Study on Flow and Heat Transfer in Single Rock Fractures for Geothermal Heat Extraction
Abstract
1. Introduction
2. Numerical Model
2.1. Model Setup
2.2. Numerical Governing Equations and Boundary Conditions
2.3. The Overall Heat Transfer Coefficient
3. Numerical Verification
4. Results and Discussion
4.1. Effect of Fracture Inner Surface Morphology on Flow Heat Transfer
4.2. Effect of Roughness Fracture Characteristics on Flow Heat Transfer
4.3. Heat Transfer Correlations in a Single Fracture
5. Conclusions
- As the fluid velocity within a single fracture increases, the OHTC increases significantly. Moreover, the greater roughness of the fracture inner surface enhances the heat transfer capability; the OHTC in a single fracture with an inner surface fractal dimension of 2.09 can be up to 1.215 times that of a parallel flat fracture when the flow velocity reaches 0.18 m/s. However, excessively high velocities lead to a reduction in heat transfer time within the fractures, ultimately resulting in a decrease in heat absorption and outlet temperature. Consequently, optimizing the flow parameters of the working fluid is paramount for efficient heat extraction.
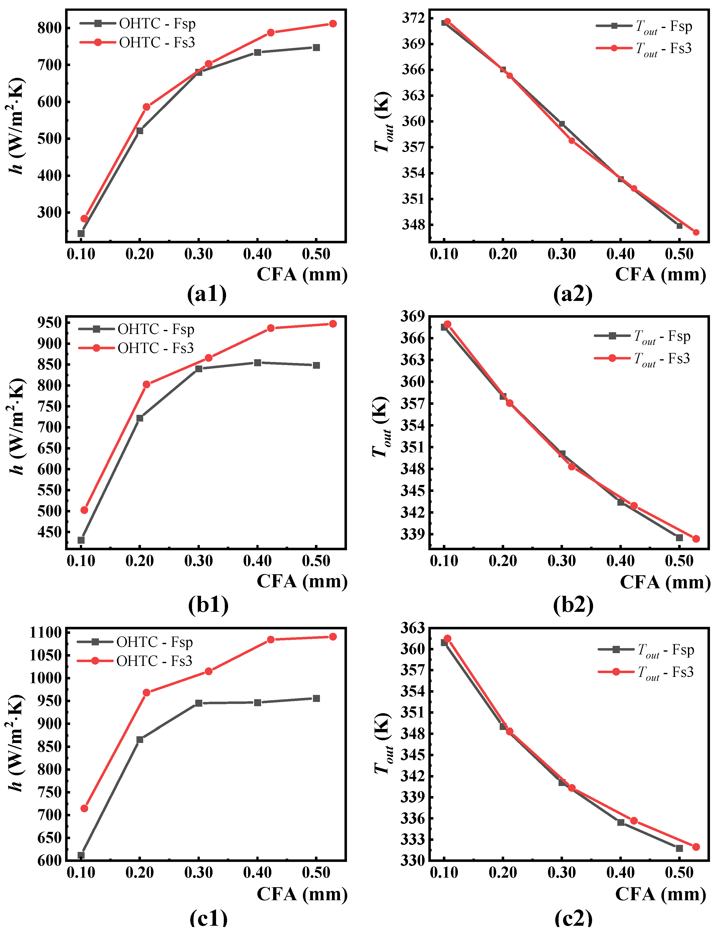
- The overall heat transfer coefficient (OHTC) increases with an increase in compound fracture aperture (CFA), indicating that both a rise in fracture aperture and roughness could effectively increase the OHTC. For a smaller CFA, enhancing the fracture aperture could have a decisive role in increasing the OHTC, but as the aperture reached a certain level, the influence of fracture surface roughness would gradually become more evident. Therefore, in the initial stage of reservoir development, creating fractures with larger apertures should be the primary goal, and the aperture emerges as a more sensitive optimization parameter for efficient heat extraction compared to the flow velocity.
- A correlation equation for flow and heat transfer characteristics within fractures (when Re < 60) has been derived, which provides more accurate estimates of the OHTC in rock fractures with different geometries and morphological features.
Author Contributions
Funding
Data Availability Statement
Conflicts of Interest
References
- Olasolo, P.; Juárez, M.C.; Morales, M.P.; D’Amico, S.; Liarte, I.A. Enhanced geothermal systems (EGS): A review. Renew. Sustain. Energy Rev. 2016, 56, 133–144. [Google Scholar] [CrossRef]
- Liu, G.; Yuan, Z.; Zhou, C.; Fu, Z.; Rao, Z.; Liao, S. Heat extraction of enhanced geothermal system: Impacts of fracture topological complexities. Appl. Therm. Eng. 2023, 219, 119236. [Google Scholar] [CrossRef]
- Liu, G.; Zhou, C.; Rao, Z.; Liao, S. Impacts of fracture network geometries on numerical simulation and performance prediction of enhanced geothermal systems. Renew. Energy 2021, 171, 492–504. [Google Scholar] [CrossRef]
- Ma, Y.; Zhang, Y.; Hu, Z.; Yu, Z.; Huang, Y.; Zhang, C. Experimental study of the heat transfer by water in rough fractures and the effect of fracture surface roughness on the heat transfer characteristics. Geothermics 2019, 81, 235–242. [Google Scholar] [CrossRef]
- Chen, Y.; Zhao, Z. Heat transfer in a 3D rough rock fracture with heterogeneous apertures. Int. J. Rock Mech. Min. Sci. 2020, 134, 104445. [Google Scholar] [CrossRef]
- Zhao, J.; Tso, C.P. Heat transfer by water flow in rock fractures and the application to hot dry rock geothermal systems. Int. J. Rock Mech. Min. Sci. Geomech. Abstr. 1993, 30, 633–641. [Google Scholar] [CrossRef]
- Ma, Y.; Zhang, Y.; Yu, Z.; Huang, Y.; Zhang, C. Heat transfer by water flowing through rough fractures and distribution of local heat transfer coefficient along the flow direction. Int. J. Heat Mass Transf. 2018, 119, 139–147. [Google Scholar] [CrossRef]
- Li, Z.-W.; Feng, X.-T.; Zhang, Y.-J.; Zhang, C.; Xu, T.-F.; Wang, Y.-S. Experimental research on the convection heat transfer characteristics of distilled water in manmade smooth and rough rock fractures. Energy 2017, 133, 206–218. [Google Scholar] [CrossRef]
- Luo, Y.; Xu, W.; Lei, Y.; Wu, P.; Qin, G.; Ba, R. Experimental study of heat transfer by water flowing through smooth and rough rock fractures. Energy Rep. 2019, 5, 1025–1029. [Google Scholar] [CrossRef]
- Bai, B.; He, Y.; Li, X.; Li, J.; Huang, X.; Zhu, J. Experimental and analytical study of the overall heat transfer coefficient of water flowing through a single fracture in a granite core. Appl. Therm. Eng. 2017, 116, 79–90. [Google Scholar] [CrossRef]
- Bai, B.; He, Y.; Hu, S.; Li, X. An Analytical Method for Determining the Convection Heat Transfer Coefficient Between Flowing Fluid and Rock Fracture Walls. Rock Mech. Rock Eng. 2017, 50, 1787–1799. [Google Scholar] [CrossRef]
- Huang, Y.; Zhang, Y.; Yu, Z.; Ma, Y.; Zhang, C. Experimental investigation of seepage and heat transfer in rough fractures for enhanced geothermal systems. Renew. Energy 2019, 135, 846–855. [Google Scholar] [CrossRef]
- He, Y.; Bai, B.; Hu, S.; Li, X. Effects of surface roughness on the heat transfer characteristics of water flow through a single granite fracture. Comput. Geotech. 2016, 80, 312–321. [Google Scholar] [CrossRef]
- Luo, J.; Qi, Y.; Zhao, Q.; Tan, L.; Xiang, W.; Rohn, J. Investigation of Flow and Heat Transfer Characteristics in Fractured Granite. Energies 2018, 11, 1228. [Google Scholar] [CrossRef]
- Li, J.; Ma, W.; Jiang, P.; Xu, R. Heat transfer characterizations of water flow through a single fracture with integrating water dissolution effects for the Enhanced Geothermal Systems. Appl. Therm. Eng. 2024, 239, 122133. [Google Scholar] [CrossRef]
- Shu, B.; Zhu, R.; Elsworth, D.; Dick, J.; Liu, S.; Tan, J.; Zhang, S. Effect of temperature and confining pressure on the evolution of hydraulic and heat transfer properties of geothermal fracture in granite. Appl. Energy 2020, 272, 115290. [Google Scholar] [CrossRef]
- Frank, S.; Heinze, T.; Pollak, S.; Wohnlich, S. Transient heat transfer processes in a single rock fracture at high flow rates. Geothermics 2021, 89, 101989. [Google Scholar] [CrossRef]
- Barton, N. Review of a New Shear-strength Criterion for Rock Joints. Eng. Geol. 1973, 7, 287–332. [Google Scholar] [CrossRef]
- Gao, X.-F.; Zhang, Y.-J.; Huang, Y.-B.; Zhao, Y.; Ni, J.; Ma, J.-C. Numerical simulation of convective heat transfer characteristics of a rough single fracture in granite. Rock Soil Mech. 2020, 41, 1761–1769. [Google Scholar]
- Zhang, Y.-Z.; Sun, C.; Bao, Y.; Zhou, Q. How surface roughness reduces heat transport for small roughness heights in turbulent Rayleigh–Bénard convection. J. Fluid Mech. 2017, 836, R2. [Google Scholar] [CrossRef]
- Zhang, Q.; Luo, S.; Ma, H.; Wang, X.; Qian, J. Simulation on the water flow affected by the shape and density of roughness elements in a single rough fracture. J. Hydrol. 2019, 573, 456–468. [Google Scholar] [CrossRef]
- Ji, Y.; Yuan, K.; Chung, J.N. Numerical simulation of wall roughness on gaseous flow and heat transfer in a microchannel. Int. J. Heat Mass Transf. 2006, 49, 1329–1339. [Google Scholar] [CrossRef]
- Shishkina, O.; Wagner, C. Modelling the influence of wall roughness on heat transfer in thermal convection. J. Fluid Mech. 2011, 686, 568–582. [Google Scholar] [CrossRef]
- Thompson, M.E.; Brown, S.R. The effect of anisotropic surface roughness on flow and transport in fractures. J. Geophys. Res. Solid Earth 1991, 96, 21923–21932. [Google Scholar] [CrossRef]
- He, R.; Rong, G.; Tan, J.; Cheng, L. Numerical investigation of fracture morphology effect on heat transfer characteristics of water flow through a single fracture. Geothermics 2019, 82, 51–62. [Google Scholar] [CrossRef]
- He, R.; Rong, G.; Tan, J.; Phoon, K.-K. Analytical and numerical study on heat transfer coefficient between rock fracture walls and flowing fluid. Geothermics 2021, 95, 102122. [Google Scholar] [CrossRef]
- Bedre, M.G.; Anderson, B.J. Sensitivity analysis of low-temperature geothermal reservoirs: Effect of reservoir parameters on the direct use of geothermal energy. GRC Trans. 2012, 36, 7. [Google Scholar]
- Bai, B.; He, Y.Y.; Li, X.C. Numerical study on the heat transfer characteristics between supercritical carbon dioxide and granite fracture wall. Geothermics 2018, 75, 40–47. [Google Scholar] [CrossRef]
- Zhao, Z. On the heat transfer coefficient between rock fracture walls and flowing fluid. Comput. Geotech. 2014, 59, 105–111. [Google Scholar] [CrossRef]
- Zhang, L.; Jiang, P.; Wang, Z.; Xu, R. Convective heat transfer of supercritical CO2 in a rock fracture for enhanced geothermal systems. Appl. Therm. Eng. 2017, 115, 923–936. [Google Scholar] [CrossRef]
- Bai, B.; He, Y.; Li, X.; Hu, S.; Huang, X.; Li, J.; Zhu, J. Local heat transfer characteristics of water flowing through a single fracture within a cylindrical granite specimen. Environ. Earth Sci. 2016, 75, 1460. [Google Scholar] [CrossRef]
- Xie, H.P.; Sun, H.Q.; Ju, Y.; Feng, Z.G. Study on generation of rock fracture surfaces by using fractal interpolation. Int. J. Solids Struct. 2001, 38, 5765–5787. [Google Scholar] [CrossRef]
- Li, B.; Liu, R.; Jiang, Y. Influences of hydraulic gradient, surface roughness, intersecting angle, and scale effect on nonlinear flow behavior at single fracture intersections. J. Hydrol. 2016, 538, 440–453. [Google Scholar] [CrossRef]
- Tzelepis, V.; Moutsopoulos, K.N.; Papaspyros, J.N.E.; Tsihrintzis, V.A. Experimental investigation of flow behavior in smooth and rough artificial fractures. J. Hydrol. 2015, 521, 108–118. [Google Scholar] [CrossRef]
- Ranjith, P.G. An experimental study of single and two-phase fluid flow through fractured granite specimens. Environ. Earth Sci. 2010, 59, 1389–1395. [Google Scholar] [CrossRef]
- Shen, S.; Xu, J.L.; Zhou, J.J.; Chen, Y. Flow and heat transfer in microchannels with rough wall surface. Energy Conv. Manag. 2006, 47, 1311–1325. [Google Scholar] [CrossRef]
- Jarrahi, M.; Holländer, H. Numerical simulation of flow heterogeneities within a real rough fracture and its transmissivity. Energy Procedia 2017, 125, 353–362. [Google Scholar] [CrossRef]
- Yu, L.Y.; Liu, R.C.; Jiang, Y.J. A Review of Critical Conditions for the Onset of Nonlinear Fluid Flow in Rock Fractures. Geofluids 2017, 2017, 2176932. [Google Scholar] [CrossRef]
- Xing, K.; Qian, J.; Zhao, W.; Ma, H.; Ma, L. Experimental and numerical study for the inertial dependence of non-Darcy coefficient in rough single fractures. J. Hydrol. 2021, 603, 127148. [Google Scholar] [CrossRef]
- Zhou, J.Q.; Hu, S.H.; Fang, S.; Chen, Y.F.; Zhou, C.B. Nonlinear flow behavior at low Reynolds numbers through rough-walled fractures subjected to normal compressive loading. Int. J. Rock Mech. Min. Sci. 2015, 80, 202–218. [Google Scholar] [CrossRef]
- Rong, G.; Tan, J.; Zhan, H.; He, R.; Zhang, Z. Quantitative evaluation of fracture geometry influence on nonlinear flow in a single rock fracture. J. Hydrol. 2020, 589, 125162. [Google Scholar] [CrossRef]
- Zhang, G.; Zhu, J.; Li, J.; Wang, Q. The analytical solution of the water–rock heat transfer coefficient and sensitivity analyses of parameters. In Proceedings of the World Geothermal Congress 2015, Melbourne, Australia, 19–24 April 2015. [Google Scholar]
- Heinze, T.; Hamidi, S.; Galvan, B. A dynamic heat transfer coefficient between fractured rock and flowing fluid. Geothermics 2017, 65, 10–16. [Google Scholar] [CrossRef]










| The Single Fracture Models | Fracture Surfaces | Characterization of the Fracture Surface | Projected Sizes of the Fracture Surface (mm) | Aperture (b/mm) | The CFA with Corresponding Apertures (mm) |
|---|---|---|---|---|---|
| FSp | sp | Parallel plate | 50 × 100 | 0.1, 0.2, 0.3, 0.4, 0.5 | 0.100, 0.200, 0.300, 0.400, 0.500 |
| FS1 | s1 | D = 2.003 | 0.100, 0.201, 0.301, 0.402, 0.502 | ||
| FS2 | s2 | D = 2.018 | 0.100, 0.201, 0.301, 0.402, 0.502 | ||
| FS3 | s3 | D = 2.090 | 0.106, 0.212, 0.317, 0.423, 0.529 | ||
| FS0 | s0 | JRC: 16–18 | 0.2 | -- |
Disclaimer/Publisher’s Note: The statements, opinions and data contained in all publications are solely those of the individual author(s) and contributor(s) and not of MDPI and/or the editor(s). MDPI and/or the editor(s) disclaim responsibility for any injury to people or property resulting from any ideas, methods, instructions or products referred to in the content. |
© 2024 by the authors. Licensee MDPI, Basel, Switzerland. This article is an open access article distributed under the terms and conditions of the Creative Commons Attribution (CC BY) license (https://creativecommons.org/licenses/by/4.0/).
Share and Cite
Li, D.; Liu, G.; Liao, S. Study on Flow and Heat Transfer in Single Rock Fractures for Geothermal Heat Extraction. Processes 2024, 12, 363. https://doi.org/10.3390/pr12020363
Li D, Liu G, Liao S. Study on Flow and Heat Transfer in Single Rock Fractures for Geothermal Heat Extraction. Processes. 2024; 12(2):363. https://doi.org/10.3390/pr12020363
Chicago/Turabian StyleLi, Duanru, Gang Liu, and Shengming Liao. 2024. "Study on Flow and Heat Transfer in Single Rock Fractures for Geothermal Heat Extraction" Processes 12, no. 2: 363. https://doi.org/10.3390/pr12020363
APA StyleLi, D., Liu, G., & Liao, S. (2024). Study on Flow and Heat Transfer in Single Rock Fractures for Geothermal Heat Extraction. Processes, 12(2), 363. https://doi.org/10.3390/pr12020363

