A Transformerless Converter with Common-Mode Decoupling in Low-Voltage Hybrid Grids
Abstract
1. Introduction
- (1)
- A CGT converter with CM decoupling control strategy is proposed, and can achieve a significant leakage current and CM voltage reduction.
- (2)
- An active damping method for the neutral current feed-forward plus inductor current feedback scheme (NCF + ICF) is developed to suppress the low frequency CM voltage. Compared with the passive damping resistor, this method has not only good loss performance, but also satisfactory capability in resonance suppression.
- (3)
- Double closed-loop control is embedded to maintain the DC voltage stability, even when the loads are unbalanced.
2. Analysis of Leakage Current in Low-Voltage Distribution System
2.1. Leakage Current and CM Equivalent Circuit
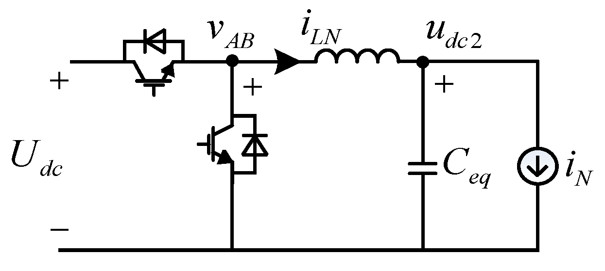
2.2. CGT Four-Leg Converter without Leakage Current
3. Analysis of Voltage on DC Grid
3.1. DC Double-Frequency Ripple
3.2. Low Frequency CM Voltage
4. Control Strategy for CGT Converter
4.1. Control Strategy Based on Dual DQ Coordinate for CGT Converter
4.2. CM Control Strategy Based on Inductive Current Feedback Scheme (ICF)
4.3. CM Control Strategy Based on Neutral Current Feed-Forward Plus Inductor Current Feedback Scheme (NCF + ICF)
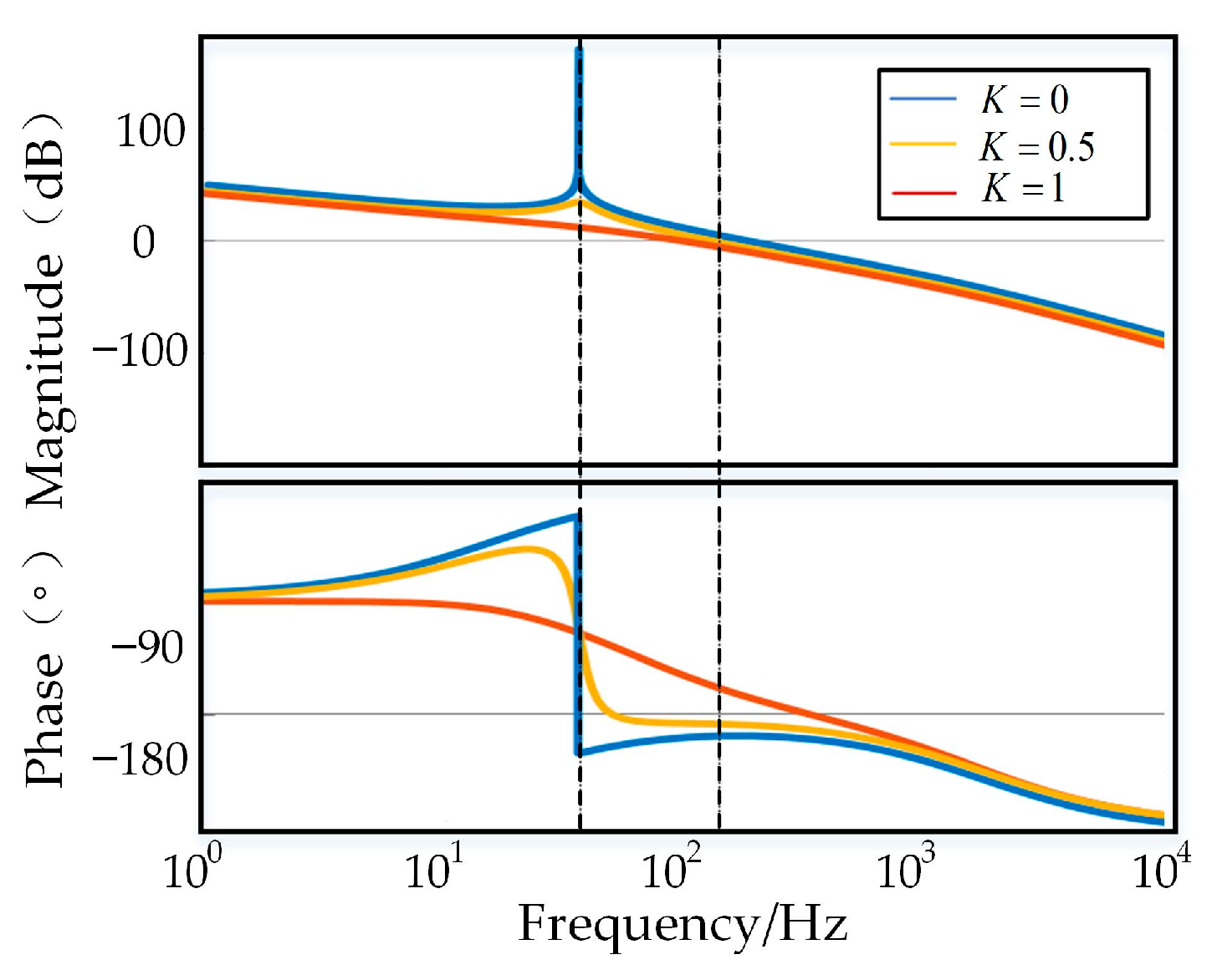
4.4. Comparison of ICF and ICF + NCF Control Strategy
5. Experimental Results
6. Conclusions
Author Contributions
Funding
Data Availability Statement
Conflicts of Interest
References
- Bakeer, A.; Chub, A.; Abid, A.; Zaid, S.A.; Alghamdi, T.A.H.; Salama, H.S. Enhancing Grid-Forming Converters Control in Hybrid AC/DC Microgrids Using Bidirectional Virtual Inertia Support. Processes 2024, 12, 139. [Google Scholar] [CrossRef]
- Wang, J.; Huang, W.; Tai, N.; Yu, M.; Li, R.; Zhang, Y. A Bidirectional Virtual Inertia Control Strategy for the Interconnected Converter of Standalone AC/DC Hybrid Microgrids. IEEE Trans. Power Syst. 2024, 39, 745–754. [Google Scholar] [CrossRef]
- Guo, X.; Zhou, J.; He, R.; Jia, X.; Rojas, C.A. Leakage Current Attenuation of a Three-Phase Cascaded Inverter for Transformerless Grid-Connected PV Systems. IEEE Trans. Ind. Electron. 2018, 65, 676–686. [Google Scholar] [CrossRef]
- Wei, Y.; Guo, X.; Zhang, Z.; Wang, L.; Guerrero, J.M. A High-Voltage Gain Transformerless Grid Connected Inverter. IEEE Trans. Ind. Appl. 2024. [Google Scholar] [CrossRef]
- Xiao, H.; Xie, S.; Chen, Y.; Huang, R. An optimized transformerless photovoltaic grid-connected inverter. IEEE Trans. Ind. Electron. 2011, 58, 1887–1895. [Google Scholar] [CrossRef]
- Zaid, S.A.; Albalawi, H.; AbdelMeguid, H.; Alhmiedat, T.A.; Bakeer, A. Performance Improvement of H8 Transformerless Grid-Tied Inverter Using Model Predictive Control Considering a Weak Grid. Processes 2022, 10, 1243. [Google Scholar] [CrossRef]
- Long, B.; Chen, Z.; Hu, C.; Hu, Q.; Rodriguez, J.; Guerrero, J.M. A Non-clamped H10 Topology to Achieve Leakage Current Reduction for Transformerless Grid-Connected Converter. IEEE J. Emerg. Sel. Top. Power Electron. 2024. [Google Scholar] [CrossRef]
- Li, W.; Gu, Y.; Luo, H.; Cui, W.; He, X.; Xia, C. Topology Review and Derivation Methodology of Single-Phase Transformerless Photovoltaic Inverters for Leakage Current Suppression. IEEE Trans. Ind. Electron. 2015, 62, 4537–4551. [Google Scholar] [CrossRef]
- Syasegov, Y.Y.; Farhangi, M.; Barzegarkhoo, R.; Siwakoti, Y.P.; Li, L.; Lu, D.D.-C.; Aguiler, R.P.; Pou, J. A 5-Level HERIC Active-Clamped Inverter with Full Reactive Power Capability for Grid-Connected Applications. IEEE Open J. Ind. Electron. Soc. 2023, 4, 135–148. [Google Scholar] [CrossRef]
- Han, D.; Morris, C.T.; Lee, W.; Sarlioglu, B. Comparison Between Output CM Chokes for SiC Drive Operating at 20- and 200-kHz Switching Frequencies. IEEE Trans. Ind. Appl. 2017, 53, 2178–2188. [Google Scholar] [CrossRef]
- Rendusara, D.A.; Enjeti, P.N. An improved inverter output filter configuration reduces common and differential modes dv/dt at the motor terminals in PWM drive systems. IEEE Trans. Power Electron. 1998, 13, 1135–1143. [Google Scholar] [CrossRef]
- Shah, P.; Zhao, X. Leakage Current Mitigation Technique in Solar PV Array System Using Passive Filter. IEEE Trans. Energy Convers. 2023, 38, 463–478. [Google Scholar] [CrossRef]
- Serban, E.; Pondiche, C.; Ordonez, M. Modulation effects on power-loss and leakage current in three-phase solar inverters. IEEE Trans. Energy Convers. 2019, 34, 339–350. [Google Scholar] [CrossRef]
- Freddy, T.K.S.; Rahim, N.A.; Hew, W.P.; Che, H.S. Modulation Techniques to Reduce Leakage Current in Three-Phase Transformerless H7 Photovoltaic Inverter. IEEE Trans. Ind. Electron. 2015, 62, 322–331. [Google Scholar] [CrossRef]
- Liang, G. An Optimized Pulsewidth Modulation for Dual Three-Phase PMSM Under Low Carrier Ratio. IEEE Trans. Power Electron. 2022, 37, 3062–3072. [Google Scholar] [CrossRef]
- Kagerbauer, J.D.; Jahns, T.M. Development of an Active dv/dt Control Algorithm for Reducing Inverter Conducted EMI with Minimal Impact on Switching Losses. In Proceedings of the IEEE Power Electronics Specialists Conference, Orlando, FL, USA, 17–21 June 2007; pp. 894–900. [Google Scholar]
- Lobsiger, Y.; Kolar, J.W. Closed-loop IGBT gate drive featuring highly dynamic di/dt and dv/dt control. In Proceedings of the IEEE Energy Conversion Congress and Exposition (ECCE), Raleigh, NC, USA, 15–20 September 2012; pp. 4754–4761. [Google Scholar]
- Xiao, H. Overview of Transformerless Photovoltaic Grid-Connected Inverters. IEEE Trans. Power Electron. 2021, 36, 533–548. [Google Scholar] [CrossRef]
- Ardashir, J.F.; Ghadim, H.V.; Ogly, A.M.; Hu, J.; Peyghami, S. A Step-Up 5-Level Transformer-Less Switched Capacitor Inverter without Leakage Current for PV System Application. IEEE Trans. Ind. Appl. 2024, 60, 622–632. [Google Scholar] [CrossRef]
- Ardashir, J.F.; Ghassemi, M.; Rozmeh, B.; Blaabjerg, F.; Peyghami, S. A Five-Level Transformer-Less Grid-Tied Inverter Structure with Capacitive Voltage Divider Concept with Leakage Current Elimination. IEEE Trans. Ind. Appl. 2023, 59, 6025–6036. [Google Scholar] [CrossRef]
- Xia, Y.; Roy, J.; Ayyanar, R. A Capacitance-Minimized, Doubly Grounded Transformerless Photovoltaic Inverter with Inherent Active-Power Decoupling. IEEE Trans. Power Electron. 2017, 32, 5188–5201. [Google Scholar] [CrossRef]
- Tian, H.; Chen, M.; Liang, G.; Xiao, X. A Single-Phase Transformerless Common-Ground Type PV Inverter with Active Power Decoupling. IEEE Trans. Ind. Electron. 2023, 70, 3762–3772. [Google Scholar] [CrossRef]
- Lee, S.S.; Yang, Y.; Siwakoti, Y.P. A Novel Single-Stage Five-Level Common-Ground-Boost-Type Active Neutral-Point-Clamped (5L-CGBT-ANPC) Inverter. IEEE Trans. Power Electron. 2021, 36, 6192–6196. [Google Scholar] [CrossRef]
- Kim, J.; Cha, H. Common-Ground-Structured High-Reliability Single-Phase AC–AC Converters. IEEE Trans. Ind. Electron. 2023, 70, 4672–4681. [Google Scholar] [CrossRef]
- Wu, W.; Wang, H.; Liu, Y.; Huang, M.; Blaabjerg, F. A Dual-Buck–Boost AC/DC Converter for DC Nanogrid With Three Terminal Outputs. IEEE Trans. Ind. Electron. 2017, 64, 295–299. [Google Scholar] [CrossRef]
- Zhu, R.; Buticchi, G.; Liserre, M. Investigation on Common-Mode Voltage Suppression in Smart Transformer-Fed Distributed Hybrid Grids. IEEE Trans. Power Electron. 2018, 33, 8438–8448. [Google Scholar] [CrossRef]
- Zhong, Q.C.; Liang, J.; Weiss, G.; Feng, C.M.; Green, T.C. H∞ Control of the Neutral Point in Four-Wire Three-Phase DC–AC Converters. IEEE Trans. Ind. Electron. 2006, 53, 1594–1602. [Google Scholar] [CrossRef]
- Zhao, W.; Ruan, X.; Yang, D.; Chen, X.; Jia, L. Neutral Point Voltage Ripple Suppression for a Three-Phase Four-Wire Inverter with an Independently Controlled Neutral Module. IEEE Trans. Ind. Electron. 2017, 64, 2608–2619. [Google Scholar] [CrossRef]
- Dong, D.; Luo, F.; Boroyevich, D.; Mattavelli, P. Leakage Current Reduction in a Single-Phase Bidirectional AC–DC Full-Bridge Inverter. IEEE Trans. Power Electron. 2012, 27, 4281–4291. [Google Scholar] [CrossRef]
- Chen, F.; Burgos, R.; Boroyevich, D. A Bidirectional High-Efficiency Transformerless Converter with Common-Mode Decoupling for the Interconnection of AC and DC Grids. IEEE Trans. Power Electron. 2019, 34, 1317–1333. [Google Scholar] [CrossRef]
- Chen, F.; Burgos, R.; Boroyevich, D.; Zhang, X. Low-Frequency Common-Mode Voltage Control for Systems Interconnected with Power Converters. IEEE Trans. Ind. Electron. 2017, 64, 873–882. [Google Scholar] [CrossRef]
- Oliveira, T.R.; Silva, W.W.A.G.; Seleme, S.I.; Donoso-Garcia, P.F. PLL-Based Feed-Forward Control to Attenuate Low-Frequency Common-Mode Voltages in Transformerless LVDC Systems. IEEE Trans. Ind. Appl. 2019, 55, 3151–3159. [Google Scholar] [CrossRef]
- Brovont, A.D.; Pekarek, S.D. Derivation and Application of Equivalent Circuits to Model Common-Mode Current in Microgrids. IEEE J. Emerg. Sel. Top. Power Electron. 2017, 5, 297–308. [Google Scholar] [CrossRef]

























| Parameters | Symbols | Values |
|---|---|---|
| AC voltage (V) | e | 45 |
| DC voltage (V) | udc | 100 |
| Switching frequency (kHz) | fs | 15 |
| Converter-side inductor (mH) | L1 | 2 |
| Net-side inductor (mH) | L2 | 0.2 |
| Neutral inductor (mH) | LN | 2 |
| AC filter capacitor (μF) | CS | 10 |
| DC split capacitor (μF) | Cdc | 470 |
| AC load(Ω) | R | 10 |
| DC load (Ω) | Rdc | 15 |
Disclaimer/Publisher’s Note: The statements, opinions and data contained in all publications are solely those of the individual author(s) and contributor(s) and not of MDPI and/or the editor(s). MDPI and/or the editor(s) disclaim responsibility for any injury to people or property resulting from any ideas, methods, instructions or products referred to in the content. |
© 2024 by the authors. Licensee MDPI, Basel, Switzerland. This article is an open access article distributed under the terms and conditions of the Creative Commons Attribution (CC BY) license (https://creativecommons.org/licenses/by/4.0/).
Share and Cite
Wang, L.; Zhang, X.; Han, X.; Ren, Y.; Zhang, B.; Wang, P. A Transformerless Converter with Common-Mode Decoupling in Low-Voltage Hybrid Grids. Processes 2024, 12, 507. https://doi.org/10.3390/pr12030507
Wang L, Zhang X, Han X, Ren Y, Zhang B, Wang P. A Transformerless Converter with Common-Mode Decoupling in Low-Voltage Hybrid Grids. Processes. 2024; 12(3):507. https://doi.org/10.3390/pr12030507
Chicago/Turabian StyleWang, Lei, Xinfang Zhang, Xiaoqing Han, Yu Ren, Baifu Zhang, and Peng Wang. 2024. "A Transformerless Converter with Common-Mode Decoupling in Low-Voltage Hybrid Grids" Processes 12, no. 3: 507. https://doi.org/10.3390/pr12030507
APA StyleWang, L., Zhang, X., Han, X., Ren, Y., Zhang, B., & Wang, P. (2024). A Transformerless Converter with Common-Mode Decoupling in Low-Voltage Hybrid Grids. Processes, 12(3), 507. https://doi.org/10.3390/pr12030507

