Evaluation of Thermal Insulation of Vacuum-Insulated Casing to Prevent Uncontrollable Melting of Ice and Borehole Instability in Permafrost
Abstract
1. Introduction
- A new structure of vacuum-insulated casing was designed and manufactured, and the method to determine its thermal conductivity was developed;
- The thermal conductivity of the vacuum-insulated casing under low-temperature conditions was measured;
- By comparison, the effect of vacuum-insulated casings on maintaining the stability of permafrost and wellbore was numerically investigated.
2. Experiments and Methods
2.1. Experimental System
2.2. Experimental Principle and Method
- Inspection of gas tightness of the experimental system. Firstly, the pressure inside the experimental system needs to be pumped to 1000 Pa with all valves closed. The air tightness of the experimental system is judged by observing the pressure change in the system within 48 h. If the pressure change is below 25 Pa, it indicates that the gas sealing of the experimental system is acceptable. Otherwise, the leakage point of the experimental system needs to be checked until the air tightness meets the requirements.
- Measurement of the outer wall temperature of the casing. Firstly, the ambient temperature inside the cold storage needs to be adjusted to the pre-designed temperature. At the same time, the fluid temperature in the experimental system needs to be heated to the pre-designed temperature through the fluid-heating-and-insulation system. Subsequently, the electric diaphragm pump needs to be turned on, and the fluid will circulate in the experimental system. Finally, the outer-wall temperature of the casing can be measured when the temperature at the outlet and inlet remains unchanged for 20 min.
- Determination of apparent thermal conductivity. Based on the experimental results, a heat-transfer simulation was conducted using Matlab 2016 software to determine the thermal conductivity of the vacuum-insulated casing.
2.3. Determination Method of Apparent Thermal Conductivity
3. Applicability Evaluation of the Investigation Methodology
4. Results and Discussion
4.1. Effect of Ambient Temperature
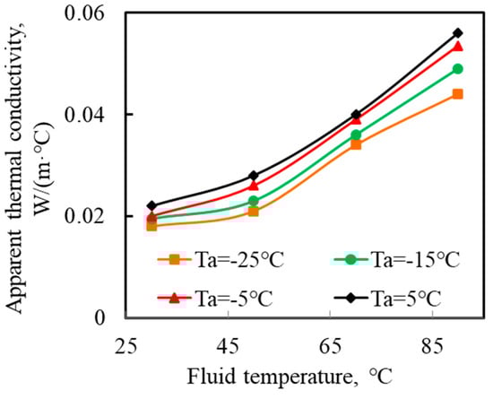
4.2. Effect of Fluid Temperature
4.3. Effect of Vacuum Degree
4.4. Modeling Synergistic Effect of Multiple Factors on Thermal Conductivity
5. Role of Vacuum-Insulated Casing in Mitigating Ice Melting and Wellbore Instability
5.1. Mathematical Model
5.2. Mechanical Properties of Permafrost
5.3. Discretization of the Mathematical Model
- (1) Discretization of the temperature field equation
- (2) Discretization of the seepage-field equation
- (3) Discretization of the stress-field equation
5.4. Model Geometry and Boundary Conditions
5.5. Ice Melting in the Near-Wellbore Region
5.6. Behaviorof Borehole Instability and Drilling Optimization
6. Conclusions and Future Work
- (1)
- The experimental system and method described in this study can be used for the measurement of the apparent thermal conductivity of the vacuum-insulated casings. The difference between the measured apparent thermal conductivity value and the true value of the ordinary casing with known thermal conductivity is less than 1.0 W/(m·°C).
- (2)
- The insulation performance of the vacuum-insulated casing decreases with increasing fluid and ambient temperatures. The reason is that an increase in temperature activates the vibration of molecules inside the vacuum-insulation layer. Moreover, an increase in the vacuum degree fills the vacuum-insulation layer with more gas molecules, and the thermal conductivity naturally increases accordingly. Interestingly, changes in these factors exhibit limited effects on the apparent thermal conductivity of vacuum-insulated casing. When the values of these factors exceed a certain threshold, their influence will be significantly weakened.
- (3)
- The use of vacuum-insulated casing in drilling operations can effectively curb the heat transfer and prevent the uncontrolled melting of ice around the wellbore, as well as borehole instability. Compared to ordinary casing, the use of vacuum-insulated casing can decrease 86.72% of heat transferred in drilling operations and 84% of ice melting. Furthermore, most of the yield area (potential instability area) around the wellbore can also be avoided.
- (4)
- Vacuum-insulated casing effectively alleviates the challenges of drilling operations in permafrost. For the same requirements for wellbore stability, the use of vacuum-insulated casing allows for longer drilling cycles and moderate ROPs. When the ordinary casing was used, the ROPs needed to be increased to shorten the drilling cycle and avoid the risk of uncontrollable wellbore instability.
Author Contributions
Funding
Data Availability Statement
Acknowledgments
Conflicts of Interest
References
- Zhao, X.; Geng, Q.; Zhang, Z.; Qiu, Z.; Fang, Q.; Wang, Z.; Yan, C.; Ma, Y.; Li, Y. Phase change material microcapsules for smart temperature regulation of drilling fluids for gas hydrate reservoirs. Energy 2023, 263, 125715. [Google Scholar] [CrossRef]
- Li, Q.; Cheng, Y.; Li, Q.; Ansari, U.; Liu, Y.; Yan, C.; Lei, C. Development and verification of the comprehensive model for physical properties of hydrate sediment. Arab. J. Geosci. 2018, 11, 325. [Google Scholar] [CrossRef]
- Tang, X.; Zhang, B.; Höök, M.; Feng, L. Forecast of oil reserves and production in Daqing oilfield of China. Energy 2010, 35, 3097–3102. [Google Scholar] [CrossRef]
- He, Y.; Qiao, Y.; Qin, J.; Tang, Y.; Wang, Y.; Chai, Z. A novel method to enhance oil recovery by inter-fracture injection and production through the same multi-fractured horizontal well. J. Energ. Resour. Technol. 2022, 144, 043005. [Google Scholar] [CrossRef]
- Jin, Z.; Liang, X.; Bai, Z. Exploration breakthrough and its significance of Gulong lacustrine shale oil in the Songliao Basin, Northeastern China. Energy Geosci. 2022, 3, 120–125. [Google Scholar] [CrossRef]
- Yuan, S.; Lei, Z.; Li, J.; Yao, Z.; Li, B.; Wang, R.; Liu, Y.; Wang, Q. Key theoretical and technical issues and countermeasures for effective development of Gulong shale oil, Daqing Oilfield, NE China. Pet. Explor. Dev. 2023, 50, 638–650. [Google Scholar] [CrossRef]
- Wang, Q.; Li, S.; Li, R. China’s dependency on foreign oil will exceed 80% by 2030: Developing a novel NMGM-ARIMA to forecast China’s foreign oil dependence from two dimensions. Energy 2019, 163, 151–167. [Google Scholar] [CrossRef]
- Zhu, J.; Chen, G.; Yin, Z.; Khan, F.; Meng, X. An integrated methodology for dynamic risk evaluation of deepwater blowouts. J. Loss Prev. Process Ind. 2022, 74, 104647. [Google Scholar] [CrossRef]
- Li, Q.; Cheng, Y.; Li, Q.; Zhang, C.; Ansari, U.; Song, B. Establishment and evaluation of strength criterion for clayey silt hydrate-bearing sediments. Energy Sources Part A Recovery Util. Environ. Eff. 2018, 40, 742–750. [Google Scholar] [CrossRef]
- Li, Q.; Liu, J.; Wang, S.; Guo, Y.; Han, X.; Li, Q.; Cheng, Y.; Dong, Z.; Li, X.; Zhang, X. Numerical insights into factors affecting collapse behavior of horizontal wellbore in clayey silt hydrate-bearing sediments and the accompanying control strategy. Ocean Eng. 2024, 297, 117029. [Google Scholar] [CrossRef]
- Liu, H.; Liu, H.; Zhang, Q.; Fan, M.; Yin, B.; Wang, X.; Sun, X.; Wang, Z. Effect of liquid viscosity on the gas-liquid two phase countercurrent flow in the wellbore of bullheading killing. Geoenergy Sci. Eng. 2023, 221, 111274. [Google Scholar] [CrossRef]
- Zhang, Z.; Sun, B.; Wang, Z.; Pan, S.; Lou, W.; Sun, D. Early monitoring method of downhole accident driven by physics based model and data driven methods coupling. Geoenergy Sci. Eng. 2023, 221, 111296. [Google Scholar] [CrossRef]
- Li, Q.; Wang, Y.; Wang, F.; Li, Q.; Kobina, F.; Bai, H.; Yuan, L. Effect of a modified silicone as a thickener on rheology of liquid CO2 and its fracturing capacity. Polymers 2019, 11, 540. [Google Scholar] [CrossRef] [PubMed]
- Chen, X.; He, M.; Xu, M.; Wang, S.; Dai, B. Early gas kick detection-inversion-control integrated system: The significance of applications of managed pressure drilling: A review. Geoenergy Sci. Eng. 2023, 229, 212134. [Google Scholar] [CrossRef]
- Yang, H.; Li, J.; Jiang, J.; Zhang, H.; Guo, B.; Zhang, G.; Chen, W. A dynamic managed pressure well-control method for rapid treatment of gas kick in deepwater managed pressure drilling. Pet. Sci. 2022, 19, 2297–2313. [Google Scholar] [CrossRef]
- Gu, Q.; Fallah, A.; Feng, T.; Bakshi, S.; Chen, D.; Ashok, P.; Moore, D.; Oort, E. A novel dilution control strategy for gas kick handling and riser gas unloading mitigation in deepwater drilling. J. Pet. Sci. Eng. 2021, 196, 107973. [Google Scholar] [CrossRef]
- Noynaert, S.; Jerome, J. Modeling ultra-deepwater blowouts and dynamic kills and the resulting blowout control best practices recommendations. In Proceedings of the SPE/IADC Drilling Conference and Exhibition, SPE, Amsterdam, The Netherlands, 23–25 February 2005; p. SPE-92626-MS. [Google Scholar]
- Yuan, Z.; Hashemian, Y.; Morrell, D. Ultra-deepwater blowout well control analysis under worst case blowout scenario. J. Nat. Gas Sci. Eng. 2015, 27 Pt 1, 122–129. [Google Scholar] [CrossRef]
- Ren, W.; Fan, H.; Deng, S.; Cui, C.; Peng, Q.; Liu, X.; Dou, X. Displacement Calculation of Dynamic Killing Drilling. In Proceedings of the SPE Nigeria Annual International Conference and Exhibition, Lagos, Nigeria, 4–6 August 2015; p. SPE-178362-MS. [Google Scholar]
- Lu, J.; Zhang, M.; Zhang, X.; Pei, W.; Bi, J. Experimental study on the freezing–thawing deformation of a silty clay. Cold Reg. Sci. Technol. 2018, 151, 19–27. [Google Scholar] [CrossRef]
- Wen, Y.; Liu, L.; Huang, Y.; Liu, H.; Sui, M. Cause Analysis and Preventive Measures for Sand Production in Gas Wells of Sulige Gas Field. ACS Omega 2023, 8, 30590–30597. [Google Scholar] [CrossRef]
- Wei, Y.; Xiong, Y.; Liu, Z.; Lu, J. Thermal diffusion characteristics in permafrost during the exploitation of gas hydrate. Geofluids 2021, 2021, 6620288. [Google Scholar] [CrossRef]
- Ben Mahmud, H.; Leong, V.H.; Lestariono, Y. Sand production: A smart control framework for risk mitigation. Petroleum 2020, 6, 1–13. [Google Scholar] [CrossRef]
- Garolera, D.; Carol, I.; Papanastasiou, P. Micromechanical analysis of sand production. Int. J. Numer. Anal. Methods Geomech. 2019, 43, 1207–1229. [Google Scholar] [CrossRef]
- Wang, X.; Wang, Z.; Deng, X.; Sun, B.; Zhao, Y.; Fu, W. Coupled thermal model of wellbore and permafrost in Arctic regions. Appl. Therm. Eng. 2017, 123, 1291–1299. [Google Scholar] [CrossRef]
- Kutasov, I.M.; Eppelbaum, L.V. Time of refreezing of surrounding the wellbore thawed formations. Int. J. Therm. Sci. 2017, 122, 133–140. [Google Scholar] [CrossRef]
- Zhou, X.; Su, Y.; Cheng, Y.; Li, Q. Preliminary Insight into Ice Melting, Surface Subsidence, and Wellhead Instability during Oil and Gas Extraction in Permafrost Region. Energies 2024, 17, 1292. [Google Scholar] [CrossRef]
- Wang, K. Simulation and Analysis of Wellbore Stability in Permafrost Formation with FLAC. Ph.D. Dissertation, University of Alaska Fairbanks, Fairbanks, AK, USA, 2015. [Google Scholar]
- Xie, J.; Matthews, C.M. Methodology to assess thaw subsidence impacts on the design and integrity of oil and gas wells in Arctic regions. In Proceedings of the SPE Arctic and Extreme Environments Technical Conference and Exhibition, Moscow, Russia, 18 October 2011; p. SPE-149740-MS. [Google Scholar]
- Atlasov, R.; Nikolaeva, M.; Karamzin, V. Development of drilling and casing technologies for permafrost areas. IOP Conf. Ser. Earth Environ. Sci. 2019, 272, 022078. [Google Scholar] [CrossRef]
- Yanhu, M.; Guoyu, L.; Wei, M.; Zhengmin, S.; Zhiwei, Z.; Wang, F. Rapid permafrost thaw induced by heat loss from a buried warm-oil pipeline and a new mitigation measure combining seasonal air-cooled embankment and pipe insulation. Energy 2020, 203, 117919. [Google Scholar] [CrossRef]
- Romanovsky, V.; Smith, S.; Christiansen, H. Permafrost thermal state in the polar Northern Hemisphere during the international polar year 2007-2009: A synthesis. Permafr. Periglac 2010, 21, 106–116. [Google Scholar] [CrossRef]
- Yamamoto, Y.; Springman, S. Axial compression stress path tests on artificial frozen soil samples in a triaxial device at temperatures just below 0 °C. Can Geotech J. 2014, 51, 1178–1195. [Google Scholar] [CrossRef]
- Misyurkeeva, N.; Buddo, I.; Kraev, G.; Smirnov, A.; Nezhdanov, A.; Shelokhov, I.; Belonosov, A. Periglacial Landforms and Fluid Dynamics in the Permafrost Domain: A Case from the Taz Peninsula, West Siberia. Energies 2022, 15, 2794. [Google Scholar] [CrossRef]
- Wang, J.; Zhang, F.; Yang, Z.; Yang, P. Experimental investigation on the mechanical properties of thawed deep permafrost from the Kuparuk River Delta of the North Slope of Alaska. Cold Reg. Sci. Technol. 2022, 195, 103482. [Google Scholar] [CrossRef]
- Deng, X.; Pan, S.; Wang, Z.; Ke, K.; Zhang, J. Application of the Darcy-Stefan model to investigate the thawing subsidence around the wellbore in the permafrost region. Appl. Therm. Eng. 2019, 156, 392–401. [Google Scholar] [CrossRef]
- Yang, Z.; Still, B.; Ge, X. Mechanical properties of seasonally frozen and permafrost soils at high strain rate. Cold Reg. Sci. Technol. 2015, 113, 12–19. [Google Scholar] [CrossRef]
- Bilodeau, J.; Verreault, J.; Doré, G. Assessment of the physical and mechanical properties of permafrost in Nunavik, Quebec, Canada. In Proceedings of the 18th International Conference on Cold Regions Engineering and 8th Canadian Permafrost Conference, Quebec City, QC, USA, 19–21 August 2019; pp. 17–25. [Google Scholar]
- Arenson, L.; Johansen, M.; Springman, S. Effects of volumetric ice content and strain rate on shear strength under triaxial conditions for frozen soil samples. Permafr. Periglac. 2004, 15, 261–271. [Google Scholar] [CrossRef]
- Rostami, A. Stability Analysis of Frozen Soil Slopes Considering Strain Localization. Ph.D. Dissertation, Concordia University, Montreal, QC, Canada, 2022. [Google Scholar]
- Bai, R.; Lai, Y.; Pei, W.; Zhang, M. Investigation on frost heave of saturated–unsaturated soils. Acta Geotech. 2020, 15, 3295–3306. [Google Scholar] [CrossRef]
- Nassr, A.; Esmaeili-Falak, M.; Katebi, H.; Javadi, A. A new approach to modeling the behavior of frozen soils. Eng. Geol. 2018, 246, 82–90. [Google Scholar] [CrossRef]
- Zhang, Y. Thermal-Hydro-Mechanical Model for Freezing and Thawing of Soils. Ph.D. Dissertation, University of Michigan, Ann Arbor, MI, USA, 2014. [Google Scholar]
- Yao, X.; Qi, J.; Wu, W. Three dimensional analysis of large strain thaw consolidation in permafrost. Acta Geotech. 2012, 7, 193–202. [Google Scholar] [CrossRef]
















| Parameter | Unit | Value |
|---|---|---|
| Fluid density | kg/m3 | 1000 |
| Fluid specific heat | J/(°C·kg) | 4180 |
| Inner diameter of casing | mm | 139.7 |
| Outer diameter of casing | mm | 177.8 |
| Initial assumed thermal conductivity | W/(m·°C) | 0.06 |
| Initial vacuum degree | Pa | 50 |
| Heat-transfer coefficient | J/(m2·s·°C) | 10 |
| Fluid Temperature, °C | Cold Storage Temperature, °C | Thermal Conductivity, W/(m·°C) | |
|---|---|---|---|
| Simulated Value | Real Value | ||
| 30 | −8 | 44.7 | 45.0 |
| 30 | −16 | 44.5 | |
| 50 | −8 | 44.6 | |
| 50 | −16 | 44.5 | |
| 70 | −8 | 44.4 | |
| 70 | −16 | 44.3 | |
| Parameters | Unit | Value | |
|---|---|---|---|
| Permafrost | Thermal conductivity | W/(m·°C) | 2.5 |
| Density | kg/m3 | 2600 | |
| Porosity | % | 20 | |
| Specific heat capacity | J/(kg·°C) | 850 | |
| Depth | m | 300 | |
| Geothermal gradient | °C/100 m | 3 | |
| Temperature | °C | −10 | |
| In-situ stresses | σH = 7.64 MPa, σh = 6.11 MPa, σV = 7.64 MPa | ||
| Ice saturation | % | 50 | |
| Pore pressure | MPa | 3.0 | |
| Drilling fluid | Temperature | °C | 25 |
| Ordinary casing | Thermal conductivity | W/(m·°C) | 45 |
| Specific heat capacity | J/(kg·°C) | 460 | |
| Density | kg/m3 | 7800 | |
| vacuum-insulated casing | Thermal conductivity | Determine by Equation (8) | |
| Drilling operation | Total time | h | 48 |
| Casing Type | Maximum Drilling Operation Cycle, h | |||
|---|---|---|---|---|
| δ = 0 | δ = 5% | δ = 10% | δ = 15% | |
| Ordinary casing | 1.83 | 2.7 | 4.3 | 5.8 |
| Vacuum-insulated casing | 8.0 | 48.0 | 48.0 | 48.0 |
Disclaimer/Publisher’s Note: The statements, opinions and data contained in all publications are solely those of the individual author(s) and contributor(s) and not of MDPI and/or the editor(s). MDPI and/or the editor(s) disclaim responsibility for any injury to people or property resulting from any ideas, methods, instructions or products referred to in the content. |
© 2024 by the authors. Licensee MDPI, Basel, Switzerland. This article is an open access article distributed under the terms and conditions of the Creative Commons Attribution (CC BY) license (https://creativecommons.org/licenses/by/4.0/).
Share and Cite
Zhou, X.; Su, Y.; Cheng, Y.; Li, Q. Evaluation of Thermal Insulation of Vacuum-Insulated Casing to Prevent Uncontrollable Melting of Ice and Borehole Instability in Permafrost. Processes 2024, 12, 1389. https://doi.org/10.3390/pr12071389
Zhou X, Su Y, Cheng Y, Li Q. Evaluation of Thermal Insulation of Vacuum-Insulated Casing to Prevent Uncontrollable Melting of Ice and Borehole Instability in Permafrost. Processes. 2024; 12(7):1389. https://doi.org/10.3390/pr12071389
Chicago/Turabian StyleZhou, Xiaohui, Yinao Su, Yuanfang Cheng, and Qingchao Li. 2024. "Evaluation of Thermal Insulation of Vacuum-Insulated Casing to Prevent Uncontrollable Melting of Ice and Borehole Instability in Permafrost" Processes 12, no. 7: 1389. https://doi.org/10.3390/pr12071389
APA StyleZhou, X., Su, Y., Cheng, Y., & Li, Q. (2024). Evaluation of Thermal Insulation of Vacuum-Insulated Casing to Prevent Uncontrollable Melting of Ice and Borehole Instability in Permafrost. Processes, 12(7), 1389. https://doi.org/10.3390/pr12071389

