Enhancing Grid-Forming Converters Control in Hybrid AC/DC Microgrids Using Bidirectional Virtual Inertia Support
Abstract
1. Introduction
- Development of a new control strategy for GF in hybrid AC/DC microgrids with bidirectional virtual inertia support that maintains stability and power sharing among DERs under various operating conditions.
 - Demonstrate that the proposed grid-forming strategy can be utilized in standalone and grid-connected modes for AC/DC microgrids.
 - Validation of the proposed control strategy through extensive simulation tests demonstrates its effectiveness in enhancing the transient response, weak grid operation, and overall hybrid AC/DC MG performance.
 
2. Configuration of the Studied Hybrid AC/DC Microgrid
- Power controller for regulating the active and reactive power exchange;
 - Frequency and voltage droop controller for power sharing among DERs;
 - Virtual inertia emulator for enhancing transient stability.
 
3. Proposed Control Strategy for Grid-Forming Converters of Hybrid AC/DC MG
4. Simulation Results and Discussion
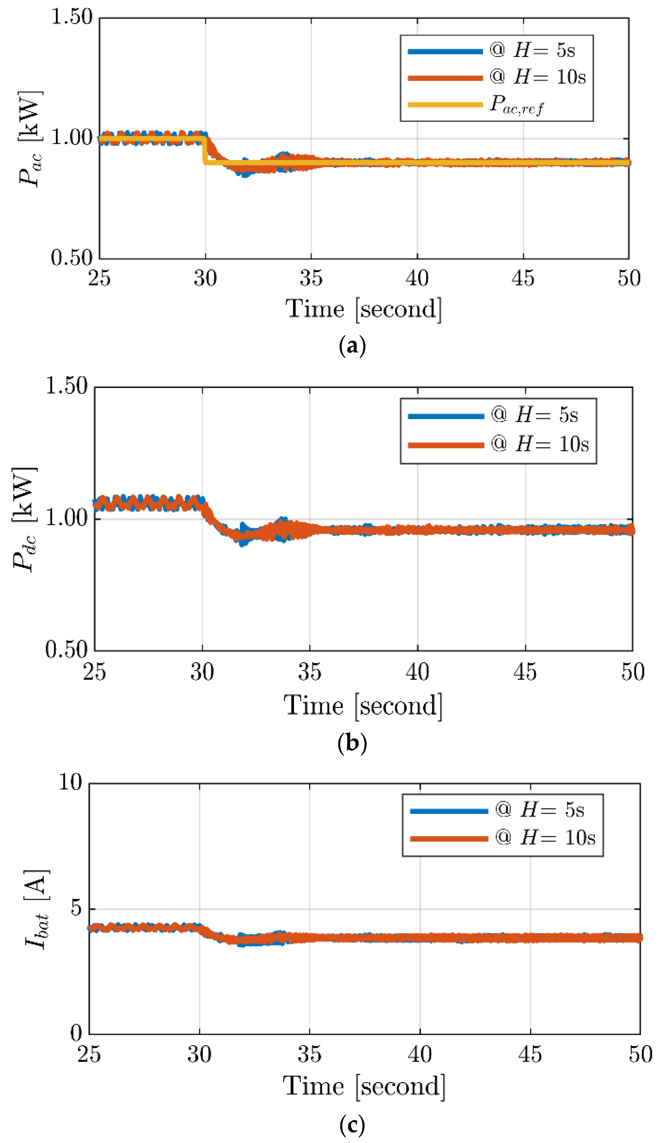
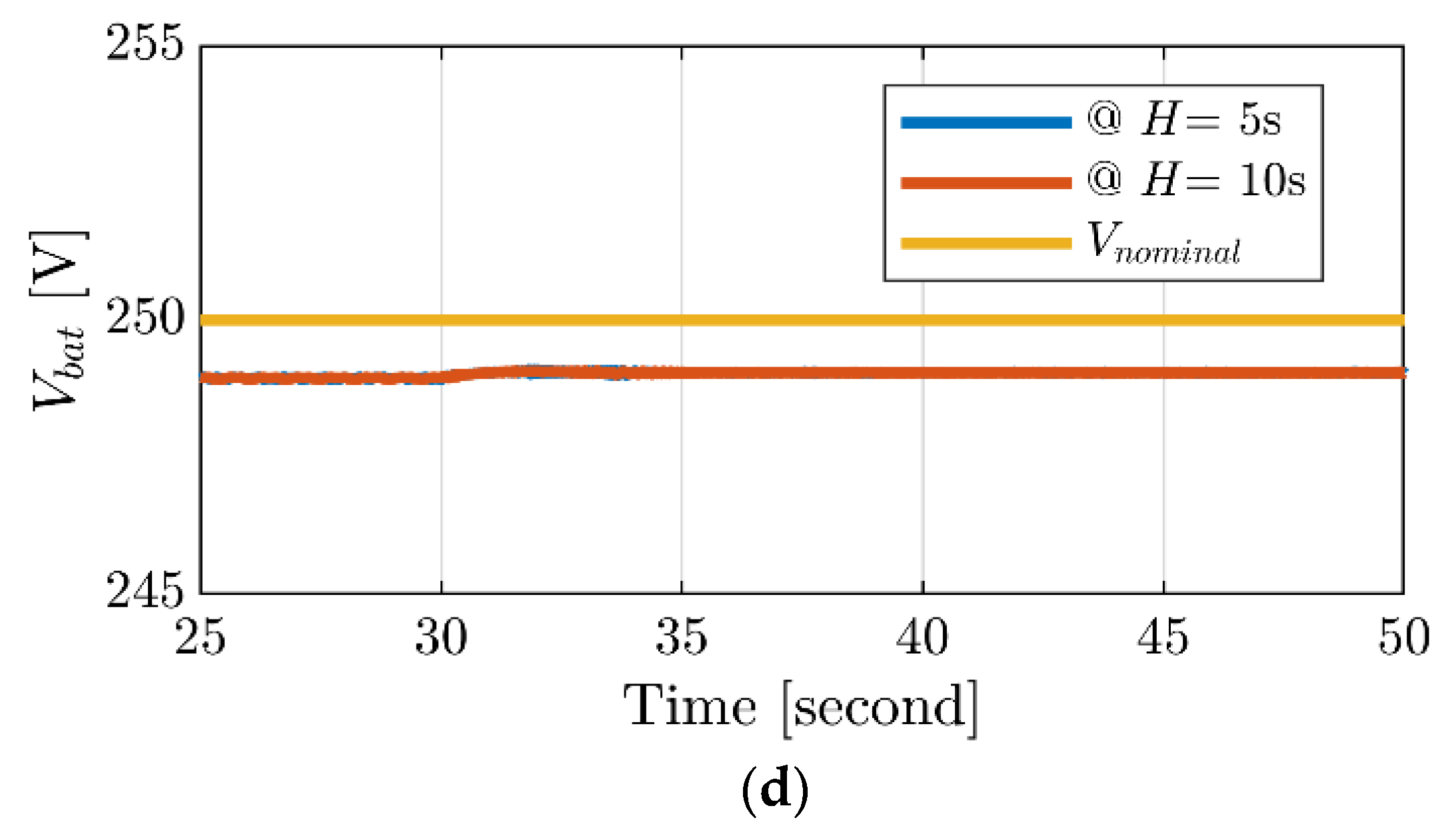
4.1. Case 1: Grid-Connected Mode
4.2. Case 2: Standalone Mode for Both Grid-Forming Converters
5. Conclusions
Author Contributions
Funding
Data Availability Statement
Conflicts of Interest
Nomenclature
| Pref | Active power references (pu) | 
| Pin | Input power (pu) | 
| Pm | Mechanical power (pu) | 
| PL | Load power (pu) | 
| Δf | Frequency deviation (Hz) | 
| ΔPD | Additional active power (pu) | 
| vg,abc | Ideal voltage source (V) | 
| Vgd | Output voltage magnitude (V) | 
| Qref | Reactive power references (pu) | 
| wref | Reference angular frequency (rad/sec) | 
| δref | Rotating angle (degree) | 
| Vcd(t) | d-axis components of converter voltage (V) | 
| Vcq(t) | q-axis components of converter voltage (V) | 
| vgd(t) | d- and components of grid voltage (V) | 
| vgq(t) | q-axis components of grid voltage (V) | 
| icd(t) | d-axis components of converter current (A) | 
| icq(t) | q-axis components of converter current (A) | 
| wo | Fundamental angular frequency (rad/sec) | 
| Ssvc | AC subgrid switching signal | 
| Sbbc | BIC switching signal | 
| (∆f/fref) | Relative frequency error | 
| (∆VDC/Vdc,ref) | Relative DC voltage error | 
| VBES,ref | Battery voltage reference (V) | 
| Lb | DC filter inductance (H) | 
| Cdc | DC-link capacitance (F) | 
| Vdc,ref | DC-link voltage reference (V) | 
| Δvdc,max | Maximum DC-link voltage deviation (V) | 
| Lf | AC filter inductance (H) | 
| Cf | AC filter capacitance (F) | 
| Lg | Grid inductance (H) | 
| fref | Frequency reference (Hz) | 
| Δfmax | Maximum frequency deviation (Hz) | 
| Vg,ref | Grid RMS voltage (V) | 
| Pref | Active power reference (pu) | 
| Fsw | Switching frequency (Hz) | 
| Rdroop | Frequency/voltage droop coefficient | 
| Tg | Speed governor coefficient (s) | 
| FHP | Turbine HP coefficient | 
| TRH | Reheater time constant (s) | 
| TCH | The time constant of main inlet volumes (s) | 
| H | Inertia coefficient (s) | 
| D | Damping coefficient | 
| VNominal | Nominal voltage (V) | 
| DERs | Distributed energy resources | 
| PV | Photovoltaic | 
| WTs | Wind turbines | 
| ESSs | Energy storage systems | 
| MG | Microgrids | 
| RESs | Renewable energy sources | 
| MPPT | Maximum power point tracking | 
| VSMs | Virtual synchronous machines | 
| BICs | Bidirectional interlinking converters | 
| VIS | Virtual inertia support | 
| PLL | Phase-locked-loop | 
| VSC | Voltage source converter | 
| GF | Grid-forming | 
| BESS | Battery energy storage systems | 
References
- Sutherland, W.J.; Atkinson, P.W.; Butchart, S.H.M.; Capaja, M.; Dicks, L.V.; Fleishman, E.; Gaston, K.J.; Hails, R.S.; Hughes, A.C.; Le Anstey, B. A Horizon Scan of Global Biological Conservation Issues for 2022. Trends Ecol. Evol. 2022, 37, 95–104. [Google Scholar] [CrossRef] [PubMed]
 - Al-Shetwi, A.Q.; Hannan, M.A.; Jern, K.P.; Mansur, M.; Mahlia, T.M.I. Grid-Connected Renewable Energy Sources: Review of the Recent Integration Requirements and Control Methods. J. Clean. Prod. 2020, 253, 119831. [Google Scholar] [CrossRef]
 - Johnson, S.C.; Rhodes, J.D.; Webber, M.E. Understanding the Impact of Non-Synchronous Wind and Solar Generation on Grid Stability and Identifying Mitigation Pathways. Appl. Energy 2020, 262, 114492. [Google Scholar] [CrossRef]
 - Bevrani, H.; Golpira, H.; Messina, A.R.; Hatziargyriou, N.; Milano, F.; Ise, T. Power System Frequency Control: An Updated Review of Current Solutions and New Challenges. Electr. Power Syst. Res. 2021, 194, 107114. [Google Scholar] [CrossRef]
 - Fang, J.; Deng, H.; Tashakor, N.; Blaabjerg, F.; Goetz, S.M. State-Space Modeling and Control of Grid-Tied Power Converters with Capacitive/Battery Energy Storage and Grid-Supportive Services. IEEE J. Emerg. Sel. Top. Power Electron. 2021, 11, 234–250. [Google Scholar] [CrossRef]
 - Zhang, H.; Xiang, W.; Lin, W.; Wen, J. Grid Forming Converters in Renewable Energy Sources Dominated Power Grid: Control Strategy, Stability, Application, and Challenges. J. Mod. Power Syst. Clean Energy 2021, 9, 1239–1256. [Google Scholar] [CrossRef]
 - Zhang, Z.; Du, E.; Zhu, G.; Zhang, N.; Kang, C.; Qian, M.; Catalão, J.P.S. Modeling Frequency Response Dynamics in Power System Scheduling. Electr. Power Syst. Res. 2020, 189, 106549. [Google Scholar] [CrossRef]
 - D’Arco, S.; Suul, J.A.; Fosso, O.B. A Virtual Synchronous Machine Implementation for Distributed Control of Power Converters in SmartGrids. Electr. Power Syst. Res. 2015, 122, 180–197. [Google Scholar] [CrossRef]
 - D’Arco, S.; Suul, J.A. Equivalence of Virtual Synchronous Machines and Frequency-Droops for Converter-Based Microgrids. IEEE Trans. Smart Grid 2013, 5, 394–395. [Google Scholar] [CrossRef]
 - Zaid, S.A.; Bakeer, A.; Magdy, G.; Albalawi, H.; Kassem, A.M.; El-Shimy, M.E.; AbdelMeguid, H.; Manqarah, B. A New Intelligent Fractional-Order Load Frequency Control for Interconnected Modern Power Systems with Virtual Inertia Control. Fractal Fract. 2023, 7, 62. [Google Scholar] [CrossRef]
 - Chen, D.; Xu, Y.; Huang, A.Q. Integration of DC Microgrids as Virtual Synchronous Machines into the AC Grid. IEEE Trans. Ind. Electron. 2017, 64, 7455–7466. [Google Scholar] [CrossRef]
 - Mo, O.; D’Arco, S.; Suul, J.A. Evaluation of Virtual Synchronous Machines with Dynamic or Quasi-Stationary Machine Models. IEEE Trans. Ind. Electron. 2016, 64, 5952–5962. [Google Scholar] [CrossRef]
 - Malik, S.M.; Ai, X.; Sun, Y.; Chen, Z.; Zhou, S. Voltage and Frequency Control Strategies of Hybrid AC/DC Microgrid: A Review. IET Gener. Transm. Distrib. 2017, 11, 303–313. [Google Scholar] [CrossRef]
 - Bakeer, A.; Elmorshedy, M.F.; Salama, H.S.; Elkadeem, M.R.; Almakhles, D.J.; Kotb, K.M. Optimal Design and Performance Analysis of Coastal Microgrid Using Different Optimization Algorithms. Electr. Eng. 2023, 105, 4499–4523. [Google Scholar] [CrossRef]
 - Sahoo, S.K.; Sinha, A.K.; Kishore, N.K. Control Techniques in AC, DC, and Hybrid AC–DC Microgrid: A Review. IEEE J. Emerg. Sel. Top. Power Electron. 2017, 6, 738–759. [Google Scholar] [CrossRef]
 - Bakeer, A.; Magdy, G.; Chub, A.; Jurado, F.; Rihan, M. Optimal Ultra-Local Model Control Integrated with Load Frequency Control of Renewable Energy Sources Based Microgrids. Energies 2022, 15, 9177. [Google Scholar] [CrossRef]
 - Khodabakhsh, J.; Moschopoulos, G. Simplified Hybrid AC–DC Microgrid with a Novel Interlinking Converter. IEEE Trans. Ind. Appl. 2020, 56, 5023–5034. [Google Scholar] [CrossRef]
 - Qu, Z.-W.; Chong, Z.-X.; Wang, Y.-J.; Shi, Z.; Yao, Y.-X. Control Method for Grid-Connected/Islanding Switching of Hybrid AC/DC Microgrid. J. Electr. Eng. Technol. 2023, 18, 15–25. [Google Scholar] [CrossRef]
 - Ortiz, L.; Orizondo, R.; Águila, A.; González, J.W.; López, G.J.; Isaac, I. Hybrid AC/DC Microgrid Test System Simulation: Grid-Connected Mode. Heliyon 2019, 5, e02862. [Google Scholar] [CrossRef] [PubMed]
 - Lin, P.; Wang, P.; Jin, C.; Xiao, J.; Li, X.; Guo, F.; Zhang, C. A Distributed Power Management Strategy for Multi-Paralleled Bidirectional Interlinking Converters in Hybrid AC/DC Microgrids. IEEE Trans. Smart Grid 2019, 10, 5696–5711. [Google Scholar] [CrossRef]
 - Eisapour-Moarref, A.; Kalantar, M.; Esmaili, M. Power Sharing in Hybrid Microgrids with Multiple DC Subgrids. Int. J. Electr. Power Energy Syst. 2021, 128, 106716. [Google Scholar] [CrossRef]
 - Zhang, Z.; Fang, J.; Dong, C.; Jin, C.; Tang, Y. Enhanced Grid Frequency and DC-Link Voltage Regulation in Hybrid AC/DC Microgrids through Bidirectional Virtual Inertia Support. IEEE Trans. Ind. Electron. 2022, 70, 6931–6940. [Google Scholar] [CrossRef]
 - Khatibi, M.; Ahmed, S. Z-Source Virtual Synchronous Generator: Operation and Control. In Proceedings of the 2021 IEEE Applied Power Electronics Conference and Exposition (APEC), Phoenix, AZ, USA, 14–17 June 2021; pp. 97–104. [Google Scholar] [CrossRef]
 - Ahmed, M.; Meegahapola, L.; Vahidnia, A.; Datta, M. Analysis and Mitigation of Low-frequency Oscillations in Hybrid AC/DC Microgrids with Dynamic Loads. IET Gener. Transm. Distrib. 2019, 13, 1477–1488. [Google Scholar] [CrossRef]
 - Shafiee-Rad, M.; Sadabadi, M.S.; Shafiee, Q.; Jahed-Motlagh, M.R. Modeling and Robust Structural Control Design for Hybrid AC/DC Microgrids with General Topology. Int. J. Electr. Power Energy Syst. 2022, 139, 108012. [Google Scholar] [CrossRef]
 - Tan, B.; Zhao, J.; Netto, M.; Krishnan, V.; Terzija, V.; Zhang, Y. Power System Inertia Estimation: Review of Methods and the Impacts of Converter-Interfaced Generations. Int. J. Electr. Power Energy Syst. 2022, 134, 107362. [Google Scholar] [CrossRef]
 - Bakeer, M.; Magdy, G.; Bakeer, A.; Aly, M.M. Resilient Virtual Synchronous Generator Approach Using DC-Link Capacitor Energy for Frequency Support of Interconnected Renewable Power Systems. J. Energy Storage 2023, 65, 107230. [Google Scholar] [CrossRef]
 - Niu, D.; Fang, J.; Yau, W.; Goetz, S.M. Comprehensive Evaluation of Energy Storage Systems for Inertia Emulation and Frequency Regulation Improvement. Energy Rep. 2023, 9, 2566–2576. [Google Scholar] [CrossRef]
 - Fang, J.; Li, H.; Tang, Y.; Blaabjerg, F. On the Inertia of Future More-Electronics Power Systems. IEEE J. Emerg. Sel. Top. Power Electron. 2018, 7, 2130–2146. [Google Scholar] [CrossRef]
 - Magdy, G.; Bakeer, A.; Nour, M.; Petlenkov, E. A New Virtual Synchronous Generator Design Based on the SMES System for Frequency Stability of Low-Inertia Power Grids. Energies 2020, 13, 5641. [Google Scholar] [CrossRef]
 - Fang, J.; Li, H.; Tang, Y.; Blaabjerg, F. Distributed Power System Virtual Inertia Implemented by Grid-Connected Power Converters. IEEE Trans. Power Electron. 2017, 33, 8488–8499. [Google Scholar] [CrossRef]
 - Fang, J.; Tang, Y.; Li, H.; Li, X. A Battery/Ultracapacitor Hybrid Energy Storage System for Implementing the Power Management of Virtual Synchronous Generators. IEEE Trans. Power Electron. 2017, 33, 2820–2824. [Google Scholar] [CrossRef]
 - Salama, H.S.; Bakeer, A.; Magdy, G.; Vokony, I. Virtual Inertia Emulation through Virtual Synchronous Generator Based Superconducting Magnetic Energy Storage in Modern Power System. J. Energy Storage 2021, 44, 103466. [Google Scholar] [CrossRef]
 - Long, B.; Liao, Y.; Chong, K.T.; Rodríguez, J.; Guerrero, J.M. MPC-Controlled Virtual Synchronous Generator to Enhance Frequency and Voltage Dynamic Performance in Islanded Microgrids. IEEE Trans. Smart Grid 2020, 12, 953–964. [Google Scholar] [CrossRef]
 - Awais, M.; Khan, L.; Khan, S.G.; Awais, Q.; Jamil, M. Adaptive Neural Network Q-Learning-Based Full Recurrent Adaptive NeuroFuzzy Nonlinear Control Paradigms for Bidirectional-Interlinking Converter in a Grid-Connected Hybrid AC-DC Microgrid. Energies 2023, 16, 1902. [Google Scholar] [CrossRef]
 - Etxegarai, A.; Eguia, P.; Torres, E.; Iturregi, A.; Valverde, V. Review of Grid Connection Requirements for Generation Assets in Weak Power Grids. Renew. Sustain. Energy Rev. 2015, 41, 1501–1514. [Google Scholar] [CrossRef]
 - Fang, J.; Lin, P.; Li, H.; Yang, Y.; Tang, Y. An Improved Virtual Inertia Control for Three-Phase Voltage Source Converters Connected to a Weak Grid. IEEE Trans. Power Electron. 2018, 34, 8660–8670. [Google Scholar] [CrossRef]
 - Maulik, S.; John, V. Synchronization Stability of 3-Phase Grid Connected Inverters in Weak Grids. In Proceedings of the IECON 2022—48th Annual Conference of the IEEE Industrial Electronics Society, Brussels, Belgium, 17–20 October 2022; pp. 1–6. [Google Scholar]
 - Fang, J.; Yu, J.; Zhang, Y.; Goetz, S.M. An Estimation-Based Solution to Weak-Grid-Induced Small-Signal Stability Problems of Power Converters. IEEE J. Emerg. Sel. Top. Power Electron. 2020, 9, 4558–4572. [Google Scholar] [CrossRef]
 - Padiyar, K.R. Analysis of Subsynchronous Resonance in Power Systems; Springer Science & Business Media: Berlin, Germany, 1999; Volume 471, ISBN 0792383192. [Google Scholar]
 - da Silva, C.H.; Pereira, R.R.; da Silva, L.E.B.; Lambert-Torres, G.; Bose, B.K.; Ahn, S.U. A Digital PLL Scheme for Three-Phase System Using Modified Synchronous Reference Frame. IEEE Trans. Ind. Electron. 2010, 57, 3814–3821. [Google Scholar] [CrossRef]
 - Wang, J.; Huang, W.; Tai, N.; Yu, M.; Li, R.; Zhang, Y. A Bidirectional Virtual Inertia Control Strategy for the Interconnected Converter of Standalone AC/DC Hybrid Microgrids. IEEE Trans. Power Syst. 2023, 39, 745–754. [Google Scholar] [CrossRef]
 - Fathi, A.; Shafiee, Q.; Bevrani, H. Robust Frequency Control of Microgrids Using an Extended Virtual Synchronous Generator. IEEE Trans. Power Syst. 2018, 33, 6289–6297. [Google Scholar] [CrossRef]
 
















| Refs | RESs | ESSs | Main Concept of VSG Methodology | Main Controller | Contributions | 
|---|---|---|---|---|---|
| [22] | Not defined | Battery storage | The concept of virtual inertia for a bidirectional interlinking converter. | Droop control. | -The transient performance of frequency is enhanced when the rate-of-change-of-frequency (RoCoF) is reduced. -It is capable of offering inertia support and voltage regulation.  | 
| [30] | Wind and PV | Battery storage | The control strategy is dependent on the virtual controller. | PI controller. | Mitigating the changes in system frequency during various disturbances. | 
| [32] | Not defined | Battery and an ultracapacitor | Introduces a hybrid energy storage system that combines batteries and ultracapacitors for efficient power management (VSGs). | Droop control. | -Decreases the release duration of stored energy -Mitigates the impact of high-frequency -Achieves power regulation of VSGs.  | 
| [33] | PV | Superconducting magnetic energy storage | VSG combined with superconducting magnetic energy storage (SMES). | PI controller and decoupled controller. | -The load changes can be mitigated and enhanced by suppressing and improving the frequency and voltage fluctuations. -Enhance the degree of variation in frequency.  | 
| [34] | Not defined | Energy storage system | A mathematical model of VSG is developed to forecast the best output power of VSG, hence improving the frequency dynamics of the system. | The three-step prediction MPC-VSG control method. | The proposed method can increase the dynamic features of system voltage and frequency by providing inertia support during transient situations. | 
| [35] | Wind and PV | Battery storage | The advantages of Q-learning and full recurrent neuro-fuzzy are merged. | Model-free control strategy. | The optimization of active-reactive power flow, regulation of voltage, frequency, and reduction of THD. | 
| Description | Symbol | Value | 
|---|---|---|
| Battery voltage reference | VBES,ref | 250 V | 
| DC filter inductance | Lb | 5.6 mH | 
| DC-link capacitance | Cdc | 3.76 mF | 
| DC-link voltage reference | Vdc,ref | 400 V | 
| Maximum DC-link voltage deviation | Δvdc,max | 27 | 
| AC filter inductance | Lf | 10 mH | 
| AC filter capacitance | Cf | 100 µF | 
| Grid inductance | Lg | 1 mH | 
| Frequency reference | fref | 50 Hz | 
| Maximum frequency deviation | Δfmax | 0.2 Hz | 
| Grid RMS voltage | Vg,ref | 110 V | 
| Active power reference | Pref | 1 kW | 
| Switching frequency | Fsw | 10 kHz | 
| Description | Symbol | Value | 
|---|---|---|
| Frequency/voltage droop coefficient | Rdroop | 0.05 | 
| Speed governor coefficient | Tg | 0.1 s | 
| Turbine HP coefficient | FHP | 0.3 s | 
| Reheater time constant | TRH | 7 s | 
| The time constant of main inlet volumes | TCH | 0.2 s | 
| Base inertia coefficient | H | 5 s | 
| Base load damping coefficient | D | 1 | 
| Per unit reference values | P/Q/V/f | 1 | 
Disclaimer/Publisher’s Note: The statements, opinions and data contained in all publications are solely those of the individual author(s) and contributor(s) and not of MDPI and/or the editor(s). MDPI and/or the editor(s) disclaim responsibility for any injury to people or property resulting from any ideas, methods, instructions or products referred to in the content.  | 
© 2024 by the authors. Licensee MDPI, Basel, Switzerland. This article is an open access article distributed under the terms and conditions of the Creative Commons Attribution (CC BY) license (https://creativecommons.org/licenses/by/4.0/).
Share and Cite
Bakeer, A.; Chub, A.; Abid, A.; Zaid, S.A.; Alghamdi, T.A.H.; Salama, H.S. Enhancing Grid-Forming Converters Control in Hybrid AC/DC Microgrids Using Bidirectional Virtual Inertia Support. Processes 2024, 12, 139. https://doi.org/10.3390/pr12010139
Bakeer A, Chub A, Abid A, Zaid SA, Alghamdi TAH, Salama HS. Enhancing Grid-Forming Converters Control in Hybrid AC/DC Microgrids Using Bidirectional Virtual Inertia Support. Processes. 2024; 12(1):139. https://doi.org/10.3390/pr12010139
Chicago/Turabian StyleBakeer, Abualkasim, Andrii Chub, Abderahmane Abid, Sherif A. Zaid, Thamer A. H. Alghamdi, and Hossam S. Salama. 2024. "Enhancing Grid-Forming Converters Control in Hybrid AC/DC Microgrids Using Bidirectional Virtual Inertia Support" Processes 12, no. 1: 139. https://doi.org/10.3390/pr12010139
APA StyleBakeer, A., Chub, A., Abid, A., Zaid, S. A., Alghamdi, T. A. H., & Salama, H. S. (2024). Enhancing Grid-Forming Converters Control in Hybrid AC/DC Microgrids Using Bidirectional Virtual Inertia Support. Processes, 12(1), 139. https://doi.org/10.3390/pr12010139
        
