Next Article in Journal
The Effect of High-Speed Steam Discharged from the Bypass Diffusers on Low-Pressure Turbine Blades
Next Article in Special Issue
Image Dehazing Technique Based on DenseNet and the Denoising Self-Encoder
Previous Article in Journal
Computational Insight of Oleracone L, Portulacatone B, and Portulacatal from Portulaca oleracea L. as Potential Anticholinesterase Inhibitors for Alzheimer’s
Previous Article in Special Issue
Predicting the Liquid Steel End-Point Temperature during the Vacuum Tank Degassing Process Using Machine Learning Modeling
 
 
Font Type:
Arial Georgia Verdana
Font Size:
Aa Aa Aa
Line Spacing:
Column Width:
Background:
Article

Optimization of Twist Winglets–Cross-Section Twist Tape in Heat Exchangers Using Machine Learning and Non-Dominated Sorting Genetic Algorithm II Technique

School of Energy and Power Engineering, Wuhan University of Technology, Wuhan 430063, China
*
Author to whom correspondence should be addressed.
Processes 2024, 12(7), 1458; https://doi.org/10.3390/pr12071458
Submission received: 13 June 2024 / Revised: 5 July 2024 / Accepted: 7 July 2024 / Published: 12 July 2024

Abstract

This research delves into the impact of Twist Winglets–Cross-Section Twist Tape (TWs-CSTT) structures within heat exchangers on thermal performance. Utilizing Computational Fluid Dynamics (CFD) and machine learning methodologies, optimal geometrical parameters for the TWs-CSTT configuration were examined. The outcomes demonstrate that fluid undergoing a rotational motion within tubes featuring this structure leads to more effective secondary flows, intensified mixing, and improved thermal boundary layer disturbance. Moreover, by integrating machine learning with multi-objective optimization techniques, the performance of heat exchangers can be accurately predicted and optimized, facilitating enhanced heat exchanger design. Through the application of the multi-objective optimization algorithm Non-dominated Sorting Genetic Algorithm II (NSGA-II), the ideal configurations for TWs-CSTT were ascertained: L1 is the cross-sectional length of the Twisted Wings, L2 is the radius of the Central Straight Twisted, and P is the pitch. P = 50.699 mm, L1 = 4.3282 mm, L2 = 4.9736 mm for the Gaussian Process Regression (GPR) model; P = 50.864 mm, L1 = 4.4961 mm, L2 = 4.9992 mm for the LR model; and P = 50.699 mm, L1 = 4.3282 mm, L2 = 4.9736 mm for the Support Vector Regression (SVR) model, aiming to maximize heat exchange efficiency while minimizing friction losses. This study proposes a novel methodological approach to heat exchanger design, leveraging CFD and machine learning technologies to enhance energy efficiency and performance.

1. Introduction

Heat exchangers are sophisticated energy-saving devices designed to facilitate the transfer of heat between two or more fluids at different temperatures. They enable the transfer of heat from a higher-temperature fluid to a lower-temperature one, allowing the fluid temperature to meet process-specific requirements, and thus play a crucial role in enhancing energy efficiency. They are extensively utilized in applications such as space heating, refrigeration, air conditioning, power generation, chemical plants, petrochemical plants, refineries, natural gas processing, and wastewater treatment [1]. The incorporation of vortex generators or twisted inserts within heat exchangers creates turbulence, improving fluid mixing in the flow path and thereby augmenting heat transfer efficiency. This innovation not only conserves energy costs but also has prompted their use in the design and upgrade of heat exchangers to reduce capital and operational expenses.
Extensive research has been conducted to explore the impact of twisted tapes and vortex generators on enhancing convective heat transfer. These studies have scrutinized various parameters to identify the optimal configuration for maximizing thermal efficiency. These studies explored the impact of various insert configurations on heat transfer within heat exchangers and sought to identify the optimal design for these inserts.
Chunhua Min [2] explored a novel approach to enhancing convective heat transfer in circular tubes by combining vortex generators and twisted tapes. Their numerical study assessed the thermohydraulic characteristics of circular tubes equipped with twisted tapes and delta winglet vortex generators (DWVGs). Hamed Arjmandi [3] investigated the impact of combined vortex generators and twisted tapes on the heat transfer rate and pressure drop in a double-pipe heat exchanger, utilizing Al2O3-H2O nanofluid as the base fluid. The study employed the Response Surface Methodology (RSM) in conjunction with a Central Composite Design (CCD) for the numerical investigation of the optimized geometrical configurations of the combined vortex generators and twisted tapes. Yuxiang Hong [4] investigated the synergistic thermal enhancement technique involving the incorporation of multiple twisted tapes in a helical corrugated tube on the turbulent heat transfer fluid’s hydraulic characteristics. The findings indicated that the insertion of multiple twisted tapes significantly ameliorates the flow field and temperature distribution, augmenting both the heat transfer coefficient and friction factor. The addition of perforations on the surface of quad-twisted tapes effectively reduces the friction factor and enhances the heat transfer performance evaluation index. Zhimin Lin [5] conducted a numerical simulation study on the laminar flow and heat transfer characteristics within a circular tube equipped with a newly designed twisted tape featuring parallelogram winglet vortex generators. The investigation revealed that the novel design of the twisted tape, by incorporating winglet vortex generators, significantly enhances the local flow and heat transfer characteristics, exhibiting a superior thermal conductivity performance. Pongjet Promvonge [6] investigated the enhanced thermodynamic performance within a constant heat flux tube equipped with V-shaped winglet-paired central twisted tapes (VW-CTT), using air as the test fluid in the turbulent flow regime with Reynolds numbers ranging from 5300 to 24,000. The study found that the use of VW-CTT significantly enhances the friction factor and Nusselt number to 1.56–2.3 times and 2.63–5.76 times that of a smooth tube, respectively.
The aforementioned studies affirm that twisted tape inserts can significantly enhance heat exchange. However, determining the optimal design of inserts to achieve the best overall heat transfer within the tubes requires the quantitative relationship between heat transfer effects and insert configurations. Employing machine learning and multi-objective optimization techniques to predict and optimize heat exchanger performance presents a cost-effective alternative to extensive experimental and simulation endeavors. These methodologies leverage historical data to make precise predictions, thereby substantially reducing the dependence on physical experiments and computational resources.
Researchers have employed traditional machine learning models in the field of heat transfer to enhance the heat exchange performance. These models facilitate the prediction and optimization of thermal systems by analyzing the complex relationships between variables that affect heat transfer efficiency, such as material properties, geometrical configurations, and operational conditions. For examples, Gaurav Krishnayatra [7] conducted a study on the fin thermal performance of novel axial finned tube heat exchangers, employing machine learning regression techniques for prediction. They analyzed the effects of fin spacing, fin thickness, materials, and changes in the convective heat transfer coefficient on the overall efficiency and total effectiveness. Following a regression analysis using the k-nearest neighbors (k-NN) algorithm, the results demonstrated high predictive accuracy. Similarly, L. Syam Sundar [8] conducted an experimental evaluation of water-based reduced graphene oxide (rGO) nanofluids flowing through a pipe under turbulent conditions. The study employed the advanced machine learning algorithms Extreme Gradient Boosting (XGB) and Boosted Regression Trees (BRT) to predict data on heat transfer coefficients, Nusselt numbers, friction coefficients, and thermal performance factors. In addition, Ekrani [9] enhanced the thermohydraulic performance of a circular tube equipped with Delta winglet vortex generators through the provision of a numerical model, the investigation of the impact of two additional parameters, and the development of Support Vector Regression (SVR) for prediction and optimization. The study results indicate that the utilization of this device could improve heat transfer effects, and the application of nanofluids further enhances heat transfer outcomes by augmenting the thermal physical properties of the fluid. Muhammed Zafar [10] developed a machine learning-based approach to predict the heat transfer performance of heat exchangers equipped with delta winglet vortex generators. This study accurately predicted the values of Nusselt number, friction factor, and efficiency using an artificial neural network model, proposing a method for predicting the thermal transfer characteristics with the lowest variance. In addition, the heat transfer characteristics of fluids in serpentine channels have also been investigated [11,12].
In addition to traditional machine learning techniques, the utilization of Artificial Neural Networks (ANNs) and their extended models in the field of heat transfer optimization has been gradually increasing. Hao Peng [13] and Xiang Ling utilized a SVR model based on dynamic optimization search techniques to predict the thermal–hydraulic performance of Compact Heat Exchangers (CHEs), basing their research on 48 experimental data points collected by themselves. The study identified the optimal values for different regularization parameters γ and kernel parameters σ2 of the SVR, and these findings were then compared and evaluated against predictions made using an ANN model. In addition, Xiao [14] compared algorithms for predicting the heat transfer coefficient of heat exchange channels with protrusions, utilizing models trained with hundreds of CFD simulation results. The models include the General Regression Neural Network (GRNN) and Random Forests (RF). The findings indicated that the GRNN model is more suited for heat exchange in channels with protrusions. The predictions highlight that the protrusions at the front end of the channel significantly impact the overall heat transfer coefficient, as does the uniformity of the protrusion heights. Similarly, Wael M. El-Maghlany [15] utilized experimental data of TiO2/water, ZnO/water, and Ag/water nanofluids in helical tubes to design artificial neural networks for predicting Nusselt numbers and pressure drops, with both experimental and predictive data. The results demonstrated that the GRNN achieved greater accuracy in predicting Nusselt numbers and pressure drops compared to the Feed Forward Neural Network (FFNN). Alireza Baghban [16] explored the prediction of heat transfer performance for CNT/water nanofluids passing through coils using machine learning methods, focusing on the Prandtl number, volume concentration, and the number of spirals in the coil heat exchanger as input variables to predict the Nusselt number. The study utilized Multilayer Perceptron Artificial Neural Networks (MLP-ANN), Adaptive Neuro-Fuzzy Inference System (ANFIS), and Least Squares Support Vector Machine (LSSVM) models.
Therefore, the present study aims to apply machine learning methods to fit the relationship between the structure of the inserts and the heat transfer results, laying the foundation for optimizing the design of the inserts and identifying the optimal overall heat transfer performance within the heat exchange tubes. This study introduces a heat transfer enhancement structure that combines twisted fins and inserts, and examines the heat exchange and fluid flow structure inside tubes after incorporating this structure. Subsequently, the study employs CFD methods to simulate cases involving various geometric parameters of this structure, creating a database for machine learning. Ultimately, the optimal geometric parameters of the structure are determined through an appropriate machine learning algorithm acting as a surrogate for the NSGA-II multi-objective optimization algorithm.

2. Materials and Methods

The numerical model in this study is simplified based on the following core assumptions: the working fluid has constant thermophysical properties, is incompressible, and behaves as a Newtonian fluid. Additionally, it is assumed that the flow field is steady, isotropic turbulence, while factors such as gravity effects, viscous heating, natural convection, body forces, and radiation are neglected. On these premises, a three-dimensional steady-state computational model is adopted, and corresponding control equations are formulated for numerical analysis.

2.1. Governing Equations

Energy equation:
ρ c p u i T x i = λ 2 T x i 2 i = 1 3
Continuity equation:
u i x i = 0 i = 1 3
Momentum equation:
ρ u i u j x i = p x i + x i μ u j x i i ,   j = 1 3
In this study, the BSL k-ω turbulence model was utilized, which was derived as follows:
u 1 t + u j u 1 x j = 1 ρ p x i + x j ν + v T u 1 x j
where u = u 1 , ν = u 2 , x = x1 and y = x2. The eddy viscosity, denoted as v T , is computed as k/ω, as determined by
k t + u j k x j = x j ν + σ v T k x j + τ n j u n x j β * k ω
ω t + u j ω x j = x j ν + σ v T ω x j β 1 ω 2 + λ ω k τ n j u n x j + 2 1 F 1 σ ω k x j ω x j
where the variable ω represents the specific dissipation rate, k denotes the turbulent kinetic energy, and τ is used to signify the residual stress tensor. These equations incorporate several constants, including β1 set at 0.075, β fixed at 0.09, σ assigned a value of 0.5, and λ determined to be 0.556. The factor F 1 , integral to these calculations, is elaborated upon in reference [17].
The modeling of heat transfer from the tube wall to the water is quantified by the following equation:
Q ˙ a i r = C p , water m ˙ T o T i
In this context, Q ˙ w a t e r signifies the heat absorbed by the water, C p , w a t e r is the specific heat capacity of water, and T i and T o represent the inlet and outlet temperatures of the water, respectively. For the characterization of heat transfer on the tube surface, the equation is expressed as follows:
Q ˙ c o n v = h A s T s T b
where T b represents the fluid temperature inside the tube, which can be calculated using the formula T b = T o + T i / 2 . Since Q ˙ c o n v = Q ˙ a i r , the average heat transfer coefficient h can be defined as follows:
h = m ˙ C p ,   water   T o T i A s T s T b
Thus, the average Nusselt number, which offers insight into the efficiency of heat transfer relative to conductive heat transfer, can be derived from h using the following equation:
N u ¯ = h d k
where d represents the hydraulic diameter of the tube, which can be gained using the following formula:
d = 4 A c P = 2 W 2 r t G t W 2 r t + G t
The friction factor is an important parameter to measure the resistance of the heat exchange process in the tube and can be calculated from the following equation:
f = 2 l d Δ P ρ U 2
The Performance Evaluation Criterion (PEC) is a crucial factor that incorporates both the Nusselt number and the friction factor to assess the efficiency of a design, which is defined as follows:
P E C = N u 1 N u 0 f 1 f 0 1 3

2.2. Geometry and Numerical Method

Figure 1 depicts a heat exchange tube incorporating TWs-CSTT (Twisted Wings—Central Straight Twisted Tape) inserts. The tube is made of aluminum and has a total length of 600 mm, a diameter of 18.44 mm, and a thickness of 1.0 mm. Ten identical TWs are welded to its inner wall at equal angular intervals, each with a width of 1.0 mm and a length of L1, shown in the figure as 3.0 mm. At the center of the tube is placed a CSTT, with a length of L2 (as indicated in the figure, 2.5 mm) and a width of 1.0 mm.
In the current study, water served as the working fluid, while aluminum was selected for both the tube and the twisted tape insert. The physical properties of these two materials are detailed in Table 1.
As illustrated in Figure 2, although the tube’s length is 600 mm, there are fluid regions of 200 mm and 100 mm at the inlet and outlet sections, respectively. This design aims to achieve a stable inlet flow velocity and prevent fluid backflow. The inlet fluid temperature is set to 300 K, with a turbulence intensity of 5.79%, an initial flow velocity of 0.108, and a wall temperature of 350 K, under a no-slip condition. The outlet side is exposed to atmospheric pressure. The results are considered converged when the continuity and momentum equations’ scaled residuals reach 10−5 and the energy equation reaches 10−8.

2.3. Mesh Independence and Validation

In the finite element simulation process, due to the significant impact of mesh quality on the numerical calculation results, ensuring mesh quality and verifying mesh independence are essential steps. In this study, the sweeping method was used to divide the model mesh. First, a surface mesh was generated on the side of the model, and then the mesh was divided along the length of the tube based on this surface mesh, forming a structured hexahedral mesh. This study generated four different quantities of mesh structures using the same division method and compared the tube wall parameters’ Nusselt number (Nu) and friction factor (f) to verify mesh independence. The results are presented in Figure 3. According to Figure 3, the results for Structure 3 and Structure 4 show little difference. To save costs, this study adopts Structure 3 for numerical calculations.
The experimental setup of this study adheres to the requirements of the Blasius empirical formula, as referenced in [15]. Therefore, calculations for the Nu and f were based on this formula, and the results were compared with simulation outcomes, as shown in Figure 4. For Reynolds numbers (Re) in the range of 1875 to 3375, the deviation of Nu from theoretical values ranged between 0.35% and 6.12%, while the deviation of f from the theoretical values ranged between 7.01% and 4.45%. This indicates that the numerical simulation results of this study are reliable.

3. Regression Models and NSGA-II Method

3.1. Linear Regression

Linear regression is a fundamental statistical method in machine learning, designed for modeling the relationship between a dependent variable and one or more independent variables. The core idea is to fit a linear equation to observed data, where the equation describes how the dependent variable changes as the independent variables vary. Linear regression is widely appreciated for its simplicity, interpretability, and efficiency in predicting outcomes. It serves as a starting point for regression analysis, providing a clear framework for understanding the impact of variables on a response.
The mathematical foundation of linear regression is encapsulated by the equation of a straight line:
y = β 0 + β 1 x 1 + β 2 x 2 + + β n x n + ϵ
where y represents the dependent variable,   x 1 , x 2 , , x n are the independent variables, β 0 is the y-intercept,   β 1 , β 2 , , β n are the coefficients that represent the weight of each independent variable in predicting the dependent variable, and ϵ is the error term, accounting for the difference between the predicted and actual values. The goal of linear regression analysis is to find the values of the coefficients β that minimize the sum of the squared differences between the observed and predicted values, often through methods like Ordinary Least Squares (OLS). This optimization leads to the model that best fits the data, allowing for the prediction of outcomes based on new inputs of the independent variables.

3.2. Support Vector Regression

Support Vector Regression (SVR) represents a pivotal methodology within the sphere of machine learning algorithms, designed to address regression problems. Originating from the principles of Support Vector Machines (SVM), which are predominantly utilized for classification tasks, SVR extends this framework to predict continuous values. The essence of SVR lies in its ability to establish an optimal decision boundary, or hyperplane, in feature space, aiming to forecast continuous outcomes with high accuracy. This algorithm meticulously constructs a model by defining a loss function that quantifies the deviation between the predicted and actual values, striving to minimize this discrepancy to yield precise predictions for new input data.
The foundation of SVR is formalized through an optimization problem aimed at finding a hyperplane characterized by the weight vector w and bias b, which minimizes the prediction error for continuous outputs. The objective function and constraints are succinctly given by the following:
  m i n w , b , ξ , ξ * 1 2 w + C i = 1 n + ( ξ i + ξ i * ) s . t . y i w x i + b ϵ + ξ i   w x i + b y i ϵ + ξ i *   ξ i 0   ξ i * 0
subject to the following constraints:
y i w , x i b ϵ + ξ i w , x i + b y i ϵ + ξ i * ξ i , ξ i * 0 ,
where w represents the weight vector of the hyperplane, b is the bias, C is the regularization parameter, ξ i and ξ i * are slack variables introduced to cope with otherwise infeasible constraints, and ϵ denotes the loss tolerance. This formulation ensures the balance between model complexity and the extent to which deviations larger than ϵ are tolerated, facilitating the prediction of continuous values with minimized error.

3.3. Gaussian Process Regression

Gaussian Process Regression (GPR) stands as a sophisticated non-parametric approach within the domain of machine learning, tailored for solving regression problems. Unlike traditional regression methods that assume a specific form for the underlying function, GPR operates on the principle of defining a prior over the functions and utilizing observed data to update this prior, which then informs predictions about unseen data. This methodology leverages the Gaussian process—a collection of random variables, any finite number of which have a joint Gaussian distribution—to model the distribution over possible functions that fit the data. GPR excels in providing not only predictions but also measures of uncertainty or confidence in these predictions, making it exceptionally valuable for applications requiring a risk assessment.
The essence of Gaussian Process Regression is captured in its ability to model the predicted outputs and their uncertainties using a Gaussian process characterized by a mean function m x and a covariance function k x , x . The mean function represents the average expected output for an input x , while the covariance function defines the similarity or correlation between the outputs of two inputs, x   and x . The predictive distribution for a new input x *   is Gaussian, with mean and variance given by:
μ x * = k x * , X [ K + σ n 2 I ] 1 y , σ 2 x * = k x * , x * k x * , X [ K + σ n 2 I ] 1 k X , x *
where X represents the matrix of the training inputs, y is the vector of the training outputs, K is the covariance matrix computed from all pairs of training inputs, σ n 2 is the noise variance, and I is the identity matrix.

3.4. Backpropagation Neural Network

The Backpropagation Neural Network (BPNN), a cornerstone architecture in the field of machine learning, is designed for tackling complex nonlinear modeling problems. BPNNs are characterized by their multilayered structure, typically comprising an input layer, one or more hidden layers, and an output layer. Each layer consists of nodes, or neurons, interconnected by weighted links. The primary function of a BPNN is to approximate any continuous function, making it highly versatile for a broad spectrum of applications, including pattern recognition, classification, and prediction tasks. The essence of BPNN lies in its learning process, where the network adjusts its weights based on the error between the actual and predicted outputs, effectively learning from the data.
The learning process in a BPNN is governed by the backpropagation algorithm, which is essentially a gradient descent method applied to minimize the error of the network’s output. The algorithm involves two main phases: a forward pass and a backward pass. During the forward pass, input data are passed through the network, layer by layer, until it produces an output. The output is then compared to the desired output, and the difference (error) is calculated. In the backward pass, this error is propagated back through the network, allowing for the adjustment of weights to reduce the error. The weights are updated according to the gradient of the error with respect to each weight, using the following formula:
Δ w i j = η E w i j
where Δ w i j is the change to be applied to the weight w i j connecting the i th and j th neurons, Δ is the learning rate, and E is the error measure. This process is repeated for many iterations, or epochs, over the training dataset until the network’s performance reaches a satisfactory level. Through this iterative optimization, BPNNs are capable of capturing complex relationships in the data, making them a powerful tool for a wide range of machine learning tasks.

3.5. NSGA-II

The Non-dominated Sorting Genetic Algorithm II (NSGA-II) is an advanced evolutionary algorithm tailored for solving complex multi-objective optimization problems, and is adept at identifying a set of optimal solutions known as the Pareto front. Key to its approach is a fast non-dominated sorting procedure, which organizes solutions into levels based on dominance relations, coupled with a crowding distance mechanism to ensure diversity among solutions. NSGA-II excels through its selection process, favoring solutions with lower dominance ranks and higher crowding distances, thereby efficiently evolving towards the Pareto front while preserving solution diversity. This algorithm is renowned for its effectiveness in diverse fields, streamlining decision-making by offering a balanced set of trade-off solutions for conflicting objectives.

4. Results

4.1. Results of Flow Characteristic

Figure 5 illustrates the flow lines of fluid under the TWs-CSTT structure at a Reynolds number of 2175, where the flow lines closer to red indicate higher velocities and those closer to blue indicate lower velocities. This structure impacts both the direction and speed of fluid flow, impeding its movement along the direction of the heat exchange tube. At the inlet, the direction of the fluid close to the tube wall aligns with the rotation direction of the TWs’ structure and exhibits lower speeds. The central fluid flow direction is less affected by the CSTT structure, maintaining higher velocities parallel to the axis of the heat exchange tube. Focusing on the outlet, it is observed that the direction of the fluid near the tube wall remains consistent with the rotation direction of the TWs’ structure, but the velocity is lower than at the inlet. The central fluid, after undergoing full flow development, also exhibits a flow direction similar to the CSTT structure. Therefore, it is evident that the flow within the tube undergoes a rotational motion, leading to a more effective secondary flow, stronger mixing effects, and better thermal boundary layer disturbances.
In Figure 6, four representative locations positioned at L/5, 2L/5, 3L/5, and 4L/5 of the tube length were selected to display the velocity contours of the working fluid along the flow direction on the cross-sections. It is observed that the fluid velocities near the TWs and CSTT structures are lower due to the resistance posed by these structures, whereas the fluid between them experiences less obstruction, resulting in the highest velocities within the section. Additionally, it is noted that the velocity of the central fluid gradually decreases along the flow direction, while the velocity changes near the TWs and CSTT structures are not as pronounced. This indicates that the fluid exhibits a relatively stable flow structure within the tube.
Figure 7 depicts the fluid streamline trajectories under the TWs-CSTT structure at a Reynolds number of 2175, where streamlines closer to red indicate higher temperatures and those closer to blue indicate lower temperatures. At the inlet, the fluid temperature near the tube wall is significantly affected by the TWs structure, resulting in more drastic streamline changes, while the central fluid is less influenced by the CSTT structure, leading to more intense heat exchange near the wall and thus higher temperatures. At the outlet, the fluid temperature near the wall remains higher than that of the central fluid, but the temperature difference between them is greater than at the inlet.
Figure 8, selecting the same four cross-sections located at L/5, 2L/5, 3L/5, and 4L/5, as in Figure 2, displays the temperature contours on the sections. It is observable that the temperature field distribution near the TWs and CSTT structures differs significantly. Near the TWs’ structure, the fluid temperature is higher, with most of the fluid exceeding 315 K, and the temperature of the fluid near the wall can reach up to 350 K; conversely, the fluid temperature near the CSTT structure remains relatively lower, consistent with the inlet temperature of 300 K. However, as the flow progresses, this portion of the fluid, disturbed by the CSTT structure, engages in more vigorous heat exchange with the surrounding fluid, leading to a noticeable increase in temperature near the CSTT.

4.2. Results of Machine Learning Models

Figure 9 illustrates the comparison between the predicted values from the trained multiple linear regression model and the actual values, while a table quantitatively presents the performance of the model according to the evaluation criteria. In the figure, red dots represent the predicted values, and grey dots represent the actual values. Lines are used to connect these points to better display the results.
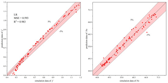
Figure 9 demonstrates that the LR model exhibits an excellent overall fit quality, as evidenced by a low MSE = 0.593 and a high R2 = 0.983. These metrics indicate that a minimal error and a high predictive accuracy were obtained from regression analysis. Further observation reveals that the model fits better for smaller values of the Nu and friction factors f in the range of 0.5–0.6, with the LR model showing a better fitting performance for Nu compared to the f parameter. As expected, given the simplicity of the computational principles of the LR method, the training process required very little time (t = 0.0890 s).
As highlighted earlier, the efficacy of the GPR model is considerably affected by the kernel functions selected. Consequently, this research undertook regression analyses of the GPR model employing three distinct kernel functions: MOGPR with Matern kernel, GPR with RBF kernel, and GPR combined with Dotproduct kernel and WhiteKernel. The fitting results and performance metrics of these three kernel functions on the GPR model are showcased in Figure 10.
Employing kernel functions in GPR has yielded notable advancements in performance, especially when utilizing the Matern kernel, alongside the synergistic integration of Dotproduct and WhiteKernel kernel functions. The implementation of the Matern kernel resulted in a reduction in the Mean Squared Error (MSE) to 1.58, as well as achieving an R2 value of 0.973, reflective of its high predictive accuracy. Conversely, while the amalgamation of Dotproduct and WhiteKernel kernels mirrored the R2 value attained by the Matern kernel and even surpassed its performance in terms of MSE reduction, it concurrently introduced a significant surge in computational demand, necessitating nearly double the computation time relative to that required by the Matern kernel. This observation underscores the importance of balancing computational efficiency with predictive accuracy in the selection of kernel functions for GPR. Meanwhile, the RBF kernel significantly underperformed in terms of model fitting compared to the other two methods, failing to meet the expected error control and predictive accuracy, especially with larger values of nu, where the predictions diverged notably from the actual values.
For the SVR algorithm, this study employed two different kernel functions for regression analysis, SVR + RBF and SVR + LR, with the fitting results displayed in Figure 1. The figure also presents the evaluation metrics of the SVR algorithm under these two kernel functions. As shown in Figure 11, the SVR model with the RBF kernel function exhibited a significant deviation from the actual values (MSE = 5.87) and a smaller variance (R2 = 0.848), failing to achieve a satisfactory fitting effect. However, as illustrated in Figure 8, the combination of SVR with the LR kernel function yielded more satisfactory results, with MSE = 0.600 and R2 = 0.964. It is noteworthy that the MSE value for the LR model was 0.59, making the fitting results of the LR kernel function closely comparable in terms of MSE value, although it was slightly inferior in R2 value to the LR model. The LR kernel function demonstrated a good fitting performance on the Nu number, but was slightly less effective in fitting the f parameter.
Neural network models, due to their ability to set multiple neurons in the output layer and the introduction of intermediate layers allowing for interactions between output layer neurons during training, naturally adapt to the demands of multi-output regression, often achieving an excellent fitting performance. This is confirmed in the application of the Back Propagation Neural Network (BPNN) model. The comparison of predicted versus actual values displayed in Figure 12 reveals that the BPNN model fits well for Nu numbers in the range of 45–60, but shows a significant deviation for Nu numbers in the 60–70 range. Similar to Nu numbers, the BPNN model’s predictions for the f parameter significantly diverge from actual values, which is particularly noticeable within the 0.8–1.2 range. As seen in Figure 12, the BPNN model’s MSE = 1.33 is greater than the MSE = 0.593 of the LR model, and its R2 = 0.954 is less than the R2 = 0.983 of the LR model, indicating that the BPNN model’s fitting performance is slightly inferior to that of the LR model. Additionally, the computational time of the BPNN model, t = 1.26 s, is more than eleven times that of the LR model, t = 0.0914 s, and this drawback becomes more pronounced with an increase in training data volume and the number of neurons in hidden layers.
In summary, considering the model’s predictive accuracy and training time, the BPNN model, which exhibits significant deviations between the predicted and actual values and requires a longer training time, was not selected as one of the surrogate models for multi-objective optimization in this study. Instead, three models were chosen: LR, GPR, and SVR. For the GPR model, the combination of Dotproduct and WhiteKernel kernel functions was selected due to its lower MSE and higher R2. In the SVR model, the LR kernel function was chosen as it had the lowest MSE and highest R2 among the three kernel functions that were evaluated.

4.3. Results of NSGA-II Optimistic

Figure 13 showcases the optimized results of the three models selected as surrogates in the NSGA-II algorithm, as detailed in Section 4.2. Within the NSGA-II settings, the population size was set at 150, with a maximum of 20 iterations. The results of the 1st, 3rd, 5th, and 7th iterations are displayed in the small graphs on the left, while the results of the 10th iteration are placed in the right-side graph, with the selected optimal geometric parameter combinations highlighted in blue. Figure 13a represents the Pareto front obtained by the GPR model with the Dotproduct and WhiteKernel combination kernel, Figure 13b represents the Pareto front obtained by the LR model, and Figure 13c represents the Pareto front obtained by the SVR model with the LR kernel function.
From the figures, it can be seen that these three surrogate models demonstrated excellent convergence results, achieving similar Pareto fronts at a relatively fast convergence speed, with f values in the range of 0.2–1.4 and Nu values between 40 and 70. For the solution set on the 10th generation Pareto front, the study selected the solution with the highest PEC value as the optimal solution, according to the evaluation metric PEC mentioned in Formula (13), representing the optimal geometric parameters for the TWs-CSTT structure. For the GPR model, the optimal geometric parameter combination was P = 50.699 mm, L1 = 4.3282 mm, L2 = 4.9736 mm. For the LR model, the optimal geometric parameter combination was P = 50.864 mm, L1 = 4.4961 mm, L2 = 4.9992 mm. For the SVR model, the optimal geometric parameter combination was P = 50.699 mm, L1 = 4.3282 mm, L2 = 4.9736 mm.

5. Conclusions

This study introduced a structure incorporating TWs-CSTT and employed various machine learning methods as surrogate models to perform a multi-objective optimization of the geometric parameters of this structure. A database of 100 data points was obtained from simulation calculations for training the machine learning models, and 5-fold cross-validation was utilized to enhance the accuracy and generalization ability of the model training. The following conclusions are summarized:
  • The temperature distribution contours and flow streamline diagrams indicate that the TWs-CSTT structure facilitates the formation of vortices around the structure, reducing the boundary layer thickness and decreasing fluid velocity, and thereby increasing heat exchange time and enhancing the heat transfer effect.
  • Among the four machine learning models selected, the LR model, SVR model, and GPR model all achieved satisfactory fitting results. The LR model exhibited the lowest MSE value and the highest R2 value.
  • The optimal geometric parameters of the TWs-CSTT structure, obtained through the NSGA-II multi-objective optimization algorithm represented by three machine learning model surrogates, were identified as follows: P = 50.699 mm, L1 = 4.3282 mm, and L2 = 4.9736 mm for the GPR model; P = 50.864 mm, L1 = 4.4961 mm, and L2 = 4.9992 mm for the LR model; and P = 50.699 mm, L1 = 4.3282 mm, and L2 = 4.9736 mm for the SVR model.

Author Contributions

Conceptualization, Q.C., Z.Q., and Q.W.; methodology, Q.C.; software, Q.C., Z.Q.; formal analysis, Z.Q.; investigation, Z.Q.; resources, Q.C.; data curation, Q.C.; writing—original draft preparation, Q.C.; writing—review and editing, Z.Q. and Q.W.; visualization, Q.C.; supervision, Q.C.; project administration, Q.C. All authors have read and agreed to the published version of the manuscript.

Funding

This research received no external funding.

Data Availability Statement

The original contributions presented in the study are included in the article, further inquiries can be directed to the corresponding author.

Conflicts of Interest

We declare that we have no financial and personal relationships with other people or organizations that can inappropriately influence our work; there is no professional or other personal interest of any nature or kind in any product, service and/or company that could be construed as influencing the position presented in, or the review of, the manuscript entitled, “Optimization of thermohydraulic performance of circular tube hear exchanger fitted with L-shaped twisted tape insert”.

Nomenclature

A s Cross-sectional area of the channel ( m 2 )
c p Specific heat ( J / kg · K 1 )
d Hydraulic diameter ( mm )
D Inner diameter of twisted tape ( mm )
f Friction Factor ( Δ P · D e / 2 L ρ u 2
f 0 Friction Factor without tape insert ( Δ P · D e / 2 L ρ u 2
f 1 Friction Factor with tape insert ( Δ P · D e / 2 L ρ u 2
G Fin spacing ( mm )
h Average convective heat transfer coefficient ( W / m 2 · K )
m ˙ Mass Flow ( kg / s )
N u ¯ Average N u number ( h · D e / λ )
N u 0 Average N u number without twisted tape ( h · D e / λ )
N u 1 Average N u number with twisted tape ( h · D e / λ )
l Length of flow section ( mm )
p Pressure ( Pa )
P Twist pitch ( mm )
Q ˙ a i r Total rate of heat transfer ( w )
Q ˙ c o n v Total rate of heat transfer ( w )
R e The Reynolds number
T s Average surface temperature ( K )
T b Fluid bulk temperature ( K )
T i Fluid outlet temperature ( K )
T o Fluid inlet temperature ( K )
u Velocity component along the x-axis ( m / s )
U Mean velocity of the flow ( m / s )
v Velocity component along the y-axis ( m / s )
w Velocity component along the z-axis ( m / s )
x Flow streamwise coordinate ( mm )
Δ P Pressure drop in tube ( Pa )
Greek symbols
ρ Density of fluid ( kg / m 3 )
λ Kinematic viscosity ( W / m · K 1 )
μ Dynamic viscosity ( kg / m · s 1 )
ε Statistical error in RSM
β Regression coefficient in RSM
Subscripts
o Outlet
i Inlet
w a t e r Water
w a l l Wall

References

  1. Thapa, S.; Samir, S.; Kumar, K.; Singh, S. A Review Study on the Active Methods of Heat Transfer Enhancement in Heat Exchangers Using Electroactive and Magnetic Materials. Mater. Today Proc. 2021, 45, 4942–4947. [Google Scholar] [CrossRef]
  2. Min, C.; Li, H.; Gao, X.; Wang, K.; Xie, L. Numerical Investigation of Convective Heat Transfer Enhancement by a Combination of Vortex Generator and In-Tube Inserts. Int. Commun. Heat Mass Transf. 2021, 127, 105490. [Google Scholar] [CrossRef]
  3. Arjmandi, H.; Amiri, P.; Saffari Pour, M. Geometric Optimization of a Double Pipe Heat Exchanger with Combined Vortex Generator and Twisted Tape: A CFD and Response Surface Methodology (RSM) Study. Therm. Sci. Eng. Prog. 2020, 18, 100514. [Google Scholar] [CrossRef]
  4. Hong, Y.; Zhao, L.; Huang, Y.; Li, Q.; Jiang, J.; Du, J. Turbulent Thermal-Hydraulic Characteristics in a Spiral Corrugated Waste Heat Recovery Heat Exchanger with Perforated Multiple Twisted Tapes. Int. J. Therm. Sci. 2023, 184, 108025. [Google Scholar] [CrossRef]
  5. Lin, Z.-M.; Wang, L.-B.; Lin, M.; Dang, W.; Zhang, Y.-H. Numerical Study of the Laminar Flow and Heat Transfer Characteristics in a Tube Inserting a Twisted Tape Having Parallelogram Winglet Vortex Generators. Appl. Therm. Eng. 2017, 115, 644–658. [Google Scholar] [CrossRef]
  6. Promvonge, P.; Skullong, S. Heat Transfer in a Tube with Combined V-Winglet and Twin Counter-Twisted Tape. Case Stud. Therm. Eng. 2021, 26, 101033. [Google Scholar] [CrossRef]
  7. Krishnayatra, G.; Tokas, S.; Kumar, R. Numerical Heat Transfer Analysis & Predicting Thermal Performance of Fins for a Novel Heat Exchanger Using Machine Learning. Case Stud. Therm. Eng. 2020, 21, 100706. [Google Scholar] [CrossRef]
  8. Sundar, L.S.; Mewada, H.K.; Sangaraju, S. Experimental and Ensemble Machine Learning Analyses of Heat Transfer, Friction Factor and Thermal Performance Factor of rGO/Water Nanofluids in a Tube. Int. J. Thermofluids 2024, 21, 100557. [Google Scholar] [CrossRef]
  9. Ekrani, S.M.; Ganjehzadeh, S.; Esfahani, J.A. Multi-objective optimization of a tubular heat exchanger enhanced with delta winglet vortex generator and nanofluid using a hybrid CFD-SVR method. Int. J. Therm. Sci. 2023, 186, 108141. [Google Scholar] [CrossRef]
  10. Khan, M.Z.A.; Khan, H.A.; Aziz, M. Performance Optimization of Heat-Exchanger with Delta-Wing Tape Inserts Using Machine Learning. Appl. Therm. Eng. 2022, 216, 119135. [Google Scholar] [CrossRef]
  11. Sarkar, P.S.; Singh, K.K.; Shenoy, K.T.; Sinha, A.; Rao, H.; Ghosh, S.K. Liquid–Liquid Two-Phase Flow Patterns in a Serpentine Microchannel. Ind. Eng. Chem. Res. 2012, 51, 5056–5066. [Google Scholar] [CrossRef]
  12. Der, O.; Bertola, V. An Experimental Investigation of Oil-Water Flow in a Serpentine Channel. Int. J. Multiph. Flow 2020, 129, 103327. [Google Scholar] [CrossRef]
  13. Peng, H.; Ling, X. Predicting thermal–hydraulic performances in compact heat exchangers by support vector regression. Int. J. Heat Mass Transf. 2015, 84, 203–213. [Google Scholar] [CrossRef]
  14. Zheng, X.; Yang, R.; Wang, Q.; Yan, Y.; Zhang, Y.; Fu, J.; Liu, Z. Comparison of GRNN and RF Algorithms for Predicting Heat Transfer Coefficient in Heat Exchange Channels with Bulges. Appl. Therm. Eng. 2022, 217, 119263. [Google Scholar] [CrossRef]
  15. El-Maghlany, W.M.; Hozien, O.; Sorour, M.M.; Mohamed, Y.S. Prediction of nanofluid heat transfer characteristic and pressure drop in helical coil via artificial neural networks. Int. J. Therm. Sci. 2022, 181, 107768. [Google Scholar] [CrossRef]
  16. Baghban, A. Sensitivity Analysis and Application of Machine Learning Methods to Predict the Heat Transfer Performance of CNT/Water Nanofluid Flows through Coils. Int. J. Heat Mass Transf. 2019, 128, 825–835. [Google Scholar] [CrossRef]
  17. Oliveira, A.C.; Almeida, A.C.L. Numerical Solution of Boundary Layer Equations Based on Optimization: The Ostrach and Blasius Models. Int. J. Non-Linear Mech. 2019, 113, 103–111. [Google Scholar] [CrossRef]
Figure 1. Geometry model of heat exchange tube and TWs-CSTT.
Figure 1. Geometry model of heat exchange tube and TWs-CSTT.
Processes 12 01458 g001
Figure 2. The boundary condition of the circular tube fitted with TWs-CSTT.
Figure 2. The boundary condition of the circular tube fitted with TWs-CSTT.
Processes 12 01458 g002
Figure 3. Results of Nu and f using different grid numbers.
Figure 3. Results of Nu and f using different grid numbers.
Processes 12 01458 g003
Figure 4. The comparison between Blasius models and numerical results.
Figure 4. The comparison between Blasius models and numerical results.
Processes 12 01458 g004
Figure 5. Streamlines colored by the velocity magnitude of a circular tube’s inlet and outlet.
Figure 5. Streamlines colored by the velocity magnitude of a circular tube’s inlet and outlet.
Processes 12 01458 g005
Figure 6. Velocity distribution via flow direction on four selected planes.
Figure 6. Velocity distribution via flow direction on four selected planes.
Processes 12 01458 g006
Figure 7. Temperature streamlines of circular tube inlet and outlet.
Figure 7. Temperature streamlines of circular tube inlet and outlet.
Processes 12 01458 g007
Figure 8. Temperature distribution via flow direction on four selected planes.
Figure 8. Temperature distribution via flow direction on four selected planes.
Processes 12 01458 g008
Figure 9. Training and simulation results of the LR model.
Figure 9. Training and simulation results of the LR model.
Processes 12 01458 g009
Figure 10. Training and simulation results of GPR models.
Figure 10. Training and simulation results of GPR models.
Processes 12 01458 g010
Figure 11. Training and simulation results of SVR models.
Figure 11. Training and simulation results of SVR models.
Processes 12 01458 g011
Figure 12. Training and simulation results of BPNN model.
Figure 12. Training and simulation results of BPNN model.
Processes 12 01458 g012
Figure 13. NSGA-II optimization results based on three model: (a) GPR model, (b) LR model, (c) SVR model.
Figure 13. NSGA-II optimization results based on three model: (a) GPR model, (b) LR model, (c) SVR model.
Processes 12 01458 g013
Table 1. Physical properties of materials.
Table 1. Physical properties of materials.
MaterialDensity
( k g / m 3 )
Specific Heat
( J / k g · K 1 )
Thermal Conductivity
( W / m · K 1 )
Water998.241820.6
Aluminum2719871202.4
Disclaimer/Publisher’s Note: The statements, opinions and data contained in all publications are solely those of the individual author(s) and contributor(s) and not of MDPI and/or the editor(s). MDPI and/or the editor(s) disclaim responsibility for any injury to people or property resulting from any ideas, methods, instructions or products referred to in the content.

Share and Cite

MDPI and ACS Style

Cao, Q.; Qian, Z.; Wang, Q. Optimization of Twist Winglets–Cross-Section Twist Tape in Heat Exchangers Using Machine Learning and Non-Dominated Sorting Genetic Algorithm II Technique. Processes 2024, 12, 1458. https://doi.org/10.3390/pr12071458

AMA Style

Cao Q, Qian Z, Wang Q. Optimization of Twist Winglets–Cross-Section Twist Tape in Heat Exchangers Using Machine Learning and Non-Dominated Sorting Genetic Algorithm II Technique. Processes. 2024; 12(7):1458. https://doi.org/10.3390/pr12071458

Chicago/Turabian Style

Cao, Qiqi, Zuoqin Qian, and Qiang Wang. 2024. "Optimization of Twist Winglets–Cross-Section Twist Tape in Heat Exchangers Using Machine Learning and Non-Dominated Sorting Genetic Algorithm II Technique" Processes 12, no. 7: 1458. https://doi.org/10.3390/pr12071458

APA Style

Cao, Q., Qian, Z., & Wang, Q. (2024). Optimization of Twist Winglets–Cross-Section Twist Tape in Heat Exchangers Using Machine Learning and Non-Dominated Sorting Genetic Algorithm II Technique. Processes, 12(7), 1458. https://doi.org/10.3390/pr12071458

Note that from the first issue of 2016, this journal uses article numbers instead of page numbers. See further details here.

Article Metrics

Back to TopTop