A Feasibility Study for the Hot-Air-Assisted Reflow Soldering Process Based on Computational Fluid Dynamics
Abstract
1. Introduction
2. Forced Convection Heat Transfer
3. Methodology
3.1. Prototype and Device Design Concepts
3.2. Experiment with Factory Operating Condition
3.3. Computational Fluid Dynamics (CFD)
3.3.1. Models
3.3.2. Boundary Conditions and Material Properties
3.3.3. Software Calculation and Settings
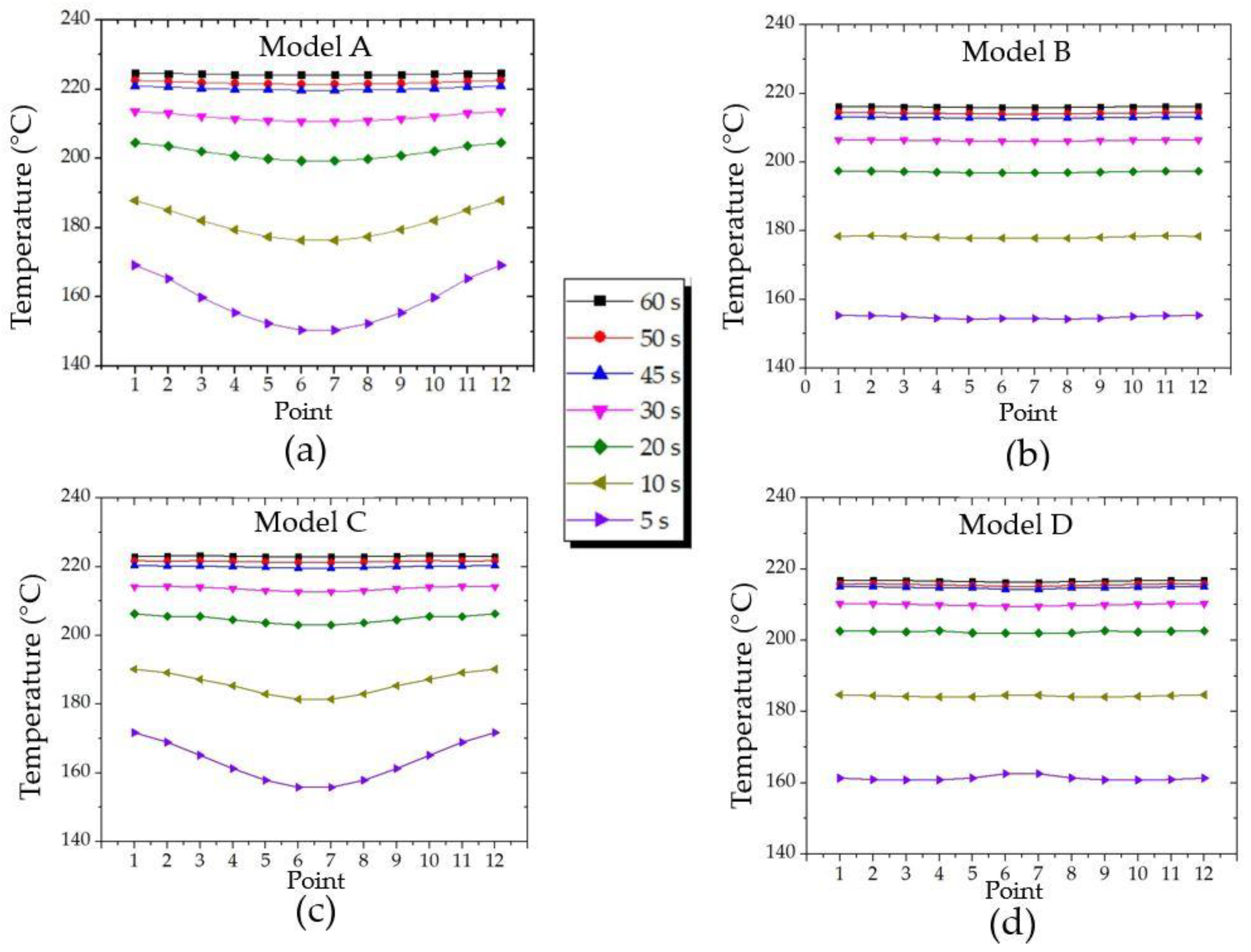
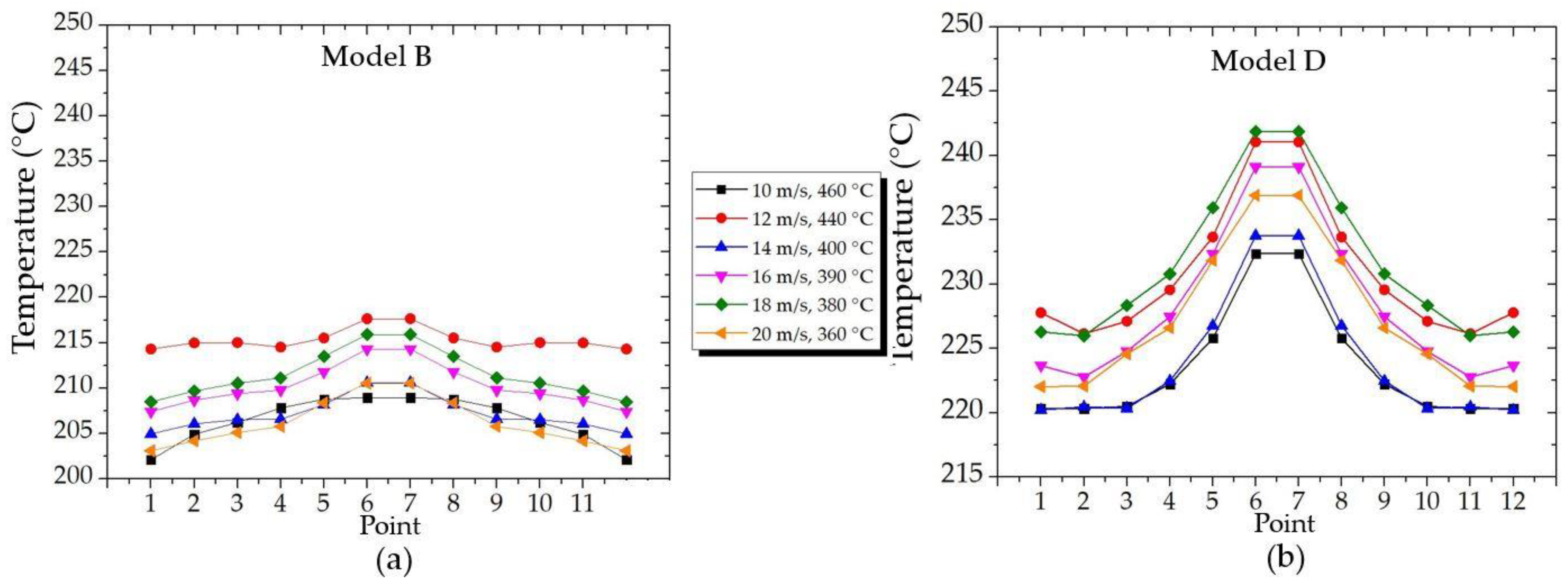
4. Results and Discussion
4.1. Validation
4.2. Effect of vi and Ti on the T of Model A
4.3. Suitable Design for the HAT with Operating Conditions
4.4. Recommendations and Future Work
5. Conclusions
Author Contributions
Funding
Data Availability Statement
Acknowledgments
Conflicts of Interest
Nomenclature
| CFD | computational fluid dynamics |
| FOC | factory operating condition |
| Q | flow rate (m3/s) |
| HSA | head stack assembly |
| q | heat transfer rate (W) |
| HAT | hot air tube |
| vi | hot air velocity at the inlet (m/s) |
| RSP | reflow soldering process |
| Ti | temperature of hot air at the inlet (°C) |
| t | time of supplying hot air (s) |
| TKE | turbulence kinetic energy (J/kg) |
| WT | welding tip |
| T | WT temperature (°C) |
References
- Luksamee-Arunothai, M. The structure of Thailand’s hard disk drive sector and international production networks: An input-output analysis. J. Multidiscip. Humanit. Soc. Sci. 2023, 6, 448–468. (In Thai) [Google Scholar]
- Yongpisanphob, W. Industry Outlook 2021–2023: Electronics. Available online: https://www.krungsri.com/en/research/industry/industry-outlook/hi-tech-industries/electronics/io/io-Electronics-21 (accessed on 7 August 2024). (In Thai).
- Jon, Y. Thailand’s Hard Disk Drive Industry Problem. Available online: https://www.asianometry.com/p/thailands-hard-drive-industry-problem (accessed on 8 August 2024).
- Thongsri, J. Transient Thermal-Electric Simulation and Experiment of Heat Transfer in Welding Tip for Reflow Soldering Process. Math. Probl. Eng. 2018, 2018, 4539054. [Google Scholar] [CrossRef]
- Thongsri, J.; Jansaengsuk, T. A Development of Welding Tip for the Reflow Soldering Process Based on Multiphysics. Processes 2022, 10, 2191. [Google Scholar] [CrossRef]
- Kimaporn, N.; Samakkarn, C.; Thongsri, J. Multiphysics to Investigate the Thermal and Mechanical Responses in Hard Disk Drive Components due to the Reflow Soldering Process. Processes 2024, 12, 2029. [Google Scholar] [CrossRef]
- Llés, B.; Krammer, O.; Géczy, A. Reflow Soldering: Apparatus and Heat Transfer Processes, 1st ed.; Elsevier: Amsterdam, The Netherlands, 2020. [Google Scholar]
- Lam, T.L. Low-Cost Non Contact PCBs Temperature Monitoring and Control in a How Air Reflow Process Based on Multiple Thermocouples Data Fusion. IEEE Access 2021, 9, 123566–123574. [Google Scholar] [CrossRef]
- Hong, W.S.; Kin, M.S.; Kim, M. MLCC Solder Joint Property with Vacuum and Hot Air Reflow Soldering Processes. J. Weld. Join. 2021, 39, 349–358. [Google Scholar] [CrossRef]
- Sweatman, K. Hot Air Solder Leveling in the Lead-Free Era. Glob. SMT Packag. 2009, 10–18. [Google Scholar]
- Molhanec, M. Study of Solder Spreadability at Different Soldering Conditions Using Factorial Experiments. In Proceedings of the ISSE 2019 42nd International Spring Seminar on Electronics Technology (ISSE), Wroclaw, Poland, 15–19 May 2019; pp. 1–4. [Google Scholar] [CrossRef]
- Dušek, K.; Veselý, P.; Bušek, D.; Froš, D.; Králová, I.; Klimtová, M.; Pilnaj, D.; Uřičář, J.; Plachý, Z.; Sorokina, K.; et al. Influence of Reflow Temperature Profile on the Intermetallic Layers Thickness at Different Surface Finishes. In Proceedings of the ISSE 2024 47th International Spring Seminar on Electronics Technology, Prague, Czech Republic, 15–19 May 2024; pp. 1–4. [Google Scholar] [CrossRef]
- Deng, S.S.; Hwang, S.J.; Lee, H.H. Temperature Prediction for System in Package Assembly during the Reflow Soldering Process. Int. J. Heat Mass Transf. 2016, 98, 1–9. [Google Scholar] [CrossRef]
- Ran, L.; Chen, D.; Chen, C.; Gong, Y. Optimization Method for How Air Reflow Soldering Process Based on Robus Design. Processes 2023, 11, 2716. [Google Scholar] [CrossRef]
- Srivalli, C.; Abdullah, M.Z.; Khor, C.Y. Numerical Investigations on the Effects of Different Cooling Periods in Reflow-Soldering Process. Heat Mass Transf. 2015, 51, 1413–1423. [Google Scholar] [CrossRef]
- Ferreira, A.C.; Teixeira, S.F.C.F.; Oliverira, R.F.; Rodrigues, N.J.; Teixeira, J.C.F.; Soares, D. CFD Modeling the Cooling Stage of Reflow Soldering Process. In Proceedings of the ASME 2016 International Mechanical Engineering Congress and Exposition, Pheonix, AZ, USA, 11–17 November 2016. [Google Scholar]
- Zheng, Y.; Fang, J.; Wei, L.; Shen, H.; Gong, Y. Shape Prediction of the BGA solder Joint in Hot Air Air Flow Soldering Based on CFD. In Proceedings of the MEMAT 2022; 2nd International Conference on Mechanical Engineering, Intelligent Manufacturing and Automation Technology, Guilin, China, 7–9 January 2022; pp. 1–5. [Google Scholar]
- Bozsóki, I.; Géczy, A.; Illés, B. Overview of Different Approaches in Numerical Modelling of Reflow Soldering Applications. Energies 2023, 16, 5856. [Google Scholar] [CrossRef]
- Storey, B.D. Fluid Dynamics and Heat Transfer: An Introduction to the Fundamentals. Available online: http://faculty.olin.edu/bstorey/transport.pdf (accessed on 10 August 2024).
- ANSYS, Inc. Module 05: Mesh Quality & Advanced Topics. In Introduction to ANSYS Meshing; ANSYS Inc: Canonsburg, PA. USA, 2016. [Google Scholar]
- Matsson, J.E. An Introduction to ANSYS Fluent 2024; SDC Publications: Mission, KS, USA, 2024. [Google Scholar]
- Shaheed, R.; Mohammadian, A.; Gildeh, H.K. A Comparison of Standard k-ε and Realizable k-ε turbulence models in curved and confluent channels. Environ. Fluid Mech. 2019, 19, 543–568. [Google Scholar] [CrossRef]
- ANSYS Inc. Chapter 4 Turbulence. In Ansys Fluent 17.1, User’s Guide; Ansys Inc.: Canonsburg, PA, USA, 2016. [Google Scholar]
- Shahriar, M.; Monir, M.I.; Deb, U.K. Comparative Analysis of Hydrodynamics Behavior of Microalgae Suspension Flow in Circular, Square, and Hexagonal Shape Photo Bioreactors. Am. J. Comput. Math. 2016, 6, 320–355. [Google Scholar] [CrossRef][Green Version]
- Hoogenboom, P.C.J.; Spann, R. Shear Stiffness and Maximum Shear Stress of Tabular Members. In Proceedings of the 15th International Offshore and Polar Engineering Conference, Seoul, Republic of Korea, 19–24 June 2005. [Google Scholar]
- Parlak, F.; Sertkaya, A.A. Experimental Investigation of Forced Convection Heat Transfer of Heat Exchanger with Different Pin Geometries in in-line and Staggered Design. Int. J. Heat Mass Tranf. 2024, 231, 125892. [Google Scholar] [CrossRef]
- Bailly, C.; Comte-Bellot, G. Turbulence. Chapter 9: Turbulence Model; Springer: Berlin/Heidelberg, Germany, 2015. [Google Scholar]
- ANSYS Inc. Turbulence, Fluent Theory Guide 17.1; ANSYS Inc.: Sountpointe, FL, USA, 2016. [Google Scholar]
- Faizal, W.M.; Khor, C.Y.; Yaakob, M.N.C.; Ghazali, N.N.N.; Zainon, M.Z.; Ibrahim, N.B.; Razi, R.M. Turbulent Kinetic Energy of Flow during Inhale and Exhale to Characterize the Severity of Obstructive Sleep Apnea Patient. Comput. Model. Eng. Sci. 2023, 136, 43–61. [Google Scholar] [CrossRef]





















| Name | Boundary Condition |
|---|---|
| Inlet Outlet Turbulent model | velocity inlet (vi = 10 m/s, Ti = 230 °C) Outflow k-ε realizable |
| Name | Property | |
|---|---|---|
| WT (Haynes 230) | density (ρ) specific heat (cp) thermal conductivity (k) | 8960 kg/m3 391 J/kg°C 8.9 W/m°C |
| HAT (Aluminum) | density (ρ) specific heat (cp) thermal conductivity (k) | 2710 kg/m3 871 J/kg°C 202 W/m°C |
| Air (Surroundings) | density (ρ) specific heat (cp) thermal conductivity (k) viscosity (µ) | 1.225 kg/m3 1006 J/kg°C 0.0242 W/m°C 1.789 × 10−5 kg/m·s |
Disclaimer/Publisher’s Note: The statements, opinions and data contained in all publications are solely those of the individual author(s) and contributor(s) and not of MDPI and/or the editor(s). MDPI and/or the editor(s) disclaim responsibility for any injury to people or property resulting from any ideas, methods, instructions or products referred to in the content. |
© 2024 by the authors. Licensee MDPI, Basel, Switzerland. This article is an open access article distributed under the terms and conditions of the Creative Commons Attribution (CC BY) license (https://creativecommons.org/licenses/by/4.0/).
Share and Cite
Kanjad, N.; Chanbandit, C.; Thongsri, J. A Feasibility Study for the Hot-Air-Assisted Reflow Soldering Process Based on Computational Fluid Dynamics. Processes 2024, 12, 2142. https://doi.org/10.3390/pr12102142
Kanjad N, Chanbandit C, Thongsri J. A Feasibility Study for the Hot-Air-Assisted Reflow Soldering Process Based on Computational Fluid Dynamics. Processes. 2024; 12(10):2142. https://doi.org/10.3390/pr12102142
Chicago/Turabian StyleKanjad, Natcha, Chanapat Chanbandit, and Jatuporn Thongsri. 2024. "A Feasibility Study for the Hot-Air-Assisted Reflow Soldering Process Based on Computational Fluid Dynamics" Processes 12, no. 10: 2142. https://doi.org/10.3390/pr12102142
APA StyleKanjad, N., Chanbandit, C., & Thongsri, J. (2024). A Feasibility Study for the Hot-Air-Assisted Reflow Soldering Process Based on Computational Fluid Dynamics. Processes, 12(10), 2142. https://doi.org/10.3390/pr12102142

