Thermo-Mechanical Numerical Analysis of Stress and Damage Distribution within the Surrounding Rock of Underground Coal Gasification Panels
Abstract
:1. Introduction
2. Experimental Study of Rock Properties with Temperature Dependency
2.1. Temperature Dependency of Rock Thermal Parameters
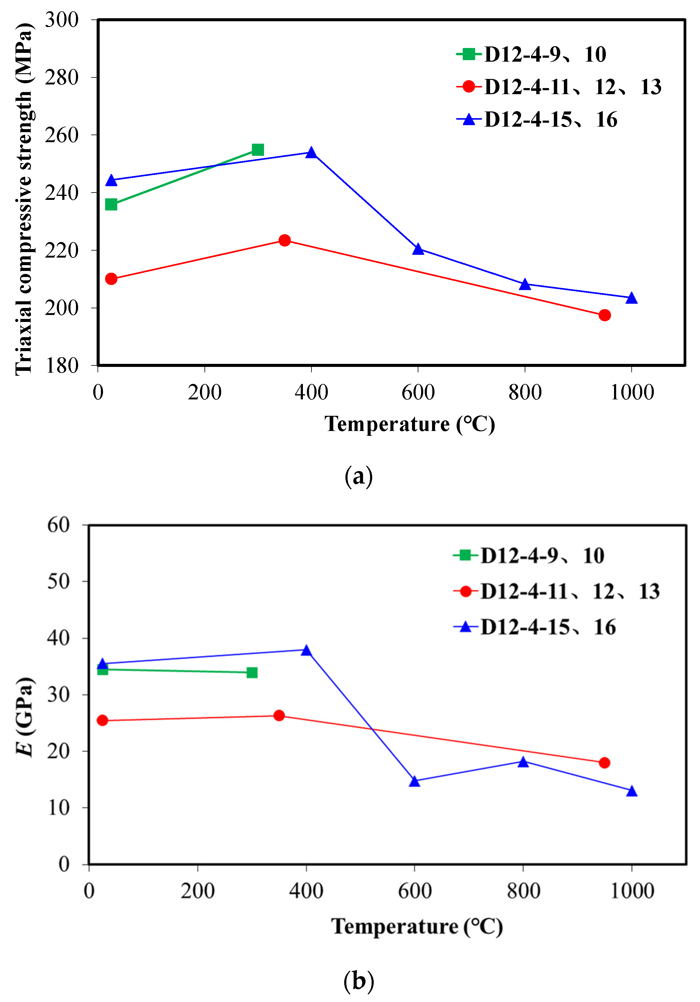
2.2. Temperature Dependency of Rock Mechanical Parameters
3. Fundamentals of Mathematical Description and Geometrical Definition
3.1. Governing Equations and Assumptions
- (a)
- The surrounding rocks are isotropic with no cracks or faults;
- (b)
- There are no other sources of heat apart from the heat generated during the underground coal gasification process due to the original temperature of the formation;
- (c)
- The heat transfer within the system is primarily governed by thermal conduction, neglecting factors such as convection or radiation, and the pressure inside the gasification chamber remains uniform at all times;
- (d)
- The geological model is simplified as a two-dimensional plane strain model during the gasification process; the initial geometric shape of the gasification chamber is approximated as a cuboid.
3.2. Geometry Model of the Finite Element Method Simulation
- (a)
- Gasification heating stage (5 days): The supporting load of the chamber internal wall was reduced from the initial in situ stress to the gasification operating pressure pgas and the chamber wall surface temperature was raised to the gasification operating temperature Tgas;
- (b)
- Temperature maintaining stage (30–60 days): The supporting load of the chamber internal wall maintained the gasification operating pressure pgas, and the chamber internal surface temperature maintained the gasification operating temperature Tgas;
- (c)
- Cavity cooling stage (60 days): The supporting load of the chamber internal wall maintained the gasification operating pressure pgas, and the chamber wall surface temperature was reduced to the gasification cooling temperature Tcool.
4. Evolution of the Stress and Temperature Field near the Gasification Chamber
4.1. Stress State and Failure Risk in the Vicinity of the Gasification Chamber
4.2. Influence of Temperature Dependency on Stress State during the Gasification Process
5. Evolution of Stress and Temperature Field near the Gasification Chamber
5.1. Influence of Panel Orientation on Vicinity Stability during the Gasification Process
5.2. Variation of Damage Zone in Surrounding Rock of the Combustion Chamber
5.2.1. Influence of Gasification Chamber Width
5.2.2. Influence of Temperature Maintaining Duration
5.2.3. Influence of Gasification Operating Temperature
5.2.4. Influence of Gasification Operating Pressure
6. Discussions
7. Conclusions
- The thermal conductivity exhibits a linear decreasing trend with temperature in the range of 25 °C to 350 °C and tends to stabilize and decreases slowly beyond 350 °C. The specific heat capacity shows a linear decreasing trend with temperature in the range of 25 °C to 650 °C and stabilizes after reaching 650 °C. The thermal expansion coefficient shows a roughly linear increasing trend when the temperature rises from 100 °C to 600 °C and decreases linearly with temperature after surpassing 600 °C;
- The elastic modulus and the compressive strength remain relatively stable with increasing temperature below a critical temperature ranging from approximately 400 to 600 °C. However, once the temperature reaches the critical temperature, both measures significantly decrease as the temperature continues to rise. The Poisson’s ratio decreases with increasing temperature below the critical temperature, gradually increases with temperature beyond the critical temperature and can return to its initial value at around 1000 °C;
- The roof strata show initial signs of noticeable damage during the heating stage, with a range of less than 1 m in the roof and floor strata. As the maintaining stage progresses, the damage zone gradually expands with a range of nearly 3–4 m in the roof and floor strata. By the end of the cooling stage, the damage zone spreads to a larger range of more than 6 m towards the floor strata;
- The orientation of the gasification chamber has a relatively minor influence on the range of damage to the roof and floor strata. The width and thickness of the damage zone in the roof and floor strata increase when the width of the chamber is increased. The longer the duration of the maintaining temperature stage, the larger the diffusion range of the damage zone. The gasification operating temperature has the greatest impact on the degree of damage among the considered factors. The magnitude of the gasification operating pressure directly affects the degree of damage in the damage zone, and the influence is more significant on the floor strata than on the roof strata.
Author Contributions
Funding
Data Availability Statement
Conflicts of Interest
References
- Couch, G.R. Underground Coal Gasification; Technical Report, CCC/151; IEA Clean Coal Centre: London, UK, 2009. [Google Scholar]
- Bhutto, A.W.; Bazmi, A.A.; Zahedi, G. Underground Coal Gasification: From Fundamentals to Applications. Prog. Energy Combust. Sci. 2013, 39, 189–214. [Google Scholar] [CrossRef]
- Burton, E.; Upadhye, R.; Friedmann, S. Best Practices in Underground Coal Gasification; Lawrence Livermore National Lab (LLNL): Livermore, CA, USA, 2017.
- Perkins, G. Underground Coal Gasification—Part I: Field Demonstrations and Process Performance. Prog. Energy Combust. Sci. 2018, 67, 158–187. [Google Scholar] [CrossRef]
- Feng, L.; Dong, M.; Wang, B.; Qin, B. Gas Production Performance of Underground Coal Gasification with Continuously Moving Injection: Effect of Direction and Speed. Fuel 2023, 347, 128425. [Google Scholar] [CrossRef]
- Feng, M.; Xin, L.; Wang, Z.; Li, K.; Wu, J.; Li, J.; Cheng, W.; Wang, B. Discussion on Requirements of Gasifier Gas Tightness for Underground Coal Gasification Production. Sustain. Energy Technol. Assess. 2021, 47, 101550. [Google Scholar] [CrossRef]
- Kačur, J.; Laciak, M.; Durdán, M.; Flegner, P.; Frančáková, R. A Review of Research on Advanced Control Methods for Underground Coal Gasification Processes. Energies 2023, 16, 3458. [Google Scholar] [CrossRef]
- Yu, L.; Liu, S.Q. Thoughts on Commercialization of the LLTS-UCG New Technique. Sci. Technol. Rev. 2003, 2, 51–53. [Google Scholar]
- Najafi, M.; Jalali, S.M.E.; KhaloKakaie, R. Thermal–Mechanical–Numerical Analysis of Stress Distribution in the Vicinity of Underground Coal Gasification (UCG) Panels. Int. J. Coal Geol. 2014, 134–135, 1–16. [Google Scholar] [CrossRef]
- Seifi, M.; Chen, Z.; Abedi, J. Numerical Simulation of Underground Coal Gasification Using the CRIP Method. Can. J. Chem. Eng. 2011, 89, 1528–1535. [Google Scholar] [CrossRef]
- Oliver, R.L.; Mason, G.M.; Spackman, L.K. Field and Laboratory Results from the TONO I (CRIP) UCG Cavity Excavation Project, Widco Mine Site, Centralia, Washington. FUEL Sci. Technol. Int. 1989, 7, 1059–1120. [Google Scholar] [CrossRef]
- Thorsness, C.B.; Britten, J.A. Lawrence Livermore National Laboratory Underground Coal Gasification Project; Lawrence Livermore National Lab: Livermore, CA, USA, 1989.
- Thorsness, C.B.; Hill, R.W.; Britten, J.A. Execution and Performance of the CRIP Process during the Rocky Mountain 1 UCG Field Test; Lawrence Livermore National Lab: Livermore, CA, USA, 1988.
- Cena, R.J.; Thorsness, C.B.; Britten, J.A. Assessment of the CRIP (Controlled Retracting Injection Point) Process for Underground Coal Gasification: The Rocky Mountain I Test; Lawrence Livermore National Lab: Livermore, CA, USA, 1988.
- Cena, R.J.; Britten, J.A.; Thorsness, C.B. Excavation of the Partial Seam CRIP Underground Coal Gasification Test Site; Lawrence Livermore National Lab: Livermore, CA, USA, 1987.
- Rossi, B.; Estreich, P. Feasibility Study of Coal Gasification/Fuel Cell/Cogeneration Project. Fort Hood, Texas Site. Project Description; Ebasco Services Inc.: New York, NY, USA, 1985. [Google Scholar]
- Cena, R.J.; Hill, R.W.; Stephens, D.R.; Thorsness, C.B. Centralia Partial Seam CRIP Underground Coal Gasification Experiment; Lawrence Livermore National Lab: Livermore, CA, USA, 1984.
- Riggs, J.B.; Edgar, T.F.; Johnson, C.M. Development of Three-Dimensional Simulator for Cavity Growth during Underground Coal Gasification. In Proceedings of the 5th Annual UCG Symposium, Alexandria, VA, USA, 18–21 June 1979; pp. 245–252. [Google Scholar]
- Fausett, L.V. An Analysis of Mathematical Models of Underground Coal Gasification; University of Wyoming: Laramie, WY, USA, 1984; ISBN 9798204991606. [Google Scholar]
- Jung, K.S. Mathematical Modeling of Cavity Growth during Underground Coal Gasification; University of Wyoming: Laramie, WY, USA, 1987; ISBN 9798206556254. [Google Scholar]
- Sansgiry, P.S. A Numerical Technique to Track the Growth of Cavities in Underground Coal Gasification; University of Wyoming: Laramie, WY, USA, 1990; ISBN 9798207223780. [Google Scholar]
- Luo, Y.; Coertzen, M.; Dumble, S. Comparison of UCG Cavity Growth with CFD Model Predictions. In Proceedings of the Seventh International Conference on CFD in the Minerals and Process Industries (CSIRO), Melbourne, Australia, 9–11 December 2009; pp. 9–11. [Google Scholar]
- Sarraf, A.; Mmbaga, J.P.; Gupta, P.; Hayes, R.E. Modeling Cavity Growth during Underground Coal Gasification. In Proceedings of the COMSOL Conferences, Boston, MA, USA, 13–15 October 2011. [Google Scholar]
- Saik, P.; Berdnyk, M. Mathematical Model and Methods for Solving Heat-Transfer Problem during Underground Coal Gasification. Min. Miner. Depos. 2022, 16, 87–94. [Google Scholar] [CrossRef]
- Tian, H. Development of a Thermo-Mechanical Model for Rocks Exposed to High Temperatures during Underground Coal Gasification. Ph.D. Thesis, Rheinisch-Westfälischen Technischen Hochschule Aachen, Aachen, Germany, 2013. [Google Scholar]
- Gao, W.; Zagorščak, R.; Thomas, H.R. Insights into Ground Response during Underground Coal Gasification through Thermo-Mechanical Modeling. Int. J. Numer. Anal. Methods Geomech. 2022, 46, 3–22. [Google Scholar] [CrossRef]
- Otto, C.; Kempka, T. Thermo-Mechanical Simulations of Rock Behavior in Underground Coal Gasification Show Negligible Impact of Temperature-Dependent Parameters on Permeability Changes. Energies 2015, 8, 5800–5827. [Google Scholar] [CrossRef]
- Li, M.; Wang, D.; Shao, Z. Experimental Study on Changes of Pore Structure and Mechanical Properties of Sandstone after High-Temperature Treatment Using Nuclear Magnetic Resonance. Eng. Geol. 2020, 275, 105739. [Google Scholar] [CrossRef]
- Rao, Q.; Wang, Z.; Xie, H.; Xie, Q. Experimental Study of Mechanical Properties of Sandstone at High Temperature. J. Cent. South Univ. Technol. 2007, 14, 478–483. [Google Scholar] [CrossRef]
- Miao, S.; Zhou, Y. Temperature Dependence of Thermal Diffusivity and Conductivity for Sandstone and Carbonate Rocks. J. Therm. Anal. Calorim. 2018, 131, 1647–1652. [Google Scholar] [CrossRef]
- Sun, Q.; Lü, C.; Cao, L.; Li, W.; Geng, J.; Zhang, W. Thermal Properties of Sandstone after Treatment at High Temperature. Int. J. Rock Mech. Min. Sci. 2016, 85, 60–66. [Google Scholar] [CrossRef]
- Shi, Y.; Yun, X.; Zuo, J.; Li, Z.; Sun, Y.; Yu, M. Investigation on Coal Pillar Stability between Different Shapes of Gasifier Cavities under High Temperatures during UCG. Geofluids 2022, 2022, e7809560. [Google Scholar] [CrossRef]
- Wu, G.; Wang, Y.; Swift, G.; Chen, J. Laboratory Investigation of the Effects of Temperature on the Mechanical Properties of Sandstone. Geotech. Geol. Eng. 2013, 31, 809–816. [Google Scholar] [CrossRef]
- Zhang, Y.; Sun, Q.; He, H.; Cao, L.; Zhang, W.; Wang, B. Pore Characteristics and Mechanical Properties of Sandstone under the Influence of Temperature. Appl. Therm. Eng. 2017, 113, 537–543. [Google Scholar] [CrossRef]
- Yin, T.B.; Li, X.B.; Wang, B.; Yin, Z.Q.; Jin, J.F. Mechanical Properties of Sandstones after High Temperature under Dynamic Loading. Chin. J. Geotech. Eng. 2011, 33, 777–784. [Google Scholar]
- Wang, H.; He, M.; Zhang, Z.; Zhu, J. Determination of the Constant Mi in the Hoek-Brown Criterion of Rock Based on Drilling Parameters. Int. J. Min. Sci. Technol. 2022, 32, 747–759. [Google Scholar] [CrossRef]
- Wang, H.; He, M.; Zhao, J.; Zhang, Y.; Yang, B. Cutting Energy Characteristics for Brittleness Evaluation of Rock Using Digital Drilling Method. Eng. Geol. 2023, 319, 107099. [Google Scholar] [CrossRef]
- Yang, L.H.; Zhang, X.; Liu, S. Characteristics of Temperature Field during the Oxygen-Enriched Underground Coal Gasification in Steep Seams. Energy Sources Part Recovery Util. Environ. Eff. 2009, 32, 384–393. [Google Scholar] [CrossRef]
- Wang, J. Temperature Field Distribution and Parametric Study in Underground Coal Gasification Stope. Int. J. Therm. Sci. 2017, 111, 66–77. [Google Scholar] [CrossRef]
- Yang, L.; Zhang, X. Modeling of Contaminant Transport in Underground Coal Gasification. Energy Fuels 2009, 23, 193–201. [Google Scholar] [CrossRef]
- Yang, L.H.; Song, D.Y. Study on the Method of Seepage Combustion in Underground Coal Gasification; China University of Mining and Technology Press: Xuzhou, China, 2001. [Google Scholar]
- Jiang, L.; Chen, S.; Chen, Y.; Chen, Z.; Sun, F.; Dong, X.; Wu, K. Underground Coal Gasification Modelling in Deep Coal Seams and Its Implications to Carbon Storage in a Climate-Conscious World. Fuel 2023, 332, 126016. [Google Scholar] [CrossRef]
- Nitao, J.J.; Camp, D.W.; Buscheck, T.A.; White, J.A.; Burton, G.C.; Wagoner, J.L.; Chen, M. Progress on a New Integrated 3-D UCG Simulator and Its Initial Application; Lawrence Livermore National Lab: Livermore, CA, USA, 2011; p. 13.
- Liu, X.; Guo, G.; Li, H. Thermo-Mechanical Coupling Numerical Simulation Method under High Temperature Heterogeneous Rock and Application in Underground Coal Gasification. Energy Explor. Exploit. 2020, 38, 1118–1139. [Google Scholar] [CrossRef]
- Liu, X.; Guo, G.; Li, H. Study on the Propagation Law of Temperature Field in Surrounding Rock of Underground Coal Gasification (UCG) Combustion Cavity Based on Dynamic Thermal Parameters. Results Phys. 2019, 12, 1956–1963. [Google Scholar] [CrossRef]
- Zhang, L.Y. Research on Damage Evolution and Fracture Mechanisms of Mudstone under High Temperature; China University of Mining and Technology: Xuzhou, China, 2012. [Google Scholar]

































Disclaimer/Publisher’s Note: The statements, opinions and data contained in all publications are solely those of the individual author(s) and contributor(s) and not of MDPI and/or the editor(s). MDPI and/or the editor(s) disclaim responsibility for any injury to people or property resulting from any ideas, methods, instructions or products referred to in the content. |
© 2023 by the authors. Licensee MDPI, Basel, Switzerland. This article is an open access article distributed under the terms and conditions of the Creative Commons Attribution (CC BY) license (https://creativecommons.org/licenses/by/4.0/).
Share and Cite
Wang, P.; Deng, J.; Liu, W.; Xiao, Q.; Lv, Q.; Zhang, Y.; Hou, Y. Thermo-Mechanical Numerical Analysis of Stress and Damage Distribution within the Surrounding Rock of Underground Coal Gasification Panels. Processes 2023, 11, 2521. https://doi.org/10.3390/pr11092521
Wang P, Deng J, Liu W, Xiao Q, Lv Q, Zhang Y, Hou Y. Thermo-Mechanical Numerical Analysis of Stress and Damage Distribution within the Surrounding Rock of Underground Coal Gasification Panels. Processes. 2023; 11(9):2521. https://doi.org/10.3390/pr11092521
Chicago/Turabian StyleWang, Pengfei, Jingen Deng, Wei Liu, Qiangzhong Xiao, Qian Lv, Yan Zhang, and Youlin Hou. 2023. "Thermo-Mechanical Numerical Analysis of Stress and Damage Distribution within the Surrounding Rock of Underground Coal Gasification Panels" Processes 11, no. 9: 2521. https://doi.org/10.3390/pr11092521
APA StyleWang, P., Deng, J., Liu, W., Xiao, Q., Lv, Q., Zhang, Y., & Hou, Y. (2023). Thermo-Mechanical Numerical Analysis of Stress and Damage Distribution within the Surrounding Rock of Underground Coal Gasification Panels. Processes, 11(9), 2521. https://doi.org/10.3390/pr11092521

