An Improved Rotor Position and Speed Estimation Method for PMSM with Hall Sensors
Abstract
1. Introduction
2. Operating Characteristics of a Hall Sensor
2.1. Acquisition of Speed Based on Hall Sensors
2.2. The Conventional Rotor Position Estimation Method
3. The Proposed Estimation Method
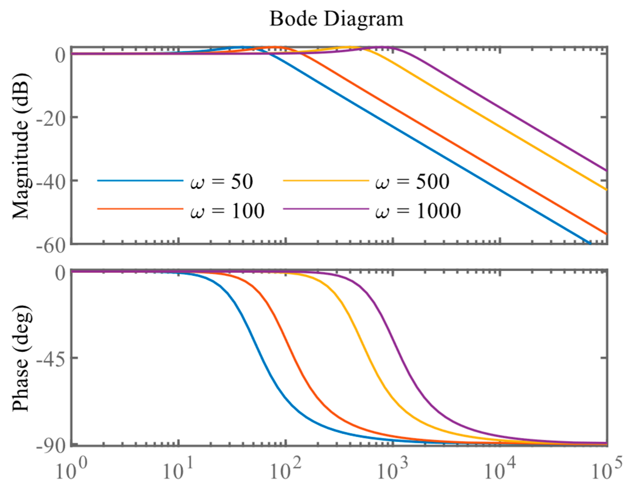
3.1. Speed Optimization Algorithm
3.2. The Optimized PLL Algorithm
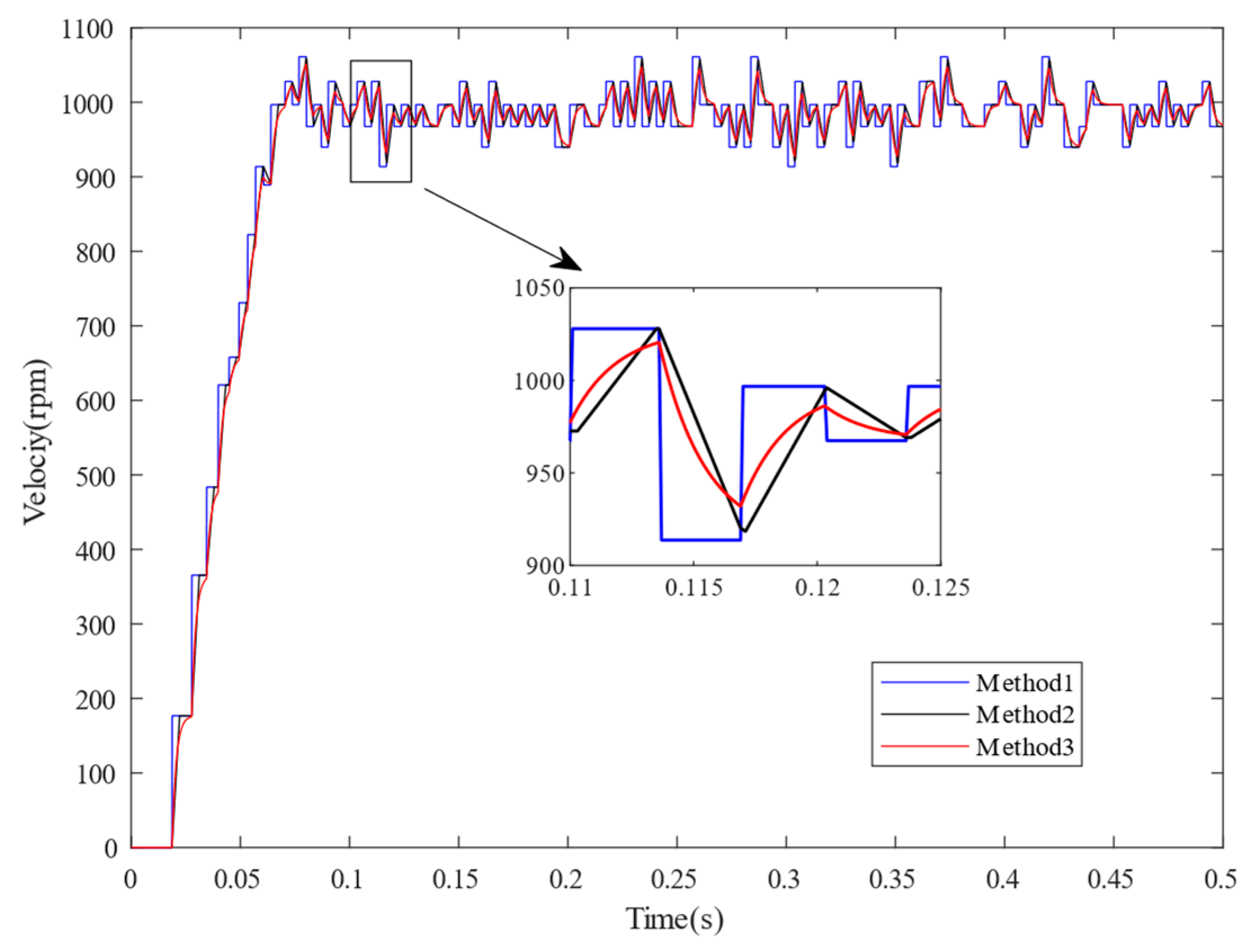
4. Simulation Results
5. Experimental Results
6. Conclusions
Author Contributions
Funding
Data Availability Statement
Conflicts of Interest
References
- Li, X.; Zhang, S.; Zhang, C.; Zhou, Y.; Yuan, X.; Dong, Y. Model Predictive Control with Duty Ratio Modulation for Open-Winding PMSM Drives with Common DC Bus. IEEE Trans. Power Electron. 2023, 38, 15287–15299. [Google Scholar] [CrossRef]
- Chakraborty, C.; Verma, V. Speed and Current Sensor Fault Detection and Isolation Technique for Induction Motor Drive Using Axes Transformation. IEEE Trans. Ind. Electron. 2015, 62, 1943–1954. [Google Scholar] [CrossRef]
- Wang, Y.; Ahmed, H.; Zhang, H.; Hua, W. Feedforward PLLs for Motor Position Estimation using Embedded Magnetic Encoder. IEEE Sens. J. 2024, 24, 10307–10315. [Google Scholar] [CrossRef]
- Ni, Q.; Yang, M.; Odhano, S.A.; Tang, M.; Zanchetta, P.; Liu, X.; Xu, D. A New Position and Speed Estimation Scheme for Position Control of PMSM Drives Using Low-Resolution Position Sensors. IEEE Trans. Ind. Appl. 2019, 55, 3747–3758. [Google Scholar] [CrossRef]
- Song, X.; Fang, J.; Han, B. High-Precision Rotor Position Detection for High-Speed Surface PMSM Drive Based on Linear Hall-Effect Sensors. IEEE Trans. Power Electron. 2016, 31, 4720–4731. [Google Scholar]
- Wu, Z.; Cheng, C.; Hua, W.; Wang, Y.; Zhang, H.; Wang, W. A Frequency-Adaptive Delay Signal Cancelation Based Filter to Reduce Position Estimation Error for Sensorless IPMSM Drives. IEEE Trans. Power Electron. 2023, 38, 1662–1671. [Google Scholar] [CrossRef]
- Kano, Y.; Matsui, N. Sensorless control of interior permanent magnet synchronous motor: An overview and design study. In Proceedings of the 2017 IEEE Workshop on Electrical Machines Design, Control and Diagnosis (WEMDCD), Nottingham, UK, 20–21 April 2017; pp. 199–207. [Google Scholar]
- Lu, Q.; Wang, Y.; Mo, L.; Zhang, T. Pulsating High Frequency Voltage Injection Strategy for Sensorless Permanent Magnet Synchronous Motor Drives. IEEE Trans. Appl. Supercond. 2021, 31, 5204204. [Google Scholar] [CrossRef]
- Bi, G.; Zhang, G.; Wang, Q.; Ding, D.; Li, B.; Wang, G.; Xu, D. High-Frequency Injection Angle Self-Adjustment Based Online Position Error Suppression Method for Sensorless PMSM Drives. IEEE Trans. Power Electron. 2023, 38, 1412–1417. [Google Scholar] [CrossRef]
- Ge, Y.; Song, W.; Yang, Y.; Wheeler, P. A Polar-Coordinate-Multisignal-Flux-Observer-Based PMSM Non-PLL Sensorless Control. IEEE Trans. Power Electron. 2023, 38, 10579–10583. [Google Scholar] [CrossRef]
- Wu, L.; Lyu, Z.; Chen, Z.; Liu, J.; Lu, Y. An Enhanced Sensorless Control Scheme for PMSM Drives Considering Self-inductance Asymmetry. CES Trans. Electr. Mach. Syst. 2022, 6, 384–392. [Google Scholar] [CrossRef]
- Tang, Q.; Shen, A.; Luo, X.; Xu, J. PMSM Sensorless Control by Injecting HF Pulsating Carrier Signal into ABC Frame. IEEE Trans. Power Electron. 2017, 32, 3767–3776. [Google Scholar] [CrossRef]
- Zhang, X.; Zhao, Y.; Lin, H.; Riaz, S.; Elahi, H. Real-Time Fault Diagnosis and Fault-Tolerant Control Strategy for Hall Sensors in Permanent Magnet Brushless DC Motor Drives. Electronics 2021, 10, 1268. [Google Scholar] [CrossRef]
- Liu, G.; Chen, B.; Song, X. High-Precision Speed and Position Estimation Based on Hall Vector Frequency Tracking for PMSM With Bipolar Hall-Effect Sensors. IEEE Sens. J. 2019, 19, 2347–2355. [Google Scholar] [CrossRef]
- Xin, Z.-Z.; Wang, J.-J.; Zhao, H.-J. Rotor Position Estimation Using Harmonic-Decomposition Complex-Coefficient Filter-Based PLL for PMSM With Switch Hall-Effect Sensors. IEEE J. Emerg. Sel. Top. Power Electron. 2024, 12, 2249–2259. [Google Scholar] [CrossRef]
- Guo, C.; Gao, X.; Zhang, Q.; Zhu, Y. Fault Tolerance Method of Low-Resolution Hall Sensor in Permanent Magnet Synchronous Machine. IEEE Access 2022, 10, 119162–119169. [Google Scholar] [CrossRef]
- Morimoto, S.; Sanada, M.; Takeda, Y. Sinusoidal current drive system of permanent magnet synchronous motor with low resolution position sensor. In Proceedings of the 31st IAS Annual Meeting, Industry Applications Conference, San Diego, CA, USA, 6–10 October 1996; pp. 9–14. [Google Scholar]
- Capponi, F.G.; De Donato, G.; Del Ferraro, L. Brushless AC drive using an axial flux synchronous PM motor with low resolution position sensors. In Proceedings of the Power Electronics Specialists Conference, Aachen, Germany, 20–25 June 2004; pp. 2287–2292. [Google Scholar]
- Ozturk, S.B.; Akin, B.; Toliyat, H.A.; Ashrafzadeh, F. Low-cost direct torque control of permanent magnet synchronous motor using Hall-effect sensors. In Proceedings of the Twenty-First Annual IEEE Applied Power Electronics Conference and Exposition, (APEC '06), Dallas, TX, USA, 19–23 March 2006; p. 7. [Google Scholar]
- Kreindler, L.; Iacob, I.; Casaru, G.; Sarca, A.; Olteanu, R.; Matianu, D. PMSM drive using digital hall position sensors for light EV applications. In Proceedings of the 2015 9th International Symposium on Advanced Topics in Electrical Engineering (ATEE), Bucharest, Romania, 7–9 May 2015; pp. 199–204. [Google Scholar]
- Sorial, R.R.; Soliman, M.H.; Hasanien, H.M.; Talaat, H.E.A. A Vector Controlled Drive System for Electrically Power Assisted Steering Using Hall-Effect Sensors. IEEE Access 2021, 9, 116485–116499. [Google Scholar] [CrossRef]
- Zhang, X.; Zhang, W. An improved rotor position estimation in PMSM with low-resolution Hall-effect sensors. In Proceedings of the 17th International Conference on Electrical Machines and Systems (ICEMS), Hangzhou, China, 22–25 October 2014; pp. 2722–2727. [Google Scholar]
- Yang, A.; Lin, M.; Jia, L.; Lin, K. A Hall-Based Modified Finite Position Set-Phase Locked Loop for PMSM Control System in EVs. IEEE Trans. Appl. Supercond. 2024, 34, 5207505. [Google Scholar] [CrossRef]
- Zhao, Y.; Huang, W.; Yang, J.; Bu, F.; Liu, S. A PMSM rotor position estimation with low-cost Hall-effect sensors using improved PLL. In Proceedings of the 2016 IEEE Transportation Electrification Conference and Expo, Asia-Pacific (ITEC Asia-Pacific), Busan, Republic of Korea, 1–4 June 2016; pp. 804–807. [Google Scholar]
- Miguel-Espinar, C.; Heredero-Peris, D.; Igor-Gross, G.; Llonch-Masachs, M.; Montesinos-Miracle, D. Accurate Angle Representation from Misplaced Hall-Effect Switch Sensors for Low-Cost Electric Vehicle Applications. IEEE Trans. Ind. Appl. 2022, 58, 5227–5237. [Google Scholar] [CrossRef]
- Takayama, Y.; Urakubo, T.; Tamaki, H. Adaptive Choice of Process Noise Covariance in Kalman Filter Using Measurement Matrices. IEEE Trans. Control Syst. Technol. 2024, 32, 934–944. [Google Scholar] [CrossRef]



















| Parameters and Units | Values |
|---|---|
| Rated power (W) | 750 |
| Rated current (A) | 6 |
| Rated speed (RPM) | 4200 |
| Stator phase resistance (Ω) | 1.75 |
| D/Q axis inductance (mH) | 6.15 |
| Method | 420 rpm | 840 rpm | 1260 rpm | 1680 rpm |
|---|---|---|---|---|
| Method 1 | 0.0091 | 0.0225 | 0.0336 | 0.0447 |
| Method 2 | 0.0023 | 0.0042 | 0.0051 | 0.0054 |
| Method 3 | 0.0014 | 0.0038 | 0.0041 | 0.0043 |
| Method | THD (%) |
|---|---|
| Method 1 | 17.9461 |
| Method 2 | 13.2185 |
| Method 3 | 6.7559 |
Disclaimer/Publisher’s Note: The statements, opinions and data contained in all publications are solely those of the individual author(s) and contributor(s) and not of MDPI and/or the editor(s). MDPI and/or the editor(s) disclaim responsibility for any injury to people or property resulting from any ideas, methods, instructions or products referred to in the content. |
© 2024 by the authors. Licensee MDPI, Basel, Switzerland. This article is an open access article distributed under the terms and conditions of the Creative Commons Attribution (CC BY) license (https://creativecommons.org/licenses/by/4.0/).
Share and Cite
Li, W.; Zhang, Y.; Zhu, L. An Improved Rotor Position and Speed Estimation Method for PMSM with Hall Sensors. Processes 2024, 12, 2267. https://doi.org/10.3390/pr12102267
Li W, Zhang Y, Zhu L. An Improved Rotor Position and Speed Estimation Method for PMSM with Hall Sensors. Processes. 2024; 12(10):2267. https://doi.org/10.3390/pr12102267
Chicago/Turabian StyleLi, Wei, Yang Zhang, and Lixun Zhu. 2024. "An Improved Rotor Position and Speed Estimation Method for PMSM with Hall Sensors" Processes 12, no. 10: 2267. https://doi.org/10.3390/pr12102267
APA StyleLi, W., Zhang, Y., & Zhu, L. (2024). An Improved Rotor Position and Speed Estimation Method for PMSM with Hall Sensors. Processes, 12(10), 2267. https://doi.org/10.3390/pr12102267

