Small-Signal Stability Analysis and Voltage Control Parameter Design for DC Microgrids
Abstract
1. Introduction
2. High-Frequency Oscillation Instability of DC Microgrid
2.1. Topology Structure of DC Microgrid
2.2. High-Frequency Oscillation Instability Problem
3. Transfer Function Model of DC Microgrid
3.1. Transfer Function Model of Current Control Loop
3.2. Transfer Function Model of Voltage Control Loop
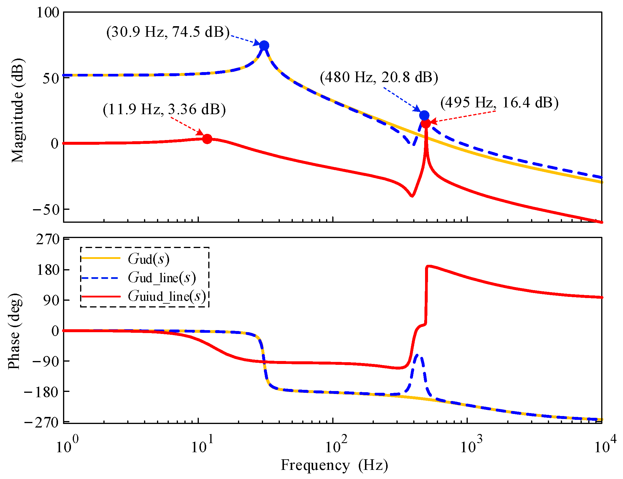
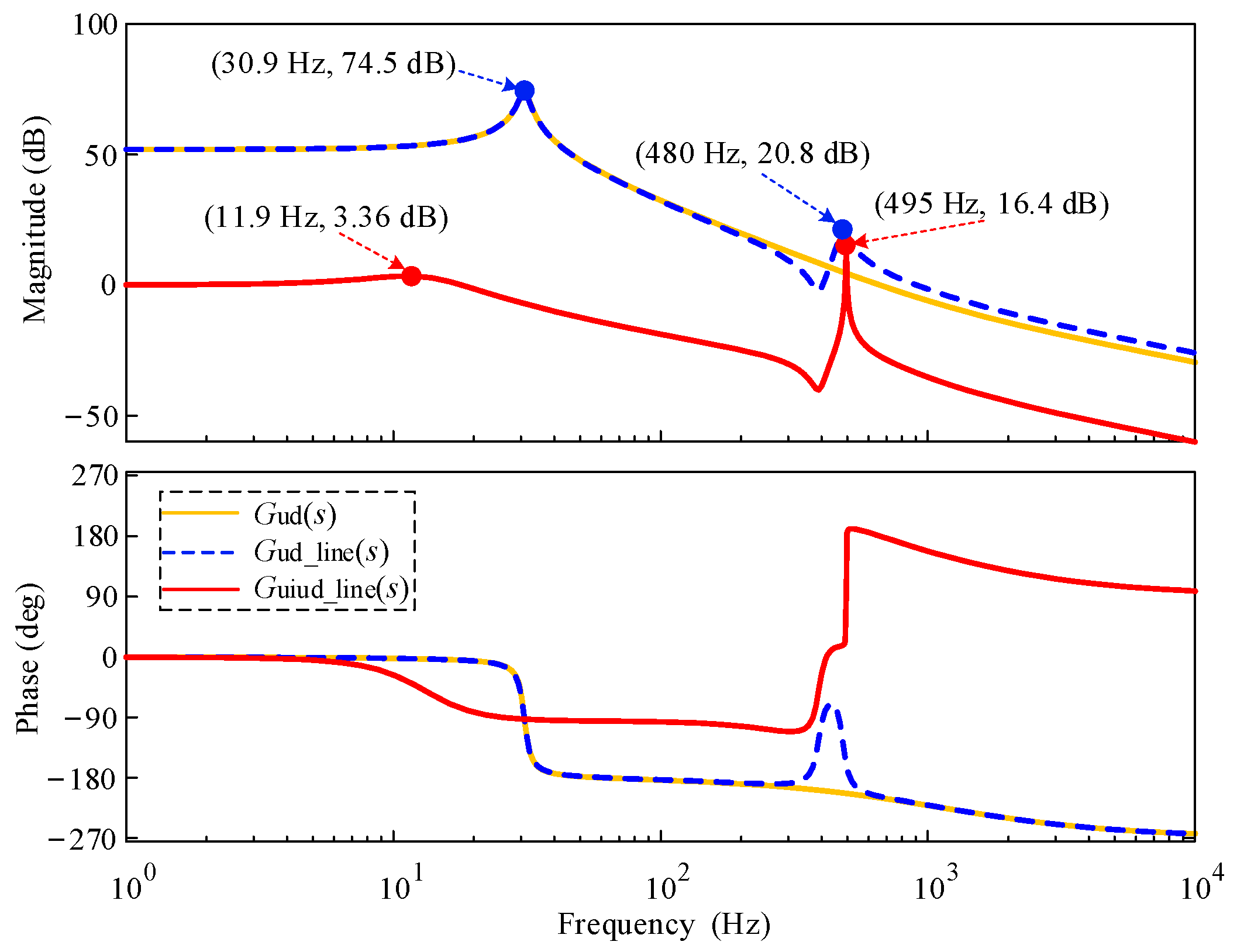
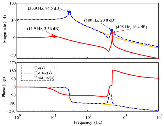
3.3. Theoretical Analysis Based on Transfer Function Model
4. Construction of Small-Signal Stability Domain
4.1. Small-Signal-Stability-Domain-Solving Algorithm
| Algorithm 1: small-signal stability domain solving algorithm |
| Input: Setting range of voltage-proportional coefficients (Kpumin, Kpumax); Setting range of voltage-integral coefficients (Kiumin, Kiumax); Number of sampling points (m) |
| Initialization: Kpu = Kpumin, a = (Kpumax − Kpumin)/m, Kiu = Kiumin, b = (Kiumax − Kiumin)/m |
| While Kiumax > Kiu |
| Kpu = Kpumin |
| While Kpumax > Kpu |
| Calculation of zeros and poles of the DC microgrid at this set of parameters |
| If the damping factor is positive at all poles |
| This group of parameters is located within the small-signal stability domain. Moreover, the information of the dominant poles is recorded. |
| else |
| This group of parameters is located outside the small-signal stability domain. |
| end |
| Kpu = Kpu + a |
| end |
| Kiu = Kiu + b |
| end |
| Output: The small-signal stability domain is constructed with the voltage-proportional coefficient, the voltage-integral coefficient, and the dominant poles (oscillation frequency and damping factor). |
4.2. Analysis of the Influence of Voltage Control Parameters on Oscillation Frequency Based on the Small-Signal Stability Domain
4.2.1. Theoretical Analysis
4.2.2. Experimental Validation
4.3. Analysis of the Influence of the Voltage Control Parameters on the Damping Factor Based on the Small-Signal Stability Domain
4.3.1. Theoretical Analysis
4.3.2. Experimental Validation
4.4. Theoretical Analysis and Experimental Verification of Traditional Active Damping Compensation Method
5. Theoretical Analysis and Experimental Validation
5.1. Influence of Current Proportional Coefficient
5.1.1. Theoretical Analysis
5.1.2. Experimental Validation
5.2. Influence of the Current-Integral Coefficient
5.2.1. Theoretical Analysis
5.2.2. Experimental Validation
6. Conclusions
- (1)
- Based on the small-signal stability domain, it is observed that the numerical relationship between the low-frequency oscillation frequency, voltage-proportional coefficient, and voltage-integral coefficient is nonlinear. Furthermore, as the voltage-integral coefficient increases, the low-frequency oscillation frequency also increases accordingly.
- (2)
- The linear numerical relationship between the damping factor, the voltage proportion coefficient, and the voltage integration coefficient is given by the small signal stability domain. And, as the voltage proportion coefficient increases, the damping factor also increases accordingly.
- (3)
- With the increase in the current-proportional coefficient, the small-signal stability domain also expands. However, as the current-integral coefficient increases, the small-signal stability domain shrinks.
- (4)
- Based on the small-signal stability domain, this design method can quantitatively design the voltage control parameters for the DC microgrid. Additionally, the theoretical oscillation frequencies of the DC microgrid under various sets of voltage control parameters are generally in close agreement with the experimental oscillation frequencies.
Author Contributions
Funding
Data Availability Statement
Conflicts of Interest
References
- Aghmadi, A.; Ali, O.; Sajjad Hossain Rafin, S.M.; Taha, R.A.; Ibrahim, A.M.; Mohammed, O.A. Hardware Implementation of Hybrid Data Driven-PI Control Scheme for Resilient Operation of Standalone DC Microgrid. Batteries 2024, 10, 297. [Google Scholar] [CrossRef]
- Wang, K.; Wang, C.; Yao, W.; Zhang, Z.; Liu, C.; Dong, X.; Yang, M.; Wang, Y. Embedding P2P transaction into demand response exchange: A cooperative demand response management framework for IES. Appl. Energy 2024, 367, 123319. [Google Scholar] [CrossRef]
- Zhang, Z.; Wang, C.; Wu, Q.; Dong, X. Optimal dispatch for cross-regional integrated energy system with renewable energy uncertainties: A unified spatial-temporal cooperative framework. Energy 2024, 292, 130433. [Google Scholar] [CrossRef]
- Luo, Q.; Wang, J.; Huang, X.; Li, S. A Fast State-of-Charge (SOC) Balancing and Current Sharing Control Strategy for Distributed Energy Storage Units in a DC Microgrid. Energies 2024, 17, 3885. [Google Scholar] [CrossRef]
- Xu, Z.; Chen, F.; Chen, K.; Lu, Q. Research on Adaptive Droop Control Strategy for a Solar-Storage DC Microgrid. Energies 2024, 17, 1454. [Google Scholar] [CrossRef]
- Liu, L.; Guo, Y.; Yin, W.; Lei, G.; Sun, X.; Zhu, J. Efficient Design Optimization of PMSM Drive Systems Using Improved Equivalent-Circuit-Based Loss Minimization Control. IEEE Trans. Ind. Electron. 2024; Early Access Article. [Google Scholar] [CrossRef]
- Deng, W.; Pei, W.; Zhuang, Y.; Zhang, X. Interaction behavior and stability analysis of low-voltage multi-terminal DC system. IEEE Trans. Power Deliv. 2022, 37, 3555–3566. [Google Scholar] [CrossRef]
- Pan, P.; Chen, W.; Shu, L.; Mu, H.; Zhang, K.; Zhu, M.; Deng, F. An impedance-based stability assessment methodology for DC distribution power system with multivoltage levels. IEEE Trans. Power Electron. 2020, 35, 4033–4047. [Google Scholar] [CrossRef]
- Du, W.; Zheng, K.; Wang, H. Oscillation instability of a DC microgrid caused by aggregation of same CPLs in parallel connection. IET Gener. Transm. Distrib. 2019, 13, 2637–2645. [Google Scholar] [CrossRef]
- Huang, Y.; Zhai, X.; Hu, J.; Liu, D.; Lin, C. Modeling and stability analysis of VSC internal voltage in DC-link voltage control timescale. IEEE J. Emerg. Sel. Top. Power Electron. 2018, 6, 16–28. [Google Scholar] [CrossRef]
- Guan, Y.; Xie, Y.; Wang, Y.; Liang, Y.; Wang, X. An Active Damping Strategy for Input Impedance of Bidirectional Dual Active Bridge DC–DC Converter: Modeling, Shaping, Design, and Experiment. IEEE Trans. Ind. Electron. 2021, 68, 1263–1274. [Google Scholar] [CrossRef]
- Hatziargyriou, N.; Milanovic, J.; Rahmann, C.; Ajjarapu, V.; Canizares, C.; Erlich, I.; Hill, D.; Hiskens, I.; Kamwa, I.; Pal, B.; et al. Definition and Classification of Power System Stability—Revisited & Extended. IEEE Trans. Power Syst. 2021, 36, 3271–3281. [Google Scholar]
- Hong, Y.; Li, Y.; Shuai, Z.; Yang, H. Low-frequency stability analysis of power electronic traction transformer based train-network system. CSEE J. Power Energy Syst. 2024, 10, 1608–1617. [Google Scholar]
- Chang, X.; Li, Y.; Li, X.; Chen, X. An active damping method based on a supercapacitor energy storage system to overcome the destabilizing effect of instantaneous constant power loads in DC microgrids. IEEE Trans. Energy Convers. 2016, 32, 36–47. [Google Scholar] [CrossRef]
- Guo, L.; Zhang, S.; Li, X.; Li, W.; Wang, C.; Feng, Y. Stability analysis and damping enhancement based on frequency-dependent virtual impedance for DC microgrids. IEEE J. Emerg. Sel. Top. Power Electron. 2017, 5, 338–350. [Google Scholar] [CrossRef]
- Abdollahi, H.; Arrua, S.; Roinila, T.; Santi, E. A novel DC power distribution system stabilization method based on adaptive resonance-enhanced voltage controller. IEEE Trans. Ind. Electron. 2019, 66, 5653–5662. [Google Scholar] [CrossRef]
- Zhang, Q.; Li, J.; Zhu, R.; Deng, F.; Sun, X.; An, S.; Liserre, M. Output impedance modeling and high-frequency impedance shaping method for distributed bidirectional DC–DC converters in DC microgrids. IEEE Trans. Power Electron. 2020, 35, 7001–7014. [Google Scholar] [CrossRef]
- Lorzadeh, O.; Lorzadeh, I.; Soltani, M.; Hajizadeh, A. Source-side virtual RC damper-based stabilization technique for cascaded systems in DC microgrids. IEEE Trans. Energy Convers. 2021, 36, 1883–1895. [Google Scholar] [CrossRef]
- Zhang, Y.; Qu, X.; Wang, G.; Chen, W.; Huang, Z. Investigation of Multiple Resonances and Stability Enhancement in Multi-Source DC Distribution Power Systems. IEEE J. Emerg. Sel. Top. Circuits Syst. 2022, 12, 90–97. [Google Scholar] [CrossRef]
- Jami, M.; Shafiee, Q.; Bevrani, H. Dynamic Improvement of DC Microgrids Using a Dual Approach Based on Virtual Inertia. J. Mod. Power Syst. Clean Energy 2022, 10, 667–677. [Google Scholar] [CrossRef]
- Derbas, A.A.; Oshnoei, A.; Azzouz, M.A.; Awad, A.S.A.; Blaabjerg, F.; Anvari-Moghaddam, A. Adaptive Damping Control to Enhance Small-Signal Stability of DC Microgrids. IEEE J. Emerg. Sel. Top. Power Electron. 2023, 11, 2963–2978. [Google Scholar] [CrossRef]
- Mohamad, A.; Mohamed, Y. Impedance-based analysis and stabilization of active DC distribution systems with positive feedback islanding detection schemes. IEEE Trans. Power Electron. 2018, 33, 9902–9922. [Google Scholar] [CrossRef]
- Guo, L.; Li, P.; Li, X.; Gao, F.; Huang, D.; Wang, C. Reduced-order modeling and dynamic stability analysis of MTDC systems in DC voltage control timescale. CSEE J. Power Energy Syst. 2019, 6, 591–600. [Google Scholar]
- Li, P.; Guo, L.; Li, X.; Wang, H.; Zhu, L.; Gao, F.; Zhu, J.; Wang, C. Reduced-order modeling and comparative dynamic analysis of DC voltage control in DC microgrids under different droop methods. IEEE Trans. Energy Convers. 2021, 36, 3317–3333. [Google Scholar] [CrossRef]
- Lin, G.; Liu, J.; Wang, P.; Rehtanz, C.; Li, Y.; Wang, S. Low-Frequency Oscillation Analysis of Virtual-Inertia-Controlled DC Microgrids Based on Multi-Timescale Impedance Model. IEEE Trans. Sustain. Energy 2022, 13, 1536–1552. [Google Scholar] [CrossRef]
- Lin, G.; Ma, J.; Li, Y.; Rehtanz, C.; Liu, J.; Wang, Z.; Wang, P.; She, F. A Virtual Inertia and Damping Control to Suppress Voltage Oscillation in Islanded DC Microgrid. IEEE Trans. Energy Convers. 2021, 36, 1711–1721. [Google Scholar] [CrossRef]
- Tu, H.; Yu, H.; Lukic, S. Dynamic Nonlinear Droop Control (DNDC): A Novel Primary Control Method for DC Microgrids. IEEE Trans. Power Electron. 2024, 39, 10934–10949. [Google Scholar] [CrossRef]
- Xie, W.; Han, M.; Cao, W.; Guerrero, J.M.; Vasquez, J.C. Virtual Resistance Tradeoff Design for DCMG Grid-Forming Converters Considering Static- and Large-Signal Dynamic Constraints. IEEE Trans. Power Electron. 2021, 36, 5582–5593. [Google Scholar] [CrossRef]
- Khodamoradi, A.; Abdollahi, H.; Santi, E.; Mattavelli, P. A loop gain-based technique for online bus impedance estimation and damping in DC microgrids. IEEE Trans. Power Electron. 2021, 36, 9648–9658. [Google Scholar] [CrossRef]
- Li, C.; Yang, Y.; Dragicevic, T.; Blaabjerg, F. A new perspective for relating virtual inertia with wideband oscillation of voltage in low-inertia DC microgrid. IEEE Trans. Ind. Electron. 2022, 69, 7029–7039. [Google Scholar] [CrossRef]
- Zhu, X.; Meng, F.; Xie, Z.; Yue, Y. An inertia and damping control method of DC–DC converter in DC microgrids. IEEE Trans. Energy Convers. 2020, 35, 799–807. [Google Scholar] [CrossRef]
- Liu, X.; Dong, C.; Qu, H.; Yu, G.; Su, S. Unified Reduced-Order Model for Low-Voltage DC Distribution Systems. In Proceedings of the 2023 5th Asia Energy and Electrical Engineering Symposium (AEEES), Chengdu, China, 23–26 March 2023; pp. 838–843. [Google Scholar]
































| Device | Parameters | Value |
|---|---|---|
| Battery storage converter | Input voltage | 100 V |
| Filter inductor/filter resistor | 2 mH/0.04 Ω | |
| Switching frequency | 10 kHz | |
| Filter capacitor | 2200 μF | |
| Droop coefficient | 0.5 | |
| Voltage proportional coefficient | 1 | |
| Voltage integral coefficient | 100 | |
| Current proportional coefficient | 0.02 | |
| Current integral coefficient | 40 | |
| DC line | Line resistor | 0.04 Ω |
| Line inductor | 0.3 mH | |
| Constant power load | Input filter capacitor | 2200 μF |
| Transfer Functions | Poles | Zeros |
|---|---|---|
| Gud_line(s) | 128 ± 3020 i; −7.58 ± 194 i | −125 ± 2460 i; 7130 |
| Guiud_line(s) | 4.07 ± 3110 i; −37.9 ± 73.8 i; −2070 ± 1950 i | −2000; −100; 7130 |
| Scenario | Kpi | Kii | Kpu | Kiu | Kd | fs | ζs |
|---|---|---|---|---|---|---|---|
| Group 1 parameters | 0.02 | 40 | 1 | 100 | 0.5 | 501 Hz | −0.0209 |
| Group 2 parameters | 0.02 | 40 | 0.332 | 121 | 0.5 | 506 Hz | −0.00323 |
| Group 3 parameters | 0.02 | 40 | 0.418 | 491 | 0.5 | 20 Hz | 0.450 |
| Group 4 parameters | 0.02 | 40 | 0.331 | 863 | 0.5 | 25 Hz | 0.200 |
| Group 5 parameters | 0.02 | 40 | 0.159 | 481 | 0.5 | 25 Hz | 0.200 |
| Group 6 parameters | 0.02 | 40 | 0.029 | 481 | 0.5 | 25 Hz | 0.200 |
| Control Parameters | Poles | Zeros |
|---|---|---|
| Group 1 parameters | 4.07 ± 3110 i; −37.9 ± 73.8 i; −2070 ± 1950 i | −2000; −100; 7130 |
| Group 2 parameters | −82.1 ± 3040 i; −16.4 ± 92 i; −2030 ± 1990 i | −2000; −364; 7130 |
| Group 3 parameters | −58.3 ± 3030 i; −33 ± 185 i; −2030 ± 2000 i | −2000; −1170; 7130 |
| Group 4 parameters | −57 ± 3010 i; −44.1 ± 247 i; −2020 ± 2010 i | −2000; −2610; 7130 |
| Group 5 parameters | −93.6 ± 3010 i; −23.6 ± 187 i; −2010 ± 2010 i | −2000; −3030; 7130 |
| Group 6 parameters | −112 ± 2990 i; −19 ± 188 i; −2000 ± 2020 i | −2000; −16,600; 7130 |
| Compensation | −134 ± 3020 i; −39.2 ± 73.6 i;−1920 ± 2050 i; −337 | −2000; −100; −314; 7130 |
| Scenario | Kpi | Kii | Kpu | Kiu | Kd | fs | ζs |
|---|---|---|---|---|---|---|---|
| Group 7 parameters | 0.02 | 40 | 1.47 | 235 | 0.5 | 501 Hz | −0.0209 |
| Group 8 parameters | 0.035 | 40 | 1.47 | 235 | 0.5 | 506 Hz | −0.00323 |
| Group 9 parameters | 0.05 | 40 | 1.47 | 235 | 0.5 | 20 Hz | 0.450 |
| Group 10 parameters | 0.02 | 40 | 0.524 | 345 | 0.5 | 25 Hz | 0.200 |
| Group 11 parameters | 0.035 | 40 | 0.524 | 345 | 0.5 | 25 Hz | 0.200 |
| Group 12 parameters | 0.05 | 40 | 0.524 | 345 | 0.5 | 25 Hz | 0.200 |
| Control Parameters | Poles | Zeros |
|---|---|---|
| Group 7 parameters | 65.8 ± 3150 i; −57 ± 111 i; −2100 ± 1940 i | −160; −2000; 7130 |
| Group 8 parameters | 10.3 ± 3180 i; −57 ± 111 i; −1430; −5580 | −160; −1140; 7130 |
| Group 9 parameters | −14.5 ± 3190 i; −57 ± 111 i; −881; −9010 | −160; −800; 7130 |
| Group 10 parameters | −49.2 ± 3050 i; −31.2 ± 154 i; −2040 ± 1990 i | −658; −2000; 7130 |
| Group 11 parameters | −69.1 ± 3070 i; −31.2 ± 154 i; −1440; −5570 | −658; −1140; 7130 |
| Group 12 parameters | −77.4 ± 3070 i; −31.2 ± 154 i; −880; −9090 | −658; −800; 7130 |
| Scenario | Kpi | Kii | Kpu | Kiu | Kd | fs | ζs |
|---|---|---|---|---|---|---|---|
| Group 13 parameters | 0.02 | 60 | 0.868 | 687 | 0.5 | 493 Hz | −0.00554 |
| Group 14 parameters | 0.02 | 40 | 0.868 | 687 | 0.5 | 489 Hz | −0.00214 |
| Group 15 parameters | 0.02 | 20 | 0.868 | 687 | 0.5 | 35 Hz | 0.250 |
| Group 16 parameters | 0.02 | 60 | 0.308 | 217 | 0.5 | 20 Hz | 0.150 |
| Group 17 parameters | 0.02 | 40 | 0.308 | 217 | 0.5 | 20 Hz | 0.150 |
| Group 18 parameters | 0.02 | 20 | 0.308 | 217 | 0.5 | 20 Hz | 0.150 |
| Control Parameters | Poles | Zeros |
|---|---|---|
| Group 13 parameters | 17.2 ± 3100 i; −54.8 ± 212 i; −2070 ± 1780 i | −3000; −791; 7130 |
| Group 14 parameters | 6.56 ± 3070 i; −54.9 ± 212 i; −2060 ± 1980 i | −2000; −791; 7130 |
| Group 15 parameters | −16.2 ± 3060 i; −55.2 ± 212 i; −1860; −2220 | −1000; −791; 7130 |
| Group 16 parameters | −78.8 ± 3050 i; −19 ± 124 i; −2030 ± 2810 i | −3000; −705; 7130 |
| Group 17 parameters | −82.2 ± 3040 i; −19 ± 124 i; −2020 ± 1990 i | −2000; −705; 7130 |
| Group 18 parameters | −90.3 ± 3030 i; −19 ± 124 i;−1960; −2070 | −1000; −705; 7130 |
Disclaimer/Publisher’s Note: The statements, opinions and data contained in all publications are solely those of the individual author(s) and contributor(s) and not of MDPI and/or the editor(s). MDPI and/or the editor(s) disclaim responsibility for any injury to people or property resulting from any ideas, methods, instructions or products referred to in the content. |
© 2024 by the authors. Licensee MDPI, Basel, Switzerland. This article is an open access article distributed under the terms and conditions of the Creative Commons Attribution (CC BY) license (https://creativecommons.org/licenses/by/4.0/).
Share and Cite
Hou, R.; An, J.; Qin, L.; Zhao, Z.; Cao, Y.; Zhao, X. Small-Signal Stability Analysis and Voltage Control Parameter Design for DC Microgrids. Processes 2024, 12, 2247. https://doi.org/10.3390/pr12102247
Hou R, An J, Qin L, Zhao Z, Cao Y, Zhao X. Small-Signal Stability Analysis and Voltage Control Parameter Design for DC Microgrids. Processes. 2024; 12(10):2247. https://doi.org/10.3390/pr12102247
Chicago/Turabian StyleHou, Ruosong, Jiakun An, Liangdong Qin, Ziheng Zhao, Yuan Cao, and Xueshen Zhao. 2024. "Small-Signal Stability Analysis and Voltage Control Parameter Design for DC Microgrids" Processes 12, no. 10: 2247. https://doi.org/10.3390/pr12102247
APA StyleHou, R., An, J., Qin, L., Zhao, Z., Cao, Y., & Zhao, X. (2024). Small-Signal Stability Analysis and Voltage Control Parameter Design for DC Microgrids. Processes, 12(10), 2247. https://doi.org/10.3390/pr12102247
