The Kinetic Mechanism of the Thermal Decomposition Reaction of Small Particles of Limestone at Steelmaking Temperatures
Abstract
:1. Introduction
2. Materials and Methods
2.1. Materials
2.2. Methods
2.3. Calculation Methodology
3. Results
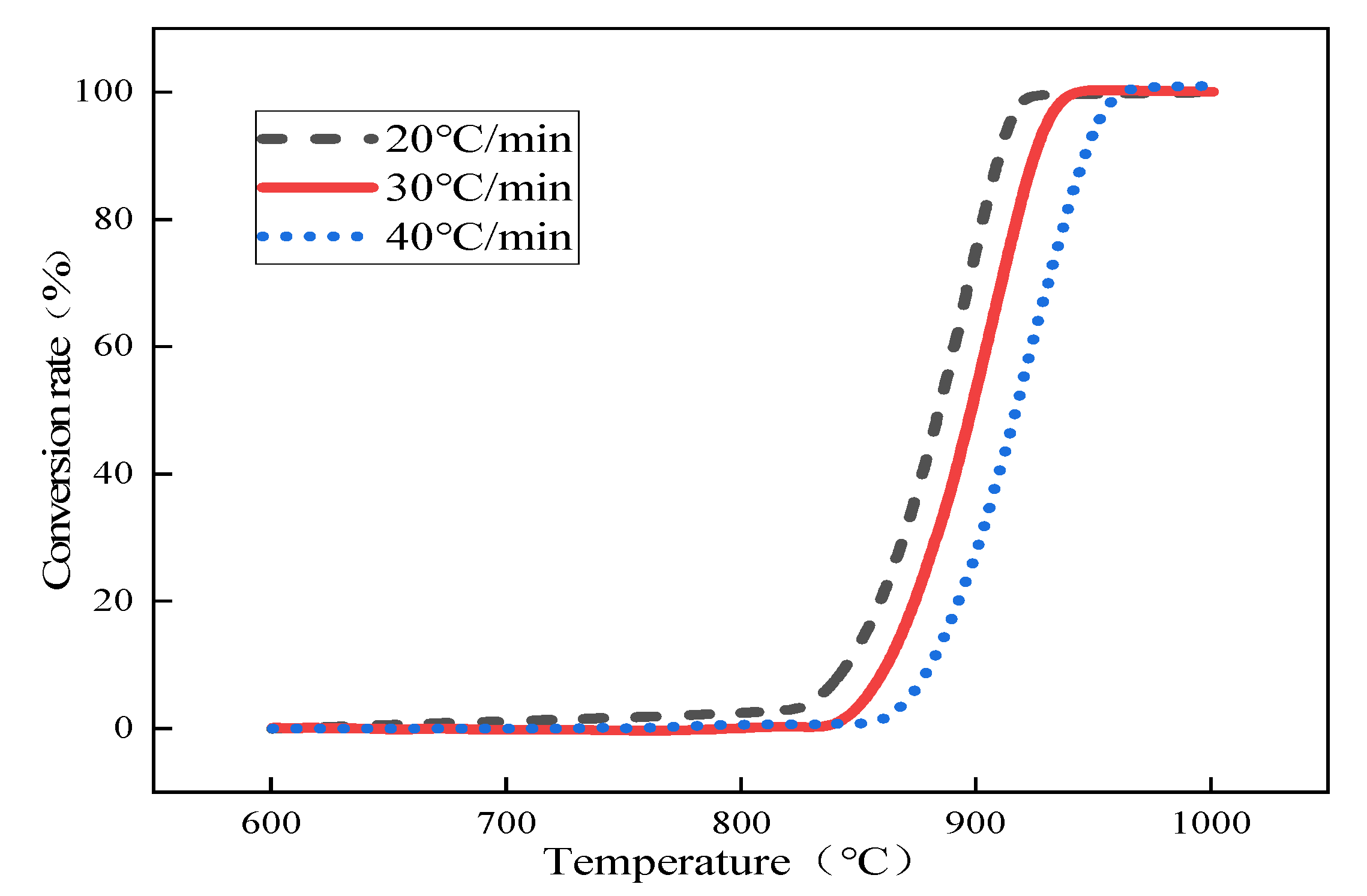
3.1. Effect of Particle Size on the Thermal Decomposition Reaction of Small-Particle Limestone
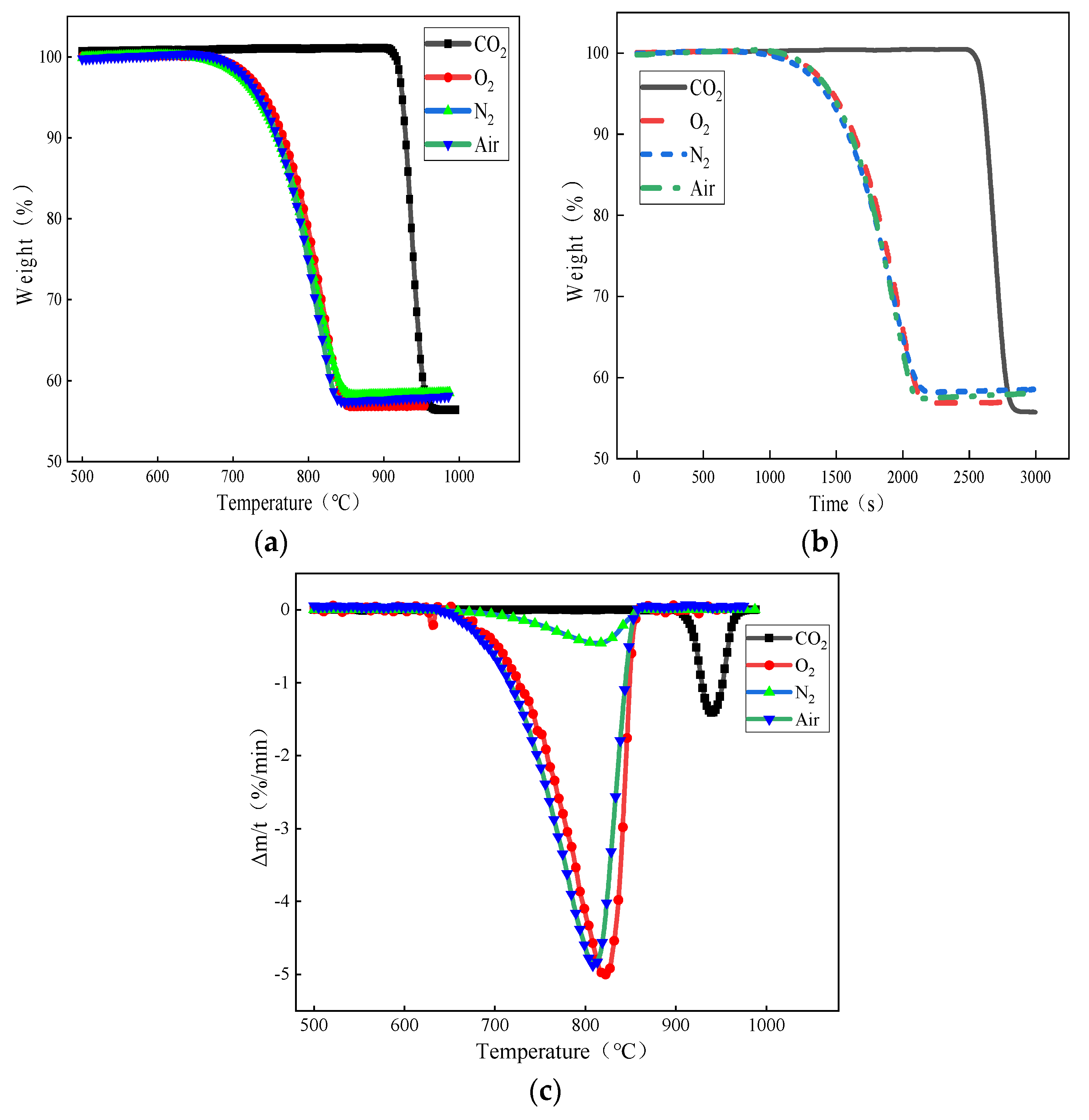
3.2. Effect of Atmosphere on the Thermal Decomposition Reaction of Small-Particle Limestone
3.3. Effect of CO2 Partial Pressure on the Thermal Decomposition Behavior of Small-Particle Limestone
3.4. Effect of CO2 Partial Pressure on the Thermal Decomposition Kinetics of Small-Particle Limestone
4. Conclusions
- (1)
- With the increase in heating rate, the decomposition temperature of small particles of limestone increases. The apparent activation energies of the decomposition of limestone with average particle sizes of 0.44 mm and 2.5 mm is 250.32 kJ·mol−1 and 328.27 kJ·mol−1, respectively, and with the increase in limestone particle size, the apparent activation energy of the thermal decomposition of limestone increases, and the difficulty of the decomposition reaction increases.
- (2)
- Compared with N2, air, and O2 atmospheres, in the pure CO2 atmosphere, limestone thermal decomposition reaction completion temperature increases, but the time required for decomposition is shortened. With the increase in the partial pressure of carbon dioxide, limestone decomposition is inhibited and the decomposition temperature lags. However, the decomposition reaction occurs more intensely as the limestone decomposition speed is accelerated, and time required to complete the decomposition is shortened.
- (3)
- At low CO2 partial pressures, the limestone decomposition temperature produces a hysteresis as the partial pressure increases and the reaction rate increases by a large amount. Under high CO2 partial pressure, the inhibition is more significant, and the reaction rate slows down, but the reaction can be fully reacted within 1000 °C.
- (4)
- The thermal decomposition reactions of small-grained limestone at different CO2 partial pressures at steelmaking temperatures are all consistent with the model of both stochastic nucleation and subsequent growth, and the functional equation of the mechanism is ; the activation energy of the decomposition reaction gradually increases when the CO2 partial pressure is increased from 25% to 100%, the number of reaction stages n increases, and the difficulty of the reaction increases.
Author Contributions
Funding
Data Availability Statement
Acknowledgments
Conflicts of Interest
References
- Zhang, Q.; Shen, J.-L.; XU, L.-S. Carbon peak and low-carbon transition path of China’s iron and steel industry. Iron Steel 2021, 56, 152–163. [Google Scholar]
- Cui, Z.-F.; Xu, A.-J.; Shangguan, F.-Q. Low-carbon development strategy analysis of the domestic and foreign steel industry. Chin. J. Eng. 2022, 44, 1496–1506. [Google Scholar]
- Zhang, F.-M.; Liu, Q.-M. Development and understanding on low carbon technology based on BF-BOF steel manufacturing processes. China Metall. 2023, 33, 1–17. [Google Scholar]
- Somnath, B.; Ashok, K.L.; Seshadri, S.; Halder, J. Change in phosphorus partition during blowing in a commercial BOF. ISIJ Int. 2007, 47, 766. [Google Scholar]
- Ye, G.-F.; Yang, J.; Lu, X.-W.; Wang, H.; Liu, W.-S.; Zhang, R.-H.; Yang, W.-K. Effects of operation parameters on dephosphorization results of BOF at low temperature and low basicity. Steelmaking 2019, 35, 16–23. [Google Scholar]
- Zhang, R.-H.; Yang, J.; Ye, G.-F.; Sun, H.; Yang, W.-K. Latest development of dephosphorization process in converter steelmaking. Steelmaking 2022, 38, 1–13. [Google Scholar]
- Zeng, J.-Q.; Yang, L.-B.; Wang, J.; Liu, X.-L.; Yao, T.-L.; Dai, S.-F. Effect of bottom blowing on dephosphorization technology in combined blowing converter. Iron Steel 2017, 52, 40–44+51. [Google Scholar]
- Zhi, J.-G.; Wu, W.; Gao, Q.; Xu, T.; Luo, H.-M.; Zhang, X.-F. Effect of improving dephosphorization of molten steel by optimizing slagging in large converters. Iron Steel 2020, 55, 72–77. [Google Scholar]
- Chen, L.; Diao, J.; Wang, G.; Xie, B. Assessment of dephosphorization during vanadium extraction process in converter. JOM 2018, 70, 46–51. [Google Scholar] [CrossRef]
- Li, H.; Qu, Y. Discussion on limestone addition instead of lime for energy-saving and emission reduction in BOF steelmaking. China Metall. 2010, 20, 45–48. [Google Scholar]
- Katherine, L.; Yang, Y.D.; Mansoor, B.; McLean, A. Dephosphorization of levitated silicon-iron droplets for production of Solar-Grade Silicon. Metall. Mater. Trans. B 2018, 49, 21–25. [Google Scholar]
- Diao, J.; Shao, L.; Liu, D.; Qiao, Y.; Tan, W.; Wu, L.; Xie, B. Removal of Phosphorus from Leach Liquor of Steel Slag: Adsorption Dephosphorization with Activated Alumina. JOM 2018, 70, 36–40. [Google Scholar] [CrossRef]
- Davide, M.; Carlo, M.; Silvia, B.; Gruttadauria, A.; Sosio, R.; Valentino, G.; Ancona, V. Model for phosphorus removal in LD converter and design of a valuable operative practice. Steel Res. Int. 2018, 89, 46–51. [Google Scholar]
- Mao, W.-W.; Li, C.-X.; Lu, H.; Hu, L.-F.; Li, H.; Cao, Z.-M. Silicon volatilization in the form of SiO during slagging by limestone in BOF. Ironmak. Steelmak. 2017, 44, 389–393. [Google Scholar] [CrossRef]
- Mao, W.; Li, C.; Lu, H.; Li, H.; Xie, W. Limestone dissolution and decomposition in steelmaking slag. Ironmak. Steelmak. 2018, 45, 720–726. [Google Scholar] [CrossRef]
- Lu, H.; Li, C.-X.; Mao, W.-W.; Li, H. Laboratory study of CaCO3 decomposition, influence of BOF converter slag. Metall. Res. Technol. 2017, 114, 20–26. [Google Scholar] [CrossRef]
- Dong, K.; Wang, X.-L. CO2 utilization in the ironmaking and steelmaking process. Metals 2019, 9, 273. [Google Scholar] [CrossRef]
- Yi, C.; Zhu, R.; Chen, B.-Y.; Yi, C.; Zhu, R.; Chen, B.-Y.; Wang, C.-R.; Ke, J.-X. Experimental research on reducing the dust of BOF in CO2 and O2 mixed blowing steelmaking process. ISIJ Int. 2009, 49, 1694–1699. [Google Scholar] [CrossRef]
- Lv, M.; Zhu, R.; Wei, X.; Wang, H.; Bi, X. Research on top and bottom mixed blowing CO2 in converter steelmaking process. Steel Res. Int. 2012, 83, 11–15. [Google Scholar] [CrossRef]
- Deng, T.; Patrice, N.; Ek, M.; Du, S. Limestone dissolution in converter slag at 1873 K (1600 °C). Metall. Mater. Trans. B 2013, 44, 98. [Google Scholar] [CrossRef]
- Lu, W.-G.; Zhu, R.; Yu, H. Research on slagging by limestone during BOF steelmaking process. Chin. J. Eng. 2016, 38, 78–82. [Google Scholar]
- Liang, Y.-C.; Tang, H.-Y.; Li, J.-S.; Guo, S.-L.; Wang, G.-F.; Dan, J.-Q.; Yang, H.-B.; Li, H. Laboratory study on dephosphorization with limestone substituting for some lime. J. Chongqing Univ. 2015, 38, 83–88. [Google Scholar]
- Tang, B.; Wang, X.-M.; Zou, Z.-S.; Sun, G.-Q. Physical simulation of BOF limestone particles blowing via top lance. J. Northeast. Univ. (Nat. Sci.) 2014, 35, 695–699. [Google Scholar]
- Zhang, B.; Wu, W.; Wu, W.; Wang, T.-M.; Luo, L.-G.; Wang, Y.-H. Water model of freely swing lance injecting limestone powder to dephosphorization. Iron Steel 2019, 54, 28–32. [Google Scholar]
- Wang, L.-Y.; Xue, Z.-L.; Chen, K.-F.; Hu, B. High-temperature decomposition kinetics of large particle-size limestone. J. Chongqing Univ. 2020, 43, 32–46. [Google Scholar]
- Cao, J.; Qiao, X.-C.; Liu, C.-L.; Zhang, J.-S. A study on kinetics of limestone decomposition in air and CO2 atmospheres. Inorg. Chem. Ind. 2016, 48, 32–36. [Google Scholar]
- Zhang, W.-X.; Liu, L.-S.; Cao, H.-J.; Wu, B.-K.; Cheng, Z.-P. Effect on kinetics of limestone decomposition under different CO2 atmospheres. lnorganic Chem. Ind. 2020, 52, 59–63. [Google Scholar]
- Chen, H.; Zhang, S.-H.; Yang, H.-P.; Li, P.; Chen, H.-P.; Zeng, J. Study on thermal decomposition kinetics of limestone with large particle size. Inorg. Chem. Ind. 2013, 45, 11–14. [Google Scholar] [CrossRef]
- Li, C.-X.; Li, H.; Zhou, B.; Lv, Y.-C.; Qin, D.-P.; Wei, S.-H. Experimental study on steelmaking using limestone instead of lime as the slagging material in 100t converter. China Metall. 2015, 25, 22–26+49. [Google Scholar]
- Lu, H.; Li, C.-X.; Mao, W.-W.; Li, H. The effect of CO2 oxidation on hot metal arising from CaCO3 decomposition in BOF. Steelmaking 2017, 33, 49–55. [Google Scholar]
- Sun, H.-K.; Li, C.-X.; Wang, S.-H.; Zhang, K.-X.; Tong, S.; Zhang, Y. Research on microstructure evolution behavior of small particle limestone during rapid calcination at high temperature. Steelmaking 2022, 38, 38–42+58. [Google Scholar]
- Hu, R.-Z.; Gao, S.-L.; Zhao, F.-Q. Thermal Analysis Kinetics; Beijing Science Press: Beijing China, 2008; pp. 29–30, 119–120, 138–140, 151–155. [Google Scholar]






| CaO | MgO | SiO2 | SO3 | Al2O3 | Fe2O3 | K2O | Others | Loss |
|---|---|---|---|---|---|---|---|---|
| 54.38 | 0.96 | 0.17 | 0.01 | 0.234 | 0.258 | 0.08 | 0.056 | 43.875 |
| Conversion Rate (%) | Temperature/°C (20 °C/min) | Temperature/°C (30 °C/min) | Temperature/°C (40 °C/min) |
|---|---|---|---|
| 20 | 863.37 | 878.9 | 892.51 |
| 30 | 870.91 | 886.93 | 901.13 |
| 40 | 878.8 | 895.12 | 909.64 |
| 50 | 886.5 | 902.22 | 917.12 |
| 60 | 890.66 | 908.29 | 923.82 |
| 70 | 896.87 | 915 | 931.06 |
| 80 | 902.88 | 921.46 | 937.77 |
| 90 | 909.59 | 929.98 | 946.35 |
| Conversion Rate (%) | Linear Fitting Equation | Fitting Factor (R2) | E (kJ·mol−1) |
|---|---|---|---|
| 20 | 0.9968 | 244.51 | |
| 30 | 0.9965 | 238.58 | |
| 40 | 0.9963 | 236.87 | |
| 50 | 0.9962 | 233.51 | |
| 60 | 0.9967 | 224.19 | |
| 70 | 0.9965 | 219.49 | |
| 80 | 0.9968 | 217.14 | |
| 90 | 0.9992 | 207.82 |
| Conversion Rate (%) | Temperature/°C (20 °C/min) | Temperature/°C (30 °C/min) | Temperature/°C (40 °C/min) |
|---|---|---|---|
| 20 | 832.07 | 852.91 | 865.33 |
| 30 | 841.74 | 862.12 | 877.46 |
| 40 | 849.45 | 873.19 | 887.74 |
| 50 | 857.65 | 882.62 | 897.57 |
| 60 | 867.56 | 888.85 | 910.15 |
| 70 | 873.15 | 899.02 | 917.94 |
| 80 | 878.95 | 907.32 | 924.15 |
| 90 | 886.21 | 916.87 | 934.31 |
| Conversion Rate (%) | Linear Fitting Equation | Fitting Factor (R2) | E (kJ·mol−1) |
|---|---|---|---|
| 20 | 0.9965 | 198.68 | |
| 30 | 0.9993 | 188.72 | |
| 40 | 0.9972 | 177.02 | |
| 50 | 0.9964 | 171.67 | |
| 60 | 0.9956 | 164.82 | |
| 70 | 1 | 157.58 | |
| 80 | 0.9947 | 155.92 | |
| 90 | 0.9941 | 147.52 |
| Partial Pressure of CO2 | Eα→0 (kJ·mol−1) |
|---|---|
| 0 | 201.9 |
| 25% | 231.81 |
| 50% | 250.32 |
| 75% | 310.42 |
| 100% | 347.11 |
| G(α) | 0 °C/min | 20 °C/min | ||
|---|---|---|---|---|
| Eβ→0 (kJ·mol−1) | R2 | E (kJ·mol−1) | R2 | |
| 911.78 | 1 | 638.39 | 0.9888 | |
| 1047.6 | 1 | 744.56 | 0.9946 | |
| 956.45 | 0.996 | 673.22 | 0.9916 | |
| 477.68 | 0.999 | 336.79 | 0.9923 | |
| 515.08 | 0.999 | 362.87 | 0.9943 | |
| 588.44 | 1 | 420.69 | 0.9937 | |
| 386.47 | 1 | 274.19 | 0.9934 | |
| 285.49 | 0.998 | 200.94 | 0.9931 | |
| 184.51 | 0.997 | 127.69 | 0.9924 | |
| 228.92 | 1 | 156.99 | 0.9928 | |
| 134.02 | 0.999 | 91.06 | 0.9917 | |
| 436.99 | 1 | 310.82 | 0.9935 | |
| G(α) | 30 °C/min | 40 °C/min | ||
| E (kJ·mol−1) | R2 | E (kJ·mol−1) | R2 | |
| 565.93 | 0.9813 | 536.31 | 0.989 | |
| 662.24 | 0.9926 | 626.06 | 0.9947 | |
| 597.51 | 0.9861 | 565.75 | 0.9918 | |
| 298.34 | 0.9875 | 281.23 | 0.9924 | |
| 321.49 | 0.9921 | 303.28 | 0.9943 | |
| 374.03 | 0.9967 | 352.16 | 0.9936 | |
| 242.94 | 0.9965 | 228.27 | 0.9933 | |
| 177.39 | 0.9963 | 166.33 | 0.9929 | |
| 111.85 | 0.9958 | 104.39 | 0.992 | |
| 138.06 | 0.9961 | 129.17 | 0.9925 | |
| 79.07 | 0.9953 | 73.42 | 0.991 | |
| 275.71 | 0.9965 | 259.25 | 0.9934 | |
| Partial Pressure of CO2 | Eβ→0 (kJ·mol−1) | R2 | G(α) | n |
|---|---|---|---|---|
| 0 | 204.99 | 0.999 | 2/3 | |
| 25 | 228.92 | 1 | 2/5 | |
| 50 | 249.48 | 0.998 | 2/5 | |
| 75 | 309.03 | 0.999 | ½ | |
| 100 | 340.2 | 1 | ½ |
Disclaimer/Publisher’s Note: The statements, opinions and data contained in all publications are solely those of the individual author(s) and contributor(s) and not of MDPI and/or the editor(s). MDPI and/or the editor(s) disclaim responsibility for any injury to people or property resulting from any ideas, methods, instructions or products referred to in the content. |
© 2023 by the authors. Licensee MDPI, Basel, Switzerland. This article is an open access article distributed under the terms and conditions of the Creative Commons Attribution (CC BY) license (https://creativecommons.org/licenses/by/4.0/).
Share and Cite
Li, C.; Zhang, Y.; Xue, Y.; Zhang, K.; Wang, S.; Sun, H.; Xie, H. The Kinetic Mechanism of the Thermal Decomposition Reaction of Small Particles of Limestone at Steelmaking Temperatures. Processes 2023, 11, 2712. https://doi.org/10.3390/pr11092712
Li C, Zhang Y, Xue Y, Zhang K, Wang S, Sun H, Xie H. The Kinetic Mechanism of the Thermal Decomposition Reaction of Small Particles of Limestone at Steelmaking Temperatures. Processes. 2023; 11(9):2712. https://doi.org/10.3390/pr11092712
Chicago/Turabian StyleLi, Chenxiao, Yun Zhang, Yuekai Xue, Kaixuan Zhang, Shuhuan Wang, Huakang Sun, and Huaqing Xie. 2023. "The Kinetic Mechanism of the Thermal Decomposition Reaction of Small Particles of Limestone at Steelmaking Temperatures" Processes 11, no. 9: 2712. https://doi.org/10.3390/pr11092712
APA StyleLi, C., Zhang, Y., Xue, Y., Zhang, K., Wang, S., Sun, H., & Xie, H. (2023). The Kinetic Mechanism of the Thermal Decomposition Reaction of Small Particles of Limestone at Steelmaking Temperatures. Processes, 11(9), 2712. https://doi.org/10.3390/pr11092712

