos, M.; Catarino, M.; Puna, J.; Gomes, J. Solvent assisted biodiesel production by co-processing beef tallow and soybean oil over calcium catalysts. Waste Biomass-Valorization 2020, 11, 6249–6259. [Google Scholar] [CrossRef]
- Fattah, I.M.R.; Ong, H.C.; Mahlia, T.M.I.; Mofijur, M.; Silitonga, A.S.; Rahman, S.M.A.; Ahmad, A. State of the art of catalysts for biodiesel production. Front. Energy Res. 2020, 8, 101. [Google Scholar] [CrossRef]
- Osazuwa, O.U.; Abidin, S.Z. The Functionality of ion exchange resins for esterification, transesterification and hydrogenation reactions. ChemistrySelect 2020, 5, 7658–7670. [Google Scholar] [CrossRef]
- Praveen, B.V.S.; Pradhan, N.C.; Ashok, A.; Guduru, R.K.; Vij, R.K.; Jeeru, L.R. Production of biodiesel: Kinetics and reusability studies of the Mg–Al hydrotalcite catalyst using Jatropha oil. React. Chem. Eng. 2023, 8, 1729–1737. [Google Scholar] [CrossRef]
- Cui, X.; Wang, Z.; Shang, Y.; Yu, S.; Li, L.; Liu, S.; Song, Z. Preparation of Hydrocarbon Rich Biofuel from Cracking of Waste Cooking Oil Catalyzed by Basic Mesoporous Molecular Sieve Me-KIT-6. Catal. Lett. 2023, 153, 3392–3404. [Google Scholar] [CrossRef]
- Fu, J.; Dong, J.; Si, R.; Sun, K.; Zhang, J.; Li, M.; Yu, N.; Zhang, B.; Humphrey, M.G.; Fu, Q.; et al. Synergistic effects for enhanced catalysis in a dual single-atom catalyst. ACS Catal. 2021, 11, 1952–1961. [Google Scholar] [CrossRef]
- Islam, M.W. A review of dolomite catalyst for biomass gasification tar removal. Fuel 2020, 267, 117095. [Google Scholar] [CrossRef]
- Ge, Y.; Qin, X.; Li, A.; Deng, Y.; Lin, L.; Zhang, M.; Ma, D. Maximizing the synergistic effect of CoNi catalyst on α-MoC for robust hydrogen production. J. Am. Chem. Soc. 2020, 143, 628–633. [Google Scholar] [CrossRef] [PubMed]
- Health, Safety and Environmental Department. Safety Data Sheet 2024; Thermo Fisher Scientific Chemicals, Inc.: Ward Hill, MA, USA, 2024. [Google Scholar]
- Jeon, J.P.; Kweon, D.H.; Jang, B.J.; Ju, M.J.; Baek, J.B. Enhancing the photocatalytic activity of TiO2 catalysts. Adv. Sustain. Syst. 2020, 4, 2000197. [Google Scholar] [CrossRef]
- Dar, G.I.; Saeed, M.; Wu, A. Toxicity of TiO2 nanoparticles. In TiO2 Nanoparticles: Applications in Nanobiotechnology and Nanomedicine; Wiley-VCH Verlag GmbH: Weinheim, Germany, 2020; pp. 67–103. [Google Scholar]
- Zhang, Y.; Xu, X. Machine learning band gaps of doped-TiO2 photocatalysts from structural and morphological parameters. ACS Omega 2020, 5, 15344–15352. [Google Scholar] [CrossRef] [PubMed]
- Carlucci, C.; Degennaro, L.; Luisi, R. Titanium dioxide as a catalyst in biodiesel production. Catalysts 2019, 9, 75. [Google Scholar] [CrossRef]
- Uni-Onward Corp., Ltd. TiO2 Property Table; Uni-Onward Corp., Ltd.: New Taipei City, Taiwan, 2020. [Google Scholar]
- Kandathil, V.; Kulkarni, B.; Siddiqa, A.; Kempasiddaiah, M.; Sasidhar, B.S.; Patil, S.A.; Patil, S.A. Immobilized N-heterocyclic carbene-palladium (II) complex on graphene oxide as efficient and recyclable catalyst for Suzuki–Miyaura cross-coupling and reduction of nitroarenes. Catal. Lett. 2020, 150, 384–403. [Google Scholar] [CrossRef]
- Yang, J.; Chen, J.; Bi, H.; Gu, H.; Liu, Z.; Peng, W. Molecules and functions of rosewood: Pterocarpus indicus. Therm. Sci. 2020, 24 Pt A, 1869–1876. [Google Scholar] [CrossRef]
- Thakur, S.; Thakur, V.; Kaur, A.; Singh, L. Synthesis and the study of structural, thermal and optical properties of (100-x) Bi2O3-x (BaO-TiO2) glass system. Optik 2020, 223, 165646. [Google Scholar] [CrossRef]
- Wang, S.J.; Chen, Z.; Hu, X.; Zou, J.; Xie, Z.; Mi, H.Y.; Jing, X. MXene reinforced organohydrogels with ultra-stability, high sensitivity and anti-freezing ability for flexible strain sensors. J. Mater. Chem. C. 2022, 10, 11914–11923. [Google Scholar] [CrossRef]
- Saravanan, S.; Dubey, R.S. Optical and morphological studies of TiO2 nanoparticles prepared by sol–gel method Mater. Today Proc. 2021, 47, 1811–1814. [Google Scholar]
- Lu, L.; Sun, M.; Lu, Q.; Wu, T.; Huang, B. High energy X-ray radiation sensitive scintillating materials for medical imaging, cancer diagnosis and therapy. Nano Energy 2021, 79, 105437. [Google Scholar] [CrossRef]
- Tong, X.; Yang, P.; Wang, Y.; Qin, Y.; Guo, X. Enhanced photoelectrochemical water splitting performance of TiO2 nanotube arrays coated with an ultrathin nitrogen-doped carbon film by molecular layer deposition. Nanoscale 2014, 6, 6692–6700. [Google Scholar] [CrossRef] [PubMed]
- Krishna, D.N.G.; Philip, J. Review on surface-characterization applications of X-ray photoelectron spectroscopy (XPS): Recent developments and challenges. Appl. Surf. Sci. Adv. 2022, 12, 100332. [Google Scholar] [CrossRef]
- Manikandan, B.; Murali, K.R.; John, R. Optical, morphological and microstructural investigation of TiO2 nanoparticles for photocatalytic application. Iran. J. Catal. 2021, 11, 1–11. [Google Scholar]
- Singh, B.; Grewal, J.S.; Kumar, R.; Sharma, S.; Kumar, R.; Singh, H.; Lozanovic, J. Tribomechanical, and Microstructural Morphological analysis of Nitride Ferrous Powder Metallurgy Composites for Enhanced Automotive Valve Guide Performance. J. Mater. Res. Technol. 2024, 31, 6–25. [Google Scholar] [CrossRef]
- Nabi, G.; Ain, Q.U.; Tahir, M.B.; Nadeem Riaz, K.; Iqbal, T.; Rafique, M.; Rizwan, M. Green synthesis of TiO2 nanoparticles using lemon peel extract: Their optical and photocatalytic properties. J. Environ. Anal. Chem. 2022, 102, 434–442. [Google Scholar] [CrossRef]
- Zhang, J.; Zhang, Z.; Ji, Y.; Yang, J.; Fan, K.; Ma, X.; Chen, Y. Surface engineering induced hierarchical porous Ni12P5-Ni2P polymorphs catalyst for efficient wide pH hydrogen production. Appl. Catal. B Environ. 2021, 282, 119609. [Google Scholar] [CrossRef]








| Properties | Unit | Typical Value |
|---|---|---|
| Specific surface area (BET surface area) | m2/g | 50.5 |
| Average primary particle size | nm | 21 |
| pH-value in 4% dispersion | wt.% | 3.5~4.5 |
| TiO2 | wt.% | ≥99.50 |
| Al2O3 | wt.% | ≥0.300 |
| SiO2 | wt.% | ≥0.200 |
| Fe2O3 | wt.% | ≥0.010 |
| HCL | wt.% | ≥0.300 |
| Catalyst Sample (Forging Temperature) | Elemental Composition (wt.%) | ||
|---|---|---|---|
| Ti | O | Na | |
| TiO2 | 46.32 | 53.68 | None |
| TiO2/CH3Ona (150 °C) | 52.00 | 41.10 | 6.90 |
| TiO2/CH3Ona (200 °C) | 48.75 | 41.99 | 9.26 |
| TiO2/CH3Ona (250 °C) | 49.70 | 42.84 | 7.46 |
| TiO2/CH3Ona (300 °C) | 40.90 | 50.70 | 8.45 |
| TiO2/CH3Ona (350 °C) | 53.05 | 41.73 | 5.22 |
| TiO2/CH3Ona (400 °C) | 57.51 | 37.45 | 5.03 |
Disclaimer/Publisher’s Note: The statements, opinions and data contained in all publications are solely those of the individual author(s) and contributor(s) and not of MDPI and/or the editor(s). MDPI and/or the editor(s) disclaim responsibility for any injury to people or property resulting from any ideas, methods, instructions or products referred to in the content. |
© 2024 by the authors. Licensee MDPI, Basel, Switzerland. This article is an open access article distributed under the terms and conditions of the Creative Commons Attribution (CC BY) license (https://creativecommons.org/licenses/by/4.0/).
Share and Cite
Lin, C.-Y.; Tseng, S.-L. Heterogeneous Catalyst Characteristics of TiO2 Nanoparticles Impregnated with Alkaline CH3ONa for Use in Transesterification Process. Processes 2024, 12, 1584. https://doi.org/10.3390/pr12081584
Lin C-Y, Tseng S-L. Heterogeneous Catalyst Characteristics of TiO2 Nanoparticles Impregnated with Alkaline CH3ONa for Use in Transesterification Process. Processes. 2024; 12(8):1584. https://doi.org/10.3390/pr12081584
Chicago/Turabian StyleLin, Cherng-Yuan, and Shun-Lien Tseng. 2024. "Heterogeneous Catalyst Characteristics of TiO2 Nanoparticles Impregnated with Alkaline CH3ONa for Use in Transesterification Process" Processes 12, no. 8: 1584. https://doi.org/10.3390/pr12081584
APA StyleLin, C.-Y., & Tseng, S.-L. (2024). Heterogeneous Catalyst Characteristics of TiO2 Nanoparticles Impregnated with Alkaline CH3ONa for Use in Transesterification Process. Processes, 12(8), 1584. https://doi.org/10.3390/pr12081584

