Research Progress on Gas Supply System of Proton Exchange Membrane Fuel Cells
Abstract
1. Introduction
2. ADS
2.1. OER Control of ADS
2.1.1. Single Control Strategy
2.1.2. Hybrid Control Strategy
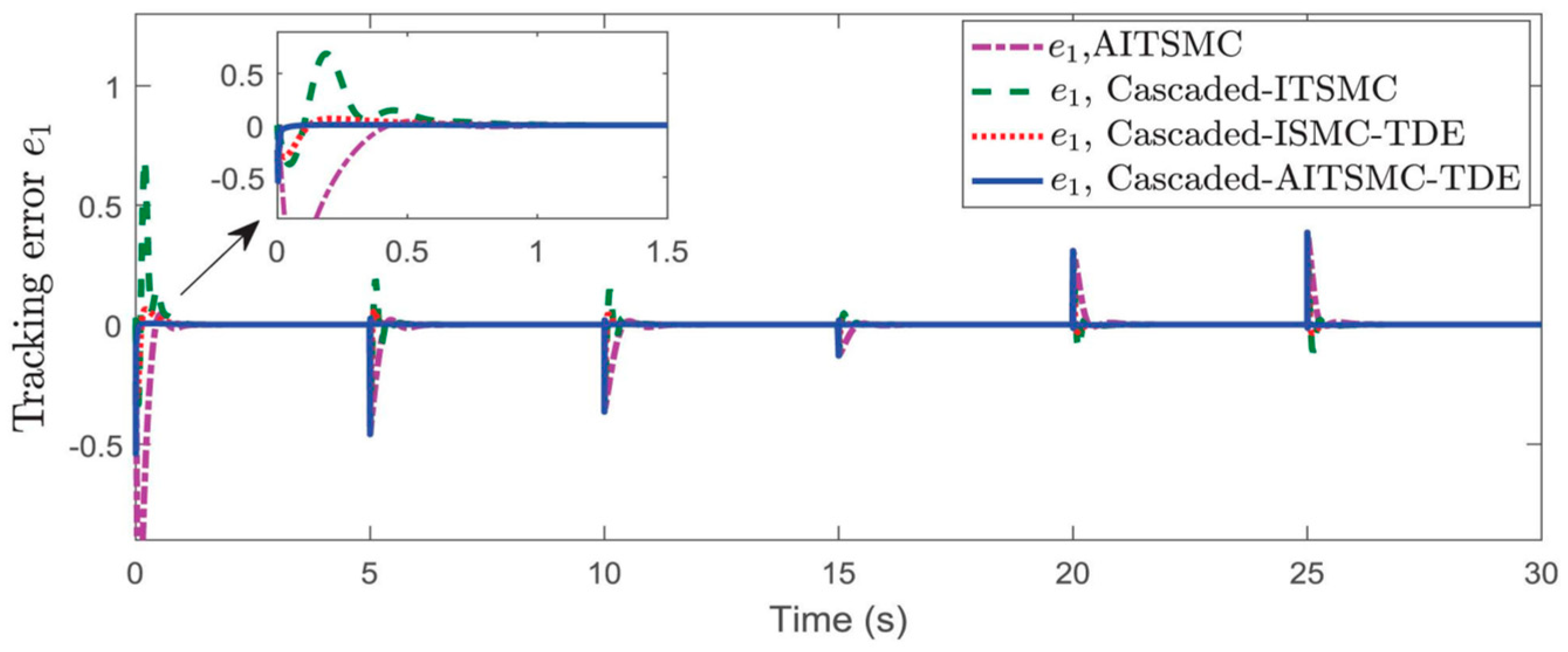
2.1.3. Intelligent Algorithm Control Strategy
2.2. Pressure Control of ADS
2.3. Optimization of ADS
3. HDS
3.1. Hydrogen Recirculation Control of HDS
3.2. Hydrogen Flow Control for HDS
3.3. Pressure Control of HDS
4. Summary and Future Development Trend
4.1. Summary
4.2. Future Development Trend
- Intelligent algorithms are combined with traditional control strategies, such as the adaptive control strategy, active disturbance rejection control strategy, and active fault-tolerant control strategy. To control OER and pressure so that the control system can adapt to real-time operating conditions and environmental changes, highly precise control of OER and pressure can be achieved.
- During the actual PEMFC operation, there is a need to develop a more adaptable decoupling control strategy for OER and pressure that can realize the independent and precise control of OER and pressure.
- By optimizing the cathode channel structure, oxygen transport, and distribution are improved, and the concentration polarization of oxygen, as well as the oxygen transport pressure drop, are reduced.
- More efficient gas treatment technologies, such as membrane separation and adsorption, are used to improve the purity and quality of oxygen to remove impurities and moisture and avoid damage to PEMFCs.
- Integration of the OER control system, pressure control system, and humidity control system can reduce the control system design difficulty while improving its overall performance.
- Emphasis should be placed on the application of intelligent control algorithm strategies to the vehicle PEMFCs so that even in the face of complex working conditions, the vehicle can achieve stable, accurate, and efficient operation.
- Improvement in the ejector structure and control can meet the needs of high-power and large PEMFC systems.
- The use of a “3D print ejector” can meet the “personalized needs” of PEMFCs, which makes the ejector perform adequately in different working ranges of PEMFCs.
- The intelligent algorithm, combined with the traditional control strategy, is applied to hydrogen supply and purging to realize high-precision hydrogen supply control and improve hydrogen utilization rates. This also promotes the further development of the on-board PEMFC industry.
- There is a focus on controlling and solving hydrogen leakage problems and reducing the risk of hydrogen leakage by improving gas-tight design and hydrogen leakage detection techniques.
- The pressure control strategy adopted requires balancing the difference in cathode and anode pressure response speeds, rapid pressure adjustment for load changes, and precise control of the pressure difference between the anode and cathode.
Author Contributions
Funding
Data Availability Statement
Conflicts of Interest
Abbreviations
| ACKF | adaptive cubic Kalman filter |
| ADRC | active disturbance rejection control |
| AFTCC | active fault-tolerant coordinated control |
| ANFIS | adaptive neuro-fuzzy inference system |
| APC | adaptive robust control |
| ADS | air delivery system |
| ASOSM | adaptive second-order sliding mode |
| ASTW | adaptive super-twisting |
| AUKF | adaptive unscented Kalman filter |
| BP | bipolar plate |
| CASCADED-AITSMCTDE | cascade adaptive integral terminal sliding mode controller combined with a time delay estimation |
| DD-AFTC | data-driven active fault tolerant control |
| DDPG | deep deterministic policy gradient |
| ECILS | evolutionary curriculum imitation large-scale |
| EILMMA | ensemble imitation learning multi-trick algorithm |
| ESO | extended state observer |
| FF | feedforward |
| FLC | fuzzy logic control |
| FOPID | fractional order proportional integral differential |
| FM-MPC | fused multi-model predictive controller |
| FSTPID | fuzzy self-tuning proportional integral differential |
| GDL | gas diffusion layer |
| HIL | hardware-in-the-loop |
| HDS | hydrogen delivery system |
| IOPID | integer order proportional integral differential |
| IT2F | interval type-2 fuzzy |
| ITSMC | integral terminal sliding mode controller |
| MADDPG | multi-agent deep deterministic policy gradient |
| MRAC | model reference adaptive control |
| MATD3 | multi-agent twin delayed deep deterministic policy gradient |
| MPC | model predictive control |
| MPL | microporous layer |
| MRA-PD | model reference adaptive proportional differential |
| NMIMO | nonlinear multiple input multiple output |
| NNA-DE | neural network algorithm differential evolution |
| OER | oxygen excess ratio |
| PEMFC | proton exchange membrane fuel cell |
| PID | proportional integral differential |
| PI-FC | proportional integral feedback control |
| RBF | radial basis function |
| SOSMC | second order sliding mode control |
| SMC | sliding mode control |
| STSMC | super-twisted sliding mode control |
| T2-FLS | type-2 fuzzy logic system |
| TDE | time delay estimation |
| TS_SM | two-stage sliding mode |
References
- Cheng, C.; Wang, S.; Wu, Y.; Bello, I.T.; Dai, Y.; Cheng, R.; Zhai, S.; Wang, Y.; Feng, S.-P.; Ni, M. Thermally regenerative CO2-induced pH-gradient cell for waste-to-energy conversion. ACS Energy Lett. 2021, 6, 3221–3227. [Google Scholar] [CrossRef]
- Xu, J.; Zhang, C.; Wan, Z.; Chen, X.; Chan, S.H.; Tu, Z. Progress and perspectives of integrated thermal management systems in PEM fuel cell vehicles: A review. Renew. Sustain. Energy Rev. 2022, 155, 111908. [Google Scholar] [CrossRef]
- Korth, M.; Balducci, A.J.C. Preface to special issue of ChemSusChem on interfacing experiment and theory in the development of energy storage and devices. ChemSusChem 2018, 11, 1890–1891. [Google Scholar] [CrossRef] [PubMed]
- Hao, H.; Mu, Z.; Liu, Z.; Zhao, F.J.F.i.E. Abating transport GHG emissions by hydrogen fuel cell vehicles: Chances for the developing world. Front. Energy 2018, 12, 466–480. [Google Scholar] [CrossRef]
- Wang, Y.; Diaz, D.F.R.; Chen, K.S.; Wang, Z.; Adroher, X.C. Materials, technological status, and fundamentals of PEM fuel cells–a review. Mater. Today 2020, 32, 178–203. [Google Scholar] [CrossRef]
- Mitra, U.; Arya, A.; Gupta, S. A comprehensive and comparative review on parameter estimation methods for modelling proton exchange membrane fuel cell. Fuel 2023, 335, 127080. [Google Scholar] [CrossRef]
- Ozdemir, S.N.; Taymaz, I.; Okumuş, E.; San, F.G.B.; Akgün, F. Experimental investigation on performance evaluation of PEM electrolysis cell by using a Taguchi method. Fuel 2023, 344, 128021. [Google Scholar] [CrossRef]
- Zhao, Y.; Liu, Y.; Liu, G.; Yang, Q.; Li, L.; Gao, Z.J.I.J.o.G.E. Air and hydrogen supply systems and equipment for PEM fuel cells: A review. Int. J. Green Energy 2022, 19, 331–348. [Google Scholar] [CrossRef]
- Li, Y.; Pei, P.; Ma, Z.; Ren, P.; Huang, H.J.R.; Reviews, S.E. Analysis of air compression, progress of compressor and control for optimal energy efficiency in proton exchange membrane fuel cell. Renew. Sustain. Energy Rev. 2020, 133, 110304. [Google Scholar] [CrossRef]
- Yang, B.; Li, J.; Li, Y.; Guo, Z.; Zeng, K.; Shu, H.; Cao, P.; Ren, Y. A critical survey of proton exchange membrane fuel cell system control: Summaries, advances, and perspectives. Int. J. Hydrogen Energy 2022, 47, 9986–10020. [Google Scholar] [CrossRef]
- Wang, Y.; Yang, X.; Sun, Z.; Chen, Z. A systematic review of system modeling and control strategy of proton exchange membrane fuel cell. Energy Rev. 2023, 3, 100054. [Google Scholar] [CrossRef]
- Li, J.; Yu, T. Intelligent controller based on distributed deep reinforcement learning for PEMFC air supply system. IEEE Access 2021, 9, 7496–7507. [Google Scholar] [CrossRef]
- Li, J.; Yu, T. Sensors integrated control of PEMFC gas supply system based on large-scale deep reinforcement learning. Sensors 2021, 21, 349. [Google Scholar] [CrossRef]
- Li, J.; Yu, T.; Yang, B. Adaptive controller of PEMFC output voltage based on ambient intelligence large-scale deep reinforcement learning. IEEE Access 2021, 9, 6063–6075. [Google Scholar] [CrossRef]
- Li, J.; Li, Y.; Yu, T. Temperature control of proton exchange membrane fuel cell based on machine learning. Front. Energy Res. 2021, 9, 763099. [Google Scholar] [CrossRef]
- Ge, X.; Li, K.; Tian, W.; Wang, R.; Wan, X.; Tang, H. Efficiency improvement strategy of fuel cell system based on oxygen excess ratio and cathode pressure two-dimensional optimization. Int. J. Hydrogen Energy 2024, 57, 136–147. [Google Scholar] [CrossRef]
- Deng, Z.; Chen, Q.; Zhang, L.; Zhou, K.; Zong, Y.; Fu, Z.; Liu, H. Data-driven reconstruction of interpretable model for air supply system of proton exchange membrane fuel cell. Appl. Energy 2021, 299, 117266. [Google Scholar] [CrossRef]
- Chen, H.; Liu, Z.; Ye, X.; Yi, L.; Xu, S.; Zhang, T. Air flow and pressure optimization for air supply in proton exchange membrane fuel cell system. Energy 2022, 238, 121949. [Google Scholar] [CrossRef]
- Liu, Z.; Chen, J.; Chen, H.; Yan, C. Air supply regulation for PEMFC systems based on uncertainty and disturbance estimation. Int. J. Hydrogen Energy 2018, 43, 11559–11567. [Google Scholar] [CrossRef]
- Wang, J.; Han, Y.; Pan, S.; Wang, Z.; Cui, D.; Geng, M. Design and development of an oil-free double-scroll air compressor used in a PEM fuel cell system. Renew. Energy 2022, 199, 840–851. [Google Scholar] [CrossRef]
- Gao, J.; Li, M.; Hu, Y.; Chen, H.; Ma, Y. Challenges and developments of automotive fuel cell hybrid power system and control. Sci. China Inf. Sci. 2019, 62, 1–25. [Google Scholar] [CrossRef]
- Hou, J.; Yang, M.; Ke, C.; Zhang, J. Control logics and strategies for air supply in PEM fuel cell engines. Appl. Energy 2020, 269, 115059. [Google Scholar] [CrossRef]
- Chen, J.; Liu, Z.; Wang, F.; Ouyang, Q.; Su, H. Optimal oxygen excess ratio control for PEM fuel cells. IEEE Trans. Control Syst. Technol. 2017, 26, 1711–1721. [Google Scholar] [CrossRef]
- Zhao, D.; Xu, L.; Huangfu, Y.; Dou, M.; Liu, J. Semi-physical modeling and control of a centrifugal compressor for the air feeding of a PEM fuel cell. Energy Convers. Manag. 2017, 154, 380–386. [Google Scholar] [CrossRef]
- Linli, W.; Zhangyi, S.; Mousavi, H.; Gu, H. A novel robust reset controller implemented through field programmable gate array for oxygen ratio regulation of proton exchange membrane fuel cell. Comput. Electr. Eng. 2022, 99, 107788. [Google Scholar] [CrossRef]
- Hu, Y.; Chen, H.; Gong, X.; Yu, S.; Gao, J.; Chen, H. Control-oriented modeling and robust nonlinear triple-step controller design for an air-feed system for polymer electrolyte membrane fuel cells. Asian J. Control 2019, 21, 1811–1823. [Google Scholar] [CrossRef]
- Wang, Y.; Li, M.; Gao, J.; Chu, H.; Chen, H. Fault-tolerant control through dynamic surface triple-step approach for proton exchange membrane fuel cell air supply systems. Int. J. Hydrogen Energy 2022, 47, 1804–1819. [Google Scholar] [CrossRef]
- Sun, L.; Shen, J.; Hua, Q.; Lee, K.Y. Data-driven oxygen excess ratio control for proton exchange membrane fuel cell. Appl. Energy 2018, 231, 866–875. [Google Scholar] [CrossRef]
- Han, J.; Yu, S.; Yi, S. Adaptive control for robust air flow management in an automotive fuel cell system. Appl. Energy 2017, 190, 73–83. [Google Scholar] [CrossRef]
- Han, J.; Yu, S.; Yi, S. Oxygen excess ratio control for proton exchange membrane fuel cell using model reference adaptive control. Int. J. Hydrogen Energy 2019, 44, 18425–18437. [Google Scholar] [CrossRef]
- Ziane, M.A.; Pera, M.-C.; Join, C.; Benne, M.; Chabriat, J.-P.; Steiner, N.Y.; Damour, C. On-line implementation of model free controller for oxygen stoichiometry and pressure difference control of polymer electrolyte fuel cell. Int. J. Hydrogen Energy 2022, 47, 38311–38326. [Google Scholar] [CrossRef]
- Liu, Z.; Zhang, B.; Xu, S. Research on air mass flow-pressure combined control and dynamic performance of fuel cell system for vehicles application. Appl. Energy 2022, 309, 118446. [Google Scholar] [CrossRef]
- Sharma, S.; Babu, G.U.B. A new control strategy for a higher order proton exchange membrane fuel cell system. Int. J. Hydrogen Energy 2020, 45, 25945–25959. [Google Scholar] [CrossRef]
- Zhao, D.; Li, F.; Ma, R.; Zhao, G.; Huangfu, Y. An unknown input nonlinear observer based fractional order PID control of fuel cell air supply system. IEEE Trans. Ind. Appl. 2020, 56, 5523–5532. [Google Scholar] [CrossRef]
- Wang, Y.; Li, H.; Feng, H.; Han, K.; He, S.; Gao, M. Simulation study on the PEMFC oxygen starvation based on the coupling algorithm of model predictive control and PID. Energy Convers. Manag. 2021, 249, 114851. [Google Scholar] [CrossRef]
- Wu, D.; Li, K.; Gao, Y.; Yin, C.; Tang, H. Adaptive control of oxygen excess ratio in a proton exchange membrane fuel cell system. Energy Rep. 2022, 8, 328–335. [Google Scholar] [CrossRef]
- Xu, L.; Hu, J.; Cheng, S.; Fang, C.; Li, J.; Ouyang, M.; Lehnert, W. Robust control of internal states in a polymer electrolyte membrane fuel cell air-feed system by considering actuator properties. Int. J. Hydrogen Energy 2017, 42, 13171–13191. [Google Scholar] [CrossRef]
- Baroud, Z.; Benmiloud, M.; Benalia, A.; Ocampo-Martinez, C. Novel hybrid fuzzy-PID control scheme for air supply in PEM fuel-cell-based systems. Int. J. Hydrogen Energy 2017, 42, 10435–10447. [Google Scholar] [CrossRef]
- Yang, D.; Pan, R.; Wang, Y.; Chen, Z. Modeling and control of PEMFC air supply system based on TS fuzzy theory and predictive control. Energy 2019, 188, 116078. [Google Scholar] [CrossRef]
- Zhang, H.; Wang, Y.; Wang, D.; Wang, Y. Adaptive robust control of oxygen excess ratio for PEMFC system based on type-2 fuzzy logic system. Inf. Sci. 2020, 511, 1–17. [Google Scholar] [CrossRef]
- Sankar, K.; Jana, A.K. Nonlinear multivariable sliding mode control of a reversible PEM fuel cell integrated system. Energy Convers. Manag. 2018, 171, 541–565. [Google Scholar] [CrossRef]
- Ma, Y.; Zhang, F.; Gao, J.; Chen, H.; Shen, T. Oxygen excess ratio control of PEM fuel cells using observer-based nonlinear triple-step controller. Int. J. Hydrogen Energy 2020, 45, 29705–29717. [Google Scholar] [CrossRef]
- Ma, L.; Zhao, H.; Qu, Y.; Zhao, S.; Yu, Y.; Wei, W. Reduced-order active disturbance rejection control method for PEMFC air intake system based on the estimation of oxygen excess ratio. IET Renew. Power Gener. 2023, 17, 951–963. [Google Scholar] [CrossRef]
- Deng, H.; Li, Q.; Cui, Y.; Zhu, Y.; Chen, W. Nonlinear controller design based on cascade adaptive sliding mode control for PEM fuel cell air supply systems. Int. J. Hydrogen Energy 2019, 44, 19357–19369. [Google Scholar] [CrossRef]
- Hu, H.; Ou, K.; Yuan, W.-W. Fused multi-model predictive control with adaptive compensation for proton exchange membrane fuel cell air supply system. Energy 2023, 284, 128459. [Google Scholar] [CrossRef]
- Li, Q.; Yin, L.; Yang, H.; Wang, T.; Qiu, Y.; Chen, W. Multiobjective optimization and data-driven constraint adaptive predictive control for efficient and stable operation of PEMFC system. IEEE Trans. Ind. Electron. 2020, 68, 12418–12429. [Google Scholar] [CrossRef]
- Abbaker AM, O.; Wang, H.; Tian, Y. Adaptive integral type-terminal sliding mode control for PEMFC air supply system using time delay estimation algorithm. Asian J. Control 2022, 24, 217–226. [Google Scholar] [CrossRef]
- Liu, B.; Lu, W. Surrogate models in machine learning for computational stochastic multi-scale modelling in composite materials design. Int. J. Hydromechatron. 2022, 5, 336–365. [Google Scholar] [CrossRef]
- Sun, L.; Jin, Y.; Pan, L.; Shen, J.; Lee, K.Y. Efficiency analysis and control of a grid-connected PEM fuel cell in distributed generation. Energy Convers. Manag. 2019, 195, 587–596. [Google Scholar] [CrossRef]
- Polak, A. Simulation of Fuzzy control of oxygen flow in PEM fuel cells. Energies 2020, 13, 2372. [Google Scholar] [CrossRef]
- Ouyang, Q.; Chen, J.; Wang, F.; Su, H. Nonlinear MPC controller design for AIR supply of PEM fuel cell based power systems. Asian J. Control 2017, 19, 929–940. [Google Scholar] [CrossRef]
- Chen, J.; He, H. Improve hydrogen economy for vehicular fuel cell system via investigation and control of optimal operating oxygen excess ratio. Energy Rep. 2022, 8, 5883–5897. [Google Scholar] [CrossRef]
- Liu, J.; Gao, Y.; Su, X.; Wack, M.; Wu, L. Disturbance-observer-based control for air management of PEM fuel cell systems via sliding mode technique. IEEE Trans. Control Syst. Technol. 2018, 27, 1129–1138. [Google Scholar] [CrossRef]
- Zakaria, B.; Noureddine, G.; Atallah, B.; Carlos, O.M. Algebraic observer-based output-feedback controller design for a PEM fuel cell air-supply subsystem. IET Renew. Power Gener. 2018, 12, 1714–1721. [Google Scholar] [CrossRef]
- Yin, X.; Wang, X.; Wang, L.; Qin, B.; Liu, H.; Jia, L.; Cai, W. Cooperative control of air and fuel feeding for PEM fuel cell with ejector-driven recirculation. Appl. Therm. Eng. 2021, 199, 117590. [Google Scholar] [CrossRef]
- Deng, H.; Li, Q.; Chen, W.; Zhang, G. High-order sliding mode observer based OER control for PEM fuel cell air-feed system. IEEE Trans. Energy Convers. 2017, 33, 232–244. [Google Scholar] [CrossRef]
- Yuan, H.; Dai, H.; Wei, X.; Ming, P. A novel model-based internal state observer of a fuel cell system for electric vehicles using improved Kalman filter approach. Appl. Energy 2020, 268, 115009. [Google Scholar] [CrossRef]
- Yue, H.; He, H.; Han, M.; Gong, S.J.F. Active disturbance rejection control strategy for PEMFC oxygen excess ratio based on adaptive internal state estimation using unscented Kalman filter. Fuel 2024, 356, 129619. [Google Scholar] [CrossRef]
- Wang, Y.; Wang, Y.; Xu, J.; Chai, T. Observer-based discrete adaptive neural network control for automotive PEMFC air-feed subsystem. IEEE Trans. Veh. Technol. 2021, 70, 3149–3163. [Google Scholar] [CrossRef]
- Wang, Y.-L.; Wang, Y.-F.; Zhang, H.-K. Robust adaptive control of PEMFC air supply system based on radical basis function neural network. J. Dyn. Syst. Meas. Control 2019, 141, 064503. [Google Scholar] [CrossRef]
- Wang, Y.; Wang, Y.; Chen, G. Robust composite adaptive neural network control for air management system of PEM fuel cell based on high-gain observer. Neural Comput. Appl. 2020, 32, 10229–10243. [Google Scholar] [CrossRef]
- Wang, Y.; Wang, Y. Pressure and oxygen excess ratio control of PEMFC air management system based on neural network and prescribed performance. Eng. Appl. Artif. Intell. 2023, 121, 105850. [Google Scholar] [CrossRef]
- AbouOmar, M.S.; Su, Y.; Zhang, H.; Shi, B.; Wan, L. Observer-based interval type-2 fuzzy PID controller for PEMFC air feeding system using novel hybrid neural network algorithm-differential evolution optimizer. Alex. Eng. J. 2022, 61, 7353–7375. [Google Scholar] [CrossRef]
- Li, J.; Yu, T.; Yang, B. Coordinated control of gas supply system in PEMFC based on multi-agent deep reinforcement learning. Int. J. Hydrogen Energy 2021, 46, 33899–33914. [Google Scholar] [CrossRef]
- Li, J.; Yang, B.; Yu, T. Distributed deep reinforcement learning-based coordination performance optimization method for proton exchange membrane fuel cell system. Sustain. Energy Technol. Assess. 2022, 50, 101814. [Google Scholar] [CrossRef]
- Li, J.; Yu, T. Large-scale multi-agent deep reinforcement learning-based coordination strategy for energy optimization and control of proton exchange membrane fuel cell. Sustain. Energy Technol. Assess. 2021, 48, 101568. [Google Scholar] [CrossRef]
- Gheisarnejad, M.; Boudjadar, J.; Khooban, M.-H. A new adaptive type-II fuzzy-based deep reinforcement learning control: Fuel cell air-feed sensors control. IEEE Sens. J. 2019, 19, 9081–9089. [Google Scholar] [CrossRef]
- Wang, X.; Chen, J.; Quan, S.; Wang, Y.-X.; He, H. Hierarchical model predictive control via deep learning vehicle speed predictions for oxygen stoichiometry regulation of fuel cells. Appl. Energy 2020, 276, 115460. [Google Scholar] [CrossRef]
- Li, J.; Yu, T. A new adaptive controller based on distributed deep reinforcement learning for PEMFC air supply system. Energy Rep. 2021, 7, 1267–1279. [Google Scholar] [CrossRef]
- Li, J.; Geng, J.; Yu, T. Multi-objective optimal control for proton exchange membrane fuel cell via large-scale deep reinforcement learning. Energy Rep. 2021, 7, 6422–6437. [Google Scholar] [CrossRef]
- Li, J.; Cheng, Y.; Yu, H.; Du, H.; Cui, H. Multi-agent deep meta-reinforcement learning-based active fault tolerant gas supply management system for proton exchange membrane fuel cells. eTransportation 2023, 18, 100282. [Google Scholar] [CrossRef]
- Li, J.; Zhou, T. Active fault-tolerant coordination energy management for a proton exchange membrane fuel cell using curriculum-based multiagent deep meta-reinforcement learning. Renew. Sustain. Energy Rev. 2023, 185, 113581. [Google Scholar] [CrossRef]
- Chen, B.; Cai, Y.; Shen, J.; Tu, Z.; Chan, S.H. Performance degradation of a proton exchange membrane fuel cell with dead-ended cathode and anode. Appl. Therm. Eng. 2018, 132, 80–86. [Google Scholar] [CrossRef]
- Chen, Y.; Wang, N. Cuckoo search algorithm with explosion operator for modeling proton exchange membrane fuel cells. Int. J. Hydrogen Energy 2019, 44, 3075–3087. [Google Scholar] [CrossRef]
- Li, C.; Zhao, H.; Liu, H.; Jiang, W.; Ding, T.; Gao, B.; Gao, J.J.M. Gas supply control and experimental validation for polymer electrolyte membrane fuel cells. Mechatronics 2023, 91, 102958. [Google Scholar] [CrossRef]
- Na, W.; Gou, B.; Kim, J.; Mojica, F.; Chuang, P.-Y.A. Complementary cooperation dynamic characteristics analysis and modeling based on multiple-input multiple-output methodology combined with nonlinear control strategy for a polymer electrolyte membrane fuel cell. Renew. Energy 2020, 149, 273–286. [Google Scholar] [CrossRef]
- Li, M.; Yin, H.; Ding, T.; Zhao, J.; Gao, J.; Chen, H. Air flow rate and pressure control approach for the air supply subsystems in PEMFCs. ISA Trans. 2022, 128, 624–634. [Google Scholar] [CrossRef] [PubMed]
- Cruz Rojas, A.; Lopez Lopez, G.; Gomez-Aguilar, J.; Alvarado, V.M.; Sandoval Torres, C.L. Control of the air supply subsystem in a PEMFC with balance of plant simulation. Sustainability 2017, 9, 73. [Google Scholar] [CrossRef]
- Trinh, H.-A.; Ahn, K.K. Design and evaluation of adaptive neural fuzzy-based pressure control for PEM fuel cell system. Energy Rep. 2022, 8, 12026–12037. [Google Scholar]
- Vu, H.N.; Le Tri, D.T.; Nguyen, H.L.; Kim, Y.; Yu, S. Multifunctional bypass valve for water management and surge protection in a proton-exchange membrane fuel cell supply-air system. Energy 2023, 278, 127696. [Google Scholar] [CrossRef]
- Yang, Q.; Zhang, N.; Chen, S.; Xiao, G. Non-uniform design of proton exchange membrane fuel cell and its matching with operations. J. Clean. Prod. 2023, 428, 139382. [Google Scholar] [CrossRef]
- Bai, X.; Jian, Q. Decoupling strategy for react-air supply and cooling of open-cathode proton exchange membrane fuel cell stack considering real-time membrane resistance estimation. J. Clean. Prod. 2023, 410, 137288. [Google Scholar] [CrossRef]
- Sun, T.; Zhang, X.; Chen, B.; Liu, X. Coordination control strategy for the air management of heavy vehicle fuel cell engine. Int. J. Hydrogen Energy 2020, 45, 20360–20368. [Google Scholar] [CrossRef]
- Zhao, D.; Xia, L.; Dang, H.; Wu, Z.; Li, H. Design and control of air supply system for PEMFC UAV based on dynamic decoupling strategy. Energy Convers. Manag. 2022, 253, 115159. [Google Scholar] [CrossRef]
- Liu, Z.; Chen, H.; Peng, L.; Ye, X.; Xu, S.; Zhang, T. Feedforward-decoupled closed-loop fuzzy proportion-integral-derivative control of air supply system of proton exchange membrane fuel cell. Energy 2022, 240, 122490. [Google Scholar] [CrossRef]
- Jia, Y.; Zhang, R.; Zhang, T.; Fan, Z. Coordinated Control of the Fuel Cell Air Supply System Based on Fuzzy Neural Network Decoupling. ACS Omega 2021, 6, 34438–34446. [Google Scholar] [CrossRef] [PubMed]
- Yuan, H.; Dai, H.; Ming, P.; Zhan, J.; Wang, X.; Wei, X. A fuzzy extend state observer-based cascade decoupling controller of air supply for vehicular fuel cell system. Energy Convers. Manag. 2021, 236, 114080. [Google Scholar] [CrossRef]
- Wan, Z.; Yan, H.; Sun, Y.; Yang, C.; Chen, X.; Kong, X.; Chen, Y.; Tu, Z.; Wang, X. Thermal management improvement of air-cooled proton exchange membrane fuel cell by using metal foam flow field. Appl. Energy 2023, 333, 120642. [Google Scholar] [CrossRef]
- Liu, M.; Huang, H.; Li, X.; Guo, X.; Wang, T.; Lei, H. Geometry optimization and performance analysis of a new tapered slope cathode flow field for PEMFC. Int. J. Hydrogen Energy 2021, 46, 37379–37392. [Google Scholar] [CrossRef]
- Son, J.; Um, S.; Kim, Y.-B. Relationship between number of turns of serpentine structure with metal foam flow field and polymer electrolyte membrane fuel cell performance. Renew. Energy 2022, 188, 372–383. [Google Scholar] [CrossRef]
- Xuan, L.; Wang, Y.; Mei, D.; Lan, J.J.E. Design and modelling of 3D bionic cathode flow field for proton exchange membrane fuel cell. Energies 2021, 14, 6044. [Google Scholar] [CrossRef]
- Lim, O. Numerical investigation of tapered flow field configuration to improve mass transport and performance of proton exchange membrane fuel cell. Int. J. Hydrogen Energy 2023, 50, 470–491. [Google Scholar]
- Sun, F.; Su, D.; Li, P.; Dong, X. A novel 3D fine-mesh flow field design and performance analysis for proton exchange membrane fuel cells. J. Power Sources 2023, 584, 233572. [Google Scholar] [CrossRef]
- Qi, W.; Tang, X.; Song, J.; Zhang, Z.; Huang, Z.; Ge, S.; Tuo, J.; Cheng, J.; Guo, S. Enhanced performance in proton exchange membrane fuel cell with the twisted parallel micro-channel for flow field. Int. J. Hydrogen Energy 2023, 48, 36512–36522. [Google Scholar] [CrossRef]
- Ashrafi, M.; Kanani, H.; Shams, M. Numerical and experimental study of two-phase flow uniformity in channels of parallel PEM fuel cells with modified Z-type flow-fields. Energy 2018, 147, 317–328. [Google Scholar] [CrossRef]
- Chen, H.; Liu, B.; Liu, R.; Weng, Q.; Zhang, T.; Pei, P. Optimal interval of air stoichiometry under different operating parameters and electrical load conditions of proton exchange membrane fuel cell. Energy Convers. Manag. 2020, 205, 112398. [Google Scholar] [CrossRef]
- Hu, C.; Zhao, Y.; Zhang, Z.; Zhang, H.; Chen, D. Optimization of flow field structure for proton exchange membrane fuel cell stack by multi-physics coupling simulation. Int. J. Electrochem. Sci. 2023, 18, 100195. [Google Scholar] [CrossRef]
- Ke, Y.; Zhang, B.; Yuan, W.; Bai, Y.; Zhao, Y.; Lin, Z.; Li, X.; Wang, Y.; Tang, Y. Performance enhancement of proton exchange membrane fuel cells with bio-inspired gear-shaped flow channels. Chem. Eng. J. 2023, 474, 145870. [Google Scholar] [CrossRef]
- Zhu, X.; Liu, R.; Su, L.; Wang, X.; Chu, X.; Ma, Y.; Wu, L.; Song, G.; Zhou, W. Synergistic mass transfer and performance stability of a proton exchange membrane fuel cell with traveling wave flow channels. Energy 2023, 285, 129360. [Google Scholar] [CrossRef]
- Liu, Q.; Lan, F.; Chen, J.; Wang, J.; Zeng, C. Flow field structure design modification with helical baffle for proton exchange membrane fuel cell. Energy Convers. Manag. 2022, 269, 116175. [Google Scholar] [CrossRef]
- Zhao, C.; Xing, S.; Liu, W.; Wang, H. Air and H2 feed systems optimization for open-cathode proton exchange membrane fuel cells. Int. J. Hydrogen Energy 2021, 46, 11940–11951. [Google Scholar] [CrossRef]
- Pamplona Solis, B.; Cruz Argüello, J.C.; Gomez Barba, L.; Gurrola, M.P.; Zarhri, Z.; TrejoArroyo, D.L.J.S. Bibliometric analysis of the mass transport in a gas diffusion layer in PEM fuel cells. Sustainability 2019, 11, 6682. [Google Scholar] [CrossRef]
- Solis, B.B.P.; Argüello, J.C.C.; Canche, I.M.; Barba, L.G.; Gurrola, M.P.J.C.L. CFD Analysis in the Mesh Modified Gas Diffusion Layer of a Proton Exchange Membrane Fuel Cell (PEMFC). CFD Lett. 2024, 16, 55–67. [Google Scholar]
- Zhao, C.; Xing, S.; Liu, W.; Chen, M.; Wang, H. Performance improvement for air-cooled open-cathode proton exchange membrane fuel cell with different design parameters of the gas diffusion layer. Prog. Nat. Sci. Mater. Int. 2020, 30, 825–831. [Google Scholar] [CrossRef]
- Wang, Z.; Hu, K.; Zhang, J.; Ding, H.; Xin, D.; Zhang, F.; Sun, S. Gas-liquid mass transfer characteristics of a novel three-dimensional flow field bipolar plate for laser additive manufacturing of proton exchange membrane fuel cell. Renew. Energy 2023, 212, 308–319. [Google Scholar] [CrossRef]
- Zhang, G.; Qu, Z.; Wang, Y. Proton exchange membrane fuel cell of integrated porous bipolar plate–gas diffusion layer structure: Entire morphology simulation. eTransportation 2023, 17, 100250. [Google Scholar] [CrossRef]
- Bai, X.; Luo, L.; Huang, B.; Jian, Q.; Cheng, Z. Performance improvement of proton exchange membrane fuel cell stack by dual-path hydrogen supply. Energy 2022, 246, 123297. [Google Scholar] [CrossRef]
- Wang, Y.; Zhang, H.; He, S.; Wang, W.; Gao, M.; Moiseevna, K.E.; Anatolievna, V.V. Dynamic analysis and control optimization of hydrogen supply for the proton exchange membrane fuel cell and metal hydride coupling system with a hydrogen buffer tank. Energy Convers. Manag. 2023, 291, 117339. [Google Scholar] [CrossRef]
- Chen, H.; Zhao, X.; Zhang, T.; Pei, P. The reactant starvation of the proton exchange membrane fuel cells for vehicular applications: A review. Energy Convers. Manag. 2019, 182, 282–298. [Google Scholar] [CrossRef]
- Hou, J.; Yang, M.; Zhang, J. Active and passive fuel recirculation for solid oxide and proton exchange membrane fuel cells. Renew. Energy 2020, 155, 1355–1371. [Google Scholar] [CrossRef]
- Liu, Y.; Tu, Z.; Chan, S.H. Applications of ejectors in proton exchange membrane fuel cells: A review. Fuel Process. Technol. 2021, 214, 106683. [Google Scholar] [CrossRef]
- Kuo, J.-K.; Jiang, W.-Z.; Li, C.-H.; Hsu, T.-H. Numerical investigation into hydrogen supply stability and IV performance of PEM fuel cell system with passive Venturi ejector. Appl. Therm. Eng. 2020, 169, 114908. [Google Scholar] [CrossRef]
- Le Tri, D.T.; Vu, H.N.; Woo, J.; Kim, Y.; Yu, S. Optimization of the ejector parameters for anodic recirculation systems in high-performance dual-stack proton-exchange membrane fuel cells. Energy Convers. Manag. 2023, 296, 117712. [Google Scholar] [CrossRef]
- Li, F.; Du, J.; Zhang, L.; Li, J.; Li, G.; Zhu, G.; Ouyang, M.; Chai, J.; Li, H. Experimental determination of the water vapor effect on subsonic ejector for proton exchange membrane fuel cell (PEMFC). Int. J. Hydrogen Energy 2017, 42, 29966–29970. [Google Scholar] [CrossRef]
- Kuo, J.-K.; Hsieh, C.-Y. Numerical investigation into effects of ejector geometry and operating conditions on hydrogen recirculation ratio in 80 kW PEM fuel cell system. Energy 2021, 233, 121100. [Google Scholar] [CrossRef]
- Bian, J.; Zhang, Y.; Liu, Y.; Gong, L.; Cao, X. Structural optimization of hydrogen recirculation ejector for proton exchange membrane fuel cells considering the boundary layer separation effect. J. Clean. Prod. 2023, 397, 136535. [Google Scholar] [CrossRef]
- Liu, W.; Berning, T.; Liso, V. Low stoichiometry operation of the anode side of a low-temperature proton exchange membrane fuel cell–A modeling study. Int. J. Hydrogen Energy 2023, 52, 1047–1055. [Google Scholar] [CrossRef]
- Lee, H.-Y.; Su, H.-C.; Chen, Y.-S. A gas management strategy for anode recirculation in a proton exchange membrane fuel cell. Int. J. Hydrogen Energy 2018, 43, 3803–3808. [Google Scholar] [CrossRef]
- Nikiforow, K.; Koski, P.; Ihonen, J. Discrete ejector control solution design, characterization, and verification in a 5 kW PEMFC system. Int. J. Hydrogen Energy 2017, 42, 16760–16772. [Google Scholar] [CrossRef]
- Yin, B.; Li, Z.; Dong, F.; Xu, S.; Ni, H. A novel dual-nozzle ejector for enhancement of hydrogen recirculation applied to proton exchange membrane fuel cell system. J. Power Sources 2023, 580, 233444. [Google Scholar] [CrossRef]
- Le Tri, D.T.; Vu, H.N.; Nguyen, H.L.; Kim, Y.; Yu, S. A comparative study of single and dual ejector concepts for anodic recirculation system in high-performance vehicular proton exchange membrane fuel cells. Int. J. Hydrogen Energy 2023, 70, 27344–27360. [Google Scholar] [CrossRef]
- Liu, Y.; Tu, Z.; Chan, S.H. Water management and performance enhancement in a proton exchange membrane fuel cell system using optimized gas recirculation devices. Energy 2023, 279, 128029. [Google Scholar] [CrossRef]
- Chiche, A.; Lindbergh, G.; Stenius, I.; Lagergren, C. Design of experiment to predict the time between hydrogen purges for an air-breathing PEM fuel cell in dead-end mode in a closed environment. Int. J. Hydrogen Energy 2021, 46, 13806–13817. [Google Scholar] [CrossRef]
- Liu, S.; Li, X.; Pang, L.; Geng, T.; Guo, Y.; Jiang, L.; Kang, K.; Wang, X.; Liu, Z. Study on the effect of purging time on the performance of PEMFC with dead-ended anode under gravity. Renew. Energy 2022, 200, 1141–1151. [Google Scholar] [CrossRef]
- Lin, Y.-F.; Chen, Y.-S. Experimental study on the optimal purge duration of a proton exchange membrane fuel cell with a dead-ended anode. J. Power Sources 2017, 340, 176–182. [Google Scholar] [CrossRef]
- Shen, K.-Y.; Park, S.; Kim, Y.-B. Hydrogen utilization enhancement of proton exchange membrane fuel cell with anode recirculation system through a purge strategy. Int. J. Hydrogen Energy 2020, 45, 16773–16786. [Google Scholar] [CrossRef]
- Qiu, D.; Zhou, X.; Chen, M.; Xu, Z.; Peng, L. Optimization of control strategy for air-cooled PEMFC based on in-situ observation of internal reaction state. Appl. Energy 2023, 350, 121752. [Google Scholar] [CrossRef]
- Fan, L.; Tu, Z.; Chan, S.H. Prototype design of an extended range electric sightseeing bus with an air-cooled proton exchange membrane fuel cell stack based on a voltage control logic of hydrogen purging. J. Power Sources 2022, 537, 231541. [Google Scholar] [CrossRef]
- Wang, B.; Deng, H.; Jiao, K. Purge strategy optimization of proton exchange membrane fuel cell with anode recirculation. Appl. Energy 2018, 225, 1–13. [Google Scholar] [CrossRef]
- Liu, Z.; Chen, J.; Liu, H.; Yan, C.; Hou, Y.; He, Q.; Zhang, J.; Hissel, D. Anode purge management for hydrogen utilization and stack durability improvement of PEM fuel cell systems. Appl. Energy 2020, 275, 115110. [Google Scholar] [CrossRef]
- Nikiforow, K.; Pennanen, J.; Ihonen, J.; Uski, S.; Koski, P. Power ramp rate capabilities of a 5 kW proton exchange membrane fuel cell system with discrete ejector control. J. Power Sources 2018, 381, 30–37. [Google Scholar] [CrossRef]
- Chen, J.; Wu, Z.; Wu, C.; Yan, C. Observer based fuel delivery control for PEM fuel cells with a segmented anode model. Asian J. Control 2019, 21, 1781–1795. [Google Scholar] [CrossRef]
- Hong, L.; Chen, J.; Liu, Z.; Huang, L.; Wu, Z. A nonlinear control strategy for fuel delivery in PEM fuel cells considering nitrogen permeation. Int. J. Hydrogen Energy 2017, 42, 1565–1576. [Google Scholar] [CrossRef]
- Kuo, J.-K.; Thamma, U.; Wongcharoen, A.; Chang, Y.-K. Optimized fuzzy proportional integral controller for improving output power stability of active hydrogen recovery 10-kW PEM fuel cell system. Int. J. Hydrogen Energy 2023, 50, 1080–1093. [Google Scholar] [CrossRef]
- Cheng, Y.; Zhang, Y.; Chen, Q. Energy management strategy of fuel-cell Backup power supply systems based on Whale optimization Fuzzy control. Electronics 2022, 11, 2325. [Google Scholar] [CrossRef]
- Wang, B.; Wu, K.; Yang, Z.; Jiao, K. A quasi-2D transient model of proton exchange membrane fuel cell with anode recirculation. Energy Convers. Manag. 2018, 171, 1463–1475. [Google Scholar] [CrossRef]
- Sankar, K.; Jana, A.K. Dynamics and estimator-based nonlinear control of a PEM fuel cell. IEEE Trans. Control Syst. Technol. 2017, 26, 1124–1131. [Google Scholar] [CrossRef]
- Wang, X.; Lu, Y.; Zhang, B.; Liu, J.; Xu, S. Experimental analysis of an ejector for anode recirculation in a 10 kW polymer electrolyte membrane fuel cell system. Int. J. Hydrogen Energy 2022, 47, 1925–1939. [Google Scholar] [CrossRef]
- Ye, X.; Zhang, T.; Chen, H.; Cao, J.; Chen, J. Fuzzy control of hydrogen pressure in fuel cell system. Int. J. Hydrogen Energy 2019, 44, 8460–8466. [Google Scholar] [CrossRef]
- Zhang, Q.; Tong, Z.; Tong, S.; Cheng, Z. Modeling and dynamic performance research on proton exchange membrane fuel cell system with hydrogen cycle and dead-ended anode. Energy 2021, 218, 119476. [Google Scholar] [CrossRef]
- Li, X.; Wei, H.; Du, C.; Shi, C.; Zhang, J. Control strategy for the anode gas supply system in a proton exchange membrane fuel cell system. Energy Rep. 2023, 10, 4342–4358. [Google Scholar] [CrossRef]
- Yuan, H.; Dai, H.; Wu, W.; Xie, J.; Shen, J.; Wei, X. A fuzzy logic PI control with feedforward compensation for hydrogen pressure in vehicular fuel cell system. Int. J. Hydrogen Energy 2021, 46, 5714–5728. [Google Scholar] [CrossRef]
- Wei, H.; Du, C.; Li, X.; Shi, C.; Zhang, J. Research on anode pressure control and dynamic performance of proton-exchange membrane fuel cell system for vehicular application. Fuel 2024, 358, 130219. [Google Scholar] [CrossRef]
- Zhu, Y.; Zou, J.; Li, S.; Peng, C.; Xie, Y. Nonlinear model predictive control of PEMFC anode hydrogen circulation system based on dynamic coupling analysis. Int. J. Hydrogen Energy 2023, 48, 2385–2400. [Google Scholar] [CrossRef]
- Chatrattanawet, N.; Hakhen, T.; Kheawhom, S.; Arpornwichanop, A. Control structure design and robust model predictive control for controlling a proton exchange membrane fuel cell. J. Clean. Prod. 2017, 148, 934–947. [Google Scholar] [CrossRef]
- Quan, S.; Wang, Y.-X.; Xiao, X.; He, H.; Sun, F. Feedback linearization-based MIMO model predictive control with defined pseudo-reference for hydrogen regulation of automotive fuel cells. Appl. Energy 2021, 293, 116919. [Google Scholar] [CrossRef]
- Zeng, T.; Zhang, C.; Zhou, A.; Wu, Q.; Deng, C.; Chan, S.H.; Chen, J.; Foley, A.M. Enhancing reactant mass transfer inside fuel cells to improve dynamic performance via intelligent hydrogen pressure control. Energy 2021, 230, 120620. [Google Scholar] [CrossRef]
- Pan, T.; Shen, J.; Sun, L.; Lee, K.Y. Thermodynamic modelling and intelligent control of fuel cell anode purge. Appl. Therm. Eng. 2019, 154, 196–207. [Google Scholar] [CrossRef]
- Deng, H.; Chen, W.; Cao, D.; Chen, J.; Hu, W. Uncertainty analysis and robust control of fuel delivery systems considering nitrogen crossover phenomenon. Int. J. Hydrogen Energy 2020, 45, 32367–32387. [Google Scholar] [CrossRef]












| Control Strategy | Controller Design | Parameters | Verify | IAE |
|---|---|---|---|---|
| Wu et al. [25] | is the zero-crossing reset factor | simulation | 0.280 | |
| Sun et al. [28] | y is the set OER; u is the air compressor voltage | simulation | 0.078 | |
| Han et al. [30] | is Jacobian matrix; is the actual value of speed and the flow rate of the air compressor | simulation | 0.045 | |
| Ziane et al. [31] | F is the state estimate, is a constant, u is the set OER | simulation | 0.15 |
| Control Strategy | Controller Design | Parameters | Verify | IAE |
|---|---|---|---|---|
| Sharma et al. [33] | is the gain, delay, and time constant, ,; is optimized by a genetic algorithm | simulation | 0.01873 | |
| Wang et al. [35] | = [10…0], k is the time step, L is the initial prediction matrix Q, and J represents the error weight matrix and control weight matrix, respectively | simulation | 0.045 | |
| Wu et al. [36] | is adaptive gain control; enter a value for the reference system | simulation | 0.102 | |
| Baroud et al. [38] | set by fuzzy regulator, e, is a feedback error | simulation | 0.1577 |
| Control Strategy | Controller Design | Parameters | Verify | RMSE |
|---|---|---|---|---|
| Yang et al. [39] | is time delay, A, B, C, D is the polynomial of , u(k − 1) is air compressor voltage, w(k) is current, and m is a constant | simulation | 0.0442 | |
| Zhang et al. [40] | M is number of fuzzy rules, is IT2-FS, is approximate IT2-FS, is reference input, , is a const-ant, and is compensation term | simulation HIL | 0.0659 | |
| Hu et al. [45] | , are the current deviation, control signal, rectifier parameter and activation function; is low and high power’s MPC | HIL | 0.0491 | |
| Abbaker et al. [47] | represents PEMFC dynamics, is delay, S is slippery surface, and is the reference value of OER | simulation | 0.0108 |
| Control Strategy | Controller Design | Parameters | Verify | RMSE |
|---|---|---|---|---|
| Wang et al. [59] | ![]() | 4 inputs, 5 basis function vectors, 5 weight vectors | simulation HIL | 0.0025 |
| Wang et al. [61] | 3 inputs, 5 basis function vectors, 5 weight vectors | simulation HIL | 0.0117 | |
| Wang et al. [62] | 3 inputs, 5 basis function vectors, 5 weight vectors | simulation HIL | 0.0013 |
| Control Strategy | Controller Design | Parameters | Verify | Steady Time/s | Rising Time/s |
|---|---|---|---|---|---|
| Fuzzy PID | 4.60 | 2.34 | |||
| Multi-agent deep deterministic policy gradient(MADDPG) | 3.91 | 2.04 | |||
| Multi-agent twin delayed deep deterministic policy gradient(MATD3) | 3.81 | 2.00 | |||
| Li et al. [64] | is the voltage of the air compressor is air flow error, is output voltage error, and is mass flow rate | simulation | 3.72 | 1.05 | |
| Li et al. [65] | is the voltage of the air compressor, is OER’s error, and is output voltage error | simulation | 1.76 | 0.81 | |
| Li et al. [66] | is the voltage of the air compressor, is output voltage error, is OER’s control deviation, and is mass velocity | simulation HIL | 1.28 | 0.32 | |
| Control Strategy | Controller Design | Parameters | Verify | Overshoot |
|---|---|---|---|---|
| Li et al. [69] | is the proportional coefficient and integral coefficient, e(t) is the air flow error, and W(t) is air flow | simulation | 0.336 | |
| Li et al. [70] | represents proportional, integral, differential and fractional coefficients, is OER’s control error, and is the output voltage error | simulation | 0.170 | |
| Li et al. [71] | is air compressor voltage, is air flow error, is output voltage error, is mass flow rate | experimentation 75 KW | 0.169 | |
| Li et al. [72] | is air compressor voltage, is OER’s error, ans is the output voltage error | experimentation 75 KW | 0.011 |
| Flow Field Type | Flow Field Structure | Mechanism | Advantages |
|---|---|---|---|
| Xuan et al. [91] | ![]() | The airflow is dispersed and raised by the first two ribs, and the airflow converges and is lowered by the latter two ribs. | Increase turbulence and mass transfer |
| Lim [92] | ![]() | Change the speed and pressure of air transmission by changing the ratio of the inlet side length to the exit side length. | Enhanced mass transfer and water removal |
| Sun et al. [93] | ![]() | Change the local flow velocity and air pressure drop by changing the porosity | Enhance mass transfer |
| Qi et al. [94] | ![]() | By setting the channel to a sinusoidal shape, the cross-section shape of the gas is different, but the cross-sectional area remains the same. | Reduce the mass transfer impedance |
| Ashrafi et al. [95] | ![]() | By arranging multiple flow channels in a Z-shaped path, the air direction is changed repeatedly to change the air distribution uniformity. | Reduce concentration polarization and avoid clogging |
| Chen et al. [96] | ![]() | Change the transmission speed and distribution uniformity of air by increasing the flow channel. | Enhance mass transfer, avoid clogging, and reduce dead zone |
| Hu et al. [97] | ![]() | By connecting the serpentine channel to two parallel channels and making use of the single-channel characteristics of the serpentine channel, the air in the parallel channel is collected and redistributed. | Enhance mass transfer and avoid blockage |
| Ke et al. [98] | ![]() | The transmission speed of air is changed using the wave structure at the bottom of the GFCH. | Enhance mass transfer and reduce concentration polarization |
| Zhu et al. [99] | ![]() | The transmission speed and distribution uniformity of air are changed by forming a dynamic flow similar to the “traveling wave” in the flow channel. | Enhance mass transfer and reduce dead zone |
| Control Strategy | Controller Design | Parameters | Verify | Pressure Fluctuation (Pa) |
|---|---|---|---|---|
| Ye et al. [139] | are the set pressire value and actual value; u is valve control voltage | experimentation | 2160 | |
| Zhang et al. [140] Li et al. [141] Yuan et al. [142] | e(t) is pressure error signal, f(t) is feedforward control signal, and u(t) is valve voltage control signal | experimentation | 1000–2000 | |
| Wei et al. [143] | z1,2,3, are the state estimate, f() is disturbance, kp, kd are gain, is derived from fuzzy rules, and u is valve voltage control signal | simulation | 800 | |
| Zhu et al. [144] | is control input increment, Q is output error weight matrix, and R is control input weight matrix | experimentation | 100 | |
| Chatrattanawet et al. [145] | x(k) is pressure state quantity, u(k) is the controller input, Q1 and R represent thesymmetric weighting matrix, and A and B are robust constraints | simulation | 1000 |
Disclaimer/Publisher’s Note: The statements, opinions and data contained in all publications are solely those of the individual author(s) and contributor(s) and not of MDPI and/or the editor(s). MDPI and/or the editor(s) disclaim responsibility for any injury to people or property resulting from any ideas, methods, instructions or products referred to in the content. |
© 2024 by the authors. Licensee MDPI, Basel, Switzerland. This article is an open access article distributed under the terms and conditions of the Creative Commons Attribution (CC BY) license (https://creativecommons.org/licenses/by/4.0/).
Share and Cite
Cheng, L.; Wu, Z.; Mou, J.; Gu, Y.; Wu, D.; Zhou, P.; Liu, J. Research Progress on Gas Supply System of Proton Exchange Membrane Fuel Cells. Processes 2024, 12, 1224. https://doi.org/10.3390/pr12061224
Cheng L, Wu Z, Mou J, Gu Y, Wu D, Zhou P, Liu J. Research Progress on Gas Supply System of Proton Exchange Membrane Fuel Cells. Processes. 2024; 12(6):1224. https://doi.org/10.3390/pr12061224
Chicago/Turabian StyleCheng, Lang, Zhenxing Wu, Jiegang Mou, Yunqing Gu, Denghao Wu, Peijian Zhou, and Jian Liu. 2024. "Research Progress on Gas Supply System of Proton Exchange Membrane Fuel Cells" Processes 12, no. 6: 1224. https://doi.org/10.3390/pr12061224
APA StyleCheng, L., Wu, Z., Mou, J., Gu, Y., Wu, D., Zhou, P., & Liu, J. (2024). Research Progress on Gas Supply System of Proton Exchange Membrane Fuel Cells. Processes, 12(6), 1224. https://doi.org/10.3390/pr12061224











