Combustion Characteristics, Kinetics and Thermodynamics of Peanut Shell for Its Bioenergy Valorization
Abstract
1. Introduction
2. Materials and Methods
2.1. Materials
2.2. Experimental Procedures
2.3. Combustion Characteristic Parameters
2.3.1. Characteristic Temperature and Characteristic Time
2.3.2. Weight Loss Rate
2.3.3. Combustion Performance Parameters
2.4. Kinetic Method
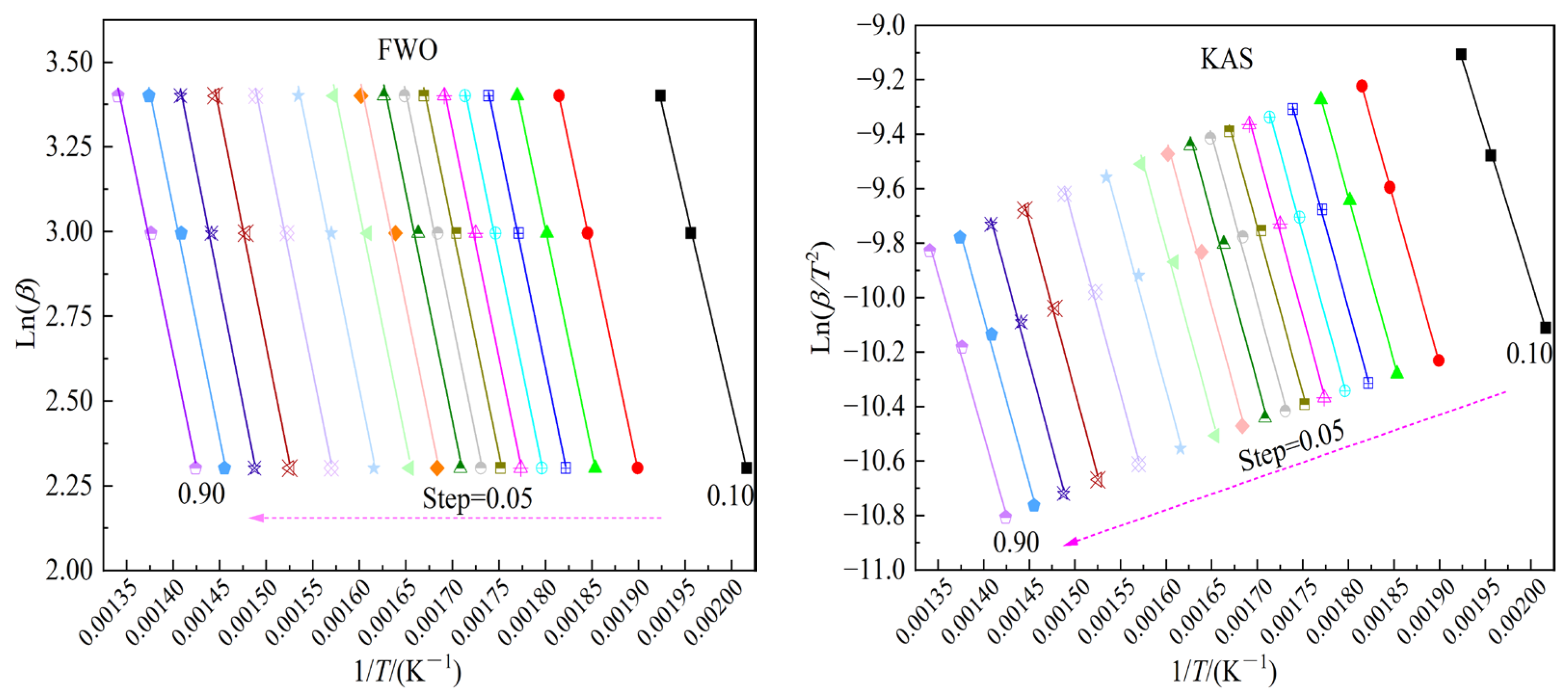
2.4.1. The FWO Method
2.4.2. The KAS Method
2.5. Thermodynamic Method
3. Results and Discussion
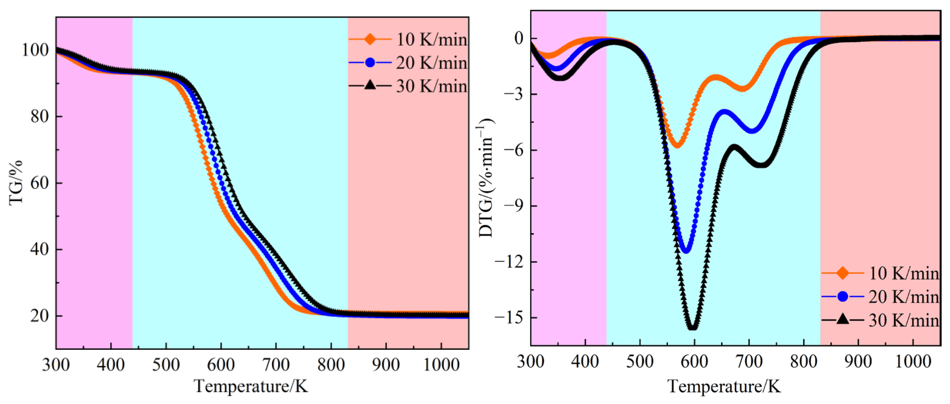
3.1. Thermogravimetric Analysis
3.2. Combustion Characteristic Analysis
3.3. Kinetics Analysis
3.3.1. Activation Energy Analysis
3.3.2. Pre-Exponential Factor Analysis
3.4. Thermodynamic Analysis
4. Conclusions
Author Contributions
Funding
Data Availability Statement
Acknowledgments
Conflicts of Interest
References
- Al-Hamamre, Z.; Saidan, M.; Hararah, M.; Rawajfeh, K.; Alkhasawneh, H.E.; Al-Shannag, M. Wastes and Biomass Materials as Sustainable-renewable Energy Resources for Jordan. Renew. Sustain. Energy Rev. 2017, 67, 295–314. [Google Scholar] [CrossRef]
- Sagastume Gutiérrez, A.; Cabello Eras, J.J.; Hens, L.; Vandecasteele, C. The Energy Potential of Agriculture, Agroindustrial, Livestock, and Slaughterhouse Biomass Wastes Through Direct Combustion and Anaerobic Digestion. Case Colombia. J. Clean. Prod. 2020, 269, 122317. [Google Scholar] [CrossRef]
- Demirbaş, A. Biomass Resource Facilities and Biomass Conversion Processing for Fuels and Chemicals. Energy Convers. Manag. 2001, 42, 1357–1378. [Google Scholar] [CrossRef]
- Yang, C.; Kwon, H.; Bang, B.; Jeong, S.; Lee, U. Role of Biomass as Low-carbon Energy Source in the Era of Net Zero Emissions. Fuel 2022, 328, 125206. [Google Scholar] [CrossRef]
- Wang, R.; Song, X.L.; Liu, S.J.; Liu, Z.W. Research on Co-combustion Behaviors of Binary and Ternary Blends of Coal, Walnut Shell, and Biochar by TGA. Processes 2022, 10, 2264. [Google Scholar] [CrossRef]
- Zhao, X.; Ma, X.W.; Chen, B.Y.; Shang, Y.P.; Song, M.H. Challenges Toward Carbon Neutrality in China: Strategies and Countermeasures. Resour. Conserv. Recycl. 2022, 176, 105959. [Google Scholar] [CrossRef]
- Li, W.; Zhang, S.H.; Lu, C. Exploration of China’s Net CO2 Emissions Evolutionary Pathways by 2060 in the Context of Carbon Neutrality. Sci. Total Environ. 2022, 831, 154909. [Google Scholar] [CrossRef] [PubMed]
- Wang, Y.B.; Wang, X.B.; Tan, H.Z.; Du, W.Z.; Qu, X.D. Extraction and Quantitation of Various Potassium Salts in Straw Ash. Environ. Prog. Sustain. Energy 2015, 34, 333–338. [Google Scholar] [CrossRef]
- Yang, B.L.; Zhang, C.X.; Zhang, X.J.; Wang, G.; Li, L.; Geng, H.R.; Liu, Y. Survey of Aflatoxin B1 and Heavy Metal Contamination in Peanut and Peanut Soil in China during 2017–2018. Food Control 2020, 118, 107372. [Google Scholar] [CrossRef]
- Lang, Q.Q.; Liu, Z.G.; Li, Y.F.; Xu, J.X.; Li, J.J.; Liu, B.S.; Sun, Q.P. Combustion Characteristics, Kinetic and Thermodynamic Analyses of Hydrochars Derived from Hydrothermal Carbonization of Cattle Manure. J. Environ. Chem. Eng. 2022, 10, 106938. [Google Scholar] [CrossRef]
- Alves, J.L.F.; Da Silva, J.C.G.; Sellin, N.; Prá, F.D.B.; Sapelini, C.; Souza, O.; Marangoni, C. Upgrading of Banana Leaf Waste to Produce Solid Biofuel by Torrefaction: Physicochemical Properties, Combustion Behaviors, and Potential Emissions. Environ. Sci. Pollut. Res. 2022, 29, 25733–25747. [Google Scholar] [CrossRef] [PubMed]
- Mahmood, H.; Shakeel, A.; Abdullah, A.; Khan, M.I.; Moniruzzaman, M. A Comparative Study on Suitability of Model-free and Model-fitting Kinetic Methods to Non-Isothermal Degradation of Lignocellulosic Materials. Polymers 2021, 13, 2504. [Google Scholar] [CrossRef]
- Du, W.Z.; Wang, G.; Wang, Y.; Liu, X.L. Thermal Degradation of Bituminous Coal with Both Model-free and Model-fitting Methods. Appl. Therm. Eng. 2019, 152, 169–174. [Google Scholar] [CrossRef]
- Vyazovkin, S.; Wight, C.A. Model-free and Model-fitting Approaches to Kinetic Analysis of Isothermal and Nonisothermal Data. Thermochim. Acta 1999, 340, 53–68. [Google Scholar] [CrossRef]
- Torres-García, E.; Ramírez-Verduzco, L.F.; Aburto, J. Pyrolytic Degradation of Peanut Shell: Activation Energy Dependence on the Conversion. Waste Manag. 2020, 106, 203–212. [Google Scholar] [CrossRef] [PubMed]
- Kumar, M.; Rai, D.; Bhardwaj, G.; Upadhyay, S.N.; Mishra, P.K. Pyrolysis of Peanut Shell: Kinetic Analysis and Optimization of Thermal Degradation Process. Ind. Crop. Prod. 2021, 174, 114128. [Google Scholar] [CrossRef]
- Varma, A.K.; Singh, S.; Rathore, A.K.; Thakur, L.S.; Shankar, R.; Mondal, P. Investigation of Kinetic and Thermodynamic Parameters for Pyrolysis of Peanut Shell Using Thermogravimetric Analysis. Biomass Convers. Biorefinery 2020, 12, 4877–4888. [Google Scholar] [CrossRef]
- Tao, W.M.; Zhang, P.; Yang, X.W.; Li, H.; Liu, Y.; Pan, B. An Integrated Study on the Pyrolysis Mecanism of Peanut Shell Based on the Kinetic Analysis and Solid/Gas Characterization. Bioresour. Technol. 2021, 329, 124860. [Google Scholar] [CrossRef]
- Nie, Y.Z.; Deng, M.S.; Shan, M.; Yang, X.D. Evaluating the Impact of Wood Sawdust and Peanut Shell Mixing Ratio on Co-combustion Performance. Fuel 2022, 324, 124667. [Google Scholar] [CrossRef]
- Xu, Z.H.; Xiao, X.; Fang, P.; Ye, L.M.; Huang, J.H.; Wu, H.W.; Tang, Z.J.; Chen, D.Y. Comparison of Combustion and Pyrolysis Behavior of the Peanut Shells in Air and N2: Kinetics, Thermodynamics and Gas Emissions. Sustainability 2020, 12, 464. [Google Scholar] [CrossRef]
- Torres-Sciancalepore, R.; Fernandez, A.; Asensio, D.; Riveros, M.; Fabani, M.P.; Fouga, G.; Mazza, G. Kinetic and Thermodynamic Comparative Study of Quince Bio-waste Slow Pyrolysis Before and After Sustainable Recovery of Pectin Compounds. Energy Convers. Manag. 2022, 252, 115076. [Google Scholar] [CrossRef]
- Fernandez, A.; Palacios, C.; Echegaray, M.; Mazza, G.; Rodriguez, R. Pyrolysis and Combustion of Regional Agro-industrial Wastes: Thermal Behavior and Kinetic Parameters Comparison. Combust. Sci. Technol. 2017, 190, 114–135. [Google Scholar] [CrossRef]
- Zalazar-Garcia, D.; Fernandez, A.; Cavaliere, L.; Deng, Y.; Soria, J.; Rodriguez, R.; Mazza, G. Slow Pyrolysis of Pistachio-waste Pellets: Combined Phenomenological Modeling with Environmental, Exergetic, and Energetic Analysis (3-E). Biomass Convers. Biorefinery 2022, 14, 9197–9215. [Google Scholar] [CrossRef]
- Vyazovkin, S.; Sbirrazzuoli, N. Isoconversional Kinetic Analysis of Thermally Stimulated Processes in Polymers. Macromol. Rapid Commun. 2006, 27, 1515–1532. [Google Scholar] [CrossRef]
- Brems, A.; Baeyens, J.; Beerlandt, J.; Dewil, R. Thermogravimetric Pyrolysis of Waste Polyethylene-terephthalate and Polystyrene: A Critical Assessment of Kinetics Modelling. Resour. Conserv. Recycl. 2011, 55, 772–781. [Google Scholar] [CrossRef]
- Van de Velden, M.; Baeyens, J.; Boukis, I. Modeling CFB Biomass Pyrolysis Reactors. Biomass Bioenergy 2008, 32, 128–139. [Google Scholar] [CrossRef]
- Van de Velden, M.; Baeyens, J.; Brems, A.; Janssens, B.; Dewil, R. Fundamentals, Kinetics and Endothermicity of the Biomass Pyrolysis Reaction. Renew. Energy 2010, 35, 232–242. [Google Scholar] [CrossRef]
- GBT 212–2008; Proximate Analysis of Coal. Standardization Administration of China: China, 2008.
- Sheng, C.D.; Azevedo, J.L.T.Ã. Estimating the Higher Heating Value of Biomass Fuels from Basic Analysis Data. Biomass Bioenergy 2005, 28, 499–507. [Google Scholar] [CrossRef]
- Kalak, T. Potential Use of Industrial Biomass Waste as a Sustainable Energy Source in the Future. Energies 2023, 16, 1783. [Google Scholar] [CrossRef]
- Zhang, Y.Y.; Cuo, Y.X.; Cheng, F.Q.; Yan, K.Z.; Cao, Y. Investigation of Combustion Characteristics and Kinetics of Coal Gangue with Different Feedstock Properties by Thermogravimetric Analysis. Thermochim. Acta 2015, 614, 137–148. [Google Scholar] [CrossRef]
- Deng, S.H.; Wang, X.B.; Tan, H.Z.; Mikulčić, H.; Yang, F.X.; Li, Z.F.; Duić, N. Thermogravimetric Study on the Co-combustion Characteristics of Oily Sludge with Plant Biomass. Thermochim. Acta 2016, 633, 69–76. [Google Scholar] [CrossRef]
- Liu, X.; Chen, M.; Yu, D. Oxygen Enriched Co-combustion Characteristics of Herbaceous Biomass and Bituminous Coal. Thermochim. Acta 2013, 569, 17–24. [Google Scholar] [CrossRef]
- Chen, J.B.; Mu, L.; Cai, J.C.; Yao, P.K.; Song, X.G.; Yin, H.C.; Li, A.M. Pyrolysis and Oxy-fuel Combustion Characteristics and Kinetics of Petrochemical Wastewater Sludge Using Thermogravimetric Analysis. Bioresour. Technol. 2015, 198, 115–123. [Google Scholar] [CrossRef] [PubMed]
- Wang, G.W.; Zhang, J.L.; Shao, J.G.; Jiang, Y.K.; Gao, B.; Zhao, D.; Liu, D.H.; Wang, H.Y.; Liu, Z.J.; Jiao, K.X. Experiments and Kinetic Modeling for the Oxidative Decomposition of Herbaceous and Wooden Residues. Bioresources 2016, 11, 4821–4838. [Google Scholar] [CrossRef]
- Tang, L.; Xiao, J.; Mao, Q.Y.; Zhang, Z.H.; Yao, Z.; Zhu, X.D.; Ye, S.C.; Zhong, Q.F. Thermogravimetric Analysis of the Combustion Characteristics and Combustion Kinetics of Coals Subjected to Different Chemical Demineralization Processes. ACS Omega 2022, 7, 13998–14008. [Google Scholar] [CrossRef]
- Vyazovkin, S.; Chrissafis, K.; Di Lorenzo, M.L.; Koga, N.; Pijolat, M.; Roduit, B.; Sbirrazzuoli, N.; Suñol, J.J. ICTAC Kinetics Committee Recommendations for Collecting Experimental Thermal Analysis Data for Kinetic Computations. Thermochim. Acta 2014, 590, 1–23. [Google Scholar] [CrossRef]
- Flynn, J.H. The “Temperature Integral”–Its Use and Abuse. Thermochim. Acta 1997, 300, 83–92. [Google Scholar] [CrossRef]
- Ozawa, T.A. A New Method of Analyzing Thermogravimetric Data. Bull. Chem. Soc. Jpn. 1965, 38, 1881–1886. [Google Scholar] [CrossRef]
- Ahmad, M.S.; Mehmood, M.A.; Ayed, O.S. Kinetic Analyses and Pyrolytic Behavior of Para Grass (Urochloa Mutica) for Its Bioenergy Potential. Bioresour. Technol. 2017, 224, 708–713. [Google Scholar] [CrossRef]
- Alves, J.L.F.; Da Silva, J.C.G.; Da Silva Filho, V.F.; Alves, R.F.; Ahmad, M.S.; Ahmad, M.S.; Galdino, W.V.A.; De Sena, R.F. Bioenergy Potential of Red Macroalgae Gelidium Floridanum by Pyrolysis: Evaluation of Kinetic Triplet and Thermodynamics Parameters. Bioresour. Technol. 2019, 291, 121892. [Google Scholar] [CrossRef]
- Chen, R.Y.; Li, Q.W.; Xu, X.K.; Zhang, D.D.; Hao, R.L. Combustion Characteristics, Kinetics and Thermodynamics of Pinus Sylvestris Pine Needle via Non-isothermal Thermogravimetry Coupled with Model-free and Model-fitting Methods. Case Stud. Therm. Eng. 2020, 22, 100756. [Google Scholar] [CrossRef]
- Vyazovkin, S.; Burnham, A.K.; Criado, J.M.; Pérez-Maqueda, L.A.; Popescu, C.; Sbirrazzuoli, N. ICTAC Kinetics Committee Recommendations for Performing Kinetic Computations on Thermal Analysis Data. Thermochim. Acta 2011, 520, 1–19. [Google Scholar] [CrossRef]
- Cai, H.M.; Zou, H.H.; Liu, J.Y.; Xie, W.M.; Kuo, J.H.; Buyukada, M.; Evrendilek, F. Thermal Degradations and Processes of Waste Tea and Tea Leaves via TG-FTIR: Combustion Performances, Kinetics, Thermodynamics, Products and Optimization. Bioresour. Technol. 2018, 268, 715–725. [Google Scholar] [CrossRef] [PubMed]
- Cao, W.H.; Li, J.; Martí-Rosselló, T.; Zhang, X.L. Experimental Study on the Ignition Characteristics of Cellulose, Hemicellulose, Lignin and Their Mixtures. J. Energy Inst. 2019, 92, 1303–1312. [Google Scholar] [CrossRef]
- Qiao, Y.Y.; Wang, B.; Ji, Y.Y.; Xu, F.; Zong, P.J.; Zhang, J.H.; Tian, Y.Y. Thermal Decomposition of Castor Oil, Corn Starch, Soy Protein, Lignin, Xylan, and Cellulose during Fast Pyrolysis. Bioresour. Technol. 2019, 278, 287–295. [Google Scholar] [CrossRef]
- Vamvuka, D.; Sfakiotakis, S. Combustion Behaviour of Biomass Fuels and Their Blends with Lignite. Thermochim. Acta 2011, 526, 192–199. [Google Scholar] [CrossRef]
- Çakman, G. Pyrolysis of Euphorbia Rigida: A Study on Thermal Characterizations, Kinetics, Thermodynamics via TG-FTIR Analysis. J. Environ. Manag. 2024, 357, 120835. [Google Scholar] [CrossRef] [PubMed]
- Yu, D.; Chen, M.Q. Oxygen Enriched Co-combustion of Biomass and Bituminous Coal. Energy Sources Part A Recovery Util. Environ. Eff. 2016, 38, 994–1001. [Google Scholar] [CrossRef]
- Jia, G.H. Combustion Characteristics and Kinetic Analysis of Biomass Pellet Fuel Using Thermogravimetric Analysis. Processes 2021, 9, 868. [Google Scholar] [CrossRef]
- Liao, X.J.; Singh, S.; Yang, H.P.; Wu, C.F.; Zhang, S.H. A Thermogravimetric Assessment of the Tri-combustion Process for Coal, Biomass and Polyethylene. Fuel 2021, 287, 119355. [Google Scholar] [CrossRef]
- Mureddu, M.; Dessi, F.; Orsini, A.; Ferrara, F.; Pettinau, A. Air-and Oxygen-blown Characterization of Coal and Biomass by Thermogravimetric Analysis. Fuel 2018, 212, 626–637. [Google Scholar] [CrossRef]
- Jiang, L.; Zhang, D.; Li, M.; He, J.J.; Gao, Z.H.; Zhou, Y.; Sun, J.H. Pyrolytic Behavior of Waste Extruded Polystyrene and Rigid Polyurethane by Multi Kinetics Methods and Py-GC/MS. Fuel 2018, 222, 11–20. [Google Scholar] [CrossRef]
- Xu, X.K.; Pan, R.M.; Chen, R.Y. Combustion Characteristics, Kinetics, and Thermodynamics of Pine Wood Through Thermogravimetric Analysis. Appl. Biochem. Biotech. 2021, 193, 1427–1446. [Google Scholar] [CrossRef] [PubMed]
- Zhao, Z.Y.; Liu, P.H. Combustion Characteristics and Kinetics of Five Tropic Oilgal Strains Using Thermogravimetric Analysis. J. Therm. Anal. Calorim. 2018, 131, 1919–1931. [Google Scholar] [CrossRef]
- Yiga, V.A.; Katamba, M.; Lubwama, M.; Adolfsson, K.H.; Hakkarainen, M.; Kamalha, E. Combustion, Kinetics and Thermodynamic Characteristics of Rice Husks and Rice Husk-biocomposites Using Thermogravimetric Analysis. J. Therm. Anal. Calorim. 2023, 148, 11435–11454. [Google Scholar] [CrossRef]
- Chong, C.T.; Mong, G.R.; Ng, J.H.; Chong, W.W.F.; Ani, F.N.; Lam, S.S.; Ong, H.C. Pyrolysis Characteristics and Kinetic Studies of Horse Manure using Thermogravimetric Analysis. Energy Convers. Manag. 2019, 180, 1260–1267. [Google Scholar] [CrossRef]
- Ahmad, M.S.; Mehmood, M.A.; Taqvi, S.T.H.; Elkamel, A.; Liu, C.G.; Xu, J.; Rahimuddin, S.A.; Gull, M. Pyrolysis, Kinetics Analysis, Thermodynamics Parameters and Reaction Mechanism of Typha Latifolia to Evaluate Its Bioenergy Potential. Bioresour. Technol. 2017, 245, 491–501. [Google Scholar] [CrossRef]
- Patidar, K.; Singathia, A.; Vashishtha, M.; Sangal, V.K.; Upadhyaya, S. Investigation of Kinetic and Thermodynamic Parameters Approaches to Non-isothermal Pyrolysis of Mustard Stalk using Model-free and Master Plots Methods. Mater. Sci. Energy Technol. 2022, 5, 6–14. [Google Scholar] [CrossRef]
- Petrovič, A.; Vohl, S.; Cenčič Predikaka, T.; Bedoić, R.; Simonič, M.; Ban, I.; Čuček, L. Pyrolysis of Solid Digestate from Sewage Sludge and Lignocellulosic Biomass: Kinetic and Thermodynamic Analysis, Characterization of Biochar. Sustainability 2021, 13, 9642. [Google Scholar] [CrossRef]







| Proximate Analysis/% | Ultimate Analysis/% | HHV (MJ/kg) | |||||||
|---|---|---|---|---|---|---|---|---|---|
| Moisture | Fixed Carbon | Volatiles | Ash | C | H | N | S | O | |
| 8.16 | 14.38 | 57.20 | 20.26 | 34.97 | 5.33 | 0.54 | 0.01 | 59.69 | 13.39 |
| Heating Rates (K/min) | Stage I | Stage II | Stage III | |||
|---|---|---|---|---|---|---|
| Water Evaporation | Volatile and Fixed Carbon Combustion | Burnout Stage | ||||
| Temperature Range (K) | Weight Loss (%) | Temperature Range (K) | Tm (K) | Weight Loss (%) | Residual (%) | |
| 10 | 299.35−423.41 | 7.58 | 423.41−799.34 | 568.59 | 72.06 | 20.36 |
| 20 | 299.22−439.84 | 7.68 | 439.84−832.14 | 584.60 | 72.39 | 19.93 |
| 30 | 298.75−452.45 | 7.69 | 452.45−842.93 | 596.58 | 72.19 | 20.12 |
| β (K·min−1) | Ti (K) | Tb (K) | Tm (K) | Tv (K) | vmax (%·min−1) | vmean (%·min−1) | Dv (%·min−1·K−3) | Di (%·min−3) | Db (%·min−4) | Dsi (%·min−2·K−3) | Hf (K) | S (%2·min−2·K−3) |
|---|---|---|---|---|---|---|---|---|---|---|---|---|
| 10 | 527.85 | 742.54 | 568.59 | 521.11 | −5.7538 | −3.055 | 2.47 × 10−7 | 0.009 | 0.0006 | 1646.30 | 1.49 | 0.85 × 10−7 |
| 20 | 540.10 | 772.98 | 584.60 | 520.45 | −11.431 | −5.733 | 4.82 × 10−7 | 0.061 | 0.0081 | 3109.03 | 1.12 | 2.91 × 10−7 |
| 30 | 550.32 | 793.45 | 596.58 | 519.84 | −15.581 | −8.165 | 5.68 × 10−7 | 0.163 | 0.0291 | 4075.55 | 1.04 | 5.29 × 10−7 |
| α | FWO | KAS | ||||||||||
|---|---|---|---|---|---|---|---|---|---|---|---|---|
| Eα (kJ/mol) | R2 | MSE | A/(s−1) | Eα (kJ/mol) | R2 | MSE | A/(s−1) | |||||
| 10 K/min | 20 K/min | 30 K/min | 10 K/min | 20 K/min | 30 K/min | |||||||
| 0.10 | 93.30 | 0.9994 | 3.61 × 10−4 | 2.16 × 106 | 2.38 × 106 | 2.33 × 106 | 89.72 | 0.9993 | 2.76 × 10−5 | 9.72 × 105 | 1.09 × 106 | 1.09 × 106 |
| 0.15 | 102.89 | 0.9999 | 3.18 × 10−5 | 1.81 × 107 | 1.89 × 107 | 1.78 × 107 | 99.29 | 0.9999 | 3.46 × 10−4 | 8.16 × 106 | 8.68 × 106 | 8.30 × 106 |
| 0.20 | 104.08 | 0.9998 | 1.01 × 10−4 | 2.35 × 107 | 2.44 × 107 | 2.28 × 107 | 100.33 | 0.9998 | 1.09 × 10−4 | 1.03 × 107 | 1.08 × 107 | 1.03 × 107 |
| 0.25 | 105.05 | 1.0000 | 3.37 × 10−4 | 2.92 × 107 | 3.00 × 107 | 2.80 × 107 | 101.17 | 0.9993 | 3.53 × 10−4 | 1.24 × 107 | 1.30 × 107 | 1.23 × 107 |
| 0.30 | 105.56 | 0.9989 | 6.77 × 10−4 | 3.26 × 107 | 3.35 × 107 | 3.12 × 107 | 101.58 | 0.9986 | 7.01 × 10−4 | 1.35 × 107 | 1.42 × 107 | 1.35 × 107 |
| 0.35 | 106.15 | 0.9978 | 1.37 × 10−3 | 3.72 × 107 | 3.80 × 107 | 3.53 × 107 | 102.07 | 0.9973 | 2.39 × 10−3 | 1.51 × 107 | 1.58 × 107 | 1.49 × 107 |
| 0.40 | 105.72 | 0.9961 | 2.42 × 10−3 | 3.38 × 107 | 3.47 × 107 | 3.23 × 107 | 101.51 | 0.9952 | 2.76 × 10−3 | 1.33 × 107 | 1.40 × 107 | 1.32 × 107 |
| 0.45 | 106.45 | 0.9945 | 3.37 × 10−3 | 3.98 × 107 | 4.06 × 107 | 3.77 × 107 | 102.15 | 0.9933 | 2.01 × 10−3 | 1.54 × 107 | 1.61 × 107 | 1.52 × 107 |
| 0.50 | 106.46 | 0.9919 | 4.99 × 10−3 | 3.98 × 107 | 4.07 × 107 | 3.77 × 107 | 102.03 | 0.9902 | 1.51 × 10−3 | 1.49 × 107 | 1.57 × 107 | 1.48 × 107 |
| 0.55 | 106.75 | 0.9911 | 5.48 × 10−3 | 4.25 × 107 | 4.33 × 107 | 4.01 × 107 | 102.19 | 0.9901 | 1.72 × 10−3 | 1.55 × 107 | 1.62 × 107 | 1.53 × 107 |
| 0.60 | 107.05 | 0.9917 | 5.15 × 10−3 | 4.53 × 107 | 4.61 × 107 | 4.27 × 107 | 102.31 | 0.9902 | 1.40 × 10−3 | 1.59 × 107 | 1.66 × 107 | 1.57 × 107 |
| 0.65 | 107.59 | 0.9941 | 3.65 × 10−3 | 5.11 × 107 | 5.19 × 107 | 4.79 × 107 | 102.64 | 0.9927 | 3.42 × 10−3 | 1.71 × 107 | 1.79 × 107 | 1.68 × 107 |
| 0.70 | 107.38 | 0.9973 | 1.67 × 10−3 | 4.88 × 107 | 4.95 × 107 | 4.58 × 107 | 102.10 | 0.9966 | 5.06 × 10−3 | 1.52 × 107 | 1.59 × 107 | 1.50 × 107 |
| 0.75 | 108.75 | 0.9976 | 1.47 × 10−3 | 6.61 × 107 | 6.66 × 107 | 6.12 × 107 | 103.22 | 0.9972 | 5.55 × 10−3 | 1.94 × 107 | 2.02 × 107 | 1.90 × 107 |
| 0.80 | 109.65 | 0.9969 | 1.94 × 10−3 | 8.06 × 107 | 8.08 × 107 | 7.40 × 107 | 103.88 | 0.9961 | 5.22 × 10−3 | 2.25 × 107 | 2.33 × 107 | 2.19 × 107 |
| 0.85 | 107.53 | 0.9956 | 2.69 × 10−3 | 5.04 × 107 | 5.12 × 107 | 4.73 × 107 | 101.37 | 0.9944 | 3.71 × 10−3 | 1.29 × 107 | 1.36 × 107 | 1.29 × 107 |
| 0.90 | 104.81 | 0.9962 | 2.32 × 10−3 | 2.77 × 107 | 2.85 × 107 | 2.66 × 107 | 98.24 | 0.9951 | 2.46 × 10−3 | 6.45 × 106 | 6.91 × 106 | 6.63 × 106 |
| Average | 105.60 | 100.93 | ||||||||||
| Specimen | Average Activation Energy/(kJ/mol) | Model-Free Method | Reference |
|---|---|---|---|
| Peanut shell | 105.60 | FWO | This study |
| 100.93 | KAS | ||
| Pine wood | 186.92 | FWO | [54] |
| 186.27 | Starink | ||
| Microalgae | 141.87 | Starink | [55] |
| Tea leaves | 205.15 | FWO | [44] |
| 209.58 | Friedman | ||
| Rice husk | 95.90 | KAS | [56] |
| 101.20 | FWO |
| α | ΔH/(kJ/mol) | ΔG/(kJ/mol) | ΔS/(J/(mol × K)) | ||||||
|---|---|---|---|---|---|---|---|---|---|
| 10 K/min | 20 K/min | 30 K/min | 10 K/min | 20 K/min | 30 K/min | 10 K/min | 20 K/min | 30 K/min | |
| 0.10 | 89.18 | 89.05 | 88.98 | 166.66 | 168.39 | 170.13 | −136.27 | −135.72 | −136.03 |
| 0.15 | 98.51 | 98.38 | 98.31 | 166.20 | 167.92 | 169.65 | −119.05 | −118.94 | −119.58 |
| 0.20 | 99.60 | 99.47 | 99.39 | 166.15 | 167.86 | 169.59 | −117.04 | −116.99 | −117.67 |
| 0.25 | 100.48 | 100.35 | 100.27 | 166.10 | 167.82 | 169.55 | −115.40 | −115.40 | −116.13 |
| 0.30 | 100.93 | 100.80 | 100.71 | 166.08 | 167.79 | 169.52 | −114.58 | −114.59 | −115.34 |
| 0.35 | 101.46 | 101.33 | 101.23 | 166.05 | 167.77 | 169.49 | −113.61 | −113.65 | −114.43 |
| 0.40 | 100.97 | 100.84 | 100.74 | 166.07 | 167.78 | 169.51 | −114.49 | −114.51 | −115.28 |
| 0.45 | 101.65 | 101.52 | 101.41 | 166.04 | 167.75 | 169.48 | −113.25 | −113.30 | −114.10 |
| 0.50 | 101.60 | 101.46 | 101.35 | 166.04 | 167.75 | 169.48 | −113.34 | −113.39 | −114.20 |
| 0.55 | 101.82 | 101.68 | 101.56 | 166.03 | 167.74 | 169.47 | −112.93 | −112.99 | −113.82 |
| 0.60 | 102.02 | 101.88 | 101.76 | 166.01 | 167.72 | 169.45 | −112.55 | −112.63 | −113.47 |
| 0.65 | 102.45 | 102.30 | 102.17 | 165.99 | 167.70 | 169.43 | −111.76 | −111.88 | −112.73 |
| 0.70 | 102.08 | 101.92 | 101.79 | 166.00 | 167.71 | 169.44 | −112.41 | −112.54 | −113.39 |
| 0.75 | 103.30 | 103.13 | 103.00 | 165.94 | 167.65 | 169.37 | −110.16 | −110.36 | −111.26 |
| 0.80 | 104.06 | 103.89 | 103.75 | 165.90 | 167.61 | 169.33 | −108.75 | −109.00 | −109.93 |
| 0.85 | 101.81 | 101.63 | 101.48 | 165.99 | 167.70 | 169.43 | −112.87 | −113.03 | −113.90 |
| 0.90 | 98.97 | 98.77 | 98.61 | 166.11 | 167.83 | 169.56 | −118.09 | −118.13 | −118.92 |
| Average | 100.64 | 100.49 | 100.38 | 166.08 | 167.79 | 169.52 | −115.09 | −115.12 | −115.89 |
| α | ΔH/(kJ/mol) | ΔG/(kJ/mol) | ΔS/(J/(mol × K)) | ||||||
|---|---|---|---|---|---|---|---|---|---|
| 10 K/min | 20 K/min | 30 K/min | 10 K/min | 20 K/min | 30 K/min | 10 K/min | 20 K/min | 30 K/min | |
| 0.10 | 85.59 | 85.47 | 85.39 | 166.85 | 168.58 | 170.33 | −142.91 | −142.18 | −142.37 |
| 0.15 | 94.92 | 94.79 | 94.71 | 166.37 | 168.09 | 169.82 | −125.67 | −125.39 | −125.91 |
| 0.20 | 95.84 | 95.71 | 95.63 | 166.32 | 168.04 | 169.77 | −123.96 | −123.72 | −124.28 |
| 0.25 | 96.61 | 96.48 | 96.39 | 166.28 | 168.00 | 169.73 | −122.53 | −122.34 | −122.93 |
| 0.30 | 96.95 | 96.82 | 96.73 | 166.26 | 167.98 | 169.71 | −121.90 | −121.72 | −122.34 |
| 0.35 | 97.38 | 97.25 | 97.15 | 166.24 | 167.96 | 169.69 | −121.10 | −120.95 | −121.58 |
| 0.40 | 96.76 | 96.63 | 96.52 | 166.26 | 167.98 | 169.72 | −122.24 | −122.06 | −122.68 |
| 0.45 | 97.35 | 97.22 | 97.11 | 166.23 | 167.95 | 169.68 | −121.15 | −121.00 | −121.65 |
| 0.50 | 97.16 | 97.03 | 96.92 | 166.24 | 167.96 | 169.69 | −121.49 | −121.33 | −121.98 |
| 0.55 | 97.25 | 97.11 | 97.00 | 166.23 | 167.95 | 169.68 | −121.33 | −121.17 | −121.84 |
| 0.60 | 97.28 | 97.14 | 97.02 | 166.23 | 167.94 | 169.68 | −121.25 | −121.11 | −121.78 |
| 0.65 | 97.49 | 97.34 | 97.22 | 166.21 | 167.93 | 169.66 | −120.87 | −120.75 | −121.43 |
| 0.70 | 96.80 | 96.63 | 96.51 | 166.24 | 167.95 | 169.69 | −122.12 | −122.00 | −122.66 |
| 0.75 | 97.77 | 97.59 | 97.46 | 166.19 | 167.90 | 169.63 | −120.33 | −120.27 | −120.97 |
| 0.80 | 98.29 | 98.11 | 97.97 | 166.16 | 167.87 | 169.60 | −119.37 | −119.34 | −120.07 |
| 0.85 | 95.66 | 95.47 | 95.32 | 166.27 | 167.99 | 169.72 | −124.19 | −124.05 | −124.71 |
| 0.90 | 92.40 | 92.20 | 92.04 | 166.42 | 168.14 | 169.88 | −130.18 | −129.91 | −130.48 |
| Average | 95.97 | 95.82 | 95.71 | 166.29 | 168.01 | 169.75 | −123.68 | −123.49 | −124.09 |
Disclaimer/Publisher’s Note: The statements, opinions and data contained in all publications are solely those of the individual author(s) and contributor(s) and not of MDPI and/or the editor(s). MDPI and/or the editor(s) disclaim responsibility for any injury to people or property resulting from any ideas, methods, instructions or products referred to in the content. |
© 2024 by the authors. Licensee MDPI, Basel, Switzerland. This article is an open access article distributed under the terms and conditions of the Creative Commons Attribution (CC BY) license (https://creativecommons.org/licenses/by/4.0/).
Share and Cite
Lei, J.; Liu, X.; Xu, B.; Liu, Z.; Fu, Y. Combustion Characteristics, Kinetics and Thermodynamics of Peanut Shell for Its Bioenergy Valorization. Processes 2024, 12, 1022. https://doi.org/10.3390/pr12051022
Lei J, Liu X, Xu B, Liu Z, Fu Y. Combustion Characteristics, Kinetics and Thermodynamics of Peanut Shell for Its Bioenergy Valorization. Processes. 2024; 12(5):1022. https://doi.org/10.3390/pr12051022
Chicago/Turabian StyleLei, Jialiu, Xiaoyu Liu, Biao Xu, Zicong Liu, and Yongjun Fu. 2024. "Combustion Characteristics, Kinetics and Thermodynamics of Peanut Shell for Its Bioenergy Valorization" Processes 12, no. 5: 1022. https://doi.org/10.3390/pr12051022
APA StyleLei, J., Liu, X., Xu, B., Liu, Z., & Fu, Y. (2024). Combustion Characteristics, Kinetics and Thermodynamics of Peanut Shell for Its Bioenergy Valorization. Processes, 12(5), 1022. https://doi.org/10.3390/pr12051022

