Use of Deep-Learning-Accelerated Gradient Approximation for Reservoir Geological Parameter Estimation
Abstract
1. Introduction
2. Definition of Adjoint-Based Parameter Estimation for Reservoir Model
3. Formula of Model-Reduced Adjoint Modeling
3.1. Model-Order Reduction Approach
3.2. Model-Reduced Adjoint Modeling
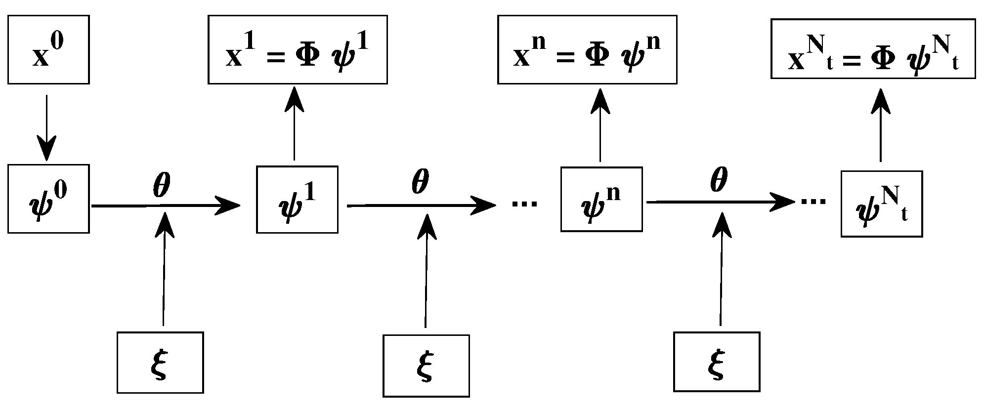
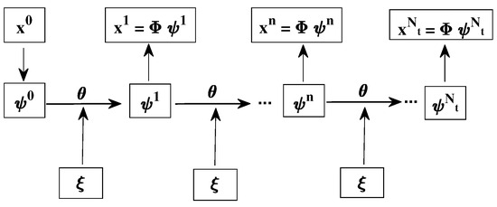
4. Projection-Based Autogressive Neural Network (POD-aNN)
4.1. Description of Neural Network Architecture
4.2. Samples Preparation and Training Procedure
4.3. Model-Reduced Adjoint-Based Data Assimilation Using POD-aNN
- The changes of objective functions at two consecutive iterations are very small, i.e.,
- The changes of updated parameters at two consecutive iterations are very small, i.e.,
| Algorithm 1: Model-reduced adjoint-based parameter estimation using POD-aNN surrogate model. |
![]() |
5. Illustrative Example and Results
5.1. Description of Subsurface Transport Model
5.2. Construction of Projection-Based Autogressive Neural Network
Implementation of Model-Order Reduction
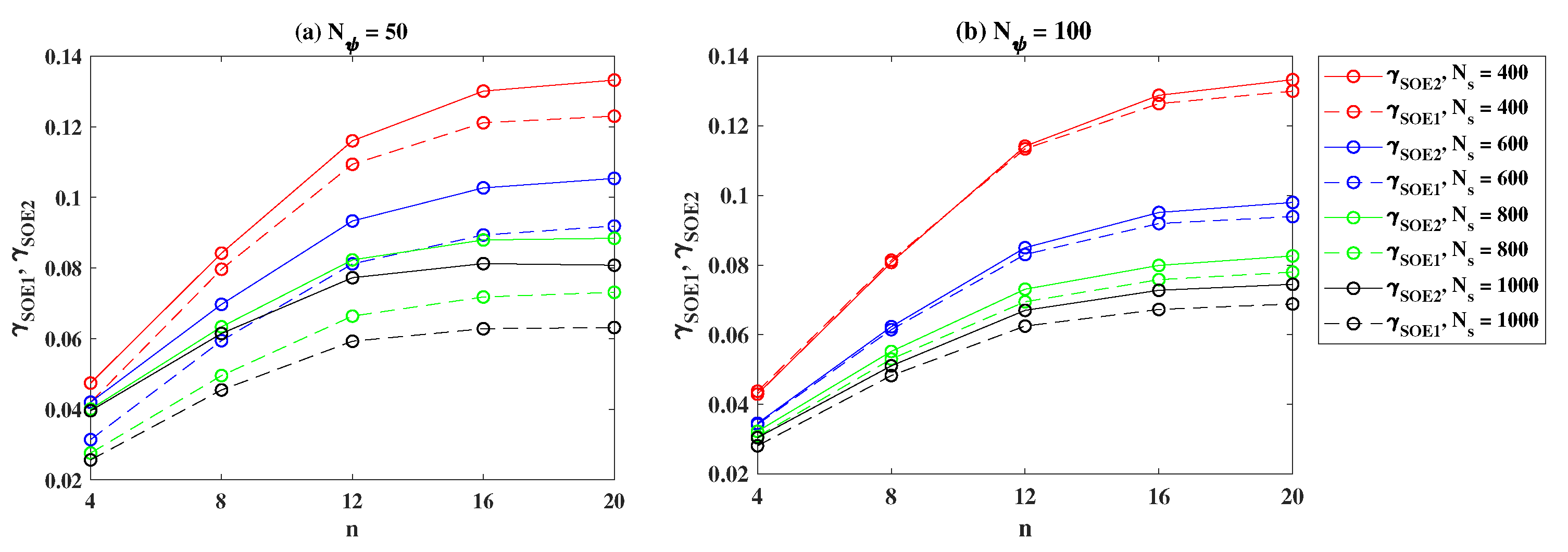
5.3. Accuracy Evaluation of POD-aNN Neural Network Model
5.4. Results of Geological Parameter Estimation
5.4.1. Scenario 1—Sparse Measurements
5.4.2. Scenario 2—Assimilation of Spatially Dense Measurements
6. Discussion
6.1. Comments on Computational Cost
6.2. Comments on the Scalability of POD-aNN
7. Conclusions
Author Contributions
Funding
Data Availability Statement
Acknowledgments
Conflicts of Interest
References
- Plessix, R.E. A review of the adjoint-state method for computing the gradient of a functional with geophysical applications. Geophys. J. Int. 2006, 167, 495–503. [Google Scholar] [CrossRef]
- Razavi, S.; Tolson, B.A.; Burn, D.H. Review of surrogate modeling in water resources. Water Resour. Res. 2012, 48. [Google Scholar] [CrossRef]
- Asher, M.J.; Croke, B.F.; Jakeman, A.J.; Peeters, L.J. A review of surrogate models and their application to groundwater modeling. Water Resour. Res. 2015, 51, 5957–5973. [Google Scholar] [CrossRef]
- Vermeulen, P.; Heemink, A. Model-reduced variational data assimilation. Mon. Weather. Rev. 2006, 134, 2888–2899. [Google Scholar] [CrossRef]
- Altaf, M.U.; Heemink, A.W.; Verlaan, M. Inverse shallow-water flow modeling using model reduction. Int. J. Multiscale Comput. Eng. 2009, 7, 577–594. [Google Scholar] [CrossRef]
- Xiao, D.; Fang, F.; Buchan, A.G.; Pain, C.C.; Navon, I.M.; Du, J.; Hu, G. Non-linear model reduction for the Navier–Stokes equations using residual DEIM method. J. Comput. Phys. 2014, 263, 1–18. [Google Scholar] [CrossRef]
- Xiao, D.; Yang, P.; Fang, F.; Xiang, J.; Pain, C.C.; Navon, I.M. Non-intrusive reduced order modelling of fluid–structure interactions. Comput. Methods Appl. Mech. Eng. 2016, 303, 35–54. [Google Scholar] [CrossRef]
- Heijn, T.; Markovinovic, R.; Jansen, J.D. Generation of low-order reservoir models using system-theoretical concepts. In Proceedings of the SPE Reservoir Simulation Symposium, Houston, TX, USA, 3–5 February 2003. [Google Scholar]
- Dai, C.; Xue, L.; Zhang, D.; Guadagnini, A. Data-worth analysis through probabilistic collocation-based Ensemble Kalman Filter. J. Hydrol. 2016, 540, 488–503. [Google Scholar] [CrossRef]
- Roy, P.T.; El Moçayd, N.; Ricci, S.; Jouhaud, J.C.; Goutal, N.; De Lozzo, M.; Rochoux, M.C. Comparison of polynomial chaos and Gaussian process surrogates for uncertainty quantification and correlation estimation of spatially distributed open-channel steady flows. Stoch. Environ. Res. Risk Assess. 2018, 32, 1723–1741. [Google Scholar] [CrossRef]
- Fang, F.; Zhang, T.; Pavlidis, D.; Pain, C.C.; Buchan, A.G.; Navon, I.M. Reduced order modelling of an unstructured mesh air pollution model and application in 2D/3D urban street canyons. Atmos. Environ. 2014, 96, 96–106. [Google Scholar] [CrossRef]
- Ahmadi, M.A. Developing a robust surrogate model of chemical flooding based on the artificial neural network for enhanced oil recovery implications. Math. Probl. Eng. 2015, 2015, 1–9. [Google Scholar] [CrossRef]
- Savchenko, A. Probabilistic Neural Network with Complex Exponential Activation Functions in Image Recognition using Deep Learning Framework. IEEE Trans. Neural Netw. Learn. Syst. 2017, 31, 651–660. [Google Scholar] [CrossRef] [PubMed]
- Heo, Y.J.; Kim, S.J.; Kim, D.; Lee, K.; Chung, W.K. Super-High-Purity Seed Sorter Using Low-Latency Image-Recognition Based on Deep Learning. IEEE Robot. Autom. Lett. 2018, 3, 3035–3042. [Google Scholar] [CrossRef]
- Young, T.; Hazarika, D.; Poria, S.; Cambria, E. Recent Trends in Deep Learning Based Natural Language Processing. IEEE Comput. Intell. Mag. 2018, 13, 55–75. [Google Scholar] [CrossRef]
- He, X.; Gao, J.; Deng, L. Deep Learning for Natural Language Processing: Theory and Practice (Tutorial). In Proceedings of the ACM International Conference on Information and Knowledge Management, Shanghai, China, 3–7 November 2024. [Google Scholar]
- Jin, Z.L.; Liu, Y.; Durlofsky, L.J. Deep-learning-based reduced-order modeling for subsurface flow simulation. arXiv 2019, arXiv:1906.03729. [Google Scholar]
- Tang, M.; Liu, Y.; Durlofsky, L.J. A deep-learning-based surrogate model for data assimilation in dynamic subsurface flow problems. arXiv 2019, arXiv:1908.05823. [Google Scholar] [CrossRef]
- Abadi, M.; Agarwal, A.; Barham, P.; Brevdo, E.; Chen, Z.; Citro, C.; Corrado, G.S.; Davis, A.; Dean, J.; Devin, M.; et al. Tensorflow: Large-scale machine learning on heterogeneous distributed systems. arXiv 2016, arXiv:1603.04467. [Google Scholar]
- Paszke, A.; Gross, S.; Massa, F.; Lerer, A.; Bradbury, J.; Chanan, G.; Killeen, T.; Lin, Z.; Gimelshein, N.; Antiga, L.; et al. PyTorch: An imperative style, high-performance deep learning library. Adv. Neural Inf. Process. Syst. 2019, 32, 8024–8035. [Google Scholar]
- Kani, J.N.; Elsheikh, A.H. Reduced order modeling of subsurface multiphase flow models using deep residual recurrent neural networks. Transp. Porous Media 2018, 126, 713–741. [Google Scholar] [CrossRef]
- Mo, S.; Zabaras, N.; Shi, X.; Wu, J. Deep autoregressive neural networks for high-dimensional inverse problems in groundwater contaminant source identification. Water Resour. Res. 2018, 55, 3856–3881. [Google Scholar] [CrossRef]
- Mo, S.; Zhu, Y.; Zabaras, N.; Shi, X.; Wu, J. Deep convolutional encoder-decoder networks for uncertainty quantification of dynamic multiphase flow in heterogeneous media. Water Resour. Res. 2019, 55, 703–728. [Google Scholar] [CrossRef]
- Xuan, Y.; Lyu, H.; An, W.; Liu, J.; Liu, X. A data-driven deep learning approach for predicting separation-induced transition of submarines. Phys. Fluids 2022, 34, 024101. [Google Scholar] [CrossRef]
- Bukka, S.R.; Gupta, R.; Magee, A.R.; Jaiman, R.K. Assessment of unsteady flow predictions using hybrid deep learning based reduced-order models. Phys. Fluids 2021, 33, 013601. [Google Scholar] [CrossRef]
- El Haber, G.; Viquerat, J.; Larcher, A.; Ryckelynck, D.; Alves, J.; Patil, A.; Hachem, E. Deep learning model to assist multiphysics conjugate problems. Phys. Fluids 2022, 34, 015131. [Google Scholar] [CrossRef]
- Li, Z.; Su, L.; Wen, F.; Zeng, J.; Wang, S.; Zhang, J. Deep learning method for fast prediction of film cooling performance. Phys. Fluids 2022, 34, 047111. [Google Scholar] [CrossRef]
- Liu, B.; Tang, J.; Huang, H.; Lu, X.Y. Deep learning methods for super-resolution reconstruction of turbulent flows. Phys. Fluids 2020, 32, 025105. [Google Scholar] [CrossRef]
- Cardoso, M.A.; Durlofsky, L.J.; Sarma, P. Development and application of reduced-order modeling procedures for subsurface flow simulation. Int. J. Numer. Methods Eng. 2009, 77, 1322–1350. [Google Scholar] [CrossRef]
- Kaleta, M.P.; Hanea, R.G.; Heemink, A.W.; Jansen, J.D. Model-reduced gradient-based history matching. Comput. Geosci. 2011, 15, 135–153. [Google Scholar] [CrossRef]
- Xiao, C.; Leeuwenburgh, O.; Lin, H.X.; Heemink, A. Non-intrusive subdomain POD-TPWL for reservoir history matching. Comput. Geosci. 2019, 23, 537–565. [Google Scholar] [CrossRef]
- Xiao, C.; Leeuwenburgh, O.; Lin, H.X.; Heemink, A. Efficient estimation of space varying parameters in numerical models using non-intrusive subdomain reduced order modeling. J. Comput. Phys. 2021, 424, 109867. [Google Scholar] [CrossRef]
- Chaturantabut, S.; Sorensen, D.C. Nonlinear Model Reduction via Discrete Empirical Interpolation. SIAM J. Sci. Comput. 2010, 32, 2737–2764. [Google Scholar] [CrossRef]
- Yang, Y.; Ghasemi, M.; Gildin, E.; Efendiev, Y.; Calo, V. Fast Multiscale Reservoir Simulations with POD-DEIM Model Reduction. SPE J. 2016, 21, 2141–2154. [Google Scholar] [CrossRef]
- Ghasemi, M.; Yang, Y.; Gildin, E.; Efendiev, Y.; Calo, V. Fast Multiscale Reservoir Simulations using POD-DEIM Model Reduction. In Proceedings of the SPE Reservoir Simulation Symposium, Houston, TX, USA, 23–25 February 2015. [Google Scholar]
- Gildin, E.; Ghasemi, M.; Romanovskay, A.; Efendiev, Y. Nonlinear Complexity Reduction for Fast Simulation of Flow in Heterogeneous Porous Media. In Proceedings of the SPE Reservoir Simulation Symposium, The Woodlands, TX, USA, 18–20 February 2013. [Google Scholar] [CrossRef]
- Haltmeier, M.; Antholzer, S.; Schwab, J.; Nuster, R. Photoacoustic image reconstruction via deep learning. In Proceedings of the Photons Plus Ultrasound: Imaging and Sensing 2018, San Francisco, CA, USA, 27 January–1 February 2018. [Google Scholar] [CrossRef]
- Wu, Y.; Lin, Y. InversionNet: An Efficient and Accurate Data-Driven Full Waveform Inversion. IEEE Trans. Comput. Imaging 2020, 6, 419–433. [Google Scholar] [CrossRef]
- Xiao, C.; Deng, Y.; Wang, G. Deep-Learning-Based Adjoint State Method: Methodology and Preliminary Application to Inverse Modeling. Water Resour. Res. 2021, 57, e2020WR027400. [Google Scholar] [CrossRef]
- Xiao, C.; Leeuwenburgh, O.; Lin, H.X.; Heemink, A. Conditioning of deep-learning surrogate models to image data with application to reservoir characterization. Knowl.-Based Syst. 2021, 220, 106956. [Google Scholar] [CrossRef]
- Xiao, C.; Lin, H.X.; Leeuwenburgh, O.; Heemink, A. Surrogate-assisted inversion for large-scale history matching: Comparative study between projection-based reduced-order modeling and deep neural network. J. Pet. Sci. Eng. 2022, 208, 109287. [Google Scholar] [CrossRef]
- Mohan, A.T.; Gaitonde, D.V. A deep learning based approach to reduced order modeling for turbulent flow control using LSTM neural networks. arXiv 2018, arXiv:1804.09269. [Google Scholar]
- Wu, P.; Sun, J.; Chang, X.; Zhang, W.; Arcucci, R.; Guo, Y.; Pain, C.C. Data-driven reduced order model with temporal convolutional neural network. Comput. Methods Appl. Mech. Eng. 2020, 360, 112766. [Google Scholar] [CrossRef]
- Cheung, S.W.; Chung, E.T.; Efendiev, Y.; Gildin, E.; Wang, Y.; Zhang, J. Deep global model reduction learning in porous media flow simulation. Comput. Geosci. 2020, 24, 261–274. [Google Scholar] [CrossRef]
- Wang, J.; He, C.; Li, R.; Chen, H.; Zhai, C.; Zhang, M. Flow field prediction of supercritical airfoils via variational autoencoder based deep learning framework. Phys. Fluids 2021, 33, 086108. [Google Scholar] [CrossRef]
- Xiao, C.; Zhang, S.; Ma, X.; Jin, J.; Zhou, T. Model-reduced adjoint-based inversion using deep-learning: Example of geological carbon sequestration modelling. Water Resour. Res. 2022, 58, e2021WR031041. [Google Scholar] [CrossRef]
- Xiao, C.; Zhang, S.; Ma, X. Projection-based autoregressive neural network for model-reduced adjoint-based variational data assimilation. In Proceedings of the 82nd EAGE Annual Conference & Exhibition, European Association of Geoscientists & Engineers, Amsterdam, The Netherlands, 18–21 October 2021; Volume 2021, pp. 1–5. [Google Scholar]
- Peaceman, D.W. Fundamentals of Numerical Reservoir Simulation; Elsevier Scientific Publishing Company: Amsterdam, The Netherlands, 1977. [Google Scholar]
- Dwight, R.P.; Brezillon, J. Effect of approximations of the discrete adjoint on gradient-based optimization. AIAA J. 2006, 44, 3022–3031. [Google Scholar] [CrossRef]
- Protas, B. Adjoint-based optimization of PDE systems with alternative gradients. J. Comput. Phys. 2008, 227, 6490–6510. [Google Scholar] [CrossRef]
- Xiao, C.; Leeuwenburgh, O.; Lin, H.X.; Heemink, A. Subdomain POD-TPWL with Local Parameterization for Large-Scale Reservoir History Matching Problems. arXiv 2019, arXiv:1901.08059. [Google Scholar]
- Nocedal, J.W.S. Numerical Optimization; Springer: Berlin/Heidelberg, Germany, 1999; pp. 29–76. [Google Scholar]
- Fukunaga, K.; Koontz, W.L. Application of the Karhunen-Loeve expansion to feature selection and ordering. IEEE Trans. Comput. 1970, 100, 311–318. [Google Scholar] [CrossRef]
- He, K.; Zhang, X.; Ren, S.; Sun, J. Identity Mappings in Deep Residual Networks. In Computer Vision—ECCV 2016; Springer: Cham, Switzerland, 2016. [Google Scholar]
- Lie, K.A.; Krogstad, S.; Ligaarden, I.S.; Natvig, J.R.; Nilsen, H.M.; Skaflestad, B. Open-source MATLAB implementation of consistent discretisations on complex grids. Comput. Geosci. 2012, 16, 297–322. [Google Scholar] [CrossRef]
- Deutsch, C.V.; Journel, A.G. GSLIB: Geostatistical Software Library and User’s Guide. New York 1992, 119, 578. [Google Scholar]

















| Description of Parameters | Values |
|---|---|
| Grid size, × | 20 × 20 |
| Fluid density | 1014 kg/m3, 859 kg/m3 |
| Fluid viscosity | 0.4 mP·s, 2 mP·s |
| Initial oil, water saturation | = 0.80, = 0.20 |
| Initial formation pressure | 30 MPa |
| Bottom-hole pressure for pumping wells | 25 MPa |
| Pumping rate for injection well | 150 m3/day |
| Pumping time | 1800 days |
| Hyperparameters | |
| Training samples, | 400, 600, 800, 1000 |
| Testing samples, | 200 |
| Learning rate | 0.0003 |
| Optimizer | |
| Batch size | 200 |
| Epochs number | 300 |
| Layer | Input Size | Output Size |
|---|---|---|
| Input | ( + , 1) | (140, 2) |
| (140, 2) | (140, 2) | |
| (140, 2) | (130, 2) | |
| (130, 2) | (130, 2) | |
| (130, 2) | (120, 2) | |
| (120, 2) | (120, 2) | |
| (120, 2) | (240, 1) | |
| (240, 1) | (, 1) |
Disclaimer/Publisher’s Note: The statements, opinions and data contained in all publications are solely those of the individual author(s) and contributor(s) and not of MDPI and/or the editor(s). MDPI and/or the editor(s) disclaim responsibility for any injury to people or property resulting from any ideas, methods, instructions or products referred to in the content. |
© 2024 by the authors. Licensee MDPI, Basel, Switzerland. This article is an open access article distributed under the terms and conditions of the Creative Commons Attribution (CC BY) license (https://creativecommons.org/licenses/by/4.0/).
Share and Cite
Xiao, C.; Liu, T.; Zhang, L.; Li, Z. Use of Deep-Learning-Accelerated Gradient Approximation for Reservoir Geological Parameter Estimation. Processes 2024, 12, 2302. https://doi.org/10.3390/pr12102302
Xiao C, Liu T, Zhang L, Li Z. Use of Deep-Learning-Accelerated Gradient Approximation for Reservoir Geological Parameter Estimation. Processes. 2024; 12(10):2302. https://doi.org/10.3390/pr12102302
Chicago/Turabian StyleXiao, Cong, Ting Liu, Lufeng Zhang, and Zhun Li. 2024. "Use of Deep-Learning-Accelerated Gradient Approximation for Reservoir Geological Parameter Estimation" Processes 12, no. 10: 2302. https://doi.org/10.3390/pr12102302
APA StyleXiao, C., Liu, T., Zhang, L., & Li, Z. (2024). Use of Deep-Learning-Accelerated Gradient Approximation for Reservoir Geological Parameter Estimation. Processes, 12(10), 2302. https://doi.org/10.3390/pr12102302

