Study of the Optimization of Rail Pressure Characteristics in the High-Pressure Common Rail Injection System for Diesel Engines Based on the Response Surface Methodology
Abstract
:1. Introduction
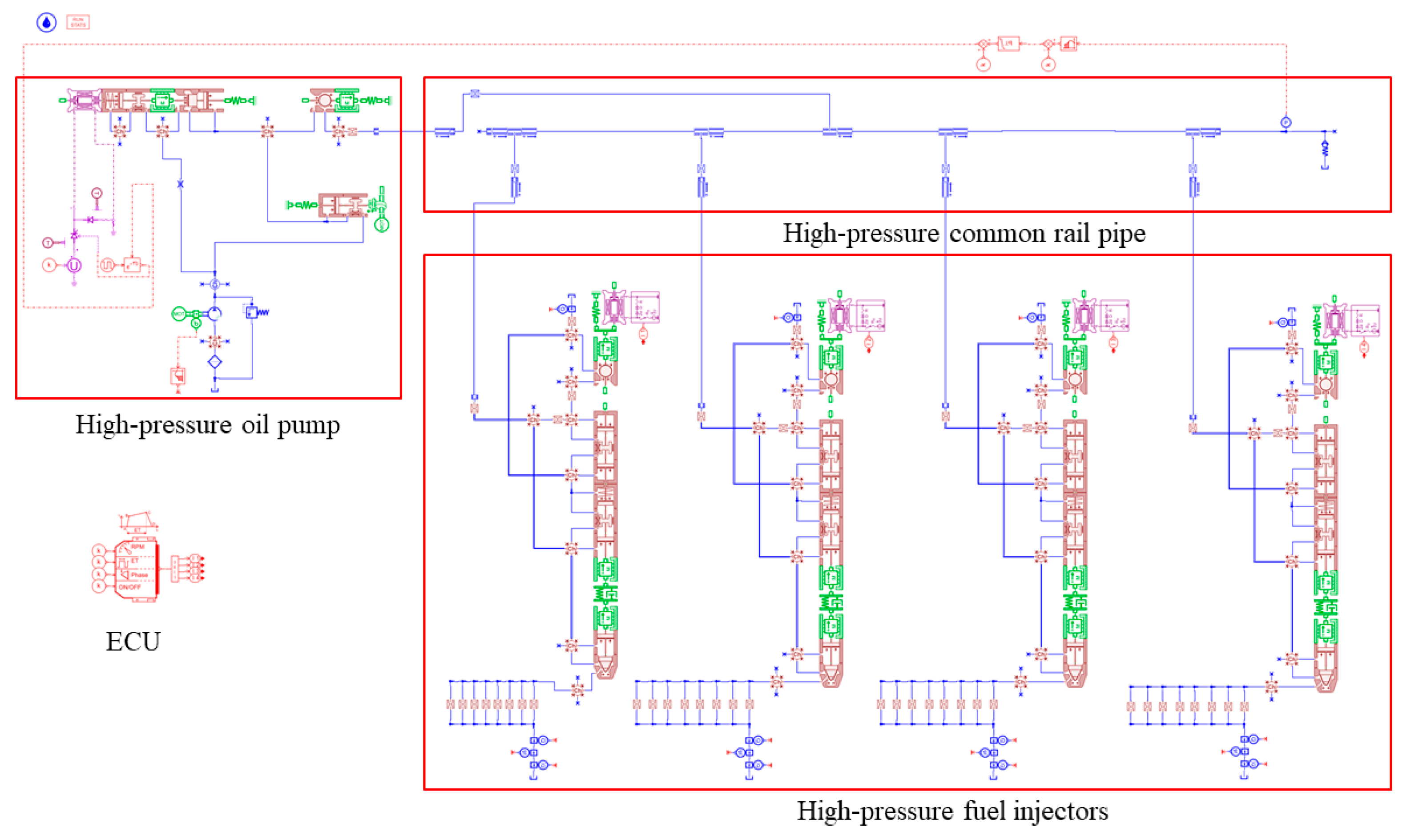
2. Mathematical Mode of the High-Pressure Common Rail Injection System (HPCRIS) for Diesel Engines
2.1. Description of the HPCRIS
2.2. Fuel Fluid Mathematical Model
2.3. Mathematical Model of the High-Pressure Oil Pump
2.4. Mathematical Model of the High-Pressure Common Rail Pipe
2.5. Mathematical Model of Fuel Injectors
2.5.1. Fuel Continuity Equation in the Control Chamber of the Fuel Injectors
2.5.2. Fuel Continuity Equation in the Fuel Tank of Fuel Injectors
2.5.3. Fuel Continuity Equation in Fuel Injectors’ Pressure Chamber
3. Simulation Model of the HPCRIS for Diesel Engines
- (1)
- The diesel oil flow through the HPCRIS pipe is regarded as a compressible, one-dimensional, unsteady laminar flow.
- (2)
- During the operation of fuel injectors, it is assumed that the temperature of the HPCRIS remains constant.
- (3)
- Fuel gravity and heat transfer generated during system operation are neglected.
- (4)
- It is assumed that the density and elastic modulus of fuel are only related to the rail pressure, and assumed that the viscosity of fuel is considered to remain constant.
- (5)
- It is assumed that the fuel pressure and density at the same time are the same in all parts of the same volume chamber.
4. Single Factor Parameter Analysis
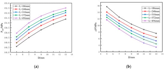
4.1. Effect of Common Rail Pipe Length L Change on Injection Characteristics
4.2. Effect of Common Rail Pipe Diameter D Changes on Injection Characteristics
4.3. Effect of Diameter R Variations in High-Pressure Oil Pipes on Injection Characteristics
5. Optimization of Parameters for the Common Rail Pipe and High-Pressure Oil Pipes
5.1. Selection of Response Surface Methodology (RSM) Design Method and Variables
5.1.1. Analysis of the Average Pressure Prail Test for the Common Rail Pipe
5.1.2. Analysis of the Rail Pressure Fluctuation ΔP Test for the Common Rail Pipe
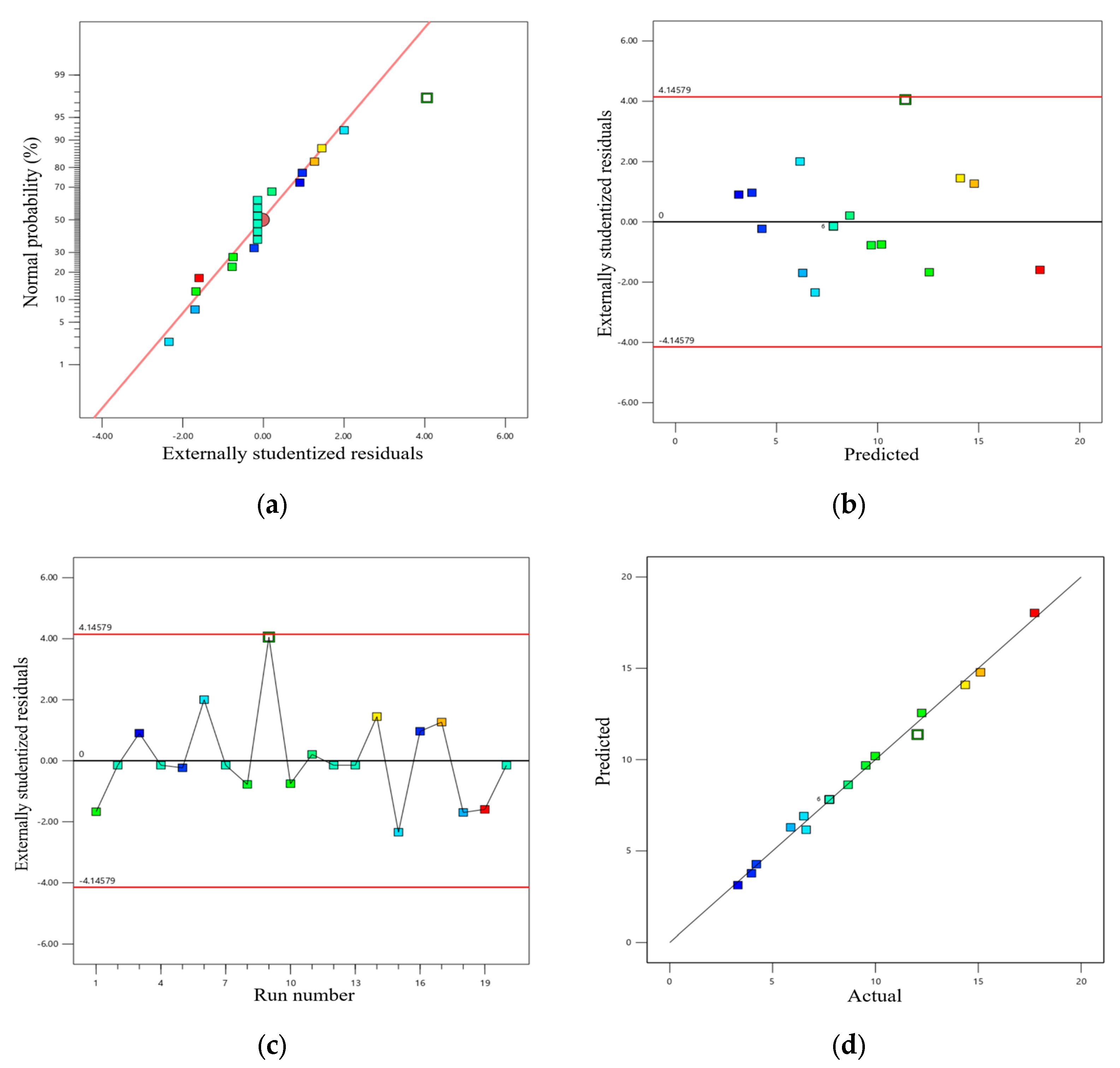
5.2. Analysis of Variance
5.2.1. Analysis of Variance in the Average Rail Pressure Prail for the Common Rail Pipe
5.2.2. Analysis of Variance in the Average Pressure Fluctuation ΔP in the Common Rail Pipe
5.3. Analysis of the Impact of Interaction Parameter Factors
5.3.1. Analysis of the Influence of Interaction Parameter Factors on the Average Rail Pressure Prail
5.3.2. Analysis of the Influence of Interactive Parameters on the Average Rail Pressure Fluctuations ΔP
5.4. Response Surface Optimization Analysis
5.4.1. Response Surface Optimization Analysis of the Average Rail Pressure Prail in the Common Rail Pipe
5.4.2. Response Surface Optimization Analysis of the Average Rail Pressure Fluctuations ΔP in the Common Rail Pipe
6. Test Verification of the HPCRIS for Diesel Engines
7. Conclusions
- (1)
- The length L of the common rail pipe, the diameter D of the common rail pipe, the diameter R of high-pressure oil pipes, the product term DR of the common rail pipe diameter and the diameter of high-pressure oil pipes, as well as the square D2 of the common rail pipe diameter, are all important influencing factors for the regression model under the average rail pressure and rail pressure fluctuations.
- (2)
- When the diameter D of the common rail pipe and the diameter R of the high-pressure oil pipes remain unchanged, increasing the length L of the common rail pipe can increase the pressure on the common rail pipe and reduce the pressure fluctuations in the common rail pipe, but the slope of the curve change is relatively slow. When L and R remain constant, increasing D can effectively increase the average pressure on the common rail pipe and reduce the pressure fluctuations in the common rail pipe, further indicating that diameter D of the common rail pipe has a significant impact on the rail pressure and rail pressure fluctuations. When L and D remain constant, increasing the diameter of the high-pressure oil pipe can increase the common rail pressure and reduce the pressure fluctuations in the common rail pipe. However, with the continuous increase in R, the changes in the common rail pressure and common rail pressure fluctuations become more and more flat.
- (3)
- Based on the average rail pressure and rail pressure fluctuation polynomial regression model of the HPCRIS used in diesel engines, with the minimum rail pressure fluctuations and the set value of the rail pressure system as the optimal objectives, the key structural parameters L, D, and R of the common rail pipe and the high-pressure fuel pipes were optimized by response surface methodology, and the optimal structural parameters of the common rail pipe and the high-pressure fuel pipes were obtained. After the optimization, the rail pressure of the HPCRIS was increased by 0.82%, the rail pressure fluctuations decreased by 21.66%, the injection pressure was increased by 1.15%, and the injection volume was increased by 0.85%, which further improved the injection performance of the HPCRIS for diesel engines.
Author Contributions
Funding
Data Availability Statement
Acknowledgments
Conflicts of Interest
References
- Shi, M.W.; Wang, H.C.; Yang, C.L.; Wang, Y.Y.; Niu, X.X. Calibration and Prediction of Combustion Parameters Using Double-Wiebe Function Method Based on IMPSO. Trans. CSICE 2023, 41, 61–67. [Google Scholar]
- Ou, S.H.; Yu, Y.H.; Dong, X.; Yang, J.G. Simulation and Experimental Investigation of Closed-Loop Combustion Control Strategy for Diesel Engines. Trans. CSICE 2023, 41, 211–219. [Google Scholar]
- Yang, J.Y. Simulation Research on Combustion Process of Highly Intensified and Low Heat Dissipation Diesel Engine. Master’s Thesis, Dalian University of Technology, Shanghai, China, 2022. [Google Scholar]
- Mihyar, T.; Şen, E.; Soyhan, H.S. Impact of the JAZARI technology piston motion profile on the indicated thermal efficiency of a 4-cylinder diesel engine. Fuel 2023, 351, 128904. [Google Scholar] [CrossRef]
- Wang, Y.H.; Wang, G.Y.; Yao, G.Z.; Shen, Q.Q.; Yu, X.; He, S.C. Combining GA-SVM and NSGA-III multi-objective optimization to reduce the emission and fuel consumption of high-pressure common-rail diesel engine. Energy 2023, 278, 127965. [Google Scholar] [CrossRef]
- Gao, Z.G. Research on Injection Stability and Pressure Fluctuation of High-Pressure Common Rail System. Ph.D. Thesis, Beijing Jiaotong University, Beijing, China, 2022. [Google Scholar]
- Zhao, T.B.; Wu, Y.S.; Duan, Y.Z.; Huang, Z.; Han, D. An experimental study on RP-3 jet fuel injection on a common rail injection system. J. Cent. South Univ. 2022, 29, 2179–2188. [Google Scholar] [CrossRef]
- Fei, H.Z.; Qu, C.; Wei, Y.P.; Li, R.L. Simulation research on the prediction model of cyclic fuel-injection quantity for high-pressure common rail diesel engines. J. Harbin Eng. Univ. 2020, 41, 1651–1656. [Google Scholar]
- Li, L.Y. Research on Fault Diagnosis of Diesel Engine High Pressure Common Rail System. Master’s Thesis, North University of China, Taiyuan, China, 2022. [Google Scholar]
- Wei, Y.P.; Fan, L.Y.; Chen, G.; Bai, Y.; Gu, Y.Q. Multiconfiguration fuel injection consistency of a high-pressure common rail system for a high-speed marine diesel engine. J. Harbin Eng. Univ. 2021, 42, 1330–1339. [Google Scholar]
- Ge, J.C.; Yoon, S.K.; Song, J.H. Comparative Evaluation on Combustion and Emission Characteristics of a Diesel Engine Fueled with Crude Palm Oil Blends. Appl. Sci. 2021, 11, 11502. [Google Scholar] [CrossRef]
- Wang, Z.Y. Study on the Simulation Research of High Pressure Common Rail Fuel Injection System of Diesel Engine Based on AMEsim. Master’s Thesis, Chang’an University, Xian, China, 2017. [Google Scholar]
- Li, Y.Q.; Wang, Y.P.; Chen, W.M.; Qiu, T.; Lei, Y.; Wang, J.E. Investigation of Rail Pressure Drop during Diesel Fuel Injection. Trans. CSICE 2022, 40, 263–269. [Google Scholar]
- Nie, T.; Liu, Z.M.; An, S.J. Study of Pressure Fluctuation in the High Pressure Common Rail System. Comput. Simul. 2021, 38, 197–202. [Google Scholar]
- Zhao, W.L. Simulation Research of Pressure Fluctuation in the Process of Fuel Supply and Injection for Common Rail System of Diesel Engine. Master’s Thesis, Beijing Jiaotong University, Beijing, China, 2019. [Google Scholar]
- Xiao, J.Y. Research on Injection Characteristics and Integrated Matching of Automotive High Pressure Common Rail System. Master’s Thesis, North University of China, Taiyuan, China, 2021. [Google Scholar]
- Wang, C.X. Simulation Research on Performance of Diesel Engine High Pressure Common Rail Fuel Injection. Master’s Thesis, Jiangnan University, Wuxi, China, 2015. [Google Scholar]
- Valeriy, K. Research on the Law of Pressure Fluctuation and Influencing Factors in the Fuel Rail of High-Pressure Common Rail Fuel System. Master’s Thesis, Beijing University of Technology, Beijing, China, 2021. [Google Scholar]
- Li, J.H.; Chen, H.L. Rail Pressure Control of Common rail Diesel Engine under Starting Condition. Veh. Engine 2019, 244, 57–62+68. [Google Scholar]
- Feng, Z.Y. Design of Electronic Control of Diesel Engine Based on the Current Closed-Loop Control of Solenoid Valve. Master’s Thesis, University of Electronic Science and Technology, Chengdu, China, 2018. [Google Scholar]
- Li, R.L. Research on Fault Diagnosis Method of Abnormal Injection in Electronic Fuel System. Master’s Thesis, Harbin Engineering University, Harbin, China, 2020. [Google Scholar]
- Zheng, T. Research on Fault Diagnosis and Health Assessment of Injector in Common Rail System. Master’s Thesis, Harbin Engineering University, Harbin, China, 2021. [Google Scholar]
- Zhang, S.Z. Study on Transient Flow Characteristics of High Pressure Common Rail System. Master’s Thesis, North University of China, Taiyuan, China, 2021. [Google Scholar]
- Pu, Y. Research on the Observation Method of Fuel Injection Performance of High Pressure Common Rail System. Master’s Thesis, North University of China, Taiyuan, China, 2023. [Google Scholar]
- Lin, H.B. Research of High Pressure Common Rail Pipe Parameters on the Effects of Cavity Pressure Fluctuations. Master’s Thesis, Chang’an University, Xi’an, China, 2017. [Google Scholar]
- Zhu, L.J. Structural Optimization Design of High Pressure Common Rail Electronically Controlled Fuel Injection System for Diesel Engine. Master’s Thesis, Hangzhou Dianzi University, Hangzhou, China, 2018. [Google Scholar]
- Han, Y.H. Study on the Effect of Wear and Structure of Injector Needle Valve on Sealing Performance of High Pressure Common Rail System. Master’s Thesis, North University of China, Taiyuan, China, 2023. [Google Scholar]
- Wang, J.; Shen, L.Z.; Yang, Y.Z.; Bi, Y.H.; Wang, M.D. Optimal Calibration of Design Points of Off road Common rail Diesel Engine Based on Response surface methodology. Trans. Chin. Soc. Agric. Eng. 2017, 33, 31–39. [Google Scholar]
- Chen, J.H. Optimization of Hydraulic Forming Process Parameters and Characteristics of Corrugated Pipe in Rocket Storage Tank. Master’s Thesis, Yanshan University, Qinhuangdao, China, 2022. [Google Scholar]
- Zhang, H.W. Fluid-structure Coupling Vibration Analysis and Parameter Optimization of Hydraulic U-shaped Hose. Master’s Thesis, Guilin University of Technology, Guilin, China, 2021. [Google Scholar]
- Gopal, K.; Sathiyagnanam, A.P.; Kumar, B.R.; Saravanan, S.; Rana, D.; Sethuramasamyraja, B. Prediction of emissions and performance of a diesel engine fueled with n-octanol/diesel blends using response surface methodology. J. Clean. Prod. 2018, 184, 423–439. [Google Scholar] [CrossRef]






















| Module Name | Parameter | Parameter Value |
|---|---|---|
| diesel | Diesel density | 835 kg/m3 |
| Diesel temperature | 60 °C | |
| High-pressure oil pump | Oil pump speed | 2000 r/min |
| Plunger length | 35 mm | |
| Plunger diameter | 8 mm | |
| Common rail pipe | Outer diameter of the common rail pipe | 30 mm |
| Length of the common rail pipe | 248 mm | |
| Inner diameter of the common rail pipe | 7 mm | |
| High-pressure oil pipes | Diameter of high-pressure oil pipes | 3 mm |
| Injectors | Injection time | 1 ms |
| Number of orifices | 8 | |
| Equivalent orifice diameter | 0.16 mm |
| Design Variable/mm | Low Level (−) | High Level (+) |
|---|---|---|
| Length of common rail pipe L | 186 | 496 |
| Diameter D of common rail pipe | 7 | 13 |
| Diameter R of high-pressure pipe | 2 | 4 |
| Serial Number | L/mm | D/mm | R/mm | Average Rail Pressure Prail/MPa | Average Rail Pressure Fluctuation ΔP/MPa |
|---|---|---|---|---|---|
| 1 | 186 | 5 | 4 | 149.74 | 12.25 |
| 2 | 341 | 9 | 3 | 151.19 | 7.76 |
| 3 | 496 | 13 | 4 | 152.62 | 3.31 |
| 4 | 341 | 14.2643 | 3 | 152.33 | 4.21 |
| 5 | 341 | 9 | 4.31607 | 151.61 | 6.63 |
| 6 | 496 | 5 | 4 | 150.62 | 9.53 |
| 7 | 137.009 | 9 | 3 | 149.85 | 12.05 |
| 8 | 341 | 9 | 1.68393 | 150.83 | 9.99 |
| 9 | 186 | 13 | 2 | 151.04 | 8.67 |
| 10 | 496 | 5 | 2 | 149.23 | 14.37 |
| 11 | 186 | 13 | 4 | 151.66 | 6.52 |
| 12 | 496 | 13 | 2 | 152.45 | 3.97 |
| 13 | 341 | 3.7357 | 3 | 148.66 | 15.11 |
| 14 | 544.991 | 9 | 3 | 151.81 | 5.88 |
| 15 | 186 | 5 | 2 | 147.36 | 17.74 |
| Category | Numerical Value |
|---|---|
| R2 | 0.9924 |
| Adj R2 | 0.9856 |
| Pre R2 | 0.9937 |
| Adeq precision | 46.4783 |
| C.V. | 0.1045 |
| Category | Numerical Value |
|---|---|
| R2 | 0.9945 |
| Adj R2 | 0.9895 |
| Pre R2 | 0.9560 |
| Adeq precision | 54.0104 |
| C.V. | 4.42 |
| Source of Variance | Mean Square | Freedom | F | p |
|---|---|---|---|---|
| model | 32.41 | 9 | 145.03 | <0.0001 |
| L | 5.17 | 1 | 208.28 | <0.0001 |
| D | 21.36 | 1 | 860.50 | <0.0001 |
| R | 2.72 | 1 | 109.65 | <0.0001 |
| LD | 0.0181 | 1 | 0.7270 | 0.4138 |
| LR | 0.2592 | 1 | 10.44 | 0.0090 |
| DR | 1.11 | 1 | 44.71 | <0.0001 |
| L2 | 0.3090 | 1 | 12.44 | 0.0055 |
| D2 | 1.14 | 1 | 45.80 | <0.0001 |
| R2 | 0.0015 | 1 | 0.0598 | 0.8118 |
| pure error | 0.0000 | 10 | 0.0000 | |
| comprehensive | 32.65 | 19 |
| Source of Variance | Mean Square | Freedom | F | p |
|---|---|---|---|---|
| model | 273.10 | 9 | 199.17 | <0.0001 |
| L | 42.68 | 1 | 280.15 | <0.0001 |
| D | 182.70 | 1 | 1199.16 | <0.0001 |
| R | 26.90 | 1 | 176.59 | <0.0001 |
| LD | 0.4140 | 1 | 2.72 | 0.1303 |
| LR | 0.5725 | 1 | 3.76 | 0.0813 |
| DR | 7.07 | 1 | 46.40 | <0.0001 |
| L2 | 2.41 | 1 | 15.80 | 0.0026 |
| D2 | 6.82 | 1 | 44.74 | <0.0001 |
| R2 | 0.3061 | 1 | 2.01 | 0.1868 |
| pure error | 0.0000 | 10 | 0.0000 | |
| comprehensive | 274.62 | 19 |
| Test Number | Average Rail Pressure before Optimization Prail/MPa | Average Rail Pressure Fluctuations before Optimization ΔP/MPa | Average Injection Pressure before Optimization P/MPa | Average Fuel Injection before Optimization V/mm3 |
|---|---|---|---|---|
| 1 | 149.71 | 11.92 | 142.73 | 64.83 |
| 2 | 149.61 | 12.33 | 142.35 | 64.92 |
| 3 | 149.69 | 11.94 | 142.43 | 64.72 |
| 4 | 149.93 | 11.85 | 142.56 | 64.76 |
| 5 | 149.68 | 11.42 | 141.97 | 64.58 |
| 6 | 149.63 | 11.65 | 142.42 | 64.31 |
| 7 | 149.54 | 11.64 | 142.58 | 65.16 |
| 8 | 149.65 | 12.25 | 142.82 | 64.82 |
| 9 | 149.52 | 11.95 | 142.65 | 64.67 |
| 10 | 149.64 | 11.64 | 142.14 | 64.72 |
| 11 | 149.78 | 11.08 | 142.48 | 64.68 |
| 12 | 149.15 | 12.23 | 141.95 | 64.89 |
| 13 | 149.63 | 12.38 | 142.67 | 64.62 |
| 14 | 149.58 | 11.31 | 142.34 | 64.55 |
| 15 | 149.56 | 12.26 | 142.35 | 64.87 |
| Total average | 149.62 | 11.86 | 142.43 | 64.74 |
| Test Number | Average Rail Pressure after Optimization Prail/MPa | Average Rail Pressure Fluctuations after Optimization ΔP/MPa | Average Injection Pressure after Optimization P/MPa | Average Fuel Injection after Optimization V/mm3 |
|---|---|---|---|---|
| 1 | 150.72 | 9.22 | 143.72 | 65.48 |
| 2 | 150.88 | 9.04 | 143.54 | 65.72 |
| 3 | 150.76 | 8.64 | 143.89 | 65.13 |
| 4 | 150.03 | 9.16 | 143.76 | 65.49 |
| 5 | 150.81 | 9.06 | 143.51 | 65.02 |
| 6 | 150.64 | 8.45 | 144.04 | 64.87 |
| 7 | 150.68 | 8.56 | 143.42 | 65.34 |
| 8 | 150.92 | 8.47 | 143.31 | 65.47 |
| 9 | 150.79 | 8.85 | 143.86 | 65.53 |
| 10 | 150.78 | 9.16 | 143.95 | 64.98 |
| 11 | 150.68 | 8.14 | 143.82 | 64.91 |
| 12 | 150.67 | 9.02 | 143.56 | 65.18 |
| 13 | 150.63 | 8.54 | 143.97 | 65.28 |
| 14 | 150.45 | 8.36 | 143.65 | 65.34 |
| 15 | 150.27 | 8.61 | 143.59 | 65.57 |
| Total average | 150.65 | 8.75 | 143.71 | 65.29 |
Disclaimer/Publisher’s Note: The statements, opinions and data contained in all publications are solely those of the individual author(s) and contributor(s) and not of MDPI and/or the editor(s). MDPI and/or the editor(s) disclaim responsibility for any injury to people or property resulting from any ideas, methods, instructions or products referred to in the content. |
© 2023 by the authors. Licensee MDPI, Basel, Switzerland. This article is an open access article distributed under the terms and conditions of the Creative Commons Attribution (CC BY) license (https://creativecommons.org/licenses/by/4.0/).
Share and Cite
Li, R.; Yuan, W.; Xu, J.; Wang, L.; Chi, F.; Wang, Y.; Liu, S.; Lin, J.; Zhang, Q.; Chen, L. Study of the Optimization of Rail Pressure Characteristics in the High-Pressure Common Rail Injection System for Diesel Engines Based on the Response Surface Methodology. Processes 2023, 11, 2626. https://doi.org/10.3390/pr11092626
Li R, Yuan W, Xu J, Wang L, Chi F, Wang Y, Liu S, Lin J, Zhang Q, Chen L. Study of the Optimization of Rail Pressure Characteristics in the High-Pressure Common Rail Injection System for Diesel Engines Based on the Response Surface Methodology. Processes. 2023; 11(9):2626. https://doi.org/10.3390/pr11092626
Chicago/Turabian StyleLi, Ruichuan, Wentao Yuan, Jikang Xu, Lin Wang, Feng Chi, Yong Wang, Shuqiang Liu, Jianghai Lin, Qingguang Zhang, and Lanzheng Chen. 2023. "Study of the Optimization of Rail Pressure Characteristics in the High-Pressure Common Rail Injection System for Diesel Engines Based on the Response Surface Methodology" Processes 11, no. 9: 2626. https://doi.org/10.3390/pr11092626
APA StyleLi, R., Yuan, W., Xu, J., Wang, L., Chi, F., Wang, Y., Liu, S., Lin, J., Zhang, Q., & Chen, L. (2023). Study of the Optimization of Rail Pressure Characteristics in the High-Pressure Common Rail Injection System for Diesel Engines Based on the Response Surface Methodology. Processes, 11(9), 2626. https://doi.org/10.3390/pr11092626

