Study on Flow Characteristics of a Single Blade Breakage Fault in a Centrifugal Pump
Abstract
:1. Introduction
2. Blade Breakage Fault
2.1. Test Pump
2.2. Blade Breakage Fault Mode
3. Experiment and Numeral Calculation
3.1. Design of Experimental Setup
3.2. Hydraulic Model Components and Meshing
3.3. The Setting of Boundary Conditions
3.4. Experimental Verification
3.5. Flowchart of Numerical Simulations
4. Analysis of Results
4.1. Transformations in Performance
4.2. Span Surface Velocity and Pressure Analysis
4.3. Turbulent Kinetic Energy Analysis
4.4. Vorticity Analysis in the Channel
4.5. Comparison of Blade Loads
5. Transient Pressure Pulsations
5.1. Transient Calculation Method
5.2. Monitoring Points
5.3. Pressure Pulsations
6. Conclusions
- (1)
- After a broken blade failure, the head will drop under the same flow rate, but the efficiency is basically not affected under the condition of low flow rates. With the increase in flow rate, the proportion of efficiency reduction increases. Under the 1.5Qd condition, the proportion of efficiency reduction increases to 14.33%.
- (2)
- When a single blade is broken, the change in the damaged blade channel is not obvious, but a large number of vortices appear at the inlet of the next channel, resulting in a large low-pressure area, affecting the flow in this channel.
- (3)
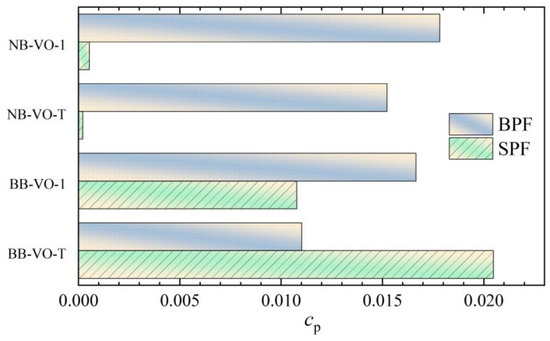
- Under normal working conditions, the main frequency of pressure pulsation at each monitoring point of the spiral case is BPF, while the intensity of SPF is very low. Under the condition of blade damage, the SPF intensity of pressure pulsation at each monitoring point of volute increases, and the BPF intensity decreases to a certain extent, especially at VO-T point, the SPF becomes the dominant frequency.
Author Contributions
Funding
Data Availability Statement
Conflicts of Interest
Nomenclature
| Symbols | |
| b2 | Outlet width of the impeller, mm |
| D0 | Inlet diameter of the impeller, mm |
| D2 | Outlet diameter of the impeller, mm |
| DP | Impeller diameter of prototype pump, mm |
| DM | Impeller diameter of model pump, mm |
| P | Static pressure, Pa |
| Q | Volume flow rate, m3/h |
| QP | Volume flow rate of prototype pump, m3/h |
| QM | Volume flow rate of test pump, m3/h |
| H | Head, m |
| n | Rated speed of impeller, r/min |
| ns | Specific speed |
| nP | Rotational speed of prototype pump, r/min |
| nM | Rotational speed of model pump, r/min |
| Z | Number of the impeller blades |
| η | Efficiency, % |
| Hdiff | Head difference, % |
| ηdiff | Efficiency difference, % |
| LE | Leading edge |
| TE | Trailing edge |
| PS | Pressure surface |
| SS | Suction surface |
| NB | Normal blade |
| BB | Broken blade |
| VI-1~8 | Volute inside points 1~8 |
| VO-T | Volute outside point-Tongue |
| VO-1~9 | Volute outside points 1~9 |
| SPF | Shaft passing frequency |
| BPF | Blade passing frequency |
References
- Patra, J.; Pandey, N.K.; Muduli, U.K.; Natarajan, R.; Joshi, J.B. Hydrodynamic Study of Flow in the Rotor Region of Annular Centrifugal Contactors Using Cfd Simulation. Chem. Eng. Commun. 2013, 200, 471–493. [Google Scholar] [CrossRef]
- Stan, M.; Pana, I.; Minescu, M.; Ichim, A.; Teodoriu, C. Centrifugal Pump Monitoring and Determination of Pump Characteristic Curves Using Experimental and Analytical Solutions. Processes 2018, 6, 18. [Google Scholar] [CrossRef]
- Jia, X.; Chu, Q.; Zhang, L.; Zhu, Z. Experimental Study on Operational Stability of Centrifugal Pumps of Varying Impeller Types Based on External Characteristic, Pressure Pulsation and Vibration Characteristic Tests. Front. Energy Res. 2022, 10, 866037. [Google Scholar] [CrossRef]
- Wang, J.; Zhang, L.; Zheng, Y.; Wang, K. Adaptive prognosis of centrifugal pump under variable operating conditions. Mech. Syst. Signal Process. 2019, 131, 576–591. [Google Scholar] [CrossRef]
- Sunal, C.E.; Dyo, V.; Velisavljevic, V. Review of Machine Learning Based Fault Detection for Centrifugal Pump Induction Motors. IEEE Access 2022, 10, 71344–71355. [Google Scholar] [CrossRef]
- Yu, R.; Liu, J. Failure analysis of centrifugal pump impeller. Eng. Fail. Anal. 2018, 92, 343–349. [Google Scholar] [CrossRef]
- Wu, D.; Yao, S.; Lin, R.; Ren, Y.; Zhou, P.; Gu, Y.; Mou, J. Dynamic Instability Analysis of a Double-Blade Centrifugal Pump. Appl. Sci. 2021, 11, 8180. [Google Scholar] [CrossRef]
- Zhang, S.; Chen, H.; Ma, Z.; Wang, D.; Ding, K. Unsteady flow and pressure pulsation characteristics in centrifugal pump based on dynamic mode decomposition method. Phys. Fluids 2022, 34, 112014. [Google Scholar] [CrossRef]
- Yu, T.; Shuai, Z.; Jian, J.; Wang, X.; Ren, K.; Dong, L.; Li, W.; Jiang, C. Numerical study on hydrodynamic characteristics of a centrifugal pump influenced by impeller-eccentric effect. Eng. Fail. Anal. 2022, 138, 106395. [Google Scholar] [CrossRef]
- Ahmad, S.; Ahmad, Z.; Kim, J.-M. A Centrifugal Pump Fault Diagnosis Framework Based on Supervised Contrastive Learning. Sensors 2022, 22, 6448. [Google Scholar] [CrossRef] [PubMed]
- Zaman, W.; Ahmad, Z.; Siddique, M.F.; Ullah, N.; Kim, J.-M. Centrifugal Pump Fault Diagnosis Based on a Novel SobelEdge Scalogram and CNN. Sensors 2023, 23, 5255. [Google Scholar] [CrossRef] [PubMed]
- Chen, L.; Yan, H.; Xie, T.; Li, Z. Identification of cavitation state of centrifugal pump based on current signal. Front. Energy Res. 2023, 11, 1204300. [Google Scholar]
- Sakthivel, N.R.; Nair, B.B.; Elangovan, M.; Sugumaran, V.; Saravanmurugan, S. Comparison of dimensionality reduction techniques for the fault diagnosis of mono block centrifugal pump using vibration signals. Eng. Sci. Technol. Int. J. 2014, 17, 30–38. [Google Scholar] [CrossRef]
- Araste, Z.; Sadighi, A.; Moghaddam, M.J. Support Vector Machine-Based Fault Diagnosis of a Centrifugal Pump Using Electrical Signature Analysis. In Proceedings of the IEEE 6th International Conference on Signal Processing and Intelligent Systems (ICSPIS), Mashhad, Iran, 23–24 December 2020. [Google Scholar]
- Jamimoghaddam, M.; Sadighi, A.; Araste, Z. ESA-Based Anomaly Detection of a Centrifugal Pump Using Self-Organizing Map. In Proceedings of the IEEE 6th International Conference on Signal Processing and Intelligent Systems (ICSPIS), Mashhad, Iran, 23–24 December 2020. [Google Scholar]
- Cao, S.; Hu, Z.; Luo, X.; Wang, H. Research on fault diagnosis technology of centrifugal pump blade crack based on PCA and GMM. Measurement 2021, 173, 108558. [Google Scholar] [CrossRef]
- Wu, X.; Sun, X.; Tan, M.; Liu, H. Research on operating characteristics of a centrifugal pump with broken impeller. Adv. Mech. Eng. 2021, 13, 16878140211049951. [Google Scholar] [CrossRef]
- Tan, M.; Lu, Y.; Wu, X.; Liu, H.; Tian, X. Investigation on performance of a centrifugal pump with multi-malfunction. J. Low Freq. Noise Vib. Act. Control 2021, 40, 740–752. [Google Scholar] [CrossRef]
- Zhai, L.; Chen, H.; Gu, Q.; Ma, Z. Investigation on performance of a marine centrifugal pump with broken impeller. Mod. Phys. Lett. B 2022, 36, 2250174. [Google Scholar] [CrossRef]
- An, C.; Li, H.; Chen, Y.; Zhu, R.; Fu, Q.; Wang, X. Research on flow resistance characteristics of reactor coolant pump under large break LOCA at inlet. Nucl. Eng. Des. 2022, 395, 111856. [Google Scholar]
- Shao, X.; Zhao, W. Performance study on a partial emission cryogenic circulation pump with high head and small flow in various conditions. Int. J. Hydrogen Energy 2019, 44, 27141–27150. [Google Scholar]
- Ni, D.; Chen, J.; Wang, F.; Zheng, Y.; Zhang, Y.; Gao, B. Investigation into Dynamic Pressure Pulsation Characteristics in a Centrifugal Pump with Staggered Impeller. Energies 2023, 16, 3848. [Google Scholar]






























| Parameters | Q (m3/h) | H (m) | n (r/min) | ns |
|---|---|---|---|---|
| prototype pump | 3800 | 43 | 985 | 220 |
| test pump | 363 | 15.3 | 1470 | 220 |
| Geometric Characteristics | Value |
|---|---|
| The quantity of blades on the impeller | 6 |
| The impeller’s outlet diameter/mm | 660 |
| The impeller’s outlet width/mm | 90 |
| The impeller’s inlet width/mm | 440 |
| Section | Inlet | Impeller | Volute | Front Chamber | Back Chamber | Outlet | Total |
|---|---|---|---|---|---|---|---|
| Mesh Number | 248,937 | 219,078 | 707,818 | 47,656 | 91,200 | 101,910 | 1,416,599 |
| 537,681 | 674,832 | 1,238,111 | 90,712 | 117,496 | 47,658 | 2,706,490 | |
| 538,692 | 1,183,896 | 1,982,208 | 1,049,880 | 747,912 | 675,000 | 6,177,588 | |
| 2,239,545 | 4,529,616 | 4,522,624 | 2,239,545 | 3,492,480 | 14,61,257 | 18,485,067 |
Disclaimer/Publisher’s Note: The statements, opinions and data contained in all publications are solely those of the individual author(s) and contributor(s) and not of MDPI and/or the editor(s). MDPI and/or the editor(s) disclaim responsibility for any injury to people or property resulting from any ideas, methods, instructions or products referred to in the content. |
© 2023 by the authors. Licensee MDPI, Basel, Switzerland. This article is an open access article distributed under the terms and conditions of the Creative Commons Attribution (CC BY) license (https://creativecommons.org/licenses/by/4.0/).
Share and Cite
Li, H.; Huang, Q.; Li, S.; Li, Y.; Fu, Q.; Zhu, R. Study on Flow Characteristics of a Single Blade Breakage Fault in a Centrifugal Pump. Processes 2023, 11, 2695. https://doi.org/10.3390/pr11092695
Li H, Huang Q, Li S, Li Y, Fu Q, Zhu R. Study on Flow Characteristics of a Single Blade Breakage Fault in a Centrifugal Pump. Processes. 2023; 11(9):2695. https://doi.org/10.3390/pr11092695
Chicago/Turabian StyleLi, Huairui, Qian Huang, Sihan Li, Yunpeng Li, Qiang Fu, and Rongsheng Zhu. 2023. "Study on Flow Characteristics of a Single Blade Breakage Fault in a Centrifugal Pump" Processes 11, no. 9: 2695. https://doi.org/10.3390/pr11092695
APA StyleLi, H., Huang, Q., Li, S., Li, Y., Fu, Q., & Zhu, R. (2023). Study on Flow Characteristics of a Single Blade Breakage Fault in a Centrifugal Pump. Processes, 11(9), 2695. https://doi.org/10.3390/pr11092695

