Investigation on the Electrostatics Saturation of Flow Electrification in the Liquid Hydrogen Transportation
Abstract
:1. Introduction
2. Modeling the Process of Flow Electrification
2.1. Equation of Charge Conservation
2.2. Boundary Conditions
2.3. Simulation Settings
2.4. Model Validation
3. Results and Discussion
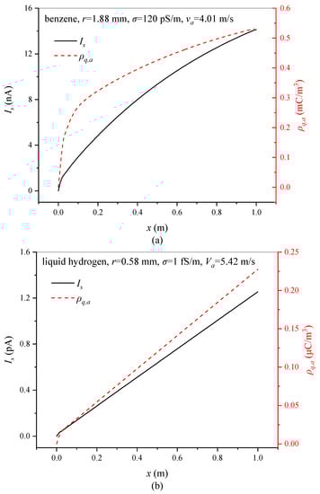
3.1. Comparisons between Benzene and Liquid Hydrogen
3.2. Electrostatic Saturation of Flow Electrification in Liquid Hydrogen Transportation
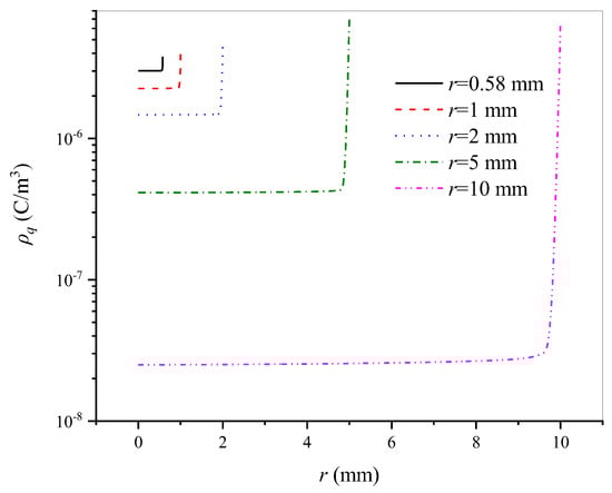
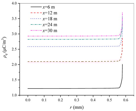
3.3. Influences of Pipe Radius and Flow Velocity on Electrostatic Saturation
4. Conclusions
- (1)
- In the liquid hydrogen flows, flow electrification initially leads to a linear increase in streaming current with the flow distance, followed by a gradual saturation. The distance required for electrostatic saturation in liquid hydrogen is on the order of tens of meters, while for benzene, it occurs within just one meter.
- (2)
- The pipe radius has a significant impact on the electrostatic saturation process. Increasing the pipe radius delays the onset of electrostatic saturation and enhances the magnitude of the saturated streaming current. However, it also results in a decrease in the charge density.
- (3)
- Flow velocity plays a crucial role in flow electrification. Higher flow velocities lead to a longer distance required to reach electrostatic saturation and also result in higher streaming current values throughout the entire flow electrification process.
Author Contributions
Funding
Institutional Review Board Statement
Informed Consent Statement
Data Availability Statement
Acknowledgments
Conflicts of Interest
References
- Galeev, A.G. Review of engineering solutions applicable in tests of liquid rocket engines and propulsion systems employing hydrogen as a fuel and relevant safety assurance aspects. Int. J. Hydrog. Energy 2017, 42, 25037–25047. [Google Scholar] [CrossRef]
- Lowesmith, B.J.; Hankinson, G.; Chynoweth, S. Safety issues of the liquefaction, storage and transportation of liquid hydrogen: An analysis of incidents and HAZIDS. Int. J. Hydrog. Energy 2014, 39, 20516–20521. [Google Scholar] [CrossRef]
- Crowl, D.A.; Jo, Y.-D. The hazards and risks of hydrogen. J. Loss Prev. Process Ind. 2007, 20, 158–164. [Google Scholar] [CrossRef]
- Pritchard, D.K.; Rattigan, W.M. Hazards of Liquid Hydrogen: Position paper: Prepared by the Health and Safety Laboratory for the Health and Safety Executive. January 2010. Available online: https://www.h2knowledgecentre.com/content/policypaper1190 (accessed on 6 April 2023).
- Bustin, W.M.; Dukek, W.G. Electrostatic Hazards in the Petroleum Industry; Electronic & Electrical Engineering Research Studies, No. 2; Wiley: New York, NY, USA, 1983. [Google Scholar]
- Bowen, L.; Yanzhong, L.; Lei, W. Flow electrification characteristics of liquid hydrogen in pipe flow. Int. J. Hydrog. Energy 2023, 48, 18526–18539. [Google Scholar] [CrossRef]
- Studien über Electrische Grenzschichten—Helmholtz—1879—Annalen der Physik—Wiley Online Library. Available online: https://onlinelibrary.wiley.com/doi/10.1002/andp.18792430702 (accessed on 20 July 2023).
- Schmickler, W. Double layer theory. J. Solid State Electrochem. 2020, 24, 2175–2176. [Google Scholar] [CrossRef]
- Touchard, G. Flow electrification of liquids. J. Electrost. 2001, 51–52, 440–447. [Google Scholar] [CrossRef]
- Gavis, J. Transport of electric charge in low dielectric constant fluids. Chem. Eng. Sci. 1964, 19, 237–252. [Google Scholar] [CrossRef]
- Miaoulis, I.N.; Abedian, B.; Darnahal, M. Theory for electric charging in flow of low-conductivity liquids through screens. J. Electrost. 1990, 25, 287–294. [Google Scholar] [CrossRef]
- Zmarzly, D. Streaming electrification current model in a round pipe in turbulent regime. IEEE Trans. Dielectr. Electr. Insul. 2013, 20, 1497–1509. [Google Scholar] [CrossRef]
- Abedian, B.; Sonin, A.A. Theory for electric charging in turbulent pipe flow. J. Fluid Mech. 1982, 120, 199–217. [Google Scholar] [CrossRef]
- Roach, J.; Templeton, J. An Engineering Model for Streaming Electrification in Power Transformers. In Electrical Insulating Oils; Erdman, H., Ed.; ASTM International: West Conshohocken, PA, USA, 1988; pp. 119–135. [Google Scholar] [CrossRef]
- Mizuno, Y.; Okada, H.; Minoda, A. Electrification of liquid nitrogen flowing in electrical insulating pipe. In Proceedings of the 2003 Annual Report Conference on Electrical Insulation and Dielectric Phenomena, Albuquerque, NM, USA, 19–22 October 2003; pp. 229–232. [Google Scholar] [CrossRef]
- Touchard, G. Turbulent flow electrification with hydrocarbon liquids, liquid hydrogen, liquefied natural gas (LNG) and liquid nitrogen: Part II—Experiments and comparison with different models. Int. J. Plasma Environ. Sci. Technol. 2021, 15, e02013. [Google Scholar] [CrossRef]
- Cassutt, L.; Biron, D.; Vonnegut, B. Electrostatic Hazards Assocated with the Transfer and Storage of Liquid Hydrogen. In Advances in Cryogenic Engineering; Timmerhaus, K.D., Ed.; Springer: Boston, MA, USA, 1962; pp. 327–335. [Google Scholar] [CrossRef]
- Touchard, G.; Marcano, L.; Borzeix, J. Streaming currents in flows of cryogenic liquids. In Proceedings of the 1987 9th International Conference on Conduction and Breakdown in Dielectric Liquids, Salford, UK, 27–31 July 1987; pp. 260–265. [Google Scholar]
- Tanaka, T.; Yamada, N.; Yasojima, Y. Characteristics of streaming electrification in pressboard pipe and the influence of an external electric field. J. Electrost. 1985, 17, 215–234. [Google Scholar] [CrossRef]
- Diao, X.; Jiang, J.; Ni, L.; Mebarki, A.; Shen, G. Electrification hazard of turbulent pipe flow: Theoretical approach and numerical simulation. Process Saf. Environ. Prot. 2022, 159, 84–95. [Google Scholar] [CrossRef]
- Landsberg, P.T.; Guy, A.G. Activity coefficient and the Einstein relation. Phys. Rev. B 1983, 28, 1187. [Google Scholar] [CrossRef]
- Rutgers, A.J.; de Smet, M.; de Myer, G. Influence of turbulence upon electrokinetic phenomena. Experimental determination of the thickness of the diffuse part of the double layer. Trans. Faraday Soc. 1957, 53, 393. [Google Scholar] [CrossRef]












| Property | Values for Benzene [22] | Values For Liquid Hydrogen [6] |
|---|---|---|
| Temperature, T (K) | 300.000 | 20.324 |
| Density, ρ (kg·m−3) | 871.000 | 70.899 |
| Relative permittivity, ɛr | 3.000 | 1.231 |
| Electric conductivity, σ (S·m−1) | 1.200 × 10−10 | 1.000 × 10−15 |
| Molecular diffusivity, Dm (m2·s−1) | 1.000 × 10−9 | 1.206 × 10−9 |
| Kinematic viscosity, ν (m2·s−1) | 5.000 × 10−7 | 1.910 × 10−7 |
Disclaimer/Publisher’s Note: The statements, opinions and data contained in all publications are solely those of the individual author(s) and contributor(s) and not of MDPI and/or the editor(s). MDPI and/or the editor(s) disclaim responsibility for any injury to people or property resulting from any ideas, methods, instructions or products referred to in the content. |
© 2023 by the authors. Licensee MDPI, Basel, Switzerland. This article is an open access article distributed under the terms and conditions of the Creative Commons Attribution (CC BY) license (https://creativecommons.org/licenses/by/4.0/).
Share and Cite
Liu, B.; Li, Y.; Wang, L.; Ma, Y. Investigation on the Electrostatics Saturation of Flow Electrification in the Liquid Hydrogen Transportation. Processes 2023, 11, 2511. https://doi.org/10.3390/pr11082511
Liu B, Li Y, Wang L, Ma Y. Investigation on the Electrostatics Saturation of Flow Electrification in the Liquid Hydrogen Transportation. Processes. 2023; 11(8):2511. https://doi.org/10.3390/pr11082511
Chicago/Turabian StyleLiu, Bowen, Yanzhong Li, Lei Wang, and Yuan Ma. 2023. "Investigation on the Electrostatics Saturation of Flow Electrification in the Liquid Hydrogen Transportation" Processes 11, no. 8: 2511. https://doi.org/10.3390/pr11082511
APA StyleLiu, B., Li, Y., Wang, L., & Ma, Y. (2023). Investigation on the Electrostatics Saturation of Flow Electrification in the Liquid Hydrogen Transportation. Processes, 11(8), 2511. https://doi.org/10.3390/pr11082511

