Polyhydroxyalkanoate Production by Actinobacterial Isolates in Lignocellulosic Hydrolysate
Abstract
1. Introduction
2. Materials and Methods
2.1. Actinobacterial Strains
2.1.1. Strain Origin and Selection
2.1.2. Staining and Microscopic Morphology
2.2. Growth Curves and Cultures for the Production of Polyhydroxyalkanoates
2.3. Extraction of Polyhydroxyalkanoates
2.4. Analytical Procedures
2.4.1. Determination of Polyhydroxybutyrate Concentrations
2.4.2. Identification and Quantification of Sugars
2.4.3. Fourier Transform Infrared Spectroscopy
2.5. Genome Mining for Polyhydroxyalkalnoate-Encoding Genes
3. Results
3.1. Staining and Microscopic Morphology of the Study Strains
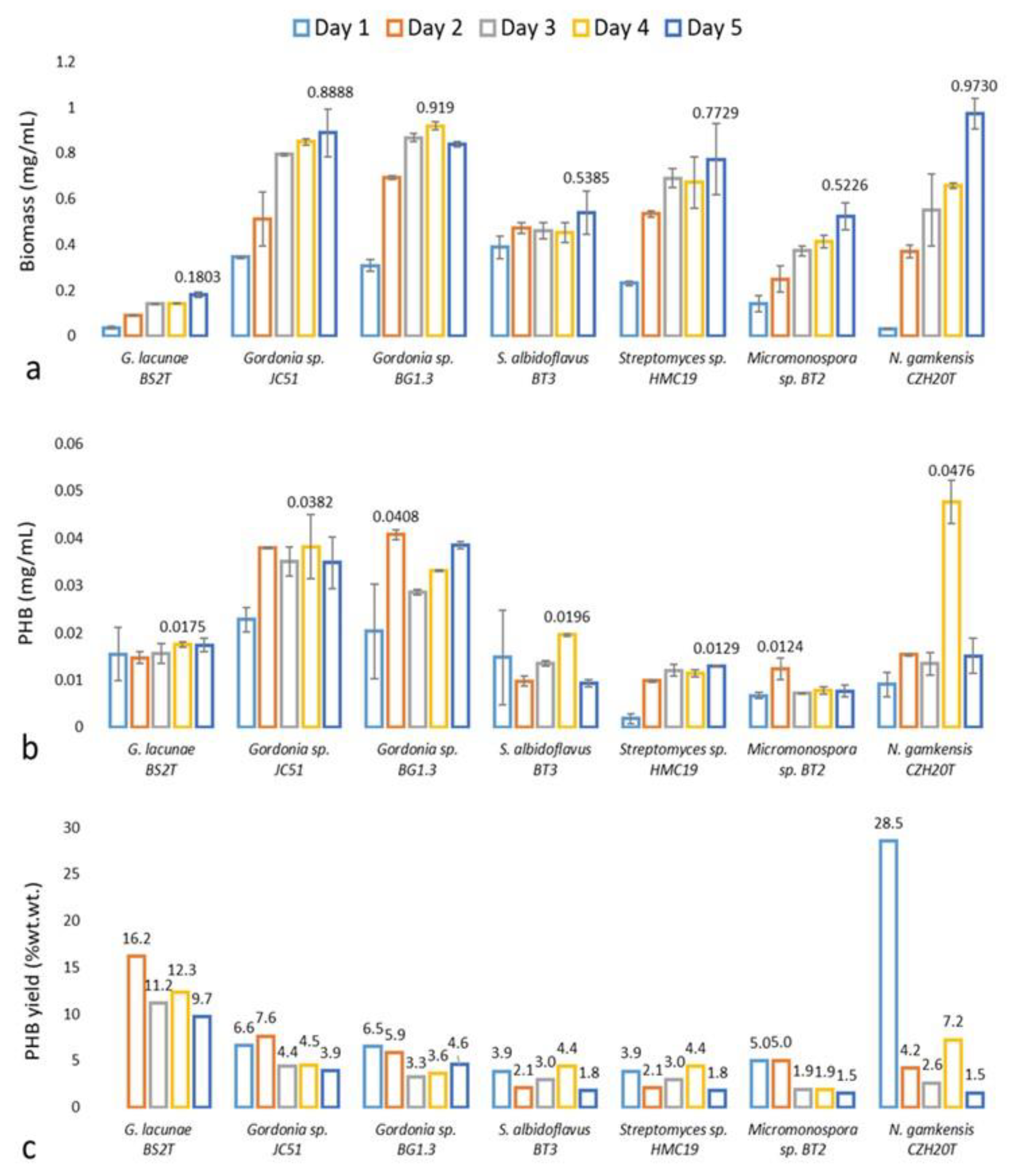
3.2. Growth and Polyhydroxybutyrate Production of Actinobacterial Strains
3.2.1. Cultures in 25% ISP #2 Medium
3.2.2. Synthetic Canola Fines Hydrolysate
3.3. Qualitative Analysis of Polyhydroxyalkanoates Using Fourier Infrared Spectroscopy
3.4. Analysis of the Genomes of the Top Polyhydroxybutryrate-Producing Actinobacterial Strains
4. Discussion
5. Conclusions
Supplementary Materials
Author Contributions
Funding
Data Availability Statement
Acknowledgments
Conflicts of Interest
References
- Fernandez-Bunster, G.; Pavez, P. Novel Production Methods of Polyhydroxyalkanoates and Their Innovative Uses in Biomedicine and Industry. Molecules 2022, 27, 8351. [Google Scholar] [CrossRef] [PubMed]
- Gao, Q.; Yang, H.; Wang, C.; Xie, X.-Y.; Liu, K.-X.; Lin, Y.; Han, S.-Y.; Zhu, M.; Neureiter, M.; Lin, Y.; et al. Advances and trends in microbial production of polyhydroxyalkanoates and their building blocks. Front. Bioeng. Biotechnol. 2022, 10, 966598. [Google Scholar] [CrossRef]
- Guimarães, T.C.; Araújo, E.S.; Hernández-Macedo, M.L.; López, J.A. Polyhydroxyalkanoates: Biosynthesis from Alternative Carbon Sources and Analytic Methods: A Short Review. J. Polym. Environ. 2022, 30, 2669–2684. [Google Scholar] [CrossRef]
- Pandey, A.; Adama, N.; Adjallé, K.; Blais, J.-F. Sustainable applications of polyhydroxyalkanoates in various fields: A critical review. Int. J. Biol. Macromol. 2022, 221, 1184–1201. [Google Scholar] [CrossRef] [PubMed]
- Welz, P.J.; Linganiso, L.Z.; Murray, P.; Kumari, S.; Arthur, G.D.; Ranjan, A.; Collins, C.; Bakare, B.F. Status quo and sector readiness for (bio)plastic food and beverage packaging in the 4IR. S. Afr. J. Sci. 2022, 118, 1–9. [Google Scholar] [CrossRef] [PubMed]
- Alves, A.A.; Siqueira, E.C.; Barros, M.P.S.; Silva, P.E.C.; Houllou, L.M. Polyhydroxyalkanoates: A review of microbial production and technology application. Int. J. Environ. Sci. Technol. 2023, 20, 3409–3420. [Google Scholar] [CrossRef]
- Alsaadi, A.; Ganesen, S.S.K.; Amelia, T.S.M.; Moanis, R.; Peeters, E.; Vigneswari, S.; Bhubalan, K. Polyhydroxyalkanoate (PHA) Biopolymer Synthesis by Marine Bacteria of the Malaysian Coral Triangle Region and Mining for PHA Synthase Genes. Microorganisms 2022, 10, 2057. [Google Scholar] [CrossRef] [PubMed]
- Estévez-Alonso, Á.; Pei, R.; van Loosdrecht, M.C.M.; Kleerebezem, R.; Werker, A. Scaling-up microbial community-based polyhydroxyalkanoate production: Status and challenges. Bioresour. Technol. 2021, 327, 124790. [Google Scholar] [CrossRef] [PubMed]
- Mitra, R.; Xu, T.; Chen, G.Q.; Xiang, H.; Han, J. An updated overview on the regulatory circuits of polyhydroxyalkanoates synthesis. Microb. Biotechnol. 2022, 15, 1446–1470. [Google Scholar] [CrossRef]
- Andhalkar, V.V.; Ahorsu, R.; Domínguez De María, P.; Winterburn, J.; Medina, F.; Constantí, M. Valorization of Lignocellulose by Producing Polyhydroxyalkanoates under Circular Bioeconomy Premises: Facts and Challenges. ACS Sustain. Chem. Eng. 2022, 10, 16459–16475. [Google Scholar] [CrossRef]
- Yukesh Kannah, R.; Dinesh Kumar, M.; Kavitha, S.; Rajesh Banu, J.; Kumar Tyagi, V.; Rajaguru, P.; Kumar, G. Production and recovery of polyhydroxyalkanoates (PHA) from waste streams—A review. Bioresour. Technol. 2022, 366, 128203. [Google Scholar] [CrossRef] [PubMed]
- Min Song, H.; Chan Joo, J.; Hyun Lim, S.; Jin Lim, H.; Lee, S.; Jae Park, S. Production of polyhydroxyalkanoates containing monomers conferring amorphous and elastomeric properties from renewable resources: Current status and future perspectives. Bioresour. Technol. 2022, 366, 128114. [Google Scholar] [CrossRef] [PubMed]
- van Bergeijk, D.A.; Terlouw, B.R.; Medema, M.H.; van Wezel, G.P. Ecology and genomics of Actinobacteria: New concepts for natural product discovery. Nat. Rev. Microbiol. 2020, 18, 546–558. [Google Scholar] [CrossRef] [PubMed]
- Rana, B.; Bhattacharyya, M.; Patni, B.; Arya, M.; Joshi, G.K. The Realm of Microbial Pigments in the Food Color Market. Front. Sustain. Food Syst. 2021, 5, 603892. [Google Scholar] [CrossRef]
- Cheng, Z.; Xia, Y.; Zhou, Z. Recent Advances and Promises in Nitrile Hydratase: From Mechanism to Industrial Applications. Front. Bioeng. Biotechnol. 2020, 8, 352. [Google Scholar] [CrossRef] [PubMed]
- Dholakiya, R.N.; Kumar, R.; Mishra, A.; Mody, K.H.; Jha, B. Antibacterial and antioxidant activities of novel actinobacteria strain isolated from Gulf of Khambhat, Gujarat. Front. Microbiol. 2017, 8, 2420. [Google Scholar] [CrossRef] [PubMed]
- Allen, A.D.; Daley, P.; Ayorinde, F.O.; Gugssa, A.; Anderson, W.A.; Eribo, B.E. Characterization of medium chain length (R)-3-hydroxycarboxylic acids produced by Streptomyces sp. JM3 and the evaluation of their antimicrobial properties. World J. Microbiol. Biotechnol. 2012, 28, 2791–2800. [Google Scholar] [CrossRef] [PubMed]
- Manna, A.; Banerjee, R.; Paul, A.K. Accumulation of Poly (3-Hydroxybutyric Acid) by Some Soil Streptomyces. Curr. Microbiol. 1999, 39, 153–158. [Google Scholar] [CrossRef] [PubMed]
- Verma, S.; Bhatia, Y.; Padinhara Valappil, S.; Roy, I. A Possible Role of Poly-3-Hydroxybutyric Acid in Antibiotic Production in Streptomyces. Arch. Microbiol. 2002, 179, 66–69. [Google Scholar] [CrossRef]
- Wang, P.; Yin, Y.; Wang, X.; Wen, J. Enhanced ascomycin production in Streptomyces hygroscopicus var. ascomyceticus by employing polyhydroxybutyrate as an intracellular carbon reservoir and optimizing carbon addition. Microb. Cell Factories 2021, 20, 70. [Google Scholar] [CrossRef]
- Williams, D.R.; Anderson, A.J.; Dawes, E.A.; Ewing, D.F. Production of a co-polyester of 3-hydroxybutyric acid and 3-hydroxyvaleric acid from succinic acid by Rhodococcus ruber: Biosynthetic considerations. Appl. Microbiol. Biotechnol. 1994, 40, 717–723. [Google Scholar] [CrossRef]
- Alvarez, H.M.; Kalscheuer, R.; Steinbüchel, A. Accumulation of storage lipids in species of Rhodococcus and Nocardia and effect of inhibitors and polyethylene glycol. Lipid/Fett 2006, 99, 239–246. [Google Scholar] [CrossRef]
- Alvarez, H.M.; Kalscheuer, R.; Steinbüchel, A. Accumulation and mobilization of storage lipids by Rhodococcus opacus PD630 and Rhodococcus ruber NCIMB 40126. Appl. Microbiol. Biotechnol. 2000, 54, 218–223. [Google Scholar] [CrossRef]
- Anderson, A.J.; Williams, D.R.; Dawes, E.A.; Ewing, D.F. Biosynthesis of poly(3-hydroxybutyrate- co -3-hydroxyvalerate) in Rhodococcus ruber. Can. J. Microbiol. 1995, 41, 4–13. [Google Scholar] [CrossRef]
- Ferreira, A.M.; Queirós, D.; Gagliano, M.C.; Serafim, L.S.; Rossetti, S. Polyhydroxyalkanoates-accumulating bacteria isolated from activated sludge acclimatized to hardwood sulphite spent liquor. Ann. Microbiol. 2016, 66, 833–842. [Google Scholar] [CrossRef]
- Fuè, B.; Steinbuè, A. Biosynthesis of Polyhydroxyalkanoates from Low-Rank Coal Liquefaction Products by Pseudomonas oleovorans and Rhodococcus ruber. Appl. Microbiol. Biotechnol. 1999, 52, 91–95. [Google Scholar]
- Haywood, G.W.; Anderson, A.J.; Roger Williams, D.; Dawes, E.A.; Ewing, D.F. Accumulation of a poly(hydroxyalkanoate) copolymer containing primarily 3-hydroxyvalerate from simple carbohydrate substrates by Rhodococcus sp. NCIMB 40126. Int. J. Biol. Macromol. 1991, 13, 83–88. [Google Scholar] [CrossRef]
- Hori, K.; Kobayashi, A.; Ikeda, H.; Unno, H. Rhodococcus aetherivorans IAR1, a new bacterial strain synthesizing poly(3-hydroxybutyrate-co-3-hydroxyvalerate) from toluene. J. Biosci. Bioeng. 2009, 107, 145–150. [Google Scholar] [CrossRef]
- Kalscheuer, R.; Wältermann, M.; Alvarez, H.; Steinbüchel, A. Preparative isolation of lipid inclusions from Rhodococcus opacus and Rhodococcus ruber and identification of granule-associated proteins. Arch. Microbiol. 2001, 177, 20–28. [Google Scholar] [CrossRef]
- Ranade, N.; Vining, L.C. Accumulation of intracellular carbon reserves in relation to chloramphenicol biosynthesis by Streptomyces venezuelae. Can. J. Microbiol. 1993, 39, 377–383. [Google Scholar] [CrossRef]
- Mahishi, L.H.; Tripathi, G.; Rawal, S.K. Poly(3-hydroxybutyrate) (PHB) synthesis by recombinant Escherichia coli harbouring Streptomyces aureofaciens PHB biosynthesis genes: Effect of various carbon and nitrogen sources. Microbiol. Res. 2003, 158, 19–27. [Google Scholar] [CrossRef]
- Ramachander, T.V.N.; Rohini, D.; Belhekar, A.; Rawal, S.K. Synthesis of PHB by recombinant E. coli harboring an approximately 5 kb genomic DNA fragment from Streptomyces aureofaciens NRRL 2209. Int. J. Biol. Macromol. 2002, 31, 63–69. [Google Scholar] [CrossRef]
- Clemente, T.; Shah, D.; Tran, M.; Stark, D.; Padgette, S.; Dennis, D.; Brückener, K.; Steinbüchel, A.; Mitsky, T. Sequence of PHA Synthase Gene from Two Strains of Rhodospirillum rubrum and in Vivo Substrate Specificity of Four PHA Synthases across Two Heterologous Expression Systems. Appl. Microbiol. Biotechnol. 2000, 53, 420–429. [Google Scholar] [CrossRef]
- Hall, B.; Baldwin, J.; Rhie, H.G.; Dennis, D. Cloning of the Nocardia corallina polyhydroxyalkanoate synthase gene and production of poly-(3-hydroxybutyrate-co-3-hydroxyhexanoate) and poly-(3-hydroxyvalerate-co-3-hydroxyheptanoate). Can. J. Microbiol. 1998, 44, 687–691. [Google Scholar] [CrossRef]
- Ghanem, N.B.; Mabrouk, M.E.S.; Sabry, S.A.; El-Badan, D.E.S. Degradation of polyesters by a novel marine Nocardiopsis aegyptia sp. nov.: Application of Plackett-Burman experimental design for the improvement of PHB depolymerase activity. J. Gen. Appl. Microbiol. 2005, 51, 151–158. [Google Scholar] [CrossRef]
- Shah, A.A.; Hasan, F.; Hameed, A. Degradation of poly(3-hydroxybutyrate-co-3-hydroxyvalerate) by a newly isolated Actinomadura sp. AF-555, from soil. Int. Biodeterior. Biodegrad. 2010, 64, 281–285. [Google Scholar] [CrossRef]
- Aly, M.M.; Al-Garni, S.M.; Kabli, S.A. Production of Biodegradable Plastic by Filamentous Bacteria Isolated from Saudi Arabia. Food Agric. Environ. 2011, 9. [Google Scholar]
- Hix, G.R.; Khan, M.S.; Miller, M.T.; Napier, E.C.; O’Brien, A.L.; White, R.P.; Baron, S.F. Characterization of Streptomyces nymphaeiformis sp. nov., and its taxonomic relatedness to other polyhydroxybutyrate-degrading streptomycetes. Int. J. Syst. Evol. Microbiol. 2022, 72, 005266. [Google Scholar] [CrossRef]
- Joyyi, L.; Thirmizir, M.Z.A.; Salim, M.S.; Han, L.; Murugan, P.; Kasuya, K.-I.; Maurer, F.H.; Arifin, M.I.Z.; Sudesh, K. Composite properties and biodegradation of biologically recovered P(3HB-co-3HHx) reinforced with short kenaf fibers. Polym. Degrad. Stab. 2017, 137, 100–108. [Google Scholar] [CrossRef]
- Mandic, M.; Spasic, J.; Ponjavic, M.; Nikolic, M.S.; Cosovic, V.R.; O’Connor, K.E.; Nikodinovic-Runic, J.; Djokic, L.; Jeremic, S. Biodegradation of poly(ε-caprolactone) (PCL) and medium chain length polyhydroxyalkanoate (mcl-PHA) using whole cells and cell free protein preparations of Pseudomonas and Streptomyces strains grown on waste cooking oil. Polym. Degrad. Stab. 2019, 162, 160–168. [Google Scholar] [CrossRef]
- Savenkova, L.; Gercberga, Z.; Nikolaeva, V.; Dzene, A.; Bibers, I.; Kalnin, M. Mechanical Properties and Biodegradation Characteristics of PHB-Based Films. Process Biochem. 2000, 35, 573–579. [Google Scholar] [CrossRef]
- Shah, A.A.; Hasan, F.; Hameed, A.; Ahmed, S. Isolation and Characterisation of Poly(3-Hydroxybutyrate-Co-3-Hydroxy-Valerate) Degrading Actinomycetes and Purification of PHBV Depolymerase from Newly Isolated Streptoverticillium Kashmirense AF1. Ann. Microbiol. 2007, 57, 583–588. [Google Scholar] [CrossRef]
- Spasic, J.; Mandic, M.; Radivojevic, J.; Jeremic, S.; Vasiljevic, B.; Nikodinovic-Runic, J.; Djokic, L. Biocatalytic potential of Streptomyces spp. isolates from rhizosphere of plants and mycorrhizosphere of fungi. Biotechnol. Appl. Biochem. 2018, 65, 822–833. [Google Scholar] [CrossRef] [PubMed]
- Martínez, V.; de Santos, P.G.; García-Hidalgo, J.; Hormigo, D.; Prieto, M.A.; Arroyo, M.; de la Mata, I. Novel extracellular medium-chain-length polyhydroxyalkanoate depolymerase from Streptomyces exfoliatus K10 DSMZ 41693: A promising biocatalyst for the efficient degradation of natural and functionalized mcl-PHAs. Appl. Microbiol. Biotechnol. 2015, 99, 9605–9615. [Google Scholar] [CrossRef] [PubMed]
- Gambarini, V.; Pantos, O.; Kingsbury, J.M.; Weaver, L.; Handley, K.M.; Lear, G. Phylogenetic Distribution of Plastic-Degrading Microorganisms. mSystems 2021, 6, 10-1128. [Google Scholar] [CrossRef] [PubMed]
- Sun, H.; Lapidus, A.; Nolan, M.; Lucas, S.; del Rio, T.G.; Tice, H.; Cheng, J.-F.; Tapia, R.; Han, C.; Goodwin, L.; et al. Complete genome sequence of Nocardiopsis dassonvillei type strain (IMRU 509 T). Stand. Genom. Sci. 2010, 3, 325–336. [Google Scholar] [CrossRef]
- Qiao, J.; Chen, L.; Li, Y.; Wang, J.; Zhang, W.; Chen, S. Whole-Genome sequence of nocardiopsis alba strain ATCC BAA-2165, associated with honeybees. J. Bacteriol. 2012, 194, 6358–6359. [Google Scholar] [CrossRef] [PubMed]
- Welz, P.J. Edible seed oil waste: Status quo and future perspectives. Water Sci. Technol. 2019, 80, 2107–2116. [Google Scholar] [CrossRef] [PubMed]
- Ranjan, A.; Welz, P.J.; Mthethwa, T. Investigation of an effective acid pre-treatment method for the valorisation of Canola fines. Biomass Convers. Biorefinery 2023, 1–14. [Google Scholar] [CrossRef]
- Alvarez, H.M. Relationship between β-oxidation pathway and the hydrocarbon-degrading profile in actinomycetes bacteria. Int. Biodeterior. Biodegrad. 2003, 52, 35–42. [Google Scholar] [CrossRef]
- Durrell, K.; Prins, A.; Le Roes-Hill, M. Draft genome sequence of Gordonia lacunae BS2T. Genome Announc. 2017, 5, e00959-17. [Google Scholar] [CrossRef]
- le Roes, M.; Goodwin, C.M.; Meyers, P.R. Gordonia lacunae sp. nov., isolated from an estuary. Syst. Appl. Microbiol. 2008, 31, 17–23. [Google Scholar] [CrossRef] [PubMed]
- Welz, P.; Swanepoel, G.; Weels, S.; Le Roes-Hill, M. Wastewater from the edible oil industry as a potential source of lipase-and surfactant-producing actinobacteria. Microorganisms 2021, 9, 1987. [Google Scholar] [CrossRef]
- le Roes, M.; Meyers, P.R. Nocardia gamkensis sp. nov. Antonie Van Leeuwenhoek 2006, 90, 291–298. [Google Scholar] [CrossRef]
- Shirling, E.B.; Gottlieb, D. Methods for characterization of Streptomyces species. Int. J. Syst. Bacteriol. 1966, 16, 313–340. [Google Scholar] [CrossRef]
- Kaper, J.B.; Mills, A.L.; Colwell, R.R. Evaluation of the Accuracy and Precision of Enumerating Aerobic Heterotrophs in Water Samples by the Spread Plate Method. Appl. Environ. Microbiol. 1978, 35, 756–761. [Google Scholar] [CrossRef] [PubMed]
- Susianingsih, E.; Kadriah, I.A.K. Screening and isolation of PHB (Poly-β-hydroxybutyrate) producing bacteria as an alternative material for disease prevention on the shrimp culture. In Proceedings of the 3rd International Symposium Marine and Fisheries (ISMF) 2020, South Sulawesi, Indonesia, 5–6 June 2020; IOP Conference Series: Earth and Environmental Science. IOP Publishing Ltd.: Bristol, UK, 2020; Volume 564. [Google Scholar] [CrossRef]
- Moyes, R.B.; Reynolds, J.; Breakwell, D.P. Differential Staining of Bacteria: Gram Stain. Curr. Protoc. Microbiol. 2009, 15, A.3C.1–A.3C.8. [Google Scholar] [CrossRef]
- Law, J.H.; Slepecky, R.A. Assay of Poly-β-Hydroxybutyric ACID. J. Bacteriol. 1961, 82, 33–36. [Google Scholar] [CrossRef]
- Fiorese, M.L.; Freitas, F.; Pais, J.; Ramos, A.M.; de Aragão, G.M.F.; Reis, M.A.M. Recovery of polyhydroxybutyrate (PHB) from Cupriavidus necator biomass by solvent extraction with 1,2-propylene carbonate. Eng. Life Sci. 2009, 9, 454–461. [Google Scholar] [CrossRef]
- Aramvash, A.; Gholami-Banadkuki, N.; Moazzeni-Zavareh, F.; Hajizadeh-Turchi, S. An Environmentally Friendly and Efficient Method for Extraction of PHB Biopolymer with Non-Halogenated Solvents. J. Microbiol. Biotechnol. 2015, 25, 1936–1943. [Google Scholar] [CrossRef]
- Welz, P.J.; Holtman, G.; Haldenwang, R.; Le Roes-Hill, M. Characterisation of winery wastewater from continuous flow settling basins and waste stabilisation ponds over the course of 1 year: Implications for biological wastewater treatment and land application. Water Sci. Technol. 2016, 74, 2036–2050. [Google Scholar] [CrossRef] [PubMed]
- Brettin, T.; Davis, J.J.; Disz, T.; Edwards, R.A.; Gerdes, S.; Olsen, G.J.; Olson, R.; Overbeek, R.; Parrello, B.; Pusch, G.D.; et al. RASTtk: A modular and extensible implementation of the RAST algorithm for building custom annotation pipelines and annotating batches of genomes. Sci. Rep. 2015, 5, 8365. [Google Scholar] [CrossRef] [PubMed]
- Cuccuru, G.; Orsini, M.; Pinna, A.; Sbardellati, A.; Soranzo, N.; Travaglione, A.; Uva, P.; Zanetti, G.; Fotia, G. Orione, a web-based framework for NGS analysis in microbiology. Bioinformatics 2014, 30, 1928–1929. [Google Scholar] [CrossRef] [PubMed]
- Wink, J.; Mohammadipanah, F.; Hamedi, J. Biology and Biotechnology of Actinobacteria; Springer International Publishing: Berlin/Heidelberg, Germany, 2017. [Google Scholar] [CrossRef]
- Kovalcik, A.; Pernicova, I.; Obruca, S.; Szotkowski, M.; Enev, V.; Kalina, M.; Marova, I. Grape winery waste as a promising feedstock for the production of polyhydroxyalkanoates and other value-added products. Food Bioprod. Process. 2020, 124, 1–10. [Google Scholar] [CrossRef]
- Shamala, T.R.; Divyashree, M.S.; Davis, R.; Kumari, K.S.L.; Vijayendra, S.V.N.; Raj, B. Production and characterization of bacterial polyhydroxyalkanoate copolymers and evaluation of their blends by fourier transform infrared spectroscopy and scanning electron microscopy. Indian J. Microbiol. 2009, 49, 251–258. [Google Scholar] [CrossRef] [PubMed]
- Sharma, P.K.; Munir, R.I.; de Kievit, T.; Levin, D.B. Synthesis of polyhydroxyalkanoates (PHAs) from vegetable oils and free fatty acids by wild-type and mutant strains of Pseudomonas chlororaphis. Can. J. Microbiol. 2017, 63, 1009–1024. [Google Scholar] [CrossRef] [PubMed]
- Sharma, P.K.; Munir, R.I.; Blunt, W.; Dartiailh, C.; Cheng, J.; Charles, T.C.; Levin, D.B. Synthesis and physical properties of polyhydroxyalkanoate polymers with different monomer compositions by recombinant Pseudomonas putida LS46 expressing a novel PHA SYNTHASE (PhaC116) enzyme. Appl. Sci. 2017, 7, 242. [Google Scholar] [CrossRef]
- Yasin, A.R.; Al-Mayaly, I.K. Study of the Fermentation Conditions of the Bacillus Cereus Strain ARY73 to Produce Polyhydroxyalkanoate (PHA) from Glucose. J. Ecol. Eng. 2021, 22, 41–53. [Google Scholar] [CrossRef] [PubMed]
- Gahlawat, G.; Soni, S.K. Valorization of waste glycerol for the production of poly (3-hydroxybutyrate) and poly (3-hydroxybutyrate-co-3-hydroxyvalerate) copolymer by Cupriavidus necator and extraction in a sustainable manner. Bioresour. Technol. 2017, 243, 492–501. [Google Scholar] [CrossRef]
- Hong, S.-G.; Chen, W.-M. The Attenuated Total Reflection Infrared Analysis of Surface Crystallinity of Polyhydroxyalkanoates. e-Polymers 2006, 6, 310–326. [Google Scholar] [CrossRef]
- Xu, J.; Guo, B.-H.; Yang, R.; Wu, Q.; Chen, G.-Q.; Zhang, Z.-M. In Situ FTIR Study on Melting and Crystallization of Polyhydroxyalkanoates. Polymer 2002, 43, 6893–6899. [Google Scholar] [CrossRef]
- Jarute, G.; Kainz, A.; Schroll, G.; Baena, J.R.; Lendl, B. On-line determination of the intracellular poly(β-hydroxybutyric acid) content in transformed Escherichia coli and glucose during PHB production using stopped-flow attenuated total reflection FT-IR spectrometry. Anal. Chem. 2004, 76, 6353–6358. [Google Scholar] [CrossRef] [PubMed]
- Sathiyanarayanan, G.; Bhatia, S.K.; Song, H.-S.; Jeon, J.-M.; Kim, J.; Lee, Y.K.; Kim, Y.-G.; Yang, Y.-H. Production and characterization of medium-chain-length polyhydroxyalkanoate copolymer from Arctic psychrotrophic bacterium Pseudomonas sp. PAMC 28620. Int. J. Biol. Macromol. 2017, 97, 710–720. [Google Scholar] [CrossRef] [PubMed]
- Gumel, A.M.; Annuar, M.S.M.; Heidelberg, T. Biosynthesis and Characterization of Polyhydroxyalkanoates Copolymers Produced by Pseudomonas putida Bet001 Isolated from Palm Oil Mill Effluent. PLoS ONE 2012, 7, e45214. [Google Scholar] [CrossRef] [PubMed]
- Etxabide, A.; Kilmartin, P.A.; Guerrero, P.; de la Caba, K.; Hooks, D.O.; West, M.; Singh, T. Polyhydroxybutyrate (PHB) produced from red grape pomace: Effect of purification processes on structural, thermal and antioxidant properties. Int. J. Biol. Macromol. 2022, 217, 449–456. [Google Scholar] [CrossRef] [PubMed]
- Venkateswar Reddy, M.; Mawatari, Y.; Yajima, Y.; Seki, C.; Hoshino, T.; Chang, Y.-C. Poly-3-hydroxybutyrate (PHB) production from alkylphenols, mono and poly-aromatic hydrocarbons using Bacillus sp. CYR1: A new strategy for wealth from waste. Bioresour. Technol. 2015, 192, 711–717. [Google Scholar] [CrossRef] [PubMed]
- Kimbonguila, A.; Matos, L.; Petit, J.; Scher, J.; Nzikou, J.-M. Effect of Physical Treatment on the Physicochemical, Rheological and Functional Proper-ties of Yam Meal of the Cultivar ‘Ngumvu’ from Dioscorea Alata L. of Congo. Int. J. Recent Sci. Res. 2019, 192, 537–545. [Google Scholar]
- Demir Öksüz, Z.; Doruk, T.; Yağci, N.; Tunca Gedik, S. Polyhydroxyalkanoate accumulation in streptomyces coelicolor affected by sco761gene region. Turk. J. Biol. 2021, 45, 275–286. [Google Scholar] [CrossRef] [PubMed]
- Rehm, B.H.A. Polyester synthases: Natural catalysts for plastics. Biochem. J. 2003, 376, 15–33. [Google Scholar] [CrossRef]
- Feng, L.; Yan, J.; Jiang, Z.; Chen, X.; Li, Z.; Liu, J.; Qian, X.; Liu, Z.; Liu, G.; Liu, C.; et al. Characterization of polyhydroxybutyrate (PHB) synthesized by newly isolated rare actinomycetes Aquabacterium sp. A7-Y. Int. J. Biol. Macromol. 2023, 232, 123366. [Google Scholar] [CrossRef]
- Valappil, S.P.; Boccaccini, A.R.; Bucke, C.; Roy, I. Polyhydroxyalkanoates in Gram-positive bacteria: Insights from the genera Bacillus and Streptomyces. Antonie Van Leeuwenhoek 2006, 91, 1–17. [Google Scholar] [CrossRef]
- Menendez-Bravo, S.; Paganini, J.; Avignone-Rossa, C.; Gramajo, H.; Arabolaza, A. Identification of FadAB complexes involved in fatty acid β-oxidation in Streptomyces coelicolor and construction of a triacylglycerol overproducing strain. Front. Microbiol. 2017, 8, 1428. [Google Scholar] [CrossRef] [PubMed]
- Leadbeater, D.R.; Bruce, N.C.; Tonon, T. In silico identification of bacterial seaweed-degrading bioplastic producers. Microb. Genom. 2022, 8, 000866. [Google Scholar] [CrossRef]
- Matias, F.; Bonatto, D.; Padilla, G.; Rodrigues, M.F.D.A.; Henriques, J.A.P. Polyhydroxyalkanoates production by actinobacteria isolated from soil. Can. J. Microbiol. 2009, 55, 790–800. [Google Scholar] [CrossRef] [PubMed]
- Zuriani, R.; Vigneswari, S.; Azizan, M.N.M.; Majid, M.I.A.; Amirul, A.A. A high throughput Nile red fluorescence method for rapid quantification of intracellular bacterial polyhydroxyalkanoates. Biotechnol. Bioprocess Eng. 2013, 18, 472–478. [Google Scholar] [CrossRef]
- Kumagai, Y.; Hirasawa, T.; Hayakawa, K.; Nagai, K.; Wachi, M. Fluorescent phospholipid analogs as microscopic probes for detection of the mycolic acid-containing layer in Corynebacterium glutamicum: Detecting alterations in the mycolic acid-containing layer following ethambutol treatment. Biosci. Biotechnol. Biochem. 2005, 69, 2051–2056. [Google Scholar] [CrossRef] [PubMed][Green Version]
- Krishnan, S.; Chinnadurai, G.S.; Ravishankar, K.; Raghavachari, D.; Perumal, P. Statistical augmentation of polyhydroxybutyrate production by Isoptericola variabilis: Characterization, moulding, in vitro cytocompatibility and biodegradability evaluation. Int. J. Biol. Macromol. 2021, 166, 80–97. [Google Scholar] [CrossRef] [PubMed]
- Liu, W.T.; Hanada, S.; Marsh, T.L.; Kamagata, Y.; Nakamura, K. Kineosphaera limosa gen. nov., sp. nov., a novel Gram-positive polyhydroxyalkanoate-accumulating coccus isolated from activated sludge. Int. J. Syst. Evol. Microbiol. 2002, 52, 1845–1849. [Google Scholar] [CrossRef][Green Version]
- Emeruwa, A.C. Isolation and metabolism of glycogen and poly-betahydroxybutyrate in Nocardia asteroides at different developmental stages. Ann. Microbiol. 1981, 132B, 13–21. [Google Scholar]
- Akar, A.; Akkaya, E.U.; Yesiladali, S.K.; Çelikyilmaz, G.; Çokgor, E.U.; Tamerler, C.; Orhon, D.; Çakar, Z.P. Accumulation of polyhydroxyalkanoates by Microlunatus phosphovorus under various growth conditions. J. Ind. Microbiol. Biotechnol. 2006, 33, 215–220. [Google Scholar] [CrossRef]
- Kouřilová, X.; Schwarzerová, J.; Pernicová, I.; Sedlář, K.; Mrázová, K.; Krzyžánek, V.; Nebesářová, J.; Obruča, S. The first insight into polyhydroxyalkanoates accumulation in multi-extremophilic Rubrobacter xylanophilus and Rubrobacter spartanus. Microorganisms 2021, 9, 909. [Google Scholar] [CrossRef] [PubMed]
- Krishnan, S.; Chinnadurai, G.S.; Perumal, P. Polyhydroxybutyrate by Streptomyces sp.: Production and characterization. Int. J. Biol. Macromol. 2017, 104, 1165–1171. [Google Scholar] [CrossRef] [PubMed]
- Arenskötter, M.; Baumeister, D.; Kalscheuer, R.; Steinbüchel, A. Identification and application of plasmids suitable for transfer of foreign DNA to members of the genus Gordonia. Appl. Environ. Microbiol. 2003, 69, 4971–4974. [Google Scholar] [CrossRef] [PubMed]
- Andler, R.; Vivod, R.; Steinbüchel, A. Synthesis of polyhydroxyalkanoates through the biodegradation of poly(cis-1,4-isoprene) rubber. J. Biosci. Bioeng. 2019, 127, 360–365. [Google Scholar] [CrossRef]
- Parisutham, V.; Sathesh-Prabu, C.; Mukhopadhyay, A.; Kuk Lee, S. Intracellular Cellobiose Metabolism and Its Applications in Lignocellulose-Based Biorefineries. Bioresour. Technol. 2017, 239, 496–506. [Google Scholar] [CrossRef] [PubMed]
- Mutturi, S.; Ike, M.; Yamagishi, K.; Tokuyasu, K. Isolation, characterization, and application of thermotolerant Streptomyces sp. K5 for efficient conversion of cellobiose to chitinase using pulse-feeding strategy. Process Biochem. 2020, 94, 58–65. [Google Scholar] [CrossRef]
- Yasuda, S.; Suenaga, T.; Orschler, L.; Agrawal, S.; Lackner, S.; Terada, A. Metagenomic Insights into Functional and Taxonomic Compositions of an Activated Sludge Microbial Community Treating Leachate of a Completed Landfill: A Pathway-Based Analysis. Front. Microbiol. 2021, 12, 640848. [Google Scholar] [CrossRef]
- Mahato, R.P.; Kumar, S.; Singh, P. Production of polyhydroxyalkanoates from renewable resources: A review on prospects, challenges and applications. Arch. Microbiol. 2023, 205, 172. [Google Scholar] [CrossRef]
- Zhang, Z.; Wang, Y.; Wang, X.; Zhang, Y.; Zhu, T.; Peng, L.; Xu, Y.; Chen, X.; Wang, D.; Ni, B.-J.; et al. Towards scaling-up implementation of polyhydroxyalkanoate (PHA) production from activated sludge: Progress and challenges. J. Clean. Prod. 2024, 447, 141542. [Google Scholar] [CrossRef]
- Tan, D.; Wang, Y.; Tong, Y.; Chen, G.-Q. Grand Challenges for Industrializing Polyhydroxyalkanoates (PHAs). Trends Biotechnol. 2021, 39, 953–963. [Google Scholar] [CrossRef]






| Genus and Species | Strain | Type and Origin | Reference |
|---|---|---|---|
| Gordonia sp. | BG1.3 | Goukou river peat, Western Cape, South Africa | Unpublished |
| Gordonia lacunae * | BS2T | Plettenberg bay estuarine sand, Western Cape, South Africa | [51,52] |
| Gordonia sp. | JC51 | Deep sea sediment, Mariana Trench, Western Pacific | Unpublished |
| Micromonospora sp. ** | BT2 | Edible oil wastewater, Western Cape, South Africa | [53] |
| Nocardia gamkensis *** | CZH20T | Swartberg mountain soil, Western Cape, South Africa | [53,54] |
| Streptomyces albidoflavus | BT3 | Edible oil wastewater, Western Cape, South Africa | [53] |
| Streptomyces sp. | HMC19 | Swartberg mountain soil, Western Cape, South Africa | Unpublished |
Disclaimer/Publisher’s Note: The statements, opinions and data contained in all publications are solely those of the individual author(s) and contributor(s) and not of MDPI and/or the editor(s). MDPI and/or the editor(s) disclaim responsibility for any injury to people or property resulting from any ideas, methods, instructions or products referred to in the content. |
© 2024 by the authors. Licensee MDPI, Basel, Switzerland. This article is an open access article distributed under the terms and conditions of the Creative Commons Attribution (CC BY) license (https://creativecommons.org/licenses/by/4.0/).
Share and Cite
Mabasa, D.; Ranjan, A.; Le Roes-Hill, M.; Mthethwa, T.; Welz, P.J. Polyhydroxyalkanoate Production by Actinobacterial Isolates in Lignocellulosic Hydrolysate. Processes 2024, 12, 1112. https://doi.org/10.3390/pr12061112
Mabasa D, Ranjan A, Le Roes-Hill M, Mthethwa T, Welz PJ. Polyhydroxyalkanoate Production by Actinobacterial Isolates in Lignocellulosic Hydrolysate. Processes. 2024; 12(6):1112. https://doi.org/10.3390/pr12061112
Chicago/Turabian StyleMabasa, Dzunani, Amrita Ranjan, Marilize Le Roes-Hill, Thandekile Mthethwa, and Pamela Jean Welz. 2024. "Polyhydroxyalkanoate Production by Actinobacterial Isolates in Lignocellulosic Hydrolysate" Processes 12, no. 6: 1112. https://doi.org/10.3390/pr12061112
APA StyleMabasa, D., Ranjan, A., Le Roes-Hill, M., Mthethwa, T., & Welz, P. J. (2024). Polyhydroxyalkanoate Production by Actinobacterial Isolates in Lignocellulosic Hydrolysate. Processes, 12(6), 1112. https://doi.org/10.3390/pr12061112

