Abstract
Thermal deformation of the rotor is a critical factor leading to radial air leakage in rotary air preheaters. However, previous studies have not comprehensively established the correlation between rotor thermal deformation during thermal operation and radial air leakage. This study addresses this gap by introducing a novel model for calculating radial air leakage, incorporating the thermal deformation of the rotor. To achieve this, we selected a three-section rotary air preheater from a 330 MW coal-fired unit boiler for investigation. This research begins by constructing a heat transfer–structure coupled numerical simulation model using Fluent and ANSYS Workbench. This model is employed to analyze the thermal deformation of the rotor under varying unit power generation loads. This paper meticulously examines the thermal deformation patterns of the rotor in diverse circumstances, explores their impact on air leakages, and provides a comprehensive analysis of air leakage fluctuations in different ducts. The influence of rotor thermal deformation on the local radial leak characteristics is ultimately established. The results indicate that incorporating the impact of preheater thermal deformation into the examination of preheater air leakage enhances the model’s capacity to accurately simulate values of leakage distribution at various cell clearances. This research concludes by offering recommendations for effectively managing hot end radial air leakage in preheater systems, providing valuable insights for the design and adjustment of sealing systems.
1. Introduction
The rotary air preheater (RAPH) is a crucial component of thermal power units of medium and large size, commonly employed for heat exchange purposes. Its primary function is to preheat air by absorbing heat from flue gas, thereby reducing heat loss and enhancing the overall unit efficiency. However, in practical applications, the rotor of the air preheater is susceptible to experiencing mushroom-shaped deformation due to thermal stresses caused by internal temperature gradients. This deformation results in a change in the rotor gap compared to its original cold state. Additionally, a pressure difference develops between the air flowing through the air preheater and the flue gas, leading to air leakage through the gap created by the thermal deformation. The air leakage problem not only seriously affects the heat transfer efficiency of the air preheater, but also increases the power consumption of ventilation machinery and equipment, leading to an increase in coal consumption and power supply of thermal power generating units, which seriously affects the economy and safety of boiler unit operation [1,2,3]. Therefore, it is imperative to conduct a comprehensive investigation into the thermal deformation characteristics of the air preheater rotor and the resultant localized radial air leakage within the preheater gap. This research endeavor aims not only to deepen our comprehension of the operational principles governing the air preheater, but also to curtail air leakage rates through the optimization of design, enhancement of control systems, and the implementation of regular maintenance and inspections in order to improve the economy and safety of thermal power generating units.
The exploration of the intricate air leakage distribution within the confines of the air preheater proves to be a formidable task, owing to the inherent complexity of its structural design. The manifestation of air leaks in the rotary preheater, induced by discernible pressure differentials, necessitates a nuanced classification into radial, circumferential, and axial domains [4,5]. This intricate phenomenon unfolds at numerous fluid interfaces, notably at the cold and hot ends of the rotor, where their interconnection exhibits a dynamic interplay, resulting in the emergence of a sophisticated flow network. Researchers have devoted significant efforts to undertake comprehensive analytical and numerical simulation studies on air leakage measurements from air preheaters. Shan RK et al. [6] directed their attention to the thermal deformation phenomenon in the thermal operation of the rotary air preheater and presented a resolution to air leakage incidents resulting from thermal deformation through utilizing the gap between the reserved casing and the rotor. It is essential to note, however, that the model’s inherent limitation resides in its predisposition to attribute air leaks solely to the terminal region of the rotor. Concurrently, Skiepko conducted extensive research on air leaks in rotary air preheaters and suggested a method to measure and monitor the sealing gap of the air preheater. They also conducted an experimental study on air preheater leaks, which demonstrated that the radial sealing gap has a significant impact on air leaks [7,8,9]. The impact of leakage and its distribution was investigated using a semi-analytical method. The findings reveal that the air leakage at the hot end has a more significant effect on RAPH performance compared to leakage at the cold end [10,11]. These seminal findings bear critical importance for the pragmatic determination and meticulous refinement of the sealing gap in air preheater systems.
Models of the rotating structure in a rotary air preheater are overly complex, characterized by a multitude of nonlinear attributes that complicate analytical modeling. Traditional analytical methodologies, while robust for simpler mathematical formulations, face inherent limitations in grappling with such complexity, rendering them less applicable in this context and impeding the quest for precise solutions. However, the burgeoning advancements in computational fluid dynamics (CFD) technology over recent years have underscored the unparalleled advantages of harnessing sophisticated numerical simulation software, particularly in the domain of solving multifaceted problems like those encountered in air preheater systems. The advent of three-dimensional numerical models grounded in the principles of fluid dynamics stands as a testament to this evolution, empowering and substantiating ongoing research endeavors dedicated to unraveling the intricacies surrounding air preheater leaks. Cai et al. [12] developed a simplified two-dimensional rectangular flow channel model to simulate leakage flow within an air preheater. They conducted a numerical study on direct leakage of an RAPH with multiple seals and constructed a wind tunnel test system to perform an experimental study on fluid leakage from the RAPH. This study presents an enhanced relational equation to offer a more precise account of leakage behavior while examining the impact of the multi-seal system under varying circumstances. Building upon this, Zhu et al. [13] conducted a qualitative analysis, employing a geometrical model of localized leakage of a rectangular body with a constant cross-section. They investigated the impact of operating parameters and seal structure parameters on direct leakage. These research findings are anticipated to offer direction on decreasing the leakage rate of RAPHs and serve as a crucial reference for optimizing their design. Nevertheless, the air leakage phenomenon at different locations of the air preheater is not explained very intuitively due to the vast disparity between the utilized numerical model and the actual equipment. Maharaj et al. [14] developed a 2D CFD model for radial air leakage studies to characterize the air velocity in the leakage gap for different seal settings and to determine the effect of pressure difference over the radial seal on the air leakage mass flow rate. Due to the simplification of the air preheater rotor heat transfer boundary conditions in this study and the disparity in the leakage gap geometry from the actual orifice flow geometry, a correction factor based on the theoretical leakage flow equation is required to amend the model’s calculation of the leakage flow rate at the hot end. In recent years, there has been a trend towards modeling full-sized air preheaters to conduct CFD numerical calculations of leakage flow rates under various sealing configurations. Heidari-Kaydan et al. [15] examined different types of leakage in rotary air preheaters and their impact on the overall heat transfer performance. Their study compared the effects of various gap leaks and analyzed changes in air and flue gas outlet temperatures resulting from leaks. They offer a comprehensive assessment of various leakage types and their impact on different gap locations, which is crucial for enhancing the performance and design optimization of RAPHs. Nonetheless, the model used in their study did not account for thermal deformation, resulting in a failure to consider the variation in the size of the leakage gaps along the radial direction. Previous studies on air preheater leakage primarily focused on the correlation between direct leakage and various influencing factors and utilized a simplistic constant leakage flow model to describe the RAPH leakage gap. It is imperative to underscore that these studies do not account for the thermal deformation of the rotor, which can result in changes to the shape of the leakage gap along the radial direction of the spacer. However, the geometry of the leakage gap varies significantly from the actual flow path [16]. As a result, this simplified method is unable to reflect the thermal deformation characteristics of the RAPH and cannot reveal the impact of the preheater’s thermal deformation on the air leakage characteristics. The absence of concerted efforts in prior research endeavors to probe the intricacies of air leakage within the context of thermal deformation is noteworthy.
To incorporate the thermal deformation behavior of the air preheater into investigations of its air leakage mechanism, this paper proposed a radial air leakage calculation model that accounts for the rotor’s thermal deformation. Initially, a complete three-dimensional heat transfer structure coupling numerical simulation model of the rotor for a 330 MW unit boiler three-section rotary air preheater was developed in the terms of Fluent and ANSYS Workbench, which provided the complete three-dimensional thermal deformation distribution of the rotor. This simulation endeavor stands as a pivotal step in capturing the complex interplay between heat transfers and structural behavior within an air preheater. Subsequently, the established numerical simulation model is verified by comparing the temperature and deformation simulation results of the air preheater with the power plant’s measured data and empirical formulas, respectively. This stringent validation not only substantiates the reliability of our numerical simulation but also ensures its fidelity in representing real-world operational scenarios. Moreover, utilizing CFD and finite element analysis methods, this study examines the rotor thermal deformation behavior and its impact on air leakage gaps across varying operational conditions. Additionally, the influence of rotor thermal deformation on local radial leakage characteristics is outlined, thereby contributing valuable insights to the broader field of RAPHs.
The article is organized as follows: Section 2 presents a succinct overview of the theoretical framework, encompassing numerical simulation models elucidating heat transfer dynamics and thermal deformation within the context of air preheaters. Section 3 offers an intricate exposition of the case object investigated in this study. Section 4 systematically presents and rigorously discusses the outcomes derived from the numerical simulation. Lastly, Section 5 encapsulates the conclusions drawn from the comprehensive investigation undertaken in this study.
2. Physical Description and Mathematical Model
2.1. Model of Heat Transfer and Thermal Deformation Distribution of RAPHs
The thermal deformation of the rotor in an air preheater is considered to be directly related to the temperature gradient inside the rotor, so the temperature distribution of the rotor needs to be obtained before simulations of the thermal stress deformation, i.e., the fluid flow and heat transfer inside the air preheater, are conducted. The fluid flow inside the air preheater is a typical turbulent flow [17,18,19], and the basic equations that need to be solved include the fluid continuity, momentum, and energy governing equations. Based on the “two-fluid” concept, the internal structure of the air preheater is simplified as a porous medium, the heat transfer element is regarded as the solid skeleton of the porous medium, and the flue gas and air are the filling materials of the internal pore channels [20]. In the porous medium model, the material of the solid skeleton is set to be anisotropic or isotropic according to its properties. The continuity and momentum governing equations based on the porous medium assumption are as follows [21].
Since the air preheater relies on the temperature difference between the solid and the fluid for heat transfer, the localized thermal nonequilibrium (LTN) model is used to solve the energy equations in the porous medium, and two energy equations, (3) and (4), are used for the solid side and the fluid side of the porous medium, respectively. Meanwhile, the multiple reference system (MRF) model is used to describe the rotor rotation problem. A rotating coordinate system is used for the solid rotor rotation and a fixed reference system is used for the fluid region.
On the basis of obtaining the temperature distribution in the solid region of the rotor, thermoelastic mechanics equations are used to solve the strain and stress to realize the coupling between the temperature field and the structural mechanics’ field. The relationship between the strain and displacement of the rotor spacer can be described by the Cauchy geometric equation [22].
Based on the calculation of stresses and strains according to the principles of mechanics of materials and elasticity, the thermal stresses and thermal strains due to the material being subjected to temperature gradients or temperature changes are superimposed. A generalized Hooke’s law under three-way stress is used to describe the relationship between stress and strain.
2.2. Localized Radial Air Leakage CFD Calculation Model
Direct air leakage manifests as a consequence of the ingress of high-pressure air into the low-pressure flue gas domain through the gaps formed between the rotor and stator. This phenomenon establishes a discernible leakage pathway, delineated by the space between the sealing mechanism and the sector plate. Figure 1 represents a side view of air leakage dynamics at the hot end of the air preheater, depicting the intricate interplay between the radial seal and the sector plate when utilizing a dual seal configuration.
Figure 1.
Schematic diagram of radial air leakage gap.
According to Bernoulli’s equation, the air mass flow rate can be calculated using the dynamic pressure and the cross-sectional area of the flow channel. Considering the gas expansion effect, the mass flow rate G of the leaking air is expressed by the following equation [14]:
where G is the leakage air mass flow rate, kexp is the expansion coefficient, Cd is the orifice coefficient, Agap is the leakage gap cross-sectional area, p1 is the air inlet static pressure, p2 is the flue gas outlet static pressure, and Z is the number of sealing sheets. Due to the energy loss in the actual process, the orifice coefficient Cd is defined to reflect the expansion effect of the air as it passes through the leakage gap, which is used to correct the flow rate calculated from Bernoulli’s equation. For viscous and compressible ideal gases, the expansion coefficient kexp is introduced to reflect the expansion that occurs when the air passes through the leakage gap and is used to correct for the discrepancy that exists when the flow is assumed to be an incompressible flow, which is calculated accurately by simulations. The orifice coefficient Cd can be determined from Equation (8):
where γd is the orifice diameter ratio and Re is the Reynolds number of the leaking air. Knowing the gas leakage density, the pressure difference between the air and flue gas sides near the air leakage gap, and the area of the air leakage gap between the air side and the flue gas side Agap, the mass flow of the leaked gas can be calculated.
The air leakage rate is an evaluation index that measures air leakage in the air preheater. It indicates the ratio of air that leaks into the flue gas side of the air preheater to the mass of the flue gas inlet. The formula is shown in (9).
where αL is the air leakage rate, ΔQ is the amount of air leaking into the flue gas side of the RAPH, and Q1 and Q2 are the flue gas mass at the RAPH’s inlet and outlet, respectively.
3. Case Study
3.1. Research Object
The research object of this paper is a 330 MW unit boiler three-section RAPH with a 48-compartment structure and a fixed sealing method. The air preheater adopts the heating surface reversal type; that is, the flue gas firstly heats the secondary air duct and then turns to the primary air duct. A 3D model is shown in Figure 2. The designed working condition parameters of this air preheater and the structural design parameters of the heat transfer element are shown in Table 1 and Table 2, and the structural parameters of the segment plate are shown in Table 3.
Figure 2.
Model of three-section rotary air preheater for simulation.
Table 1.
Design parameters of the RAPH at 330 MW.
Table 2.
Structural design parameters of the heat exchanger plates.
Table 3.
Structural design parameters of the segment plates.
3.2. Operating Conditions and Boundary Conditions
FLUENT 2021R2 was used to solve the equations and calculation models mentioned in Section 3.1. Compared with the standard turbulent model, the RNG k-ε model takes into account the effects of turbulent eddies and the flow viscosity on the flow field. It yields more accurate predictions in complex flow fields characterized by high shear rates, swirling flows, and separation flows. The PRESTO! scheme is primarily employed for highly rotational flows and flows with rapidly changing pressures, making it suitable for porous media models. The specific settings of the boundary conditions and solvers are shown in Table 4.
Table 4.
Boundary conditions and solver settings.
In the simulation calculation, the following simplifications and assumptions are made for the calculation model: The heat transfer element inside the rotor of the air preheater is simplified by using the porous media model. For internal heat transfer in the air preheater, only convective heat transfer and heat conduction on the metal side are considered, and other forms of heat transfer such as radiation are ignored. Heat dissipation from the air preheater to the external environment and the internal support structure is neglected. The effect of pressure on the physical parameters of flue gas and air as a function of temperature is not considered.
The thermal deformation of the segment plate of the air preheater rotor involves the coupling of the temperature field and the structure. Firstly, the temperature field information of the matrix heating surface calculated by Fluent is transferred to the Thermal module in ANSYS Workbench. Secondly, the results of the temperature distribution of the air preheater are loaded into the corresponding structure in the structural analysis model. Finally, through the static structure module in ANSYS Workbench, a thermal stress deformation and heat transfer coupling analysis is carried out to determine the deformation results. The specific settings of the static structure module are as follows: the rotor segment plate material is defined as structural steel, gravity is set for the model as a whole, the fixed support is set at the cold end of the center cylinder, and binding constraints are set between the segment plate and the center cylinder. As the heat transfer element is simplified in the thermal deformation model, the mass of the heat transfer element needs to be converted to the equivalent density of the rotor when solving.
In addition, the actual operating data of the air preheater under the 320 MW, 240 MW and 180 MW operating conditions are used as the boundary conditions for the numerical simulation calculations, including the flue gas inlet and outlet temperatures, pressures, etc., and the specific parameters are shown in Table 5. The above temperature–structure coupling simulation model is used to simulate the above working conditions to obtain the thermal deformation distribution of the rotor under different working conditions, as well as the flue gas inlet and outlet pressures, temperatures, and other relevant parameters for the calculation of radial air leakage.
Table 5.
Measured specific operating parameters of the RAPH.
3.3. Meshing and Related Simulation Validation
To analyze the thermal deformation of the rotor, a three-dimensional model of the rotor’s fluid–solid coupling using SolidWorks was established based on the structural parameters of the air preheater in Table 1. The model includes a solid domain, which comprises the rotor center cylinder and the segment plates, along with a fluid domain. Afterwards, ICEM was utilized to conduct hexahedral structured meshing of the computational basin inside the rotor of the air preheater. In addition, the hexahedral dominated swept mesh method was employed to mesh the solid domain in ANSYS Workbench’s mesh module to achieve discretization of the computational region. The meshing results are displayed in Figure 3.
Figure 3.
Mesh distribution for fluid–solid coupled model.
The boundary conditions, including the inlet and outlet temperatures of the flue gas and air, the flow rate, and the wall surface of the air preheater segment plates, were defined based on the operating parameters of the air preheater under BMCR condition. The maximum deformation of the outer edge of the air preheater segment plates’ cold end serves as the foundation for grid-independent verification. Deformation outcomes for various grid numbers are depicted in Figure 4.
Figure 4.
Grid independence verification.
When the number of grids surpasses one million, the irrelevance evaluation index has an error rate of 0.03%, satisfying the irrelevance requirement. The increase in grid numbers does not have a significant impact on the calculation accuracy. After thoroughly considering the calculation accuracy and speed, the program with 1,026,425 grids was ultimately selected. Comparing and verifying the simulated values with the measured values, the maximum relative error of primary and secondary air temperatures is less than 3%, as indicated in Table 6.
Table 6.
Comparison of simulation results with measured values.
According to the technical information provided by ABB-APC, the thermal deformation of the outer edge of the segment plate can be solved by the following empirical equation [23]:
where Td is the maximum deformation value in the segment plates and α is the thermal expansion coefficient of the segment plate material. A calculated value of 20.30 mm is obtained according to Equations (10) and (11), which is an empirical formula that is easy to solve but has poor applicability and only provides the maximum deformation value for a single compartment. Therefore, the circumferential average value of the deformation of the outer edge of the cold end of the spacer of the 48-compartment rotor was calculated based on the simulation results, which is 20.73 mm, and the maximum relative error with the calculated value of the empirical formula is 2.12%, indicating that the simulation model has a high degree of reliability.
4. Results and Discussion
4.1. Three-Dimensional Thermal Deformation Characterization of the Rotor
Figure 5a illustrates the temperature distribution on the heating surface of the air preheater, with b, c representing the temperature distribution on the heating surface at the hot and cold ends, respectively. In contrast to the fluid temperature distribution, the rotor temperature exhibits a continuous variation in all directions and is minimally influenced by the sealing region. Along the axial direction, a substantial temperature gradient is evident on the heating surface. Due to the downward flow of high-temperature flue gas, convective heat exchange occurs with the metal heating surface. In the direction of gas flow, from the high-temperature layer to the low-temperature layer, the temperature of the heat transfer elements gradually decreases. Simultaneously, the metal heat storage plates of the matrix rotate along the direction of rotor rotation, absorbing the heat released by the flue gas on the gas side, causing their temperature to continuously rise.
Figure 5.
Temperature distribution on the solid heating surface of the RAPH. (a) Overall; (b) hot end; (c) cold end.
Observations from Figure 5b,c reveal a discernible trend in the temperature variation of the metal heating surface as it undergoes the intricate process of absorbing heat from the flue gas side and subsequently releasing it to the secondary air side and primary air side. This temperature profile exhibits an initial ascent followed by a subsequent descent. Notably, the temperature evolution of the heat transfer elements along the direction of rotor rotation is non-linear. As the rotor rotates, the metal heating surface releases heat to the secondary air side and primary air side, resulting in a continuous temperature decrease until it reaches a nadir. Subsequently, the rotor returns to the flue gas compartment to absorb heat from the flue gas, causing the temperature to rise once again. On the secondary air side, the amplitude of the temperature variation on the heating surface of the heat transfer elements is more pronounced than on the primary air side, a phenomenon accentuated at the hot end. This discrepancy arises from the fact that, upon exiting the flue gas side, the rotor first traverses the secondary air side. In this region, the temperature difference between the flue gas and the metal heating surface is more substantial, facilitating a more thorough heat exchange process in this segment.
Figure 6 illustrates the overall thermal deformation distribution of the RAPH rotor under BMCR condition. During the thermal operation of the air preheater, the radial segment plates of the rotor exhibit an overall downward deformation trend, consistent with characteristics resembling a mushroom-shaped deformation. Influenced by temperature changes induced by rotor rotations, the thermal deformation distribution on the segment plates at different locations is not entirely consistent and exhibits circumferential asymmetry. The thermal deformation magnitude of the segment plates can be characterized through axial deformation, with rotor axial deformation defined as deformation occurring in the vertical direction (gravity direction), where positive and negative values represent upward and downward deformations, respectively. The center cylinder of the rotor expands upward, and the axial deformation from the cold end to the hot end of the center cylinder is +5.4016 mm. Conversely, positions farther from the center cylinder experience sagging deformation, and the axial thermal deformation of the rotor segment plates gradually increases with the distance from the central axis. All segment plates exhibit greater axial deformation values at the cold end compared to the hot end. The average thermal deformation value at the outer edge of the rotor’s hot end is −15.97 mm, while the average thermal deformation value at the outer edge of the cold end is −20.73 mm.
Figure 6.
Overall three-dimensional axial thermal deformation distribution in the RAPH.
Figure 7 illustrates the variation in thermal deformation at the outer edges of the hot and cold ends of the rotor segment plates with the rotation angle of the rotor under BMCR condition. Starting from the flue gas to primary air transition interface, as the rotor rotates, the axial deformation of the segment plates at the hot and cold ends gradually becomes significant. However, when the rotor rotates to the flue gas side, the axial deformation gradually decreases. For all rotor segment plates, the maximum axial deformation at both the cold and hot ends occurs at the transitional position between the secondary air side and the flue gas side, corresponding to the 180° position of the air preheater in Figure 2. The reason for this phenomenon lies in the rotational direction of the rotor, which is flue gas–secondary air–primary air. Therefore, as the rotor rotates from the air side to the flue gas side, the temperature difference between the hot and cold ends of the rotor metal surface gradually increases and reaches a maximum before rotating to the flue gas side. At the 0° position (entering from the flue gas side to the air side), the axial deformation at the outer edge of the rotor is smaller than at the 180° position (entering from the air side to the flue gas side). This is because the temperature difference between the hot and cold ends is relatively lower at this position.
Figure 7.
Thermal deformation of the outer edge of the rotor segment plate under BMCR condition.
The axial thermal deformation distribution contour of the segment plate with the maximum sagging deformation is depicted in Figure 8. To facilitate observations, the deformation of the rotor has been magnified by a scale factor of 5. It is evident that the axial deformation of the segment plate gradually increases along the radial direction, with the maximum axial deformation occurring at the outer edge of the segment plate. Specifically, the maximum axial deformations at the cold and hot ends are −20.868 mm and −16.171 mm. Due to the overall expansion tendency of the rotor’s central cylinder, the axial deformation magnitude at the outer edge of the hot end of the segment plate is smaller than that at the cold end.
Figure 8.
Distribution of axial thermal deformation on the segment plate.
In this section, through a detailed analysis of the thermal deformation of the rotor’s segment plates under BMCR condition, the influence of the rotor rotation angle on the axial deformation of segment plates at the hot and cold ends is revealed. Additionally, by examining the axial thermal deformation distribution of the segment plates with the maximum axial deformation, the upward expansion trend of the rotor’s center cylinder and the mushroom-shaped deformation features of the segment plates are further confirmed. These research findings contribute to a deeper understanding of the thermal deformation behavior of the reheater during operation in a hot state.
4.2. Effect of Rotor Thermal Deformation on Radial Air Leakage
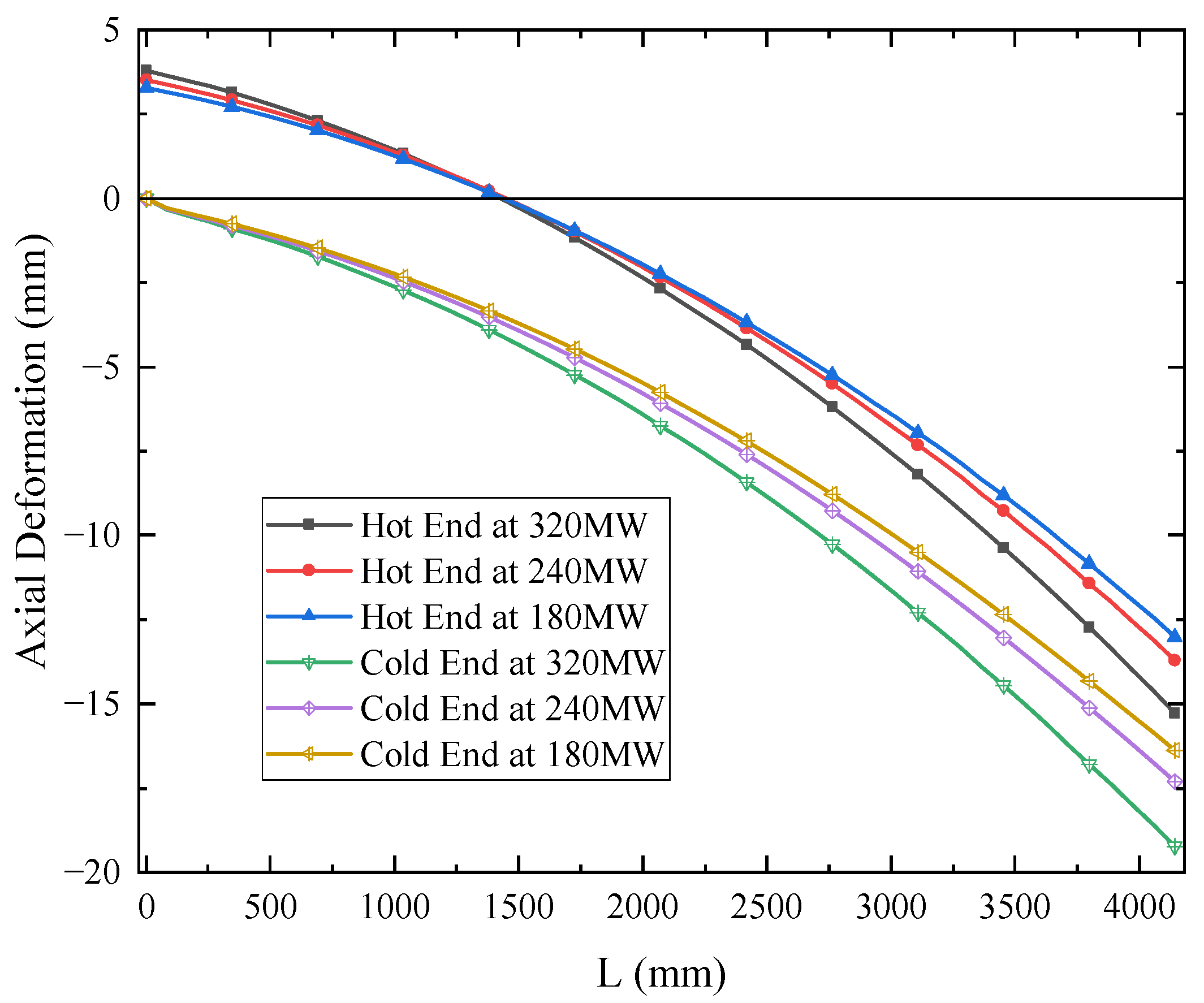
To assess the impact of rotor thermal deformation on the air leakage gap, this study conducted temperature–structure coupled simulation calculations on the air preheater under three operating conditions with power plant loads of 320 MW, 240 MW, and 180 MW. Figure 9 illustrates the deformation curves of the segment plates at the hot and cold edges at the air–gas transition interface for these three conditions. The results indicate that with an increase in load, the thermal deformation of the air preheater rotor becomes more pronounced. The primary factor influencing the thermal deformation due to the air preheater load is the load, determining the temperature difference between the hot and cold ends. As the temperature difference increases, the axial deformation of the rotor segment plate’s outer edge exhibits a gradually increasing trend. Additionally, for the hot end of the air preheater, the deformation distribution curves of the segment plates along the radial direction intersect near 1500 mm, where the deformation is nearly zero. When L < 1500 mm, the axial deformation is positive due to the expansion of the center cylinder, while at L > 1500 mm, the segment plate undergoes downward deformation. It should be noted that the model was simplified by setting the expansion dead point at the cold end inner edge of the rotor’s center cylinder. Due to the fixed support at the cold end of the rotor, the axial deformation values at this location are consistently zero under different loads.
Figure 9.
Deformation distribution along the radial direction of hot and cold ends of the segment plate under different working conditions.
Thermal deformation of the hot end of the rotor’s segment plate leads to a significant and narrow gap forming between the upper end face of the rotor and the sector plate, leading to air leakage. Meanwhile, the cold end’s thermal deformation can cause mechanical wear at the rotor’s outer edge. Fixed seals are frequently implemented to address these issues. As indicated in Figure 10, during the cold installation and adjustment of the air preheater, a reserved clearance is established based on the thermal operating parameters. This enables a certain level of relative displacement between the rotor and the shell in hot conditions, thereby mitigating the impact of thermal stress on the equipment. Take the example of a typical 300 MW-class plant equipped with a rotary air preheater. At A and B, the hot end reserved distance is 1.5 mm, while at C, the cold end reserved distance is 0 mm, and it is 19–22 mm at D. When the air preheater operates at a high temperature, the air leakage gap at the hot end is determined by the vertical distance between the upper sector plate and the upper edge of the segment plate. Simultaneously, the inner cold end gap is modified from 0 mm to the upward expansion value located at the bottom of the center cylinder, while the outer side inclination is altered due to the rotor and casing rotation. The cold end’s internal gap increases from 0 mm to the expansion limit at the bottom of the center cylinder, while the external side experiences near-zero gaps due to the rotor’s sagging deformation. Numerical simulations of rotor thermal deformation offer a dependable foundation for the customization of the cold reserved space and seal fittings, enabling efficient regulation and monitoring of the radial air leakage gap.
Figure 10.
Schematic diagram of the air leakage gap in the RAPH.
According to Equation (7), the direct air leakage is correlated with the pressure difference on the gas flue side and the air leakage gap, whereas the size of the air leakage gap depends on the thermal deformation of the rotor segment plate. Assuming an average reserved gap of 1.5 mm at the cold state of the hot end and an outermost reserved gap of 21 mm at the cold state of the cold end, the sealing surfaces are of equal height, comprising the sector plates between the primary and the flue gas side, as well as secondary air side. Based on the simulation results of rotor thermal deformation under different unit loads, a comparison of the radial air leakage gap size on the primary air side under different operating conditions is obtained, as shown in Figure 11. To more accurately quantify the air leakage gap in the air preheater, the air leakage outer clearance is defined as the distance between the radial end of the segment plate at the hot or cold end and the sealing plane of the sector plate. The average air leakage clearance is defined as the ratio of the leakage area to the length of the segment plate. This is distinct from previous studies that assumed a constant value for the gap, ignoring variations in the gap along the radial direction of the segment plate. Implementing this approach provides a more reliable reference for further optimizations of the design and ensuring the safe operation of the air preheater.
Figure 11.
Radial air leakage clearance between the hot and cold ends of the primary air side at different loads.
During adjustments to the air preheater clearance in the cold state, the radial reserved clearance at the hot end is minimal. However, in the hot state, due to the upward expansion of the rotor center cylinder and the gradual sagging of the rotor segment plate from the center to the outer edge, especially when the sector plate at the hot end is fixed, a near-triangular air leakage area is generated radially at the hot end with a gradually expanding hypotenuse. As the unit operating load further increases, there is an increasing trend in the air leakage gap at the hot end. This is because the increase in load results in a larger temperature difference between the cold and hot ends of the air preheater, making the thermal deformation of the rotor more significant. The sagging deformation at the outer edge of the rotor increases, leading to a corresponding increase in the area of the triangular air leakage region at the upper part of the hot end. Simultaneously, due to the presence of the reserved clearance at the cold end, the air leakage gap at the cold end decreases with an increasing boiler load. It is noteworthy that during the initial low-load operation conditions at the start of the unit, the mushroom-shaped deformation of the air preheater is relatively small compared to that under full-load conditions. The air leakage gap at the cold end slightly increases compared to when the unit operates at a high load. Under the same operating conditions, the air leakage gap at the hot end caused by the rotor thermal deformation is always greater than that at the cold end.
Figure 12 compares the air leakage area and the air leakage volume between the primary air side and the secondary air side. Taking the BMCR condition as an example and combining the results with the data from Figure 7, the axial deformation values at the cold and hot ends of the primary air side segment plates are −20.868 mm and −16.180 mm. Meanwhile, the axial deformation values at the cold and hot ends of the secondary air side segment plates are −20.646 mm and −15.796 mm. It can be observed that, due to the thermal deformation of the rotor, the air leakage area at the hot end is slightly larger on the primary air side than on the secondary air side, while the opposite is true at the cold end. This pattern is evident under different load conditions. With an increase in load, the air leakage area at the hot end gradually enlarges, while the air leakage area at the cold end diminishes. This trend aligns with the impact of load on the air leakage clearance. Further observation of Figure 12b reveals that the air leakage volume on the primary air side is significantly greater than the flow at other radial air leakage positions. This is primarily due to the higher pressure difference on the primary air side, further widening the disparity in air leakage volume between the two sides. Therefore, when implementing measures to reduce air leakage clearance, such as installing radial seals and adjusting sector plates, it is crucial to fully consider the differences in air leakage at various air chamber positions. Such meticulous considerations will contribute to a more precise optimization of the sealing system, reducing air leakage and enhancing the performance of the air preheater.
Figure 12.
Radial air leakage area and air leakage volume of the primary air side and secondary air side. (a) Hot end; (b) cold end.
Figure 13 illustrates the variations in the radial air leakage distribution at the hot and cold ends under different unit loads. As the unit load for power generation increases, the hot-end air leakage volume rises, while the cold-end air leakage volume decreases. The proportion of hot-end radial air leakage in the total radial air leakage gradually increases from 65.54% to 73.93%, confirming the significance of hot-end radial air leakage as a component of the overall radial air leakage. Based on practical observations and the simulated results of rotor thermal deformation, it is evident that the hot-end air leakage clearance is significantly larger than the cold-end clearance. Consequently, under the same load, the air leakage volume at the hot end consistently surpasses that at the cold end. Furthermore, radial air leakage at the hot end results in the escape of preheated air, heated by flue gas, which bypasses the combustion system and instead leaks through the radial clearance at the hot end, leading to the wastage of a portion of heat. Therefore, in comparison to cold-end air leakage, air leakage at the hot end has a more pronounced impact on the heat transfer performance of the air preheater.
Figure 13.
Radial air leakage distribution under different working conditions.
4.3. Effect of Cold State Reserved Clearance on Hot State Air Leakage Characteristics
The cold-state clearance in RAPHs is a crucial consideration in equipment design. It not only affects the operational efficiency and lifespan of the equipment but is also directly related to the installation, maintenance, and safety performance. The magnitude of the clearance directly influences the air leakage volume. If the clearance is too large, it can lead to a substantial amount of air leaking through the clearance, thereby reducing the heat exchange efficiency and operational effectiveness of the air preheater. Conversely, if the clearance is too small, although this may reduce air leakage, it could result in wear and corrosion of the internal components, thereby shortening the equipment’s lifespan. Therefore, during the design and installation processes, it is essential to select an appropriate clearance size based on the actual conditions and operational requirements of the equipment.
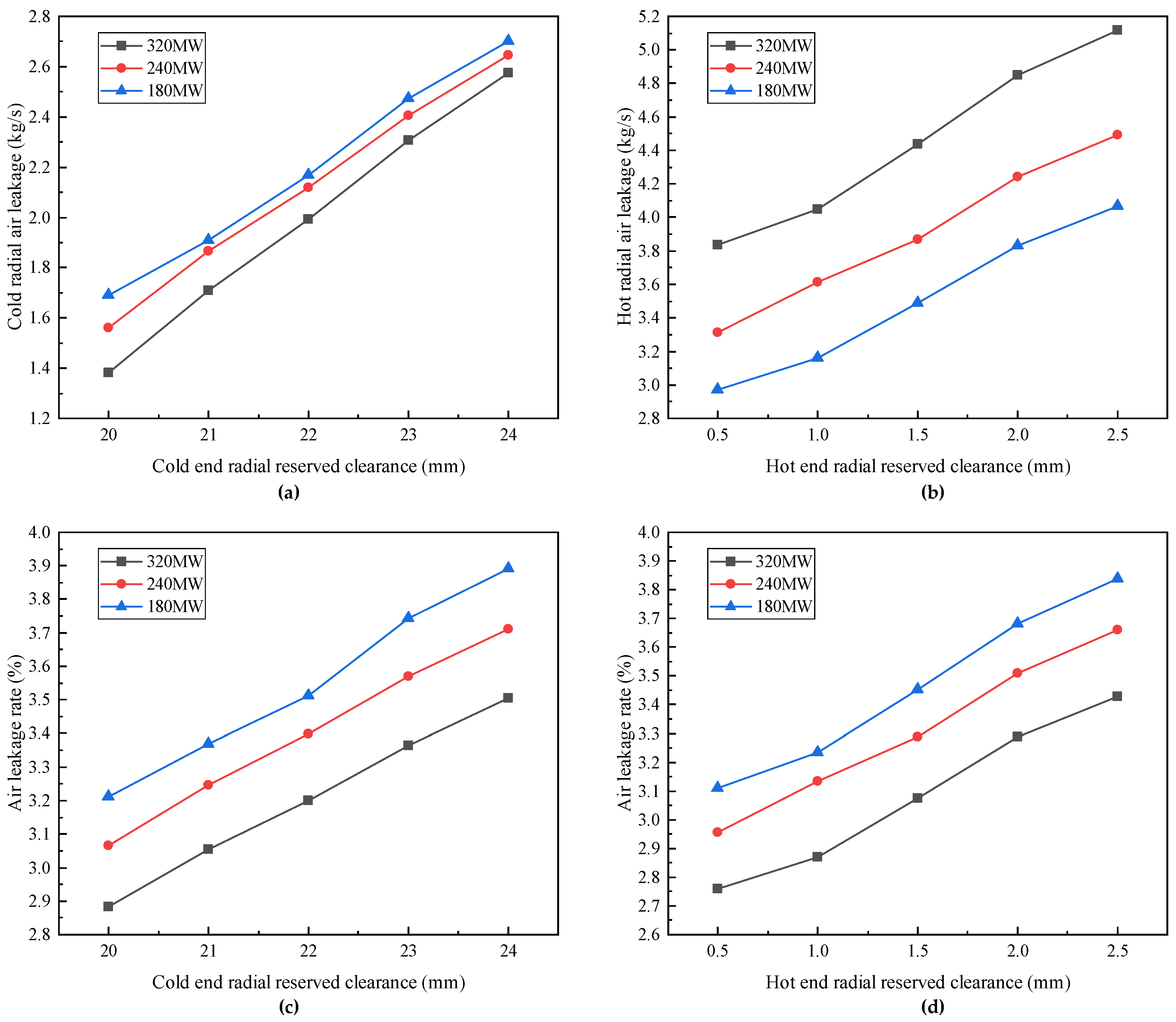
Figure 14 illustrates the impact of different reserved clearance sizes on the radial air leakage and leakage rates at the hot and cold ends under various unit loads. From Figure 14a,b, it can be observed that, under the same power generation load, air leakage increases linearly with equidistant increments in the reserved clearance. At the same reserved clearance, radial air leakage at the hot end increases with the load, while the trend is the opposite for the cold end. With increasing load, the cold-end air leakage area decreases and the cold-end pressure differential increases, yet the radial air leakage at the cold end continues to decrease. This suggests that the pressure differential changes induced by load variations have a relatively small impact on radial air leakage. Furthermore, from Figure 14c,d, it is evident that, when the unit operates at a 320 MW load, increasing the outer reserve clearance at the cold end of the air preheater by 1 mm results in an approximate increase of 0.30 kg/s in radial air leakage and an increase of about 0.16% in the leakage rate per unit. Conversely, increasing the average reserve clearance at the hot end by 1 mm leads to an approximate increase of 0.67 kg/s in radial air leakage and an increase of about 0.35% in the leakage rate per unit. This indicates that the influence of hot-end radial clearance on the thermal leakage characteristics of the air preheater is more than twice that of cold-end radial leakage. This difference is attributed to the smaller proportion of radial leakage from the cold end compared to the hot end, fundamentally due to the significantly larger hot-end leakage clearance under the same operating conditions. Therefore, implementing effective control measures for hot-end leakage is more critical than addressing cold-end leakage in air preheaters. For instance, installing multiple sealing strips along the leakage path to create a throttling structure while reducing the flow area is recommended. Additionally, enhancing the sealing elements in the sealing region has proven to be an effective measure for retarding and obstructing the flow of leaked fluids. Moreover, in the design process of rotary air preheaters, precise calculation of the reserve value for cold-state radial clearance should be based on the thermal deformation of the rotor.
Figure 14.
Effect of cold radial clearance on leakage characteristics. Effects of (a) outer radial clearance at the cold end and (b) average radial clearance at the hot end on air leakage. Effects of (c) outer radial clearance at the cold end and (d) average radial clearance at the hot end on the air leakage rate.
4.4. Measures and Proposals
Due to thermal deformation behavior, the configuration of the gap near the radial seal at the hot end of the rotor can be approximated as a right triangle, with the hypotenuse forming an asymptotic spreading curve. Furthermore, as the rotor rotates, the thermal deformation values at various positions differ. Currently, the majority of air preheater sealing devices employed in power plants are inadequate in terms of cost-effectiveness and reliability to address such nonlinear deformations effectively. Most sealing devices experience a decrease in the sealing efficiency or failure over time, necessitating frequent maintenance and adversely affecting the long-term stability and reliable operation of the air preheater. Additionally, sealing systems commonly exhibit deficiencies in adaptability, making it challenging to meet the requirements for air leakage control during variable operating conditions and variable loads. Therefore, the crucial factor in managing radial air leakage is to monitor the thermal deformation of the rotor spacer and optimize the radial sealing system.
In the context of disparate leakage scenarios between the primary and secondary air sides, the control of the six sector plates in the leakage control system (LCS) should be relatively independent. Each sector plate should be equipped with a dedicated actuation mechanism to guarantee synchronous adjustment when subjected to load variations. This configuration is imperative for maintaining effective control and coordination of the sector plates, thus addressing the distinctive challenges posed by differential leaks in the primary and secondary air sides.
During the installation and adjustment of the cold-state configuration of RAPHs, it is imperative to minimize the cold-state clearances based on the thermal deformation characteristics of the rotor. Efforts should be directed towards accurately accommodating the thermal deformation of the radial segment plates at the cold end, while ensuring that a precise allowance is maintained to prevent any occurrence of contact or abrasion. This aims to establish a critical state during hot-state operation, wherein the sealing elements of the radial segment plates and the sector plates are in secure contact, thereby effectively reducing air leakage rates.
In summary, with regard to RAPH leakage control, several key considerations should be addressed. Firstly, emphasis should be placed on reducing the radial clearances during hot-state operation of the air pre-swirler. This involves minimizing the clearances between the hot-end sector plates and the radial seals, while simultaneously optimizing the design of both components to accommodate diverse operational conditions. Secondly, the implementation of a durable and effective sealing system is essential to accurately adjust the clearances arising from thermal expansion and deformation throughout the air pre-swirler. Additionally, for the cold end of RAPHs, precise calculations of the radial installation clearances at the rotor’s cold end should be undertaken based on actual operational conditions. Furthermore, there is a need to optimize the structural design of the radial seals and the cold-end sector plates to ensure an accurate fit.
5. Conclusions
This paper focuses on the three-section rotary preheater within boiler of a 330 MW coal-fired power plant unit. It details the development of a numerical computational model integrating heat transfer and structural deformations for investigating the thermal deformation. Three-dimensional thermal deformation outcomes for the pre-swirler rotor at various positions were obtained under load conditions of 320 MW, 240 MW, and 180 MW. A mathematical model for radial leakage was established to assess the relationship between the rotor’s thermal deformation and localized radial air leakage. Quantification of the air leakage clearances resulting from thermal deformation of the rotor was conducted, evaluating the impact of thermal variations on localized radial leakage characteristics. The principal conclusions are as follows:
- The three-dimensional simulation results of rotor thermal deformation can offer detailed and reliable data support for sealing systems. To a certain extent, this addresses the challenges associated with measuring axial deformations of rotor segment plates. These findings hold significance for accurately assessing air leakage conditions and providing guidance for further enhancing the performance of sealing systems.
- This study elucidates the influence of the RAPH rotor’s rotation angle on the axial deformation of the segment plates at both the cold and hot ends. The distribution of thermal deformations on the radial segment plates exhibits circumferential asymmetry. Starting from the flue gas to the primary air transition interface, the axial deformation of the segment plates at both ends initially increases and then decreases with the rotation of the rotor. Under the design conditions, the average thermal deformation at the outer edge of the rotor’s hot end is −15.97 mm, while at the cold end, it is −20.73 mm. The maximum axial deformation for each radial segment plate occurs at the outer edge of the cold end. Specifically, the maximum axial deformation at the cold end and hot end is −20.868 mm and −16.180 mm, respectively.
- Influenced by rotor thermal deformation, the air leakage area at the hot end is slightly larger on the primary air side than on the secondary air side, while the opposite scenario is observed at the cold end. The air leakage quantity on the primary air side significantly exceeds the flow at other radial leakage positions. As the operation load increases, the air leakage area at the hot end of the RAPH increases, while the cold-end leakage area decreases. Under operational conditions, the leakage at the hot end constitutes over 65% of the radial leakage, encompassing a substantial portion of the total direct leakage. The impact of the hot-end radial clearance on the leakage characteristics of the air pre-swirler in the hot state is more than twice that of the cold-end radial leakage, as indicated by the characteristics of the cold-state reserved clearance.
- Based on the aforementioned research findings, to reduce the leakage rate of RAPHs, effective measures should primarily target radial leakage at the hot end. It is recommended to optimize and adjust the radial sealing system and the sector plate through reliable measures. This involves minimizing the radial thermal operating clearances at the hot end of the RAPH, thereby further enhancing the sealing performance of RAPHs.
Author Contributions
Conceptualization, Y.L. and H.W.; methodology, Y.L. and W.S.; software, Y.L.; validation, W.S.; data curation, C.F.; writing—original draft preparation, Y.L.; writing—review and editing, H.W., W.S. and C.F.; visualization, Y.L. and C.F.; supervision, H.W. All authors have read and agreed to the published version of the manuscript.
Funding
This research was supported by National Natural Science Foundation of China (no. 52106003).
Data Availability Statement
The data presented in this study are available on request from the corresponding author.
Conflicts of Interest
The authors declare no conflicts of interest that could have appeared to influence the work reported in this paper.
Nomenclature
| Afs | interfacial area density, m2/m3 |
| Agap | leakage clearance area, m2 |
| Cd | orifice coefficient, / |
| E | modulus of elasticity, Pa |
| Ef | fluid energy, J |
| G | air leakage mass flow rate, kg/s |
| H | segment plate height, mm |
| h | heat transfer coefficient, W/(m2·K) |
| K | thermal conductivity, W/(m·K) |
| Kp | permeability, m2 |
| kexp | expansion coefficient, / |
| p | pressure, Pa |
| R | rotor diameter, m |
| Re | Reynolds number, / |
| T | temperature, °C |
| absolute velocity, m/s | |
| Z | number of sealing sheets, / |
Greek Symbols
| α | coefficient of thermal expansion, 1·°C−1 |
| αL | air leakage rate, / |
| γp | porosity, / |
| γ | shear strain, Pa |
| γd | orifice diameter ratio, / |
| ρ | density, kg/m3 |
| δ | thickness of segment plates, mm |
| δh | thickness of heat exchanger plates, mm |
| μ | dynamic viscosity, Pa·s |
| ε | strain vector, / |
| σ | stress vector, / |
| τ | shear stress, Pa |
| ν | Poisson’s ratio, / |
Subscripts
| a | air |
| c | cold end |
| f | fluid |
| fs | fluid–solid contact surface |
| g | gas |
| h | hot end |
| in | inlet |
| out | outlet |
| pri | primary air side |
| s | solid |
| sec | secondary air side |
References
- Yang, Y.P.; Xu, C.; Xu, G.; Han, Y.; Fang, Y.X.; Zhang, D.K. A new conceptual cold-end design of boilers for coal-fired power plants with waste heat recovery. Energy Conv. Manag. 2015, 89, 137–146. [Google Scholar] [CrossRef]
- Wang, X.; Liu, H. Soft sensor based on stacked auto-encoder deep neural network for air preheater rotor deformation prediction. Adv. Eng. Inform. 2018, 36, 112–119. [Google Scholar] [CrossRef]
- Chen, H.; Qi, Z.; Dai, L.H.; Li, B.; Xu, G.; Yang, Y.P. Performance evaluation of a new conceptual combustion air preheating system in a 1000 MW coal-fueled power plant. Energy 2020, 193, 261–276. [Google Scholar] [CrossRef]
- Jiang, L.; IOP. Analysis of Leakage and Corrosion of Air Preheater in Coal-Fired Power Plant. In Proceedings of the 5th International Conference on Renewable Energy and Environmental Protection (ICREEP), Electr Network, Hangzhou, China, 23–25 October 2020. [Google Scholar]
- Hajebzadeh, H.; Ansari, A.N. Modification of rotary air preheater toward achieving extended life-span utilizing porous media approach: A case study. Proc. Inst. Mech. Eng. Part A-J. Power Energy 2022, 236, 293–307. [Google Scholar] [CrossRef]
- Shah, R.K.; Skiepko, T. Influence of leakage distribution on the thermal performance of a rotary regenerator. Appl. Therm. Eng. 1999, 19, 685–705. [Google Scholar] [CrossRef]
- Skiepko, T. Method of Monitoring and Measuring Seal Clearances in a Rotary Heat-Exchanger. Heat Recovery Syst. CHP 1988, 8, 469–473. [Google Scholar] [CrossRef]
- Skiepko, T. Effect of Reduction in Seal Clearances on Leakages in a Rotary Heat-Exchanger. Heat Recovery Syst. CHP 1989, 9, 553–559. [Google Scholar] [CrossRef]
- Skiepko, T. Experimental Results Concerning Seal Clearances in Some Rotary Heat-Exchangers. Heat Recovery Syst. CHP 1988, 8, 577–581. [Google Scholar] [CrossRef]
- Skiepko, T. Some Essential Principles for Adjustment of Seal Clearances in Rotary Regenerators. Heat Transf. Eng. 1993, 14, 27–43. [Google Scholar] [CrossRef]
- Skiepko, T. Indirect estimation of leakage distribution in steam boiler rotary regenerators. Heat Transf. Eng. 1997, 18, 56–81. [Google Scholar] [CrossRef]
- Cai, M.K.; Hui, S.E.; Wang, X.B.; Zhao, S.; He, S.J. A study on the direct leakage of rotary air preheater with multiple seals. Appl. Therm. Eng. 2013, 59, 576–586. [Google Scholar] [CrossRef]
- Zhu, H.; Li, D.C.; Pu, H.L.; Wang, L.M.; He, Y.; Bu, Y.F.; Che, D.F. Experimental and Numerical Investigations on the Local Direct Leakage Process of Rotary Regenerative Air Preheater. Appl. Sci. 2020, 10, 14. [Google Scholar] [CrossRef]
- Maharaj, A.; Schmitz, W.; Naidoo, R. A numerical study of air preheater leakage. Energy 2015, 92, 87–99. [Google Scholar] [CrossRef]
- Heidari-Kaydan, A.; Hajidavalloo, E.; Mehrzad, S. Three-Dimensional Simulation of Leakages in Rotary Air Preheater of Steam Power Plant. Heat Transf. Eng. 2022, 43, 1512–1528. [Google Scholar] [CrossRef]
- Bu, Y.F.; Wang, L.M.; Zhu, H.; Pu, H.L.; Wei, Y.G.; Che, D.F. Numerical Analysis of the Coupling between Heat Transfer and Deformation in Rotary Air Preheater. Int. J. Heat Mass Transf. 2021, 165, 12. [Google Scholar] [CrossRef]
- Wang, L.M.; Deng, L.; Ji, C.L.; Liang, E.K.; Wang, C.X.; Che, D.F. Multi-objective optimization of geometrical parameters of corrugated-undulated heat transfer surfaces. Appl. Energy 2016, 174, 25–36. [Google Scholar] [CrossRef]
- Zhang, Q.N.; Sun, F.Z.; Chen, C.X. Research on the three-dimensional wall temperature distribution and low-temperature corrosion of quad-sectional air preheater in larger power plant boilers. Int. J. Heat Mass Transf. 2019, 128, 739–747. [Google Scholar] [CrossRef]
- Zmrhal, V.; Kucera, M. The effect of leakage on pressure loss of rotary regenerative heat exchangers. Int. J. Refrig. 2023, 154, 364–377. [Google Scholar] [CrossRef]
- Padhi, M.R.; Ghose, P. Performance Prediction of a Model Rotary Air Preheater Through Porous Media Approach. J. Therm. Sci. Eng. Appl. 2023, 15, 12. [Google Scholar] [CrossRef]
- Nield, D.A.; Bejan, A. Convection in Porous Media; Wiley-Blackwell: Hoboken, NJ, USA, 2013; pp. 5–7. [Google Scholar]
- Wang, L.M.; Deng, L.; Tang, C.L.; Fan, Q.; Wang, C.X.; Che, D.F. Thermal deformation prediction based on the temperature distribution of the rotor in rotary air-preheater. Appl. Therm. Eng. 2015, 90, 478–488. [Google Scholar] [CrossRef]
- Dugamaiti, M.; Yi, B.; Liu, Y.; Xin, G. Numerical Simulation of Thermal Deformation of Air Preheater Rotor Diaphragm. J. Eng. Therm. Energy Power 2022, 37, 102–110. [Google Scholar]
Disclaimer/Publisher’s Note: The statements, opinions and data contained in all publications are solely those of the individual author(s) and contributor(s) and not of MDPI and/or the editor(s). MDPI and/or the editor(s) disclaim responsibility for any injury to people or property resulting from any ideas, methods, instructions or products referred to in the content. |
© 2024 by the authors. Licensee MDPI, Basel, Switzerland. This article is an open access article distributed under the terms and conditions of the Creative Commons Attribution (CC BY) license (https://creativecommons.org/licenses/by/4.0/).













