Abstract
The aim of this study was to improve the performances of three-bladed vertical-axis wind turbines with gap distance. For this purpose, turbine design conditions such as a gap ratio between the blades and the addition of blades were changed to provide performance increase, and an aerodynamic performance-enhancing performance setup placed in front of the vertical-axis wind turbine was also used. Therefore, in this study, the effects of gap distance and blade addition on wind turbine performance were investigated, especially by keeping the aspect ratio of the vertical-axis wind turbine constant. The investigation of the effects of turbine design parameters, such as the gap distance and additional blade number, on turbine performance was carried out using the ANSYS Fluent program with a numerical analysis method validated with experimental data. The turbine gap ratio, at which the maximum torque coefficient of a three-bladed vertical-axis wind turbine is obtained, was determined to be 40% without performance setup and 30% with performance setup. It was determined that the average torque coefficient value obtained from the turbine with the addition of turbine blades and with the performance setup increased by approximately 66% compared to the torque coefficient value obtained from the three-bladed turbine without the performance setup. It was also determined that the maximum power coefficient obtained from the vertical-axis wind turbine with optimum turbine design parameters with the performance setup increased by approximately 46% compared to the maximum power coefficient obtained from the version of the turbine without the performance setup.
1. Introduction
Due to increasing environmental pollution, the importance of sustainable and clean energy sources is increasing day by day. Wind energy, one of the renewable energy sources, has started to gain importance in recent years, especially for the goal of a clean future with low carbon emissions. Wind turbines are powerful and efficient machines that convert wind energy into electrical energy. Wind turbines are classified as horizontal- or vertical-axis turbines according to the rotation axis of the blades. Horizontal-axis wind turbines are the most widely used turbines in energy production due to their high performance because they operate at high speeds. Vertical-axis wind turbines have lower power performance than horizontal-axis wind turbines because they operate at lower speeds. However, since their construction and installation are simpler and cheaper than horizontal-axis wind turbines, they can be used more widely, especially in rural areas, or to meet personal small power needs. Vertical-axis wind turbines operate on a drag-based basis, such as the Savonius turbine, and on a lift-based basis, such as the Darrieus turbine [].
Many experimental and numerical studies have been conducted in the literature to increase the efficiency of these turbines, which is low. Vertical-axis wind turbines have many advantages over horizontal-axis wind turbines, especially due to their simple and economical design conditions, which are still up-to-date. According to the literature studies conducted, the performances and effects of vertical-axis wind turbine types used—especially in air flow and in some water flow environments under various usage conditions, such as single, double, modified, and hybrid, or reinforced with external attachments—have been investigated [,,,,,,,,]. Hashem and Mohamed [] carried out a turbine aerodynamic performance assessment under various design conditions to increase the output power coefficient of a straight-bladed Darrieus wind turbine. Chong et al. [] designed a novel omni-directional guide vane that surrounds a vertical-axis wind turbine. They improved the turbine performance of a wind turbine in terms of power output, rotational speed, and self-starting behavior with this type of design. Mohammad et al. [] designed and numerically examined a nozzle design to guide wind to the advancing blade to maximize turbine torque exchange. Yao et al. [] developed a new type of vertical-axis wind turbine with a tower cowling design and numerically examined it for the best performance values. Zheng et al. [] investigated the power generation efficiency of multiple H-bladed vertical-axis wind turbines placed close to each other. Chen et al. [] conducted performance optimization of the shape of a Darrieus wind turbine under constant wind speed conditions. Su et al. [] designed a new type of straight-bladed vertical-axis wind turbine consisting of three pairs of blades with rotatable auxiliary blades and tested the performance of the pitching movements of the auxiliary blades in a wind tunnel. Shaaban et al. [] investigated the interaction of H-Rotor Darrieus turbines in a wind farm arrangement. They estimated the optimum spacing between the turbines that would result in minimum interaction and maximum power per unit area. Thiyagaraj et al. [] carried out a study to improve the power coefficient of a Savonius hydrokinetic turbine by varying blade numbers and the overlap ratio and adding flips with the conventional Savonius. Hassanshahi and Kharati-Koopaee [] investigated the effect of the overlap ratio on the performance of a Savonius wind turbine equipped with inner blades. Brusca et al. [] analyzed the aspect ratio of a vertical-axis straight-bladed H-rotor wind turbine and obtained its power coefficients. Ebrahimpour et al. [] investigated the effect of overlap ratios in both horizontal and vertical directions and the position of blades on a vertical-axis wind turbine.
In this study, the effects of turbine design parameters on the turbine performance of drag-type vertical-axis wind turbines, especially those mounted from blade tips and having a certain gap distance between the blades, are investigated numerically by a validated numerical solution method. In this context, the gap ratio between the blades and the blade addition changes are considered turbine design parameters. The blade profiles take a classical semicircular shape. In addition, a performance setup is placed in front of the turbine, and the changes in the turbine performance of these design parameters are investigated. In order to fully examine the effects of turbine design parameters such as gap distance and blade addition, the aspect ratios of the vertical-axis wind turbine used throughout this study are kept constant. In the same way, the dimensions of the performance setup designed depending on the turbine aspect ratio are kept constant. In this context, firstly, the numerical solution model is validated with experimental data in the literature. The gap ratio optimization of the vertical-axis wind turbine with and without performance setup is performed. At this stage, the optimum gap distance determined is kept constant, and the turbine performance is improved by adding blades. Performance analyses of the turbine design with optimum blade numbers obtained from the improvement studies are carried out.
2. Design and Methods
Vertical-axis wind turbines are classified as drag and lift types based on blade aerodynamic analysis. Savonius wind turbines are drag-type, and Darrieus wind turbines are lift-type vertical-axis wind turbines. Within the scope of this study, drag-type vertical-axis wind turbines with three blades and a gap distance are considered. The blade profiles used in this wind turbine are semicircular, as in classical Savonius wind turbines. At the same time, these blades are designed to be separate, i.e., a gap between them, like the blades in H-type Darrieus wind turbines. Since the drag force is generated on the blades due to the blade profile used, these turbines are also drag-based vertical-axis wind turbines. The numerical investigation of the performance of the three-bladed drag-type vertical-axis wind turbines with a gap considered in this study was carried out in the form of validation, gap optimization, improvement, and performance analysis studies, respectively, as shown in Figure 1. As can be seen in the figure, firstly, the numerical solution model was validated with experimental data in the literature. Thus, the accuracy of the numerical model to be used throughout the study was supported by experimental results. In the gap optimization studies, the effect of the gap distance on the wind turbine performance was investigated by keeping the aspect ratio of the vertical-axis wind turbine constant. At the same time, a performance setup was also placed in front of the turbine without making any changes to the turbine, and the changes in the turbine design parameters on the turbine performance were examined. Subsequently, improvement studies were carried out by changing the number of blades while keeping the optimum gap distance constant for the three-bladed vertical-axis wind turbine. Turbine design with optimum blade number was also determined from the improvement studies. In the gap and improvement studies, torque coefficients were determined from the wind turbine performance values and compared with each other. Thus, performance analyses of the turbines with the obtained optimum gap distance and blade number were carried out. Torque and power coefficients were determined in the performance analysis of the determined optimum design turbine.

Figure 1.
Methodology of study.
When literature studies were examined, especially in terms of drag-type Savonius wind turbines, it was determined that design changes or additions made inside or outside the turbine to increase turbine performance []. As a result of these studies, the effect of the gap distance on the turbine performance was investigated, especially for the vertical-axis turbine designed in this study, with the use of the external design setup used to increase the performance of vertical-axis wind turbines. In order to examine the effect of gap distances, the dimensions of the external design performance setup were kept constant. The gap optimization study conducted within the scope of this study was carried out both without and with performance setup, as shown in Figure 2. Thus, the effect of the performance setup on the gap distance was determined.

Figure 2.
Vertical-axis wind turbine (a) and turbine with performance setup (b).
The geometric parameters of the three-bladed vertical-axis wind turbine and the performance setup are shown in Figure 3. The angles between the three blades placed inside the turbine were taken as equal. The geometric parameters of the vertical-axis wind turbine were turbine diameter (D), turbine height (H), blade end plate diameter D0 = 1.1D, blade diameter (d), and the gap distance between the blades (g). Throughout the study, the turbine diameter was taken as constant as D = 50 cm. The dimensions of the performance setup are also shown in the figure according to the turbine diameter.

Figure 3.
Geometric parameters of vertical wind turbine and performance setup.
Since the turbine diameter was kept constant throughout the study, the dimensions of the performance setup were also indirectly kept constant. Thus, the effects of the internal design parameters of the turbine were investigated by keeping the external dimensions of the turbine and the dimensions of the performance setup constant throughout the study (Table 1). For this purpose, the aspect ratio of the turbine used in this study was the same, namely, D/H = 1. The gap between the blades was designed in certain ratio according to the diameter of the vertical-axis wind turbine. This gap ratio (GR) is the ratio of gap distance to the turbine diameter, GR = g/D. The gap ratio (GR) was varied between 20% and 70%. Thus, the turbine blade diameters were reduced at increasing gap distances, and the main turbine diameter was kept constant throughout the study. On the contrary, in the case of the opposite, the main dimensions of the turbine were also kept constant. According to the literature reviews [,,,], since different external attachment-shaped performance setups increase turbine performances, especially in vertical axis turbine examples, the effect of such performance setups on the gap ratio considered in this study was also investigated. In gap optimization studies, turbine dynamic performances were investigated at turbine angles between 0° and 360°, corresponding to a full turbine revolution.

Table 1.
Parameters of the turbine-setup system.
As shown in Figure 4, the effects of the number of blades on turbine performance were examined within the scope of performance improvement studies carried out on the optimum gap ratio obtained as a result of the optimization of the gap ratio. As shown in the figure, the performances of the three-, four-, six-, and eight-bladed turbines were determined and compared with each other.

Figure 4.
Number of blades.
The investigation of the effects of turbine design parameters, such as gap distance and additional blade number, on turbine performance was carried out using the ANSYS Fluent program with numerical analysis method verified with experimental data. With the numerical analysis method, the torque values produced on the turbine at all turbine angles corresponding to a full revolution of the turbine under steady conditions and the average torque values accordingly were determined. For turbine aerodynamic performance studies, torque and power coefficients were calculated and compared with each other using the data obtained from numerical analysis. Turbine torque coefficient (Ct) is the ratio of the torque obtained from the turbine to the torque produced by the wind force and is calculated with the equation given in Equation (1). The turbine power coefficient (Cp) is the ratio of the power obtained from the turbine to the wind power and is calculated as in Equation (2). In these equations, (V) is the wind speed, (A) is the turbine swept area, (T) is the turbine torque, (ω) is the turbine angular speed, and (ρ) is the density of the air. In addition, the turbine tip speed ratio (λ) is the ratio of the turbine blade tip speed to the wind speed and is calculated as shown in Equation (3).
In this study, firstly, validation studies were carried out for the numerical solution method used with literature experimental data. In the validation studies, the experimental data of this type of turbines were taken into account due to the similarity of the vertical-axis wind turbine considered in the scope of the study to Savonius wind turbines with a drag-based and semicircular blade profile. For this reason, the turbine geometry, flow domain, and other conditions of the study with experimental data published in the literature were redesigned according to this literature information, and the performance data were determined numerically and compared. In this context, the accuracy of the numerical solution method was proven by comparing it with the experimental data given by Deda Altan and Atilgan []. In the validation studies, firstly, the mesh independence study was conducted. With this study, in particular, the initial mesh element number, for which the average torque coefficient values almost never change, was taken into account. Since the numerical analysis is dynamic, time stability and sensitivity studies were also performed. Within the scope of time step stability studies of numerical analysis, it was determined that the tour time intervals where the data obtained for a full tour of the turbine were almost the same, i.e., stable performance values were also calculated from these stable turbine tours. In the time step sensitivity studies of numerical analysis, time steps were also determined, for which the average values of the data obtained in a stable full tour were almost the same. Thus, the time independence of the analysis results obtained was ensured. The experimental and numerical variation of the power coefficient of the Savonius wind turbine at different tip speed ratios is shown in Figure 5. As can be seen in the figure, it was found that the numerical data obtained for the Savonius turbine were generally quite compatible agreement with the experimental data. Thus, the validation of the numerical analysis method was proven. Throughout this study, the numerical analysis method, the validation of which was proven, was used.

Figure 5.
Validation of the numerical study.
In this study, performance analyses were performed with the numerical solution method verified by experimental data under the same conditions by only changing the vertical-axis wind turbine and adding the performance setup. Therefore, the same turbulence model as the standard k-ε turbulence model was used in optimization and performance studies. In the same way, the same grid method was also used as the grid method of numerical analysis. In the optimization and performance analysis studies, the wind speed was selected as 8 m/s. As shown in Figure 6, the dimensions of the flow domain were determined by the diameter of the three-bladed vertical-axis wind turbine. As can be seen in the figure, the flow domain consists of two types of fields: a rotating flow domain and a steady flow domain. For the dynamic analysis of the vertical-axis wind turbine, an interface was created between the rotating flow field and the steady flow field. In this way, the interaction between the incoming wind flow and the vertical-axis wind turbine rotating around itself was provided. In order to avoid blockage effect, the cross-sectional dimensions of the flow domain were taken as 11Dx11D. For flow stability, the total flow domain length was taken as 18D. Therefore, with the validated numerical solution method, the turbine performance values obtained at different geometric parameters were compared with each other, and the optimum turbine performance was obtained.

Figure 6.
Boundary conditions and domain dimensions of numerical study model.
3. Results and Discussions
In this study, the investigation of the effect of the gap ratio of three-bladed vertical-axis wind turbines with a gap on the aerodynamic performance of the turbines in the cases of using (or not using) a performance setup was carried out. The aerodynamic performances of a three-bladed vertical-axis wind turbine with the determined optimum gap ratios were also examined for turbines with different blade numbers. In this context, the changes in the torque coefficients obtained at different gap ratios of the three-bladed vertical wind turbine were determined. The turbine with the optimum torque coefficient was determined from the torque coefficient data obtained. With the improvement studies, the changes in the power coefficients of the turbine with a higher torque coefficient were obtained and compared.
The changes and average values of the torque coefficients obtained from the three-bladed vertical-axis wind turbines with a gap are shown in Figure 7. The changes in the torque coefficients shown in the figure were obtained from a steady full rotation of the turbine. In order to compare the turbine torque coefficients obtained at different gap ratios with each other, the turbine tip speed ratio was taken as λ = 0.33. As shown in the figure, the torque changes obtained between 20% and 70% of the gap ratios were given separately. In addition, the average values of torque changes obtained between 20% and 70% were given by adding the suffix (Av) in front of the percentage ratios. Therefore, these average values were given between Av20% and Av70%, as seen in the figure. When the torque coefficient changes were examined, it was determined that the torque coefficients especially increased as the gap ratio increased up to 40% and 50%. In other words, it was determined that as the blade diameter decreased, the torque coefficients obtained from the turbine increased up to these ratios. It was determined that the torque coefficient values gradually decreased after these ratios, especially at ratios of 60% and 70%. It was understood that this situation was due to the smaller blade profiles. It was determined that almost the same torque coefficient changes were obtained in the cases where the gap ratios were 40% and 50%. Therefore, when the changes in the average torque coefficients were examined, the maximum average torque coefficient value was obtained with a 40% gap turbine. It was determined that the turbine torque coefficient value with a 40% gap, where the maximum average torque coefficient was obtained, increases by 59% compared to the turbine with a 70% gap, where the minimum average torque coefficient was obtained.

Figure 7.
The effect of different gap ratios on torque coefficient.
The changes and average values (Av20%-Av70%) of the torque coefficients obtained from three-bladed vertical-axis wind turbines with the same gap ratios (20–70%) using the performance setup are shown in Figure 8. In order to compare the turbine torque coefficients obtained at different gap ratios in both the use and non-use of the performance setup, the turbine tip speed ratio was the same, i.e., λ = 0.33. Especially when the turbine average torque coefficients are taken into consideration, it was determined that the torque coefficient values obtained from the turbine increased with the gap ratio increasing up to 30% and decreased from this gap ratio onwards. Considering the maximum and minimum torque coefficient values obtained in a full rotation of the turbine, the maximum torque coefficient values were obtained at 30% of the gap ratio. It was determined that the turbine torque coefficient value with a 30% gap turbine, where the maximum average torque coefficient was obtained, increased by 100% compared to the turbine with a 70% gap turbine, where the minimum average torque coefficient was obtained by using the performance setup.

Figure 8.
The effect of different gap ratios on torque coefficient with performance setup.
Figure 9 shows the maximum torque coefficient changes and average values obtained with and without the use of the performance setup (PS) at the same tip speed ratio. Accordingly, the maximum torque coefficient values were obtained with a turbine having a 30% gap ratio without the use of a performance setup. By using the performance setup, maximum torque coefficient values were obtained with a turbine having a 40% gap ratio. It was determined that the maximum average torque coefficient obtained with the use of the performance setup increased by 37% compared to the maximum average torque coefficient obtained without the use of the performance setup.

Figure 9.
Maximum torque coefficient values obtained with and without performance setup.
Within the scope of improvement studies, the turbine with PS and 30% gap, for which the maximum average torque coefficient values were obtained, was taken into consideration. The improvement in the coefficient of performance was attempted to be achieved by simply changing the number of turbine blades under the same conditions. In Figure 10, the torque coefficient changes and averages obtained from three-bladed (b3) and four-bladed (b4) turbines with PS at a tip speed ratio of λ = 0.33 are shown. As shown in the figure, with the number of blades being four, the maximum and minimum values obtained in the torque coefficient changes were lower than those obtained with 30%b3. Therefore, it was determined that the average torque coefficient value decreased by approximately 13.5% compared to the turbine with 30%b3. Given the velocity contour images on the figure, it was also understood that as the number of blades increased, the velocity contours came in front of the other rotating blades, and the torque coefficient values decreased.

Figure 10.
The effect of the number of blades on the torque coefficient values at 30% gap ratio.
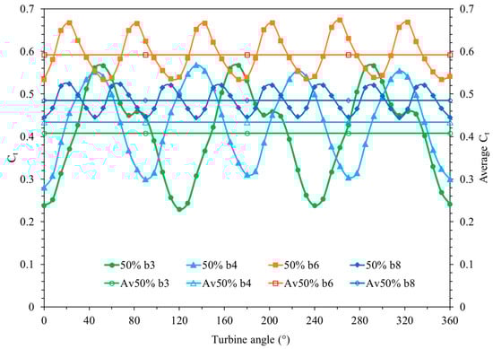
When the torque changes obtained from the 30% GR turbine given in Figure 8 were examined, it was determined that the maximum torque coefficients closest to the maximum torque coefficients obtained were obtained at 20%, 50%, and 60% GR. It was determined that the torque coefficient changes of the turbines with PS at 20% and 50% of GR were almost the same. However, it was found that the torque coefficient change values obtained from the turbine with the other GR value of 60% were smaller values. For all these reasons and due to the turbine blade design freedom, the blade addition improvement studies performed with a turbine with a PS of 50% GR at a tip speed ratio of λ = 0.33 are shown in Figure 11. As can be seen in the figure, increasing average torque coefficient values were obtained with the number of blades being three (b3), four (b4), and six (b6). With the number of blades being eight (b8), a lower torque coefficient value was obtained than the torque coefficient value obtained with the number of blades being six. Therefore, the maximum average torque coefficient and smoother variation were obtained from the six-bladed turbine with 50% GR. It was determined that the average torque coefficient value obtained with the six-bladed turbine was increased by approximately 45% compared to the torque coefficient value obtained from the three-bladed turbine.

Figure 11.
The effect of the number of blades on the torque coefficient values at 50% gap ratio.
The maximum torque coefficient changes obtained from optimum vertical-axis wind turbines with and without performance setup at tip speed ratios of λ = 0.33 are shown in Figure 12. As can be seen in the figure, it was determined that the torque coefficients obtained from the six-bladed turbine with a performance setup were quite high positive values, especially compared to the torque coefficients obtained from the three-bladed turbine without a performance arrangement. It was determined that the average torque coefficient value obtained from the six-bladed turbine with performance setup was increased by approximately 66% compared to the torque coefficient value obtained from the three-bladed turbine without performance setup. In addition, it was determined that the average torque coefficient value obtained from the six-bladed turbine with performance setup was increased by approximately 22% compared to the torque coefficient value obtained from the three-bladed turbine with performance setup. Thus, the performance values of the three-bladed turbine with 30% GR and with performance setup were improved with a six-bladed turbine with 50% GR and with performance setup.

Figure 12.
Comparison of the changes in the maximum torque coefficients obtained.
Figure 13 shows the change in the power coefficient obtained from optimum vertical-axis wind turbines with six blades and a 50% gap ratio with respect to the tip speed ratio in the case of PS and without PS. With the optimum vertical-axis wind turbine without PS, the maximum power coefficient was obtained around 0.15 at a tip speed ratio of approximately 0.41. With the optimum vertical-axis wind turbine with a performance setup, the maximum power coefficient of around 0.22 was obtained at a tip speed ratio of around 0.49. Thus, it was determined that the power coefficient obtained with the optimum six-bladed vertical-axis wind turbine with the performance setup was increased by approximately 46% compared to the power coefficient obtained from the turbine without the performance setup. When the studies in the literature were examined, it was determined that the power coefficient obtained from the vertical-axis turbines without the setup had a variable increase in performance compared to the power coefficients obtained from the vertical-axis turbines with a setup, depending on the conditions of the turbines and setups []. According to these studies, it was determined that the power coefficient increases were 22% with the v-shaped deflector setup, 27% with the guide box tunnel setup, 39% with the obstacle plate setup, and 21% with the conveyor curtain system setup [,,,]. In this study, it was determined that the 46% increase in power increase obtained by using the performance setup was at quite good levels, according to literature information.

Figure 13.
The power coefficients of a six-bladed vertical-axis wind turbine with and without PS with a 50% gap ratio.
The variation of torque coefficients at tip speed ratio λ = 0.49, where the maximum average power coefficient is obtained for optimum vertical-axis wind turbines with and without performance setup, is shown in Figure 14. As seen in the figure, it was determined that the torque coefficients obtained with the use of the six-bladed turbine performance setup were higher than those obtained without the setup. It was determined that, especially with the use of the performance setup, the torque coefficient values in the lower regions of the torque coefficient changes obtained without the setup increased. At this tip speed ratio, the average torque coefficient value was increased by approximately 55% with the performance setup.

Figure 14.
The change of the optimum torque coefficient of the six-bladed turbine.
4. Conclusions
In this study, the effects of turbine design parameters, such as the gap ratio and blade addition, on the turbine performance of three-bladed drag-type vertical-axis wind turbines were investigated numerically. In particular, the turbine diameter and the dimensions of the performance setup were kept constant throughout the study. Thus, only the effects of the turbine’s internal design parameters were investigated. The studies conducted on these design parameters tried to determine the design values that provide the highest turbine performance. In this context, the torque and power performance increase values in the optimal design parameters were determined by comparing the results obtained with each other. Accordingly, it was determined that the numerical analysis methods used in the study supported each other in harmony with the experimental data in the literature. Thus, the numerical solution method was validated with experimental data in the literature.
The turbine gap ratio, where the maximum average torque coefficient is obtained for the three-bladed vertical-axis wind turbine without a performance setup, was determined to be 40%.
The turbine gap ratio, where the maximum average torque coefficient is obtained for the three-bladed vertical-axis wind turbine with a performance setup, was determined to be 30%.
It was determined that the maximum average torque coefficient obtained with the performance setup increased by 37% compared to the maximum average torque coefficient obtained without the performance setup.
In the case of a performance setup, it was determined that the maximum average torque coefficient was obtained from a turbine with six blades and a turbine gap ratio of 50%.
It was determined that the average torque coefficient value obtained from the six-bladed turbine with a performance setup was increased by approximately 22% compared to the torque coefficient value obtained from the three-bladed turbine with a performance setup.
It was determined that the average torque coefficient value obtained from the six-bladed turbine with a performance setup was increased by approximately 66% in total compared to the torque coefficient value obtained from the three-bladed turbine without a performance setup.
The maximum power coefficient was obtained around 0.22 with the optimum vertical-axis wind turbine with a performance setup. Thus, it was found that the power coefficient of about 0.22 obtained with the optimum six-bladed vertical-axis wind turbine with a performance setup was increased by about 46% more compared to the power coefficient obtained without the setup.
In this way, three-bladed vertical wind turbines with gaps can be transformed into highly efficient wind turbines, especially with the determined turbine design parameters and performance setups, and thus, their use and prevalence in small-scale energy needs can be ensured.
Author Contributions
Methodology, B.D.A. and G.A.; software, B.D.A.; validation, B.D.A.; formal analysis, B.D.A. and G.A.; investigation, B.D.A. and G.A.; resources, B.D.A. and G.A.; data curation, B.D.A. and G.A.; writing—original draft preparation, B.D.A. and G.A.; writing—review and editing, B.D.A. and G.A. All authors have read and agreed to the published version of the manuscript.
Funding
This research received no external funding.
Data Availability Statement
The data presented in this study are available upon request from the corresponding author.
Conflicts of Interest
The author declares that there is no conflict of interest.
References
- Deda Altan, B.; Gultekin, G.S. Investigation of Performance Enhancements of Savonius Wind Turbines through Additional Designs. Processes 2023, 11, 1473. [Google Scholar] [CrossRef]
- Al Absi, S.M.; Jabbar, A.H.; Mezan, S.O.; Al-Rawi, B.A.; Al Attabi, S.T. An experimental test of the performance enhancement of a Savonius turbine by modifying the inner surface of a blade. Mater. Today Proc. 2021, 42, 22332240. [Google Scholar] [CrossRef]
- Manganhar, A.L.; Rajpar, A.H.; Luhur, M.R.; Samo, S.R.; Manganhar, M. Performance analysis of a Savonius vertical axis wind turbine integrated with wind accelerating and guiding rotor house. Renew. Energy 2019, 136, 512–520. [Google Scholar] [CrossRef]
- Deda Altan, B.; Atılgan, M. The use of a curtain design to increase the performance level of a Savonius wind rotors. Renew. Energy 2010, 35, 821–829. [Google Scholar] [CrossRef]
- Tartuferia, M.; D’Alessandro, V.; Montelpare, S.; Ricci, R. Enhancement of Savonius wind rotor aerodynamic performance: A computational study of new blade shapes and curtain systems. Energy 2015, 79, 371–384. [Google Scholar] [CrossRef]
- Altan, B.D.; Gungor, A. Examination of the Effect of Triangular Plate on the Performances of Reverse Rotating Dual Savonius Wind Turbines. Processes 2022, 10, 2278. [Google Scholar] [CrossRef]
- Krishnan, A.; Paraschivoiu, M. 3D analysis of building mounted VAWT with diffuser shaped shroud. Sustain. Cities Soc. 2016, 27, 160–166. [Google Scholar] [CrossRef]
- Jin, X.; Wang, Y.; Ju, W.; He, J.; Xie, S. Investigation into parameter influence of upstream deflector on vertical axis wind turbines output power via three-dimensional CFD simulation. Renew. Energy 2018, 115, 41–53. [Google Scholar] [CrossRef]
- Altan, B.D. The numerical simulation of the performances of water rotors used in pipelines with the water baffle plates. J. Mech. Sci. Technol. 2014, 28, 4555–4562. [Google Scholar] [CrossRef]
- Wong, K.H.; Chong, W.T.; Sukiman, N.L.; Shiah, Y.C.; Poh, S.C.; Sopian, K.; Wang, W.C. Experimental and simulation investigation into the effects of a flat plate deflector on vertical axis wind turbine. Energy Convers. Manag. 2018, 160, 109–125. [Google Scholar] [CrossRef]
- Hashem, I.; Mohamed, M.H. Aerodynamic performance enhancements of H-rotor Darrieus wind turbine. Energy 2018, 142, 531–545. [Google Scholar] [CrossRef]
- Chong, W.T.; Fazlizan, A.; Poh, S.C.; Pan, K.C.; Hew, W.P.; Hsiao, F.B. The design, simulation and testing of an urban vertical axis wind turbine with the omni-direction-guide-vane. Appl. Energy 2013, 112, 601–609. [Google Scholar] [CrossRef]
- Mohammadi, M.; Mohammadi, R.; Ramadan, A.; Mohamed, M.H. Numerical investigation of performance refinement of a drag wind rotor using flow augmentation and momentum exchange optimization. Energy 2018, 158, 592–606. [Google Scholar] [CrossRef]
- Yao, Y.X.; Tang, Z.P.; Wang, X.W. Design based on a parametric analysis of a drag driven VAWT with a tower cowling. J. Wind Eng. Ind. Aerodyn. 2013, 116, 32–39. [Google Scholar] [CrossRef]
- Zheng, H.D.; Zheng, X.Y.; Zhao, S.X. Arrangement of clustered straight-bladed wind turbines. Energy 2020, 200, 117563. [Google Scholar] [CrossRef]
- Chen, Y.; Su, J.; Han, Z.; Zhao, Y.; Zhou, D.; Yang, H.; Bao, Y.; Lei, H. A shape optimization of ϕ-shape Darrieus wind turbine under a given range of inlet wind speed. Renew. Energy 2020, 159, 286–299. [Google Scholar] [CrossRef]
- Su, H.; Dou, B.; Qu, T.; Zeng, P.; Lei, L. Experimental investigation of a novel vertical axis wind turbine with pitching and self-starting function. Energy Convers. Manag. 2020, 217, 113012. [Google Scholar] [CrossRef]
- Shaaban, S.; Albatal, A.; Mohamed, M.H. Optimization of H-Rotor Darrieus turbines’ mutual interaction in staggered arrangements. Renew. Energy 2018, 125, 87–99. [Google Scholar] [CrossRef]
- Thiyagaraj, J.; Rahamathullah, I.; Anbuchezhiyan, G.; Barathiraja, R.; Ponshanmugakumar, A. Influence of blade numbers, overlap ratio and modified blades on performance characteristics of the savonius hydro-kinetic turbine. Mater. Today Proc. 2021, 46, 4047–4053. [Google Scholar] [CrossRef]
- Hassanshahi, M.M.; Kharati-Koopaee, M. Numerical investigation into performance of Savonius wind turbine equipped with inner blades: Overlap ratio effect. Wind Eng. 2024, 48, 243–256. [Google Scholar] [CrossRef]
- Brusca, S.; Lanzafame, R.; Messina, M. Design of a vertical-axis wind turbine: How the aspect ratio affects the turbine’s performance. Int. J. Energy Environ. Eng. 2014, 5, 333–340. [Google Scholar] [CrossRef]
- Ebrahimpour, M.; Shafaghat, R.; Alamian, R.; Shadloo, M.S. Numerical investigation of the Savonius vertical axis wind turbine and evaluation of the effect of the overlap parameter in both horizontal and vertical directions on its performance. Symmetry 2019, 11, 821. [Google Scholar] [CrossRef]
- Deda Altan, B.; Atılgan, M.; Ozdamar, A. An experimental study on improvement of a Savonius rotor performance with curtaining. Exp. Therm. Fluid Sci. 2008, 32, 1673–1678. [Google Scholar] [CrossRef]
- El-Askary, W.A.; Nasef, M.H.; Abdel-Hamid, A.A.; Gad, H.E. Harvesting wind energy for improving performance of Savonius rotor. J. Wind Eng. Ind. Aerodyn. 2015, 139, 8–15. [Google Scholar] [CrossRef]
- Deda Altan, B.; Gungor, A. Enhancing the Performance of Savonius Wind Turbines with Wind Router. Iran. J. Sci. Technol. Trans. Mech. Eng. 2023, 47, 989–999. [Google Scholar] [CrossRef]
- Mandal, A.K.; Rana, K.B.; Tripathi, B. Experimental study on performance improvement of a Savonius turbine by equipping with a cylindrical cowling. Energy Sources Part A Recovery Util. Environ. Eff. 2020, 42, 1–19. [Google Scholar] [CrossRef]
- Shaughnessy, B.M.; Probert, S.D. Partially-Blocked Savonius Rotor. Appl. Energy 1992, 43, 239–249. [Google Scholar] [CrossRef]
- Irabu, K.; Roy, J.N. Characteristics of wind power on Savonius rotor using a guide-box tunnel. Exp. Therm. Fluid Sci. 2007, 32, 580–586. [Google Scholar] [CrossRef]
- Mohamed, M.H.; Janiga, G.; Pap, E.; Thévenin, D. Optimal blade shape of a modified Savonius turbine using an obstacle shielding the returning blade. Energy Convers. Manag. 2011, 52, 236–242. [Google Scholar] [CrossRef]
Disclaimer/Publisher’s Note: The statements, opinions and data contained in all publications are solely those of the individual author(s) and contributor(s) and not of MDPI and/or the editor(s). MDPI and/or the editor(s) disclaim responsibility for any injury to people or property resulting from any ideas, methods, instructions or products referred to in the content. |
© 2024 by the authors. Licensee MDPI, Basel, Switzerland. This article is an open access article distributed under the terms and conditions of the Creative Commons Attribution (CC BY) license (https://creativecommons.org/licenses/by/4.0/).