The Effect of High-Speed Steam Discharged from the Bypass Diffusers on Low-Pressure Turbine Blades
Abstract
1. Introduction
2. Computational Method
2.1. Physical Model and Computational Domain
2.2. Grid Generation
2.3. Calculation Method and Boundary Conditions
2.4. Empirical Formula Validation
3. Calculation Results and Analysis
3.1. Steady-State Simulation
3.2. Transient Simulation
3.2.1. The Transient Characteristics of the Flow Field
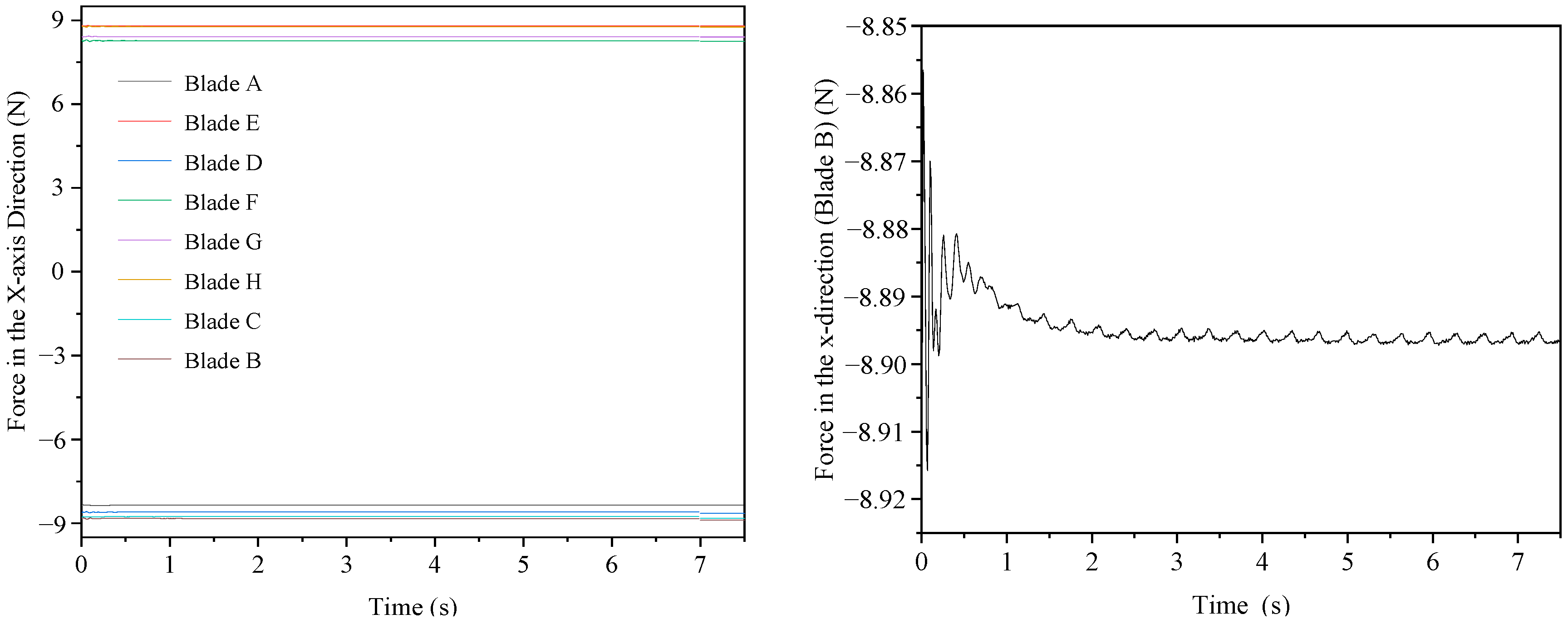
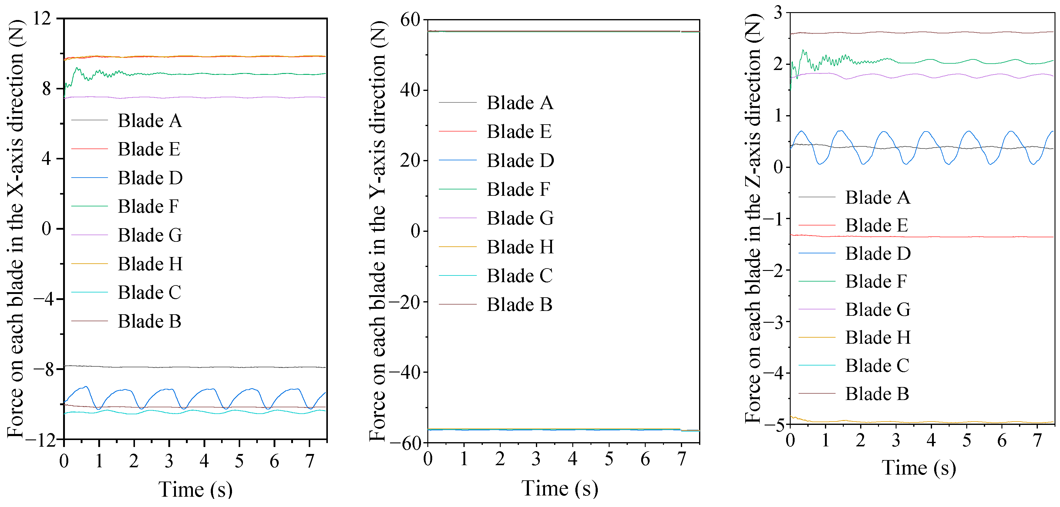
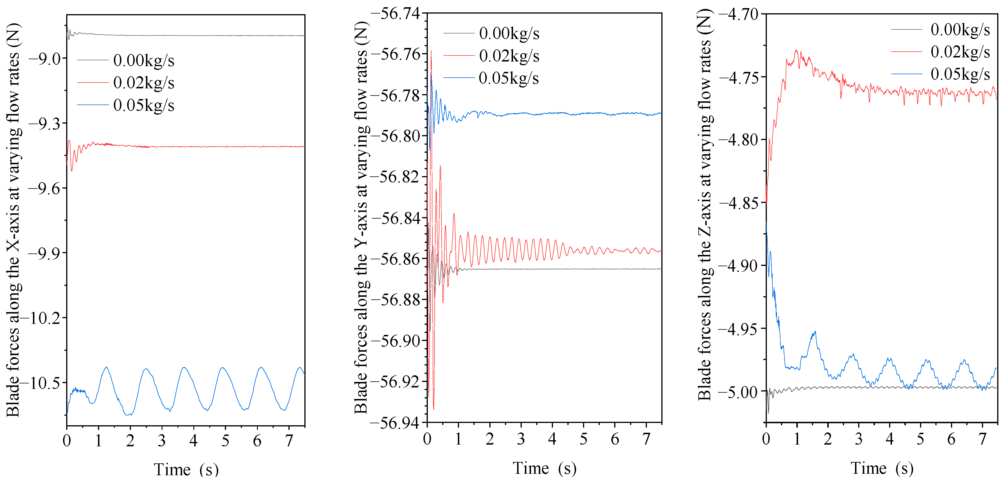
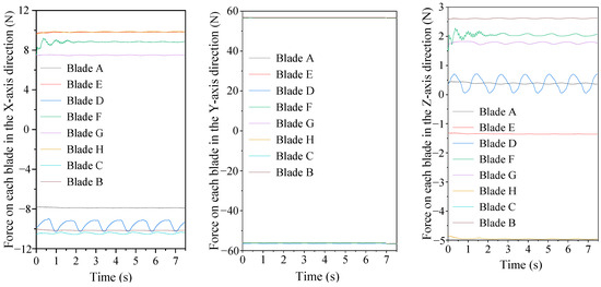
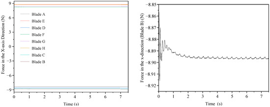
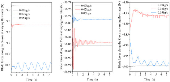
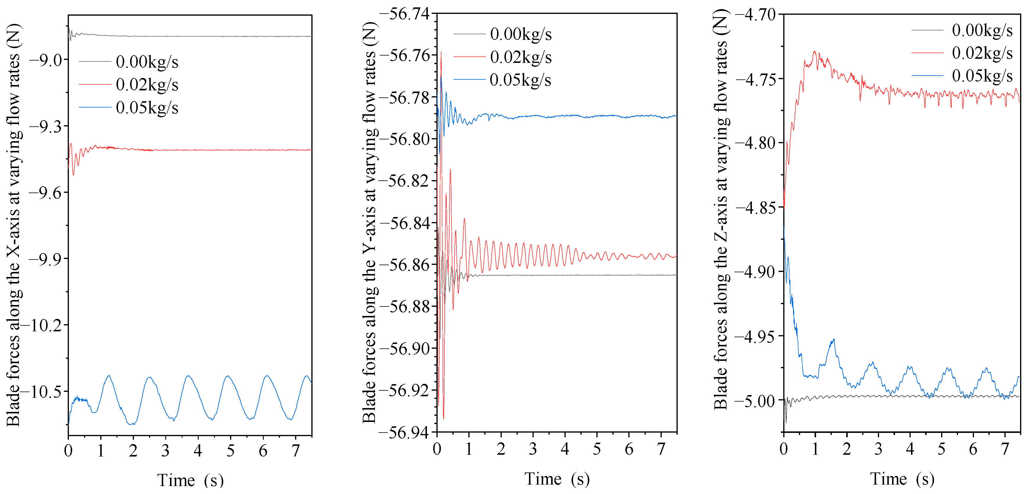
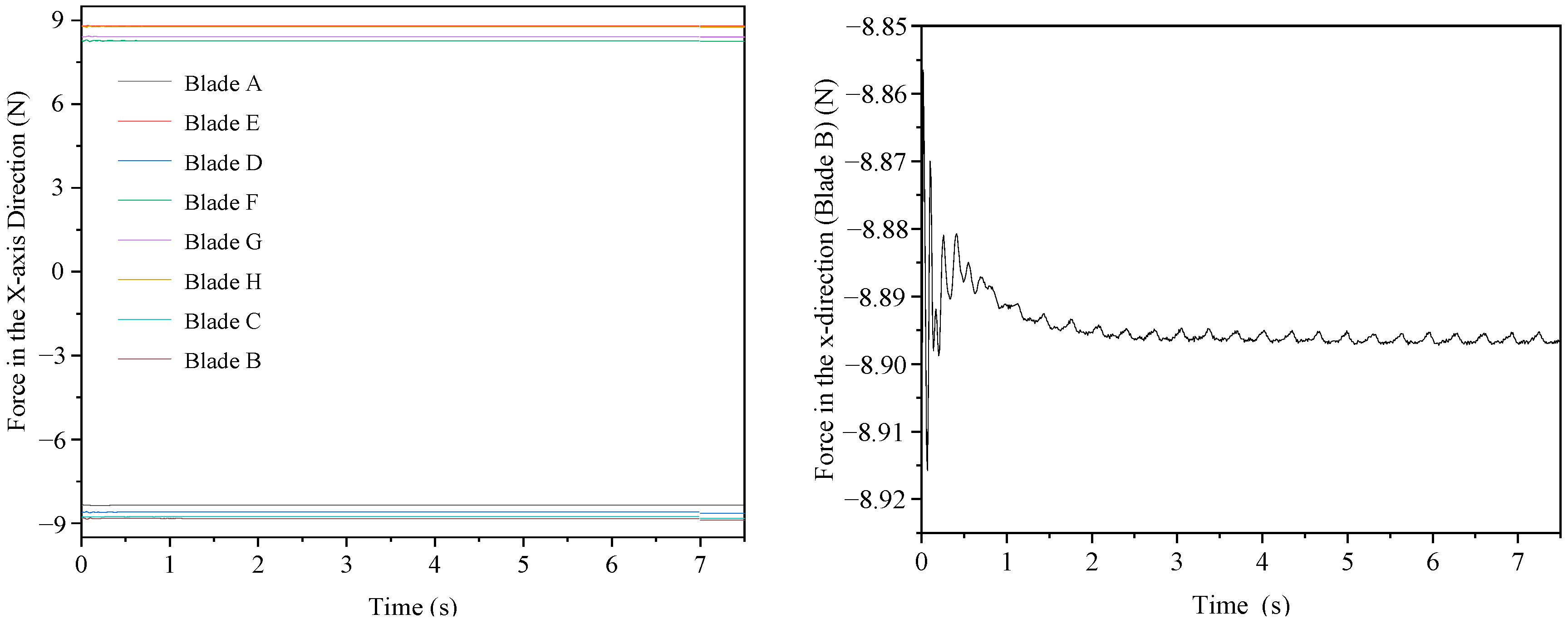
3.2.2. The Transient Characteristics of the Forces Acting on the Last-Stage Rotating Blades
4. Conclusions
Author Contributions
Funding
Data Availability Statement
Acknowledgments
Conflicts of Interest
References
- Akhtar, S.Z. Proper steam bypass system design avoids steam turbine overheating. Power Eng. 2003, 107, 44–49. [Google Scholar]
- Eaton, R.H.; Blessman, E.R.; Schoonover, K.G. Design considerations and operation of condenser bypass systems in combined cycle power plants: Part 2. In Proceedings of the ASME 2004 Power Conference, Baltimore, MD, USA, 30 March–1 April 2004; Volume 41626, pp. 263–268. [Google Scholar]
- Eaton, R.H.; Blessman, E.R.; Schoonover, K.G. Design considerations and operation of condenser bypass systems in combined cycle power p: Part 1. In Proceedings of the ASME 2004 Power Conference, Baltimore, MD, USA, 30 March–1 April 2004; Volume 41626, pp. 255–262. [Google Scholar]
- Lu, C.; Yang, J.; Zhang, Q. Pressure Transient Analysis on the Condenser of the HPR1000 Nuclear Power Unit. Energies 2024, 17, 1210. [Google Scholar] [CrossRef]
- Zu, S.; Chen, J.; Che, Y.; Wang, G.; Wu, Z.; Wang, J.; Zhu, C.; Zhang, Q.; Dong, B. Research on steam flow excited vibration of nuclear power condenser based on full three-dimensional numerical simulation technology. AIP Adv. 2022, 12, 035015. [Google Scholar] [CrossRef]
- Heat Exchange Institute, Inc. Standards for Steam Surface Condensers, 12th ed.; HEI-2629, Heat Exchange Institute: Cleveland, OH, USA, 2018. [Google Scholar]
- Sebald, J.F.; Phillips, N.A.; Haman, L.L. Haman. Recommended Guidelines for the Admission of High-Energy Fluids to Steam Surface Condensers; EPRI-CS-2251; Electric Power Research Institute: Palo Alto, CA, USA, 1982. [Google Scholar]
- Nightingale, D.M. Design guidelines for the safe operation of steam surface condenser turbine bypass on combined cycle power plants. In Proceedings of the ASME Power Conference, Charlotte, NC, USA, 26–30 June 2017. [Google Scholar]
- Connors, H.J., Jr. Fluidelastic vibration of heat exchanger tube arrays. J. Mech. Des. 1978, 100, 347–353. [Google Scholar] [CrossRef]
- Wu, F.; Han, A.; Jiang, W.; Yue, Y.; Xie, D. A biomimetic design of steam turbine blade to improve aerodynamic performance. Int. J. Therm. Sci. 2022, 181, 107782. [Google Scholar] [CrossRef]
- Menter, F.R. Two-equation eddy-viscosity turbulence models for engineering applications. AIAA J. 1994, 32, 1598–1605. [Google Scholar] [CrossRef]
- Bardina, J.E.; Huang, P.G.; Coakley, T.J. Turbulence Modeling Validation, Testing, and Development. In NASA Technical Memorandum; Ames Research Center: Moffett Field, CA, USA, 1997. [Google Scholar]
- Shabani, S.; Majkut, M.; Dykas, S.; Smołka, K.; Lakzian, E. An investigation comparing various numerical approaches for simulating the behavior of condensing flows in steam nozzles and turbine cascades. Eng. Anal. Bound. Elem. 2024, 158, 364–374. [Google Scholar] [CrossRef]
- Wang, W.; Gao, J.; Shi, X.; Xu, L. Cooling performance analysis of steam cooled gas turbine nozzle guide vane. Int. J. Heat Mass Transf. 2013, 62, 668–679. [Google Scholar] [CrossRef]
- Win Naung, S.; Rahmati, M.; Farokhi, H. Direct Numerical Simulation of Interaction between Transient Flow and Blade Structure in a Modern Low-Pressure Turbine. Int. J. Mech. Sci. 2021, 192, 106104. [Google Scholar] [CrossRef]
- Rajesh, B.C.; Hensh, P.K. CFD analysis of a single stage intermediate pressure steam turbine. Mater. Today Proc. 2021, 45, 58–64. [Google Scholar] [CrossRef]
- Fowler, J. Factors Affecting the Design of Turbine-Condenser Connections. J. Eng. Power. 1977, 99, 429–436. [Google Scholar] [CrossRef]
- Nagamatsu, H.; Sheer, R.J. Subsonic and supersonic jets and supersonic suppressor characteristics. In Proceedings of the Aeroacoustics Conference, Seattle, WA, USA, 15–17 October 1973; p. 999. [Google Scholar]
- Yang, S.; Du, W.; Luo, L.; Wang, S. Effects of flow coefficient on turbine aerodynamic performance and loss characteristics. Int. J. Aerosp. Eng. 2022, 2022, 4633333. [Google Scholar] [CrossRef]


















| Model Characteristics | Length L1 (mm) | Width L2 (mm) | Height L3 (mm) | Thickness L4 (mm) | Diameter D1 (mm) | Diameter D2 (mm) |
|---|---|---|---|---|---|---|
| Values | 11,239.5 | 15,972 | 22,800 | 22 | 1000 | 15 |
| Number/(×104) The Last-Stage Rotating Blades/Other Blades/The Total Grid Points of the Fluid Domain | The Maximum Mach Number | ||
|---|---|---|---|
| 352.8 × 2 | 302.9 | 3750 | 2.734 |
| 381.1 × 2 | 314.2 | 3950 | 2.651 |
| 399.4 × 2 | 336.7 | 4150 | 2.333 |
| 423.6 × 2 | 356.3 | 4350 | 2.332 |
| 451.4 × 2 | 379.6 | 4550 | 2.331 |
Disclaimer/Publisher’s Note: The statements, opinions and data contained in all publications are solely those of the individual author(s) and contributor(s) and not of MDPI and/or the editor(s). MDPI and/or the editor(s) disclaim responsibility for any injury to people or property resulting from any ideas, methods, instructions or products referred to in the content. |
© 2024 by the authors. Licensee MDPI, Basel, Switzerland. This article is an open access article distributed under the terms and conditions of the Creative Commons Attribution (CC BY) license (https://creativecommons.org/licenses/by/4.0/).
Share and Cite
Chen, F.; Zhong, Z.; Bai, K.; Liu, H.; Luo, M. The Effect of High-Speed Steam Discharged from the Bypass Diffusers on Low-Pressure Turbine Blades. Processes 2024, 12, 1459. https://doi.org/10.3390/pr12071459
Chen F, Zhong Z, Bai K, Liu H, Luo M. The Effect of High-Speed Steam Discharged from the Bypass Diffusers on Low-Pressure Turbine Blades. Processes. 2024; 12(7):1459. https://doi.org/10.3390/pr12071459
Chicago/Turabian StyleChen, Fang, Zhuhai Zhong, Kunlun Bai, Honglin Liu, and Ming Luo. 2024. "The Effect of High-Speed Steam Discharged from the Bypass Diffusers on Low-Pressure Turbine Blades" Processes 12, no. 7: 1459. https://doi.org/10.3390/pr12071459
APA StyleChen, F., Zhong, Z., Bai, K., Liu, H., & Luo, M. (2024). The Effect of High-Speed Steam Discharged from the Bypass Diffusers on Low-Pressure Turbine Blades. Processes, 12(7), 1459. https://doi.org/10.3390/pr12071459

